Sign in to use this feature.

Years

Between: -

Subjects

remove_circle_outline
remove_circle_outline
remove_circle_outline
remove_circle_outline
remove_circle_outline
remove_circle_outline
remove_circle_outline
remove_circle_outline
remove_circle_outline

Journals

remove_circle_outline
remove_circle_outline
remove_circle_outline
remove_circle_outline
remove_circle_outline
remove_circle_outline
remove_circle_outline
remove_circle_outline
remove_circle_outline
remove_circle_outline
remove_circle_outline
remove_circle_outline
remove_circle_outline

Article Types

Countries / Regions

remove_circle_outline
remove_circle_outline
remove_circle_outline
remove_circle_outline

Search Results (657)

Search Parameters:
Keywords = MIC-A

Order results
Result details
Results per page
Select all
Export citation of selected articles as:
26 pages, 4465 KB  
Article
K and Mg in Soil Clay Reservoirs: Responses in Soil Solution Composition and Implications for Natural Fertility in Acidic Environments
by Sara Alcalde-Aparicio, Eduardo Alonso-Herrero and Manuel Vidal-Bardán
Minerals 2026, 16(3), 320; https://doi.org/10.3390/min16030320 - 19 Mar 2026
Viewed by 301
Abstract
Soils play a fundamental role in plant nutrition as primary sources of potassium (K) and magnesium (Mg), whose availability depends on soil properties and environmental conditions. The composition of major cations in the soil solution is governed by interacting factors, including soil texture, [...] Read more.
Soils play a fundamental role in plant nutrition as primary sources of potassium (K) and magnesium (Mg), whose availability depends on soil properties and environmental conditions. The composition of major cations in the soil solution is governed by interacting factors, including soil texture, acidity, mineralogical composition, and seasonal variability during the growing cycle. This study examines the availability, mobility, and seasonal dynamics of K and Mg in the soil solution of seven naturally managed soils across four distinct periods of a complete growing season beginning in spring. An integrated field and laboratory approach was applied to assess the influence of clay mineralogy on K and Mg behavior and overall soil fertility. Seasonal soil samples were analyzed for mineral composition, total elemental chemistry, exchangeable cation pools, and soil solution chemistry. Total elemental concentrations were determined by inductively coupled plasma mass spectrometry (ICP-MS), and clay mineral assemblages were identified by X-ray diffraction (XRD), focusing on 2:1 clay minerals, mixed-layer phases, and hydroxy-interlayered minerals (HIMs). The soils were dominated by 2:1 and mixed-layer assemblages, including illite/smectite (Ill/Sm), mica/illite–vermiculite (M/Vm), and chlorite/smectite (Chl/Sm), as well as transitional HIMs such as hydroxy-interlayered smectite (HIS) and hydroxy-interlayered vermiculite (HIV). Exchangeable Mg (0.28–1.30 cmolc kg−1) and K (0.12–0.97 cmolc kg−1) occurred in relatively high amounts, with maximum base saturation values of 13.14% (Mg) and 4.55% (K). Soil solution concentrations ranged from 1.60 to 3.00 ppm for K+ and 0.90–1.70 ppm for Mg2+, indicating substantial mobility and enrichment from the solid phase. These findings demonstrate that 2:1 clay minerals and mixed-layer phases act as key reservoirs regulating K and Mg exchangeability and release under natural acidic conditions, thereby sustaining soil fertility and nutrient availability for plant uptake. Full article
(This article belongs to the Section Clays and Engineered Mineral Materials)
Show Figures

Figure 1

29 pages, 47085 KB  
Article
Discovery of Waimirite-(Y) in Egypt: Insights into REE Mineralization in Neoproterozoic Granite and Metasediments, Wadi Abu Rusheid, Eastern Desert
by Mustafa A. Elsagheer, Hilmy E. Moussa, Ayman E. Maurice, Paul D. Asimow, Oliver D. Wilner, Maysa M. N. Taha, Adel A. Surour and Mokhles K. Azer
Geosciences 2026, 16(3), 122; https://doi.org/10.3390/geosciences16030122 - 16 Mar 2026
Viewed by 191
Abstract
We report, for the first time, waimirite-(Y) in Egypt. This is only the third reported occurrence of this mineral in the world. This observation arose during our study of the rare earth element (REE) mineralization associated with the Neoproterozoic rare-metal granite intrusion in [...] Read more.
We report, for the first time, waimirite-(Y) in Egypt. This is only the third reported occurrence of this mineral in the world. This observation arose during our study of the rare earth element (REE) mineralization associated with the Neoproterozoic rare-metal granite intrusion in Wadi Abu Rusheid in the Eastern Desert of Egypt. The principal lanthanide and yttrium (Y) hosts in the area are waimirite-(Y) and bastnäsite-(Ce) in leucogranite and bastnäsite-(Y) in adjacent metasedimentary country rock. The leucogranite is a strongly fractionated, metaluminous to weakly peraluminous (A/CNK = 0.98–1.03), medium- to high-K calk-alkaline I-type granite. The metasediments are composed of upper greenschist to lower amphibolite-grade biotite schists with variable amounts of amphibole, graphite, and garnet. Leucogranite contains accessory Li-bearing mica, garnet, zircon, fluorite, and columbite in addition to the REE minerals. It is enriched by three orders of magnitude relative to primitive mantle in Li, Rb, Th, Ta, Nb, Pb, U, and Sn; relative to these highly enriched elements the concentrations of Sr, Ba, Ga, Zr, Hf, and Y are notably low. The REE patterns of most samples show strong enrichment in heavy relative to light REE but occasional samples have light REE-enriched patterns controlled by accessory REE minerals, and all display strong negative Eu anomalies (Eu/Eu* ≤ 0.05). The whole-rock chemistry of the metasedimentary units are different; relative to average upper continental crust they show enrichments of one to two orders of magnitude in Li, Rb, Pb, Sn, Cs, and sometimes Cr and Zn. The REE patterns of the metasedimentary units are nearly flat, with some samples showing negative Eu anomalies. Waimirite-(Y), nominally YF3, also contains several weight percent each of Yb, Dy, and Er. The empirical formula (based on one cation) is (Y0.55Ce0.02Pr0.01Nd0.02Sm0.02Gd0.02Dy0.05Er0.04Yb0.05Th0.05Ca0.16Pb0.01)∑1.00(F2.48O0.52)∑3.00. Bastnäsite-(Ce) in leucogranite samples, nominally Ce(CO3)F, also has several weight percent each of Nd2O3 and La2O3. The REE host in metasedimentary rocks is bastnäsite-(Y), nominally Y(CO3)F, but also rich in Nd2O3 (11–19 wt.%) and La2O3 (4–14 wt.%). It is intimately associated with fluorophlogopite. The geochemical, mineralogical, and textural evidence indicates that waimirite-(Y) and bastnäsite-(Ce) in leucogranite crystallized from granite-derived F- and CO2-bearing hydrothermal fluids, whereas the source of Y for growth of the bastnäsite-(Y) in the metasedimentary rocks is unclear; the large negative Ce anomaly in bastnäsite-(Y) suggests an oxidizing supergene setting. Despite their proximity, if there is a genetic connection between the mineralization in the granite and in its country rocks, the relationship is not evident from elemental patterns or host mineralogy. Full article
(This article belongs to the Section Geochemistry)
Show Figures

Figure 1

13 pages, 2175 KB  
Article
sMICA/sMICB and Immune Checkpoint in Endometriosis: Toward a Minimally Invasive Diagnostic Model Based on Machine Learning
by Anastasia Belevich, Maria Yarmolinskaya, Ilya Smirnov, Anastasia Stolbovaya, Olga Shashkova, Marina Samoylovich, Sergey Selkov, Polina Grebenkina, Elizaveta Tyshchuk and Dmitry Sokolov
Biomedicines 2026, 14(3), 647; https://doi.org/10.3390/biomedicines14030647 - 12 Mar 2026
Viewed by 303
Abstract
Background: Endometriosis is a complex condition that impairs women’s quality of life and reproductive potential. Its diagnosis remains significant challenge for clinicians. The aim of the study was to investigate cancer-like immune evasion mechanisms in endometriosis and to develop a novel diagnostic model [...] Read more.
Background: Endometriosis is a complex condition that impairs women’s quality of life and reproductive potential. Its diagnosis remains significant challenge for clinicians. The aim of the study was to investigate cancer-like immune evasion mechanisms in endometriosis and to develop a novel diagnostic model using machine learning. Methods: In this study, we measured the levels of soluble forms of the following immune markers in blood serum and peritoneal fluid (PF): sMICA, sMICB, sEng, sCD25, s4-1BB, sB7.2, sCTLA-4, sPD-L1, sPD-1, sTIM-3, sLAG-3, and sGal-9. Results: sMICB levels in PF differed across endometriosis stages and were higher in patients with endometriosis-associated adhesions. sMICA levels in PF were elevated in women with endometriosis-associated infertility. The disease severity was inversely correlated with serum sB7.2 levels and positively correlated with serum sTIM-3 levels. A logistic regression model achieved an accuracy = 0.79, AUC = 0.94, and F1-score = 0.88, whereas XGBoost performed better with accuracy = 0.94, AUC = 0.95, and F1-score = 0.96. The key predictive features in both models were sMICB serum level and patients’ pain score. Conclusions: Our results demonstrate the potential role of sMICA and sMICB shedding in endometriosis and present a novel, minimally invasive diagnostic approach. Full article
Show Figures

Figure 1

24 pages, 4319 KB  
Article
Integrative Population Analysis of MICA and MICB Using Unsupervised Machine Learning in a Large Histocompatibility Laboratory Cohort
by Luis Ramalhete, Paula Almeida, Ruben Araújo and Eduardo Espada
J 2026, 9(1), 8; https://doi.org/10.3390/j9010008 - 6 Mar 2026
Viewed by 250
Abstract
Background: Non-classical MHC class I molecules MICA and MICB are stress-inducible NKG2D ligands that contribute to immune surveillance, non-HLA antibody formation, and alloreactivity in solid organ and hematopoietic stem cell transplantation; population-level data for Southern Europe remain limited. Methods: High-resolution MICA and MICB [...] Read more.
Background: Non-classical MHC class I molecules MICA and MICB are stress-inducible NKG2D ligands that contribute to immune surveillance, non-HLA antibody formation, and alloreactivity in solid organ and hematopoietic stem cell transplantation; population-level data for Southern Europe remain limited. Methods: High-resolution MICA and MICB genotyping was performed in 1364 unrelated individuals from southern Portugal using a hybrid-capture next-generation sequencing workflow, and allele calls were analyzed with standard population-genetic metrics (allele and genotype frequencies, heterozygosity, Hardy–Weinsberg equilibrium, and LD-like D, D′, r2) and multilocus allele presence/absence encodings explored by k-means clustering, spectral clustering, principal component analysis, t-distributed stochastic neighbor embedding, and uniform manifold approximation and projection. Results: Forty-two MICA and twenty-two MICB alleles were identified; MICA*002:01, MICA*004:01, MICA*008:01, MICA*008:04 and MICB*002:01, MICB*004:01, MICB*005:02, MICB*008:01 were most frequent, and most individuals carried at least two distinct MICA and two distinct MICB allotypes. Co-occurrence and LD-like analyses revealed conserved MICA–MICB combinations, including a strong association between MICA*009:02 and MICB*005:06, while unsupervised analyses identified partially overlapping multilocus genotype backgrounds and recurrent four-allele constellations. Conclusions: These findings provide a detailed non-classical MHC reference for southern Portugal and a multilocus framework to support interpretation of non-HLA antibodies and MICA/MICB-aware donor evaluation in selected clinical scenarios, as well as the development of machine learning-based immunologic risk models. Full article
(This article belongs to the Special Issue Feature Papers of J—Multidisciplinary Scientific Journal in 2026)
Show Figures

Figure 1

11 pages, 615 KB  
Review
The Male Predominance in HBV-Related Hepatocellular Carcinoma: Unraveling the Axis of Androgen Receptor, Viral Replication, and Immune Evasion via NKG2D Ligands
by Koji Takahashi, Takaaki Ikegami, Arisa Kato, Nana Yamada, Terunao Iwanaga, Takafumi Sakuma, Junichi Senoo and Hidehiro Kamezaki
Onco 2026, 6(1), 15; https://doi.org/10.3390/onco6010015 - 1 Mar 2026
Viewed by 275
Abstract
Hepatocellular carcinoma (HCC) exhibits a striking male predominance, particularly in Hepatitis B Virus (HBV) endemic regions. While lifestyle factors and estrogen protection are traditional explanations, they fail to fully account for this disparity. This review elucidates the molecular mechanisms driving this gender gap, [...] Read more.
Hepatocellular carcinoma (HCC) exhibits a striking male predominance, particularly in Hepatitis B Virus (HBV) endemic regions. While lifestyle factors and estrogen protection are traditional explanations, they fail to fully account for this disparity. This review elucidates the molecular mechanisms driving this gender gap, focusing on the interplay between the Androgen Receptor (AR), viral replication, and the suppression of NKG2D-mediated immune surveillance. We synthesized experimental and clinical findings linking AR signaling, the viral protein HBx, and the regulation of NKG2D ligands (MICA/MICB). Current evidence identifies a positive feedback loop where AR enhances HBV replication, while HBx amplifies AR activity. Crucially, this axis systematically dismantles innate immunity: AR signaling represses MICA/B transcription via miRNA networks and upregulates ADAM metalloproteases, leading to ligand shedding and the release of soluble MICA (sMICA), effectively blinding Natural Killer (NK) cells. We propose that historical failures of anti-androgen monotherapy likely stemmed from ignoring this immune modulation. Consequently, targeting the AR-NKG2D axis represents a promising strategy to sensitize tumors to immunotherapy, suggesting that future therapeutic approaches should combine AR modulation with immune checkpoint inhibitors or shedding-blockade. Full article
Show Figures

Figure 1

31 pages, 22891 KB  
Article
Geochemical Indicators of the Peraluminous W-Cu-Mo-(±Sn-Li-Ta-Nb) Granites in Dahutang Orefield in Northern Jiangxi and Their Significance for Exploration
by Haimin Ye, Mangting Shen, Minggang Yu, Cunzhi Wang and Feipeng Fan
Minerals 2026, 16(3), 262; https://doi.org/10.3390/min16030262 - 28 Feb 2026
Viewed by 266
Abstract
The origin of Mesozoic granites associated with the Dahutang W-Cu-Mo orefield in northern Jiangxi, which hosts the world’s second-largest tungsten deposit, remains a compelling subject despite extensive geochemical and geochronological studies. In this contribution, we present wolframite mineral and whole-rock geochemistry, as well [...] Read more.
The origin of Mesozoic granites associated with the Dahutang W-Cu-Mo orefield in northern Jiangxi, which hosts the world’s second-largest tungsten deposit, remains a compelling subject despite extensive geochemical and geochronological studies. In this contribution, we present wolframite mineral and whole-rock geochemistry, as well as monazite and zircon U-Pb ages, for the Mesozoic granites to constrain our understanding of the petrogenesis of these granites and their coupling relationship with the mineralization. The following two magmatic phases and four types of rocks in the study area are identified: the early stage (152–147 Ma) biotite (G1) granites and the late stage (144–130 Ma) two-mica (G2),muscovite (G3), and albite (G4) granite series. These two magmatic phases are temporally coincident with two mineralization stages (~150 Ma and 144–139 Ma). All the Mesozoic granites share the characteristics of high silica content, peraluminosity (A/CNK > 1.1), and low Zr + Nb + Ce + Y values (<200 ppm); they are derived from the partial melting of a Proterozoic crustal source and classified as S-type granites. Specifically, the G1 granites are characterized by relatively high MgO (~0.5%), CaO (~1%), and low P2O5 (0.13%–0.20%). They formed through a relatively high degree of partial melting at approximately 766 °C (zircon saturation temperatures), a process influenced by biotite dehydration reactions, with minor contributions from mantle-derived materials. In contrast, the G2–G4 granite series exhibits more typical peraluminous S-type granite features, such as high Al2O3, Na2O, and P2O5 (mostly > 0.2%) contents, and low Sr and Ba contents. They are products of low-degree partial melting that occurred under conditions close to muscovite breakdown at ~726 °C. Additionally, fluid–melt interaction is recorded in both granites by distinctive geochemical signatures, including enrichment in Sn (>30 ppm), Cs (>35 ppm), Li (>250 ppm), F (>0.4%), and W (10–1000 ppm), coupled with low K/Rb (<150) and Nb/Ta (<5) ratios. The near-chondritic Zr/Hf (22.6–34.1) and Y/Ho (24.5–31.5) ratios of the G1 granites imply a relatively limited role of magmatic fluid–melt interaction during its evolution. For the G2–G4 granites, however, intense crystal fractionation and late-stage fluid–melt interaction are well-documented by their highly variable and low ratios of Y/Ho (14.8–41.4), Nb/Ta (0.89–5.57), Zr/Hf (8.84–41.67), and K/Rb (13.96–128.29). In the long-lived, reduced, and volatile-rich aqueous environment of the G2–G4 magmas, fractional crystallization and albitization collectively enhanced the solubility and hydrothermal transport capacity of W, Sn, Li, Nb, and Ta by multiple orders of magnitude. In contrast, in the earlier, more oxidized G1 magmas (which incorporated mantle materials), the exsolution and hydrothermal transport of Cu and Mo were associated with localized greisenization, but their capacity diminished with fractional crystallization. Historically, mineral exploration in the Dahutang mining area has focused primarily on W, Cu, and Mo. Based on this research, we conclude that there is significant mineral potential for rare metals (particularly Sn, Li, and Ta), and future exploration should prioritize areas adjacent to the evolved G2–G4 peraluminous leucogranites to search for new concealed mineral occurrences. Full article
(This article belongs to the Section Mineral Exploration Methods and Applications)
Show Figures

Figure 1

20 pages, 9237 KB  
Article
Transferring RGB-Pretrained CNNs to Multispectral UAV Imagery for Salt Marsh Vegetation Classification
by Sadiq Olayiwola Macaulay, Eleonora Maset, Francesco Boscutti, Paolo Cingano, Francesco Trevisan, Giacomo Trotta, Marco Vuerich and Andrea Fusiello
Remote Sens. 2026, 18(4), 655; https://doi.org/10.3390/rs18040655 - 21 Feb 2026
Viewed by 386
Abstract
Accurate classification of salt marsh vegetation is crucial for coastal wetland monitoring, but fine-grained species discrimination remains difficult, particularly when only limited training data are available for deep learning approaches. To address this challenge, this paper presents a transfer learning-based framework for classifying [...] Read more.
Accurate classification of salt marsh vegetation is crucial for coastal wetland monitoring, but fine-grained species discrimination remains difficult, particularly when only limited training data are available for deep learning approaches. To address this challenge, this paper presents a transfer learning-based framework for classifying salt marsh vegetation using UAV multispectral imagery, focusing on a seven-class taxonomy representative of dominant species and water surfaces. Multispectral orthophotos acquired with a MicaSense Dual-Camera system (10 spectral bands) are combined with five vegetation indices to create rich multi-channel inputs. A classification architecture inspired by heterogeneous transfer learning is developed, where a feature-encoding branch compresses the 15-channel input into three channels before processing through a VGG-16 Convolutional Neural Network (CNN), pre-trained on RGB imagery. By leveraging transfer learning from VGG-16, the proposed model achieves high classification accuracy even with limited training data. Performance is compared with traditional machine learning classifiers, namely Support Vector Machines (SVMs) and Random Forest (RF). Results show that the deep learning approach significantly outperforms SVM and RF, achieving an overall accuracy of 98.4% when jointly using spectral bands and vegetation indices. These findings demonstrate the potential of integrating multispectral UAV data and CNN-based classification to support accurate mapping of heterogeneous salt marsh communities for ecological monitoring and coastal management. Full article
Show Figures

Figure 1

27 pages, 13749 KB  
Article
Impurity-like Photoelectron Activity of Natural Silicates: Multiscale Analysis Through Spectroscopic Characterization and Electrochemical Responses
by Taixi He and Chengmin Huang
Minerals 2026, 16(2), 199; https://doi.org/10.3390/min16020199 - 14 Feb 2026
Viewed by 424
Abstract
Observations of photoelectric conversion in Fe- and Mn-rich semiconductor mineral coatings highlight their potential role in the origin of life and the evolution of environmental conditions. However, natural silicate minerals, which make up most of the Earth’s crust, are generally considered wide-bandgap insulators [...] Read more.
Observations of photoelectric conversion in Fe- and Mn-rich semiconductor mineral coatings highlight their potential role in the origin of life and the evolution of environmental conditions. However, natural silicate minerals, which make up most of the Earth’s crust, are generally considered wide-bandgap insulators and are not expected to exhibit a photoelectric effect. In this study, we experimentally confirm measurable impurity-like photoelectron activity in natural silicate minerals and explore possible regulatory mechanisms. We show that electron-active elements (e.g., structural Fe and Ti) and lattice defects in minerals such as pyroxene and mica can reduce the optical gap (Eopt) to below ~4.13 eV, producing small photocurrents ranging from 0.010 to 0.114 μA/cm2 on ITO substrates (background signal excluded). The structural types of these minerals—chain, island, layer, and framework—may influence their photoelectric responses by affecting electron transport pathways. Notably, light wavelength strongly controls both the photoelectric relative activity (PRA = 3–10 for silicates) and the decay kinetics (0.002–0.021 s−1) of minerals. Visible light (400–800 nm) markedly enhances photocurrent densities in low-bandgap minerals such as limonite (Eopt = 2.11 eV). In contrast, ultraviolet light (UVB, 300 nm) enhances photoelectric responses in high-bandgap minerals, including feldspar and quartz (Eopt = 4.31 and 6.08 eV, respectively). Multivariate statistical analysis further indicates that elemental composition governs spectroscopic features that influence photoelectric behavior. Among these, Fe, Al, Si, and Ti are identified as key regulatory elements. These results provide new insights into the role of natural silicates in photoelectron-driven environmental and geological processes and highlight the potential of silicate-based materials for solar energy conversion applications. Full article
Show Figures

Graphical abstract

15 pages, 259 KB  
Article
Soluble Major Histocompatibility Complex I-Related Chain A (sMICA)*008 Levels Associate with Smoking, Presence of Chronic Obstructive Pulmonary Disease, and Prevalence of Lung Cancer
by Robert M. Burkes, Mauricio Orozco-Levi, Alba Ramirez-Sarmiento, Albert Sanchez-Font, Joaquin Gea and Michael T. Borchers
J. Clin. Med. 2026, 15(4), 1496; https://doi.org/10.3390/jcm15041496 - 14 Feb 2026
Viewed by 339
Abstract
Background: Lung cancer and chronic obstructive pulmonary disease (COPD) are morbid and mortal conditions arising from noxious endothelial stress. Soluble Major Histocompatibility Complex I Chain Related A (sMICA) is an activating ligand for the NKG2C receptor, and the soluble form indicates endothelial stress [...] Read more.
Background: Lung cancer and chronic obstructive pulmonary disease (COPD) are morbid and mortal conditions arising from noxious endothelial stress. Soluble Major Histocompatibility Complex I Chain Related A (sMICA) is an activating ligand for the NKG2C receptor, and the soluble form indicates endothelial stress and is a mechanism for evading immune surveillance in lung cancer. We provide independent associations between sMICA*008 levels and the prevalence of lung cancer, lung cancer histologies, COPD, and risk factors for both diseases. Methods: We describe statistical associations between sMICA and demographic and clinical variables. Multivariate linear regression determined the independent associations between sMICA levels and lung cancer histology, between those with and without primary lung cancer, and prevalent COPD in participants without lung cancer. Point estimates and 95% confidence intervals are reported; p < 0.05 is considered statistically significant. Results: The cohort (n = 586 patients) included 24% female and 48% current or former smokers. Mean sMICA were 5.20 pg/mL ×102, and FEV1%-predicted of 62. sMICA levels were higher in those who smoked vs. those who did not. In Multivariate regression, non-small cell lung cancer (NSCLC) was associated with 14.2 pg/mL ×102 (95% CI 3.57 to 24.9 pg/mL ×102) higher sMICA levels compared to those without cancer. No other histology was independently associated with higher sMICA. Primary lung cancer [12.5 pg/mL ×102 (2.85 to 22.2 pg/mL ×102)] and COPD in those without cancer [4.38 pg/mL ×102 (0.38 to 8.39 pg/mL ×102)] were associated with higher sMICA. Conclusions: sMICA*008 is independently associated with NSCLC, primary lung cancer, and COPD, respectively, in a cohort of current, former, and never smokers with and without lung cancer. sMICA levels were also higher in smokers. This study provides a foundation for future studies on sMICA activity in lung cancer and COPD, and assessment of sMICA as a biomarker for lung cancer cell type and risk of lung function loss in COPD. Full article
(This article belongs to the Section Respiratory Medicine)
24 pages, 6522 KB  
Article
Fabrication of ZnO/BiOCl Composite Photocatalysts Supported on Hierarchical Muscovite and Photocatalytic Activity
by Gongming Qian and Chengqi Ma
Catalysts 2026, 16(2), 181; https://doi.org/10.3390/catal16020181 - 11 Feb 2026
Viewed by 599
Abstract
In this study, exfoliated mica nanoparticle particles were utilized to reduce the band gap of mica nanoparticles, and the loading of ZnO and BiOCl enhanced the photocatalytic performance. Within the mica nanosheets, exfoliation led to a decrease in band gap energy from 7 [...] Read more.
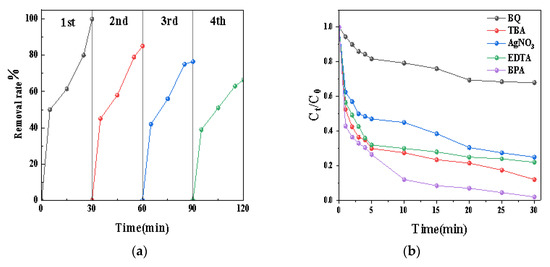
In this study, exfoliated mica nanoparticle particles were utilized to reduce the band gap of mica nanoparticles, and the loading of ZnO and BiOCl enhanced the photocatalytic performance. Within the mica nanosheets, exfoliation led to a decrease in band gap energy from 7 eV to 2.5 eV, thereby improving the semiconductor properties of the material. It is more suitable for photocatalysis research and the improvement in photocatalytic capabilities. This research prepared exfoliated mica nanoparticle particles (eMica) via ultrasonic exfoliation combined with CTAB intercalation and acid treatment. Subsequently, a ZnO/BiOCl ternary composite photocatalyst supported on eMica (ZnO/BiOCl@eMica) was synthesized using a hydrothermal method. The crystal structure, chemical composition, morphology, and optical properties of the materials were systematically characterized by X-ray diffraction (XRD), X-ray photoelectron spectroscopy (XPS), scanning electron microscopy (SEM), transmission electron microscopy (TEM), and Fourier-transform infrared spectroscopy (FT-IR). The effects of reaction conditions (ZnO/BiOCl molar ratio, catalyst dosage, initial BPA concentration, and solution pH) on photocatalytic performance were investigated through BPA degradation experiments. The results showed that when the molar ratio of eMica:ZnO:BiOCl was 1:3:3, the catalyst dosage was 0.1 g/50 mL, the initial BPA concentration was 20 mg/L, and pH = 10, the composite achieved a BPA degradation efficiency of 98% within 30 min. Free radical trapping experiments confirmed that superoxide anions (·O2), hydroxyl radicals (·OH), and holes (h+) were the primary active species. The excellent performance of the composite is attributed to the high specific surface area and electron transfer capability of eMica, as well as the synergistic charge separation effect of the ZnO/BiOCl heterojunction. Furthermore, the composite maintained nearly 80% degradation efficiency after four cycles, demonstrating good stability and practical potential. Two-dimensional (2D) mica nanoparticles open new opportunities for exploring the photocatalytic properties of 2D materials and show promise in the field of 2D photocatalysis. Full article
(This article belongs to the Section Photocatalysis)
Show Figures

Graphical abstract

31 pages, 5641 KB  
Article
Origin of Black Shale-Hosted Dagangou Vanadium Deposit, East Kunlun Orogenic Belt, NW China: Evidence from Mineralogy and Geochemistry
by Tao Tian, Fengyue Sun, Guang Xu, Guowen Miao, Ye Qian, Jianfeng Qiao, Shukuan Wu and Zhian Wang
Minerals 2026, 16(2), 163; https://doi.org/10.3390/min16020163 - 30 Jan 2026
Viewed by 509
Abstract
Little is known of a large black shale belt within the Naij Tal Group in the East Kunlun region, which hosts polymetallic deposits, including manganese, vanadium, and cobalt. The recently discovered Dagangou vanadium mineralization is the first black rock series-type vanadium deposit in [...] Read more.
Little is known of a large black shale belt within the Naij Tal Group in the East Kunlun region, which hosts polymetallic deposits, including manganese, vanadium, and cobalt. The recently discovered Dagangou vanadium mineralization is the first black rock series-type vanadium deposit in the East Kunlun region and Qinghai Province and represents a significant find owing to its intermediate scale. This study investigated the mineralogy, major and trace elements, rare earth elements, and platinum group element geochemistry of the Dagangou vanadium deposit. Scanning electron microscopy and energy-dispersive X-ray spectroscopy revealed that the main vanadium-bearing minerals are micas, followed by limonite, clay minerals, feldspar, and jarosite. The SiO2/Al2O3, Co/Zn, Sr/Ba, and Pd/Ir ratios, as well as the Ir content of the ores, indicated strong involvement of hydrothermal activity in the mineralization process. The V/Cr, Ni/Co, and U/Th ratios, as well as the δU values and significant negative δCe anomalies, suggested that the vanadium-bearing black rock series formed in a strongly anoxic reducing environment. The Al2O3/(Al2O3 + Fe2O3) and MnO/TiO2 ratios, along with weak positive δEu anomalies and strong enrichment of heavy rare earth elements, indicated that mineralization occurred in an extensional tectonic setting. The black shale-hosted vanadium polymetallic deposit formed in a setting that transitioned from an open oceanic deep-sea environment to a progressively shallower continental margin. Full article
Show Figures

Figure 1

18 pages, 3245 KB  
Article
Calreticulin-Mediated Quality Control of the Non-Classical MHC-I Molecule MICA: Implications for Immune Surveillance
by Fabiola González-Herrera, Karen Toledo-Stuardo, Antonio E. Serrano, Marcela Gatica-Andrades, Douglas J. Matthies, Valentina López, Ignacio Aguayo, Sebastián Indo, María José Garrido, Yuneisy Guerra, Samantha Tello, Ivo Campos, Flavio Salazar-Onfray, Gerald Zapata-Torres, Carolina H. Ribeiro and María Carmen Molina
Int. J. Mol. Sci. 2026, 27(3), 1310; https://doi.org/10.3390/ijms27031310 - 28 Jan 2026
Viewed by 558
Abstract
Major histocompatibility complex class I chain-related gene A (MICA) is a non-classical MHC-I molecule essential for immune surveillance, yet its intracellular maturation remains poorly understood. We show that MICA is predominantly retained intracellularly in melanoma cells and colocalizes with the endoplasmic reticulum chaperone [...] Read more.
Major histocompatibility complex class I chain-related gene A (MICA) is a non-classical MHC-I molecule essential for immune surveillance, yet its intracellular maturation remains poorly understood. We show that MICA is predominantly retained intracellularly in melanoma cells and colocalizes with the endoplasmic reticulum chaperone calreticulin (CRT). Notably, MICA also colocalizes with CRT in healthy skin. Immunoprecipitation assays reveal that CRT preferentially associates with a low-molecular-weight form of MICA. Recombinant protein assays and in silico analyses support direct interaction between CRT and non-glycosylated MICA, but not with fully glycosylated eukaryotic MICA. These findings identify CRT-dependent retention of MICA as a physiological checkpoint that may be dysregulated in melanoma to promote immune evasion. Full article
Show Figures

Figure 1

13 pages, 346 KB  
Article
Stigma Toward Mental Illness Among Non-Psychiatrist Doctors in India: A Cross-Sectional Study
by Seshadri Sekhar Chatterjee, Adesh Agrawal, Soumitra Das, Mallika Roy, Barikar C. Malathesh and Sydney Moirangthem
Psychiatry Int. 2026, 7(1), 25; https://doi.org/10.3390/psychiatryint7010025 - 26 Jan 2026
Viewed by 568
Abstract
Background: Mental illness stigma among healthcare professionals can adversely affect patient care and recovery. While attitudes are shifting globally, limited data exist on stigma among non-psychiatrist doctors (NPDs) in India. This study aimed to assess the attitudes of NPDs toward mental illness and [...] Read more.
Background: Mental illness stigma among healthcare professionals can adversely affect patient care and recovery. While attitudes are shifting globally, limited data exist on stigma among non-psychiatrist doctors (NPDs) in India. This study aimed to assess the attitudes of NPDs toward mental illness and psychiatry using the Mental Illness Clinicians’ Attitudes Scale (MICA-4), and to explore associated sociodemographic and clinical factors. Methods: A cross-sectional online survey was conducted across India over six months in 2022, following ethics approval. The survey link was distributed via professional social media platforms using convenience and snowball sampling. Non-psychiatrist doctors with at least an MBBS degree were eligible. The MICA-4 scale assessed stigma across five domains. Descriptive statistics, correlation analyses, and multiple regression analysis were conducted. Results: A total of 102 responses were analysed. The mean MICA-4 score was 48.37, indicating moderately positive attitudes. Domain-wise analysis revealed higher stigma in knowledge/misconception and self-disclosure domains, while attitudes towards ethics and patient care were more favourable. No significant differences were found by gender, specialty, or practice setting. Weekly psychiatric caseload was not associated with reduced stigma. Internal consistency of the scale was low (Cronbach’s α = 0.46), raising concerns about cultural fit. The regression model was statistically significant F (5, 96) = 661.95, p < 0.001, explaining 97.18% of the variance in overall attitudes toward mental illness. Among the five domains, Respect for Psychiatry and Knowledge and Misconceptions emerged as the strongest predictors, highlighting their critical role in shaping positive professional attitudes in the public sector. Conclusions: Stigma toward mental illness persists among NPDs, particularly around misconceptions and help-seeking attitudes. These biases are culturally embedded and may not be significantly influenced by clinical exposure alone. While stigma was generally moderate, persistent misconceptions and self-stigma point to the importance of further developing culturally adapted tools and systemic interventions to promote reflective practice and ethical parity in clinical settings. Full article
Show Figures

Figure 1

13 pages, 1100 KB  
Article
Development and Validation of a Field-Based Colorimetric LAMP Assay for the Detection of Clavibacter michiganensis in Tomato Plants
by Glykeria Mermigka, Maria Megariti, Dimitris Malliarakis, Marianthi G. Pagoulatou, Electra Gizeli and Dimitrios E. Goumas
Plants 2026, 15(3), 372; https://doi.org/10.3390/plants15030372 - 25 Jan 2026
Viewed by 565
Abstract
Point-of-care diagnostics are revolutionizing the detection of plant pathogens by enabling rapid, on-site identification without the need for specialized laboratories. One of the tools used for this purpose is loop-mediated isothermal amplification (LAMP). LAMP is a powerful molecular technique increasingly used in pathogen [...] Read more.
Point-of-care diagnostics are revolutionizing the detection of plant pathogens by enabling rapid, on-site identification without the need for specialized laboratories. One of the tools used for this purpose is loop-mediated isothermal amplification (LAMP). LAMP is a powerful molecular technique increasingly used in pathogen control for its rapid, sensitive, and specific detection of plant pathogens. The aim of this study was the development of a novel, easy-to-use portable colorimetric LAMP (cLAMP) assay that could be used by inexperienced personnel for the detection of the pathogen Clavibacter michiganensis. The assay was combined with a newly constructed device in which LAMP can be performed in 30 min. Initially, a new set of LAMP primers targeting the micA gene was designed and evaluated the sensitivity (100 fg/reaction) and specificity of the assay. Next, the limit of detection (LoD) of two different commercial LAMP kits was compared with common laboratory detection techniques (DAS-ELISA, immunofluorescence, quantitative PCR, and PCR) using the same samples. Additionally, the LoD of the developed cLAMP assay was evaluated in bacterial suspensions and plant extracts spiked with C. michiganensis and validated the effect on the LoD of plant extracts from different tomato varieties. Lastly, its efficacy for C. michiganensis detection was assessed in experimentally inoculated tomato seedlings. The developed method for C. michiganensis detection can be used as a reliable tool for the early detection of the pathogen for field-based applications by untrained personnel. Full article
(This article belongs to the Section Plant Genetics, Genomics and Biotechnology)
Show Figures

Figure 1

22 pages, 9985 KB  
Article
A Comparative Analysis of Multi-Spectral and RGB-Acquired UAV Data for Cropland Mapping in Smallholder Farms
by Evania Chetty, Maqsooda Mahomed and Shaeden Gokool
Drones 2026, 10(1), 72; https://doi.org/10.3390/drones10010072 - 21 Jan 2026
Viewed by 566
Abstract
Accurate cropland classification within smallholder farming systems is essential for effective land management, efficient resource allocation, and informed agricultural decision-making. This study evaluates cropland classification performance using Red, Green, Blue (RGB) and multi-spectral (blue, green, red, red-edge, near-infrared) unmanned aerial vehicle (UAV) imagery. [...] Read more.
Accurate cropland classification within smallholder farming systems is essential for effective land management, efficient resource allocation, and informed agricultural decision-making. This study evaluates cropland classification performance using Red, Green, Blue (RGB) and multi-spectral (blue, green, red, red-edge, near-infrared) unmanned aerial vehicle (UAV) imagery. Both datasets were derived from imagery acquired using a MicaSense Altum sensor mounted on a DJI Matrice 300 UAV. Cropland classification was performed using machine learning algorithms implemented within the Google Earth Engine (GEE) platform, applying both a non-binary classification of five land cover classes and a binary classification within a probabilistic framework to distinguishing cropland from non-cropland areas. The results indicate that multi-spectral imagery achieved higher classification accuracy than RGB imagery for non-binary classification, with overall accuracies of 75% and 68%, respectively. For binary cropland classification, RGB imagery achieved an area under the receiver operating characteristic curve (AUC–ROC) of 0.75, compared to 0.77 for multi-spectral imagery. These findings suggest that, while multi-spectral data provides improved classification performance, RGB imagery can achieve comparable accuracy for fundamental cropland delineation. This study contributes baseline evidence on the relative performance of RGB and multi-spectral UAV imagery for cropland mapping in heterogeneous smallholder farming landscapes and supports further investigation of RGB-based approaches in resource-constrained agricultural contexts. Full article
(This article belongs to the Special Issue Advances of UAV in Precision Agriculture—2nd Edition)
Show Figures

Figure 1

Back to TopTop