Sign in to use this feature.

Years

Between: -

Subjects

remove_circle_outline
remove_circle_outline
remove_circle_outline
remove_circle_outline
remove_circle_outline
remove_circle_outline
remove_circle_outline
remove_circle_outline
remove_circle_outline

Journals

remove_circle_outline
remove_circle_outline
remove_circle_outline
remove_circle_outline
remove_circle_outline
remove_circle_outline
remove_circle_outline
remove_circle_outline
remove_circle_outline
remove_circle_outline
remove_circle_outline
remove_circle_outline
remove_circle_outline
remove_circle_outline
remove_circle_outline

Article Types

Countries / Regions

remove_circle_outline
remove_circle_outline
remove_circle_outline
remove_circle_outline
remove_circle_outline
remove_circle_outline

Search Results (1,211)

Search Parameters:
Keywords = MOD10A1

Order results
Result details
Results per page
Select all
Export citation of selected articles as:
16 pages, 395 KB  
Article
Symmetry and Structural Analysis of Power Congruence Graphs over a Set of Moduli
by Ahmad Almutlg and Muhammad Awais Raza
Symmetry 2026, 18(4), 582; https://doi.org/10.3390/sym18040582 (registering DOI) - 29 Mar 2026
Abstract
In this article, we introduce and investigate a novel class of graphs that are called Power Congruence Graph PCGs, which are defined over the vertex set V={0,1,2,,n1} where two [...] Read more.
In this article, we introduce and investigate a novel class of graphs that are called Power Congruence Graph PCGs, which are defined over the vertex set V={0,1,2,,n1} where two vertices a,bV are adjacent if akbk(modm) for some modulus mMp, where Mp={p,p2,,ptpt<n}. We thoroughly characterize the structural features of these graphs, establishing that each PCG decomposes into a union of d+1 complete components, where d=p1gcd(k,p1). The component sizes are explicitly given for n, p, and k. This decomposition highlights symmetry patterns in the component arrangement, emphasizing connectedness and structural balance. We derive key graph-theoretic metrics such as degree distribution, size, chromatic number, clique number and domination number. We also compute the adjacency and Laplacian matrices, as well as their spectra and associated graph energies to better understand the structural similarities and differences among PCGs with different exponents and prime moduli. This paper offers a systematic framework for comprehending power congruence based graph constructs, integrating number theory with structural and spectral graph theory and illustrating the natural symmetry that underpins these combinatorial structures. Full article
(This article belongs to the Special Issue Mathematics: Feature Papers 2026)
23 pages, 2770 KB  
Article
Integrating Multi-Source Data to Assess Temporal Changes and Drivers of Forest Cover in the Western Margins of the Sichuan Basin
by Fengqi Li and Bin Wang
Remote Sens. 2026, 18(7), 1010; https://doi.org/10.3390/rs18071010 - 27 Mar 2026
Abstract
Mountain forests on the western edge of the Sichuan Basin are challenging to monitor at high resolution because rugged topography, cloud cover, and Landsat-7 SLC-off artifacts create data gaps, while the 2008 Wenchuan earthquake and subsequent restoration further alter vegetation dynamics. We fused [...] Read more.
Mountain forests on the western edge of the Sichuan Basin are challenging to monitor at high resolution because rugged topography, cloud cover, and Landsat-7 SLC-off artifacts create data gaps, while the 2008 Wenchuan earthquake and subsequent restoration further alter vegetation dynamics. We fused Landsat 5/7/8/9 surface reflectance with MODIS MOD13Q1 using an index-then-fusion STARFM framework to reconstruct a continuous 30 m NDVI record for 2000–2024 and quantified forest fraction dynamics using annual forest/non-forest maps, transition analysis, and K-means clustering of pixel-wise NDVI trajectories. To identify dominant controls, we applied a multi-output random forest with spatial block cross-validation and SHAP attribution. The fused NDVI agrees well with MODIS across 100,000 samples (R2 = 0.953; RMSE = 0.032), and the regional mean NDVI increased from 0.711 (2000) to 0.774 (2024), showing a post-2008 decline–stagnation–recovery pattern. Forest fraction rose from 48.2% to 72.9%, with accelerated gains after 2010 (+21.4%), and improving trajectories dominated (70.95%), concentrating near the Longmenshan fault zone. The driver model generalized well (micro-mean R2 = 0.875), and SHAP ranked elevation (32.6%) and initial forest fraction (32.3%) above temperature and precipitation. These results provide high-resolution evidence of mountain forest change and its primary controls to support terrain-informed ecological management. Full article
19 pages, 2985 KB  
Article
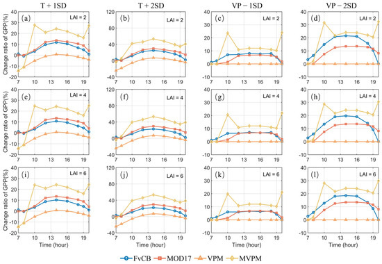
Evaluation of Gross Primary Production Models of Varying Complexity Using a Three-Dimensional Forest Simulation Framework
by Shuang Zhao, Cheng Huang, Si Gao, Jianbo Qi, Xuanlong Ma and Kai Yan
Remote Sens. 2026, 18(7), 983; https://doi.org/10.3390/rs18070983 - 25 Mar 2026
Viewed by 206
Abstract
Gross primary production (GPP) models are widely used to estimate carbon fluxes at local and global scales, and play a crucial role in understanding the dynamics of terrestrial carbon cycling. While numerous studies have compared the performance of various GPP models, most evaluations [...] Read more.
Gross primary production (GPP) models are widely used to estimate carbon fluxes at local and global scales, and play a crucial role in understanding the dynamics of terrestrial carbon cycling. While numerous studies have compared the performance of various GPP models, most evaluations rely on in situ GPP derived from eddy covariance flux towers, which may be constrained by estimation uncertainties and limited spatial representativeness. In this study, we employed a three-dimensional (3D) simulation framework characterized by high accuracy and strong environmental controllability to evaluate the performance of GPP models of varying complexity (FvCB, MOD17, VPM, and MVPM) under different leaf area index (LAI) levels and environmental stress conditions. The results revealed significant differences among the models at both instantaneous and daily scales. Under high-temperature stress, the performance of VPM was most comparable to that of MOD17. FvCB and MOD17 exhibited strong consistency in their sensitivity to environmental variations, whereas MVPM generally produced lower GPP estimates but showed the highest responsiveness to environmental changes. The process-based FvCB model was the most sensitive to canopy structure and light distribution, and its resilience to environmental stress increased with LAI. These findings provide a novel methodological perspective for evaluating GPP models and offer important insights into the structural and mechanistic factors driving performance differences among the models. Full article
(This article belongs to the Section Ecological Remote Sensing)
Show Figures

Figure 1

24 pages, 1813 KB  
Article
Homomorphic ReLU with Full-Domain Bootstrapping
by Yuqun Lin, Yi Huang, Xiaomeng Tang, Jingjing Fan, Qifei Xu, Zoe-Lin Jiang, Xiaosong Zhang and Junbin Fang
Cryptography 2026, 10(2), 21; https://doi.org/10.3390/cryptography10020021 - 24 Mar 2026
Viewed by 120
Abstract
Fully homomorphic encryption (FHE) offers a promising solution for privacy-preserving machine learning by enabling arbitrary computations on encrypted data. However, the efficient evaluation of non-linear functions—such as the ReLU activation function over large integers—remains a major obstacle in practical deployments, primarily due to [...] Read more.
Fully homomorphic encryption (FHE) offers a promising solution for privacy-preserving machine learning by enabling arbitrary computations on encrypted data. However, the efficient evaluation of non-linear functions—such as the ReLU activation function over large integers—remains a major obstacle in practical deployments, primarily due to high bootstrapping overhead and limited precision support in existing schemes. In this paper, we propose LargeIntReLU, a novel framework that enables efficient homomorphic ReLU evaluation over large integers (7–11 bits) via full-domain bootstrapping. Central to our approach is a signed digit decomposition algorithm, SignedDecomp, that partitions a large integer ciphertext into signed 6-bit segments using three new low-level primitives: LeftShift, HomMod, and CipherClean. This decomposition preserves arithmetic consistency, avoids cross-segment carry propagation, and allows parallelized bootstrapping. By segmenting the large integer and processing each chunk independently with optimized small-integer bootstrapping, we achieve homomorphic ReLU with full-domain bootstrapping, which significantly reduces the total number of sequential bootstrapping operations required. The security of our scheme is guaranteed by TFHE. Experimental results demonstrate that the proposed method reduces the bootstrapping cost by an average of 28.58% compared to state-of-the-art approaches while maintaining 95.2% accuracy. With execution times ranging from 1.16 s to 1.62 s across 7–11 bit integers, our work bridges a critical gap toward a scalable and efficient homomorphic ReLU function, which is useful in privacy-preserving machine learning. Furthermore, an end-to-end encrypted inference test on a CNN model with the MNIST dataset confirms its practicality, achieving 88.85% accuracy and demonstrating a complete pipeline for privacy-preserving neural network evaluation. Full article
(This article belongs to the Special Issue Information Security and Privacy—ACISP 2025)
Show Figures

Figure 1

32 pages, 3942 KB  
Article
Adopting MOD-API in a Modern Dataset Catalog Platform: Opportunities, Challenges and Limitations
by Manuel Fiorelli, Paolo Bocciarelli and Armando Stellato
Technologies 2026, 14(3), 193; https://doi.org/10.3390/technologies14030193 - 23 Mar 2026
Viewed by 268
Abstract
As data exploitation continues to demonstrate its value, ontologies, thesauri, and other semantic datasets are increasingly recognized for enabling semantically meaningful data integration across disparate domains. With the proliferation of dataset catalogs, the MOD ontology (Metadata for Ontology Description and publication) was adopted, [...] Read more.
As data exploitation continues to demonstrate its value, ontologies, thesauri, and other semantic datasets are increasingly recognized for enabling semantically meaningful data integration across disparate domains. With the proliferation of dataset catalogs, the MOD ontology (Metadata for Ontology Description and publication) was adopted, and an associated API was developed to support the future European Open Science Cloud (EOSC). Their aim is to harmonize catalogs of semantic datasets with respect to metadata vocabularies and access mechanisms, thereby ensuring compliance with the FAIR principles. Within an implementation action involving developers of prominent dataset catalogs, we were selected to integrate the MOD-API into ShowVoc, our platform for publishing and consuming ontologies, thesauri, lexicons, and other Semantic Web datasets. However, ShowVoc already relied on an expressive metadata model, the MDR (acronym for “Metadata Registry”), named after the component responsible for managing the platform’s internal catalog. Due to precise dissemination requirements, the MDR provides multiple abstraction levels and detailed specifications concerning the distributions and formats in which a dataset may be made available. In this article, we report on the challenges that we faced and the trade-offs that we made while reconciling these metadata models, highlighting limitations in the current MOD standard that may inform future enhancements. Full article
(This article belongs to the Section Information and Communication Technologies)
Show Figures

Figure 1

15 pages, 1186 KB  
Article
Intrapartum Fetal Compromise in Late-Onset Fetal Growth Restriction Using the Modified Myocardial Performance Index: A Prospective Cohort Study
by Yücel Kaya, Verda Alpay, Emrah Dagdeviren and İlteriş Yaman
Medicina 2026, 62(3), 572; https://doi.org/10.3390/medicina62030572 - 19 Mar 2026
Viewed by 154
Abstract
Background and Objectives: Predictive performance of the modified myocardial performance index (Mod-MPI) for emergency cesarean delivery secondary to intrapartum fetal compromise (IFC) was examined in late-onset fetal growth restriction (FGR) or small-for-gestational-age (SGA) pregnancies. Materials and Methods: This prospective observational cohort [...] Read more.
Background and Objectives: Predictive performance of the modified myocardial performance index (Mod-MPI) for emergency cesarean delivery secondary to intrapartum fetal compromise (IFC) was examined in late-onset fetal growth restriction (FGR) or small-for-gestational-age (SGA) pregnancies. Materials and Methods: This prospective observational cohort comprised 120 singleton term pregnancies affected by late-onset FGR or SGA, classified in line with the Delphi consensus criteria, for whom a trial of vaginal delivery was planned. The primary endpoint was emergency cesarean delivery indicated by IFC, while the secondary endpoint was the development of composite adverse perinatal outcomes (CAPO). Measurements of Mod-MPI, the umbilical artery, the middle cerebral artery, and the cerebroplacental ratio (CPR) were performed within the final 72 h before delivery and were blinded to the clinicians managing the intrapartum period. Results: IFC constituted 28.3% (n = 34) of the study cohort. The IFC group exhibited significantly higher Mod-MPI values and lower CPR values (p < 0.001). In multivariable analysis, elevated Mod-MPI (≥0.61) and reduced CPR (<5th percentile) were identified as independent predictors of IFC. On receiver operating characteristic analysis, Mod-MPI demonstrated superior discriminative performance compared with CPR for predicting IFC (area under the curve [AUC]: 0.835 vs. 0.759). In contrast, CPR showed the highest diagnostic performance for predicting CAPO (AUC: 0.779). Conclusions: Mod-MPI reflects subclinical cardiac dysfunction in fetuses with late-onset FGR and SGA and represents a valuable parameter for predicting tolerance to acute intrapartum stress. Rather than routine implementation, it appears most appropriate as a complementary tool contributing to intrapartum risk assessment in selected high-risk cases. Full article
(This article belongs to the Section Obstetrics and Gynecology)
Show Figures

Figure 1

14 pages, 303 KB  
Article
Psychometric Properties of the Measure of Online Disinhibition (MOD) in Chilean Adolescents
by Karina Polanco-Levicán, José Luis Gálvez-Nieto and Ignacio Norambuena-Paredes
Behav. Sci. 2026, 16(3), 451; https://doi.org/10.3390/bs16030451 - 19 Mar 2026
Viewed by 246
Abstract
Online disinhibition is a fundamental construct for understanding adolescent behaviour in digital environments. However, in Chile, there are no psychometric studies that support its measurement. In this regard, having valid and reliable tools to assess this phenomenon is key to advancing research on [...] Read more.
Online disinhibition is a fundamental construct for understanding adolescent behaviour in digital environments. However, in Chile, there are no psychometric studies that support its measurement. In this regard, having valid and reliable tools to assess this phenomenon is key to advancing research on the dynamics of digital interaction and its possible implications for the well-being and online coexistence of adolescents. This study aimed to evaluate the psychometric properties of the Measure of Online Disinhibition (MOD) in a sample of Chilean adolescents. A cross-sectional study was conducted involving 4646 students from 41 secondary education institutions. The sample consisted of 50.2% males, 48.5% females, and 1.4% who identified with another gender category, with an average age of 15.79 years (SD = 1.33). The factorial structure was examined using confirmatory factor analysis, which confirmed the theoretical unidimensional solution. Factorial invariance was examined across gender, internet use, social media use, and age. Scalar invariance was supported for internet use, social media use, and age, while partial scalar invariance was established across gender. Convergent validity was supported by positive, moderate, and statistically significant correlations with the Global Assessment of Internet Trolling (GAIT). Finally, the scale demonstrated adequate internal consistency, supporting its use in the Chilean adolescent population. Full article
18 pages, 2508 KB  
Article
Giant Tunneling Electroresistance and Anisotropic Photoresponse in Sliding Ferroelectric Homojunctions Based on Bilayer Janus MoSSe
by Huxiao Yang and Yuehua Xu
Nanomaterials 2026, 16(6), 370; https://doi.org/10.3390/nano16060370 - 18 Mar 2026
Viewed by 231
Abstract
Interlayer-sliding ferroelectricity in van der Waals bilayers enables ultralow-power switching, but practical devices are often limited by contact/interface scattering and weak coupling between polarization and transport. We propose homophase lateral architectures based on bilayer Janus MoSSe: a 1T/2H/1T ferroelectric tunnel homojunction and an [...] Read more.
Interlayer-sliding ferroelectricity in van der Waals bilayers enables ultralow-power switching, but practical devices are often limited by contact/interface scattering and weak coupling between polarization and transport. We propose homophase lateral architectures based on bilayer Janus MoSSe: a 1T/2H/1T ferroelectric tunnel homojunction and an H-phase lateral p–i–n photodetector (artificially doped electrode). Metallic 1T electrodes largely eliminate contact barriers and maximize polarization-driven tunneling modulation. Using non-equilibrium Green’s function–density functional theory (Perdew–Burke–Ernzerhof approximation, without explicit spin–orbit coupling), we find that AB to BA sliding reduces the current from the nA range to the pA range, with the minimum current of|IOFF|min = 2.83 pA, yielding giant tunneling electroresistance up to 5.3 × 104%. Projected local density of states reveals a non-rigid long-range potential redistribution that reshapes the tunneling barrier and opens high-transmission channels. In the p–i–n photodetector, the response is strongly anisotropic and stacking-dependent: AB reaches photocurrent density Jph ≈ 7.2 µA·mm−2 at 2.6 eV for in-plane light versus ≈ 2.9 µA·mm−2 at 3.5 eV for out-of-plane, and exceeds BA by 1.5–1.8 times due to density of states advantages and Mo-d orbital selection rules. Bilayer Janus MoSSe therefore provides a reconfigurable platform for high-contrast memory and polarization-sensitive photodetection. Full article
(This article belongs to the Special Issue Emerging 2D Materials for Future Nanoelectronics)
Show Figures

Figure 1

25 pages, 1126 KB  
Article
Energy-Efficient Path Planning for AMR Using Modified A* Algorithm with Machine Learning Integration
by Mishell Cadena-Yanez, Danel Rico-Melgosa, Ekaitz Zulueta, Angela Bernardini and Jorge Rodriguez-Guerra
Robotics 2026, 15(3), 62; https://doi.org/10.3390/robotics15030062 - 18 Mar 2026
Viewed by 200
Abstract
Energy consumption optimisation has emerged as a critical need in Autonomous Mobile Robots (AMRs). Conventional A* implementations typically minimise path distance, neglecting energy-relevant factors such as directional changes and trajectory smoothness that significantly impact battery life and operational costs. This work proposes two [...] Read more.
Energy consumption optimisation has emerged as a critical need in Autonomous Mobile Robots (AMRs). Conventional A* implementations typically minimise path distance, neglecting energy-relevant factors such as directional changes and trajectory smoothness that significantly impact battery life and operational costs. This work proposes two energy-aware A* variants trained on empirical data from the KUKA KMP 1500 platform, where energy consumption is measured as battery SoC depletion: A*-RF, which integrates a Random Forest (RF) model directly into the cost function, and A*-MOD, which approximates the energy model through RF feature importance weights, achieving linear computational complexity O(nf). The RF model predicted energy consumption with an RMSE below 1.5% relative error, identifying travel distance and rotation angle as the dominant energy factors. Experimental validation across 42 path planning scenarios on a real industrial factory floor demonstrates that A*-MOD reduces energy consumption by up to 58.91% and improves operational autonomy by 2.21 times, with statistically significant improvements (p < 0.01) across all evaluated metrics. Full article
(This article belongs to the Section Sensors and Control in Robotics)
Show Figures

Figure 1

19 pages, 3298 KB  
Article
Ensemble Species Distribution Modeling Reveals Stable High-Suitability Areas and Conservation Priorities for Stephania tetrandra in China Under CMIP6 Scenarios
by Jingyi Wang, Yiheng Wang, Sheng Wang and Qingjun Yuan
Diversity 2026, 18(3), 179; https://doi.org/10.3390/d18030179 - 17 Mar 2026
Viewed by 207
Abstract
Stephania tetrandra is a medicinal plant with ecological, germplasm, and economic value whose wild resources are increasingly constrained by overexploitation and climate change. To support conservation planning and sustainable cultivation, we quantified current and future potential habitat suitability across China using an ensemble [...] Read more.
Stephania tetrandra is a medicinal plant with ecological, germplasm, and economic value whose wild resources are increasingly constrained by overexploitation and climate change. To support conservation planning and sustainable cultivation, we quantified current and future potential habitat suitability across China using an ensemble species distribution modeling (SDM) framework and translated the outputs into climate-based priority areas for protection, germplasm safeguarding, monitoring, and phased cultivation trials. Occurrence records were compiled from multiple sources and preprocessed via cleaning and spatial thinning to reduce sampling bias. Current predictors were derived from WorldClim (1970–2000) and complemented with topographic and edaphic variables; future climates were represented by CMIP6 projections for the 2050s, 2070s, and 2090s under SSP1-2.6, SSP2-4.5, and SSP5-8.5. Multiple algorithms were trained in a consistent cross-validation workflow and filtered using AUC (ROC) and TSS before generating a weighted ensemble (EMwmean). Current projections indicate a well-defined suitability core in the humid subtropical monsoon region south of the Yangtze River. Nationally, high-, moderate-, and low-suitability areas were estimated at 51.90 × 104 km2, 22.95 × 104 km2, and 31.05 × 104 km2, respectively. Future impacts are dominated by suitability-grade reallocation rather than a collapse of total suitable extent. Under SSP5-8.5 in the 2090s, high suitability declines to 13.32 × 104 km2 (≈74% reduction), accompanied by contraction of stable habitat (48.95 × 104 km2) and expansion of loss areas (33.64 × 104 km2), while gains remain limited (4.30 × 104 km2). Extrapolation diagnostics (Multivariate Environmental Similarity Surface, MESS; Most Dissimilar Variable, MoD) highlight elevated uncertainty in northwestern arid/high-elevation and strongly seasonal transition zones. Environmental-space niche overlap decreases moderately (Schoener’s D = 0.51–0.67), indicating niche displacement and a narrowing suitability window. These results represent potential climatic habitat suitability rather than guaranteed future occupancy. They support prioritizing in situ protection and germplasm safeguarding in areas that are currently highly suitable and remain comparatively stable under future climates, while treating marginal gain zones as candidates for monitoring and carefully phased cultivation or introduction trials. Full article
(This article belongs to the Section Plant Diversity)
Show Figures

Figure 1

23 pages, 15333 KB  
Article
Feline-Derived Ligilactobacillus agilis ZY25 and Ligilactobacillus salivarius ZY35 Alleviate Enteropathogenic Escherichia coli-Induced Intestinal Injury and Microbial Dysbiosis in Mice
by Weiwei Wang, Li Pan, Chengyi Miao, Qianqian Chen, Huakai Wang, Chenxiang Sun, Xiaohan Chang, Yuqiang Zhang, Jianmei Wang and Wei Xiong
Microorganisms 2026, 14(3), 679; https://doi.org/10.3390/microorganisms14030679 - 17 Mar 2026
Viewed by 268
Abstract
Enteropathogenic Escherichia coli (EPEC) disrupts intestinal barrier integrity, induces inflammation, and alters gut microbial balance, leading to diarrhea and growth impairment. Probiotics are considered promising alternatives to antibiotics for managing enteric infections, yet the functional properties and underlying mechanisms of feline-derived strains remain [...] Read more.
Enteropathogenic Escherichia coli (EPEC) disrupts intestinal barrier integrity, induces inflammation, and alters gut microbial balance, leading to diarrhea and growth impairment. Probiotics are considered promising alternatives to antibiotics for managing enteric infections, yet the functional properties and underlying mechanisms of feline-derived strains remain unclear. This study evaluated the protective effects of Ligilactobacillus (L.) agilis ZY25 and L. salivarius ZY35, isolated from healthy cats, against EPEC-induced intestinal injury in C57BL/6 mice, with a focus on barrier function, immune modulation, and microbial homeostasis. In this 21-day experiment, 48 mice were assigned to six groups (n = 8/group): control, EPEC model (MOD), chlortetracycline treatment (CTC), probiotic treatment (PRO-T; post-infection only), probiotic pre-treatment (PRO-P; pre-infection only), and continuous probiotic supplementation (PRO; pre- and post-infection). EPEC challenge (0.2 mL; 1 × 109 CFU/mL) was performed daily during experimental days 8–14. EPEC challenge resulted in weight loss (p < 0.05), increased (p < 0.05) diarrhea incidence, elevated (p < 0.05) serum D-lactate, diamine oxidase, and lipopolysaccharide levels, impaired intestinal morphology, immune imbalance, and microbial dysbiosis. Probiotic administration alleviated these alterations, as evidenced by restored intestinal morphology, reduced serum markers of barrier permeability (D-lactate, DAO, LPS), enhanced systemic immunoglobulins (IgA, IgG, IgM), a balanced cytokine profile (increased IL-4, IL-10; decreased TNF-α, IL-6, IL-1β, IFN-γ, CRP), and modulation of the gut microbiota (enrichment of beneficial taxa such as Lachnospiraceae_NK4A136_group and suppression of pro-inflammatory Desulfovibrio). The continuous supplementation regimen (PRO) produced the most consistent improvements among the three intervention strategies tested. These findings suggest that feline-derived probiotics mitigate EPEC-induced intestinal dysfunction, accompanied by improved barrier-related indices, immune rebalancing, and microbial stabilization, thereby providing proof-of-concept evidence for their further evaluation in feline gastrointestinal health. Full article
(This article belongs to the Section Gut Microbiota)
Show Figures

Figure 1

20 pages, 58882 KB  
Article
A Cloud Detection Method for MODIS Images Based on the Dataset from Radiative Transfer Simulations
by Zixuan Han, Bohan Liu, Mingjian Gu, Yong Hu, Fuqiang Zheng and Lan Li
Atmosphere 2026, 17(3), 299; https://doi.org/10.3390/atmos17030299 - 16 Mar 2026
Viewed by 262
Abstract
Accurate cloud detection is an important preprocessing step for subsequent remote sensing data processing. Traditional threshold cloud detection methods have a complex process and require a large number of threshold tests. In recent years, deep learning has been widely applied to cloud detection. [...] Read more.
Accurate cloud detection is an important preprocessing step for subsequent remote sensing data processing. Traditional threshold cloud detection methods have a complex process and require a large number of threshold tests. In recent years, deep learning has been widely applied to cloud detection. However, annotating training datasets for deep learning models typically requires substantial human effort and time investment. Consequently, there are few existing manually annotated cloud detection datasets, and MODIS cloud detection datasets are particularly scarce. To overcome this limitation, we proposed a cloud detection method that combines radiative transfer simulations with deep learning. We first produced a simulated cloud detection dataset using a radiative transfer model and some existing remote sensing products, and then proposed a neural network for training the cloud detection model. Compared with other deep learning models for cloud detection, our method has achieved satisfactory results on the simulated dataset overall. Furthermore, we conducted cloud detection experiments on real satellite imagery. For comparative analysis, we trained other deep learning models on a real satellite image dataset and compared their performance with that of models trained on our simulated dataset. The cloud detection results on real satellite images demonstrate that the models trained on the simulated dataset we proposed achieve performance comparable to those trained on real remote sensing datasets. Specifically, for MODIS data, we compared our results with the official MODIS cloud mask product, MOD35. The results indicate that our method achieves lower false detection rates on mixed surfaces of snow and bare land. Full article
(This article belongs to the Section Atmospheric Techniques, Instruments, and Modeling)
Show Figures

Figure 1

25 pages, 6745 KB  
Article
Major Traumatic and Severe Thermal Injuries Lead to Immediate and Persistent Elevations in Circulating Concentrations of Resistin That Are Associated with Poor Clinical Outcomes and Impaired Innate Immune Responses
by Emily Horner, Kirsty C. McGee, Sebastian Tullie, David N. Naumann, Animesh Acharjee, Thomas Lissillour, Ali Asiri, Janice M. S. Ng, Jack Sullivan, Amanda V. Sardeli, Paul Harrison, Antonio Belli, Naiem S. Moiemen, Janet M. Lord and Jon Hazeldine
Biomolecules 2026, 16(3), 443; https://doi.org/10.3390/biom16030443 - 16 Mar 2026
Viewed by 327
Abstract
Major trauma induces innate immune suppression, yet the underlying mechanisms are poorly understood. Resistin is an immunosuppressive molecule that is systemically elevated post-injury. However, its role in trauma-induced immune dysfunction and clinical outcomes is poorly defined. Here, we acquired blood samples from 147 [...] Read more.
Major trauma induces innate immune suppression, yet the underlying mechanisms are poorly understood. Resistin is an immunosuppressive molecule that is systemically elevated post-injury. However, its role in trauma-induced immune dysfunction and clinical outcomes is poorly defined. Here, we acquired blood samples from 147 adult trauma patients (≤1, 4–12, 48–72 h post-injury) and 95 burns patients (days 1, 3, 7, 14, 28 post-burn). We measured plasma resistin concentrations, studied resistin gene expression in peripheral blood mononuclear cells (PBMCs) and neutrophils, and measured resistin production by lipopolysaccharide (LPS)-challenged whole blood leukocytes. To identify potential novel triggers of resistin secretion by immune cells, we examined the effect that stimulation with mitochondrial-derived damage-associated molecular patterns (mtDAMPs) had on resistin production by neutrophils isolated from healthy donors. We also treated neutrophils, from healthy donors, and THP-1 cells with resistin prior to stimulation with Phorbol 12-myristate-13-acetate (PMA) or LPS to study its effects on reactive oxygen species (ROS) and cytokine production, respectively. Injured patients presented with significantly elevated circulating resistin concentrations and increased resistin gene expression in PBMCs and neutrophils. LPS and mtDAMP stimulation promoted resistin secretion by whole blood leukocytes and neutrophils. Plasma resistin concentrations were negatively associated with PMA-induced ROS generation by neutrophils, and LPS-induced cytokine production by monocytes. Resistin-treated THP-1 cells and neutrophils exhibited impaired functional responses upon secondary stimulation with LPS or PMA, respectively. Trauma patients who developed multiple organ dysfunction syndrome (MODS) presented with significantly elevated resistin concentrations, which at 48–72 h post-injury showed good performance as a predictor of post-traumatic MODS (AUROC, 0.796). Hyperresistinemia is an immediate and persistent feature of the inflammatory response to injury that may contribute to the development of innate immune dysfunction. Full article
(This article belongs to the Special Issue The Immune Response to Severe Trauma)
Show Figures

Figure 1

16 pages, 296 KB  
Review
Bridging the Information Gap in Emergency Response: A Hybrid Model for Digital Fire Safety Instructions
by Patryk Krupa and Péter Pántya
Appl. Sci. 2026, 16(6), 2733; https://doi.org/10.3390/app16062733 - 12 Mar 2026
Viewed by 198
Abstract
Rapid access to building intelligence is critical for emergency response, yet paper fire safety instructions (FSi) often provide limited utility under stress. This structured narrative review addresses the “information gap” between unit arrival and decision-making by analyzing the legal admissibility, technological requirements, and [...] Read more.
Rapid access to building intelligence is critical for emergency response, yet paper fire safety instructions (FSi) often provide limited utility under stress. This structured narrative review addresses the “information gap” between unit arrival and decision-making by analyzing the legal admissibility, technological requirements, and security risks of digital FSi across Poland, Germany, France, Belgium, and Hungary. While no explicit prohibition of digital forms was identified, enforcement practices prioritize paper as the evidentiary master. Consequently, we propose a hybrid model: a paper master for compliance and redundancy, supplemented by a digital operational overlay accessed via “zero-install” offline-first progressive web apps (PWA). The review defines a minimum operational dataset (MOD)—prioritizing critical data like utility shut-offs and hazards over full documentation—and addresses cybersecurity threats, specifically QR-phishing (“quishing”). We conclude that the hybrid model minimizes legal and operational risks while significantly reducing time-to-information, provided that strict content identity and change management protocols are maintained. Full article
33 pages, 6958 KB  
Article
Short-Term Performance of Visual Attention Prompt Methods Across Driver Proficiency in a Driving Simulator
by Jinwei Liang and Makio Ishihara
Multimodal Technol. Interact. 2026, 10(3), 28; https://doi.org/10.3390/mti10030028 - 11 Mar 2026
Viewed by 190
Abstract
In complex driving environments, drivers must continuously detect and respond to critical visual information such as traffic signs and pedestrians. However, important targets may sometimes be overlooked due to high cognitive load during driving. Therefore, visual attention prompt methods have been proposed to [...] Read more.
In complex driving environments, drivers must continuously detect and respond to critical visual information such as traffic signs and pedestrians. However, important targets may sometimes be overlooked due to high cognitive load during driving. Therefore, visual attention prompt methods have been proposed to guide drivers’ gaze toward relevant targets. A visual attention prompt method is a visual cue presented in a key area in a user’s field of view to draw his/her visual attention. This study evaluates the short-term performance of five visual attention prompt methods (Point, Arrow, Blur, Dusk, and ModAF) in a driving simulator and compares their performance between novice and proficient drivers. Eye-tracking data and multiple analyses are used to examine whether the influence of these methods could be maintained after they are disabled and to clarify drivers’ response patterns across methods in consideration with their driving proficiency. The results indicate that visual attention prompt methods could induce a short-term transfer effect, as drivers still tend to fixate on target traffic signs earlier after the methods are disabled, and the elapsed-time analysis estimates that this effect lasts about 84.35 s. Overall, the Point, Arrow, and Dusk methods show relatively stronger performance with significant reductions in the elapsed time to fixate on the traffic sign. The clustering analysis further shows that drivers’ response patterns are not uniform, with two clusters for novice drivers and three clusters for proficient drivers. The results suggest that most novice drivers tend to benefit from explicit non-directional visual cues that enhance target salience, such as the Point method, whereas proficient drivers are more likely to benefit from explicit directional visual cues that provide clear directional guidance, such as the Arrow method. These findings suggest that visual attention prompt methods may be useful for developing driver training strategies tailored to different levels of driving proficiency, helping drivers maintain more effective visual attention allocation during driving and potentially contributing to improved driving safety. Full article
Show Figures

Figure 1

Back to TopTop