Sign in to use this feature.

Years

Between: -

Subjects

remove_circle_outline
remove_circle_outline
remove_circle_outline
remove_circle_outline
remove_circle_outline
remove_circle_outline
remove_circle_outline
remove_circle_outline
remove_circle_outline

Journals

remove_circle_outline
remove_circle_outline
remove_circle_outline
remove_circle_outline

Article Types

Countries / Regions

Search Results (226)

Search Parameters:
Keywords = M2Det

Order results
Result details
Results per page
Select all
Export citation of selected articles as:
26 pages, 6232 KB  
Article
MFE-YOLO: A Multi-Scale Feature Enhanced Network for PCB Defect Detection with Cross-Group Attention and FIoU Loss
by Ruohai Di, Hao Fan, Hanxiao Feng, Zhigang Lv, Lei Shu, Rui Xie and Ruoyu Qian
Entropy 2026, 28(2), 174; https://doi.org/10.3390/e28020174 - 2 Feb 2026
Abstract
The detection of defects in Printed Circuit Boards (PCBs) is a critical yet challenging task in industrial quality control, characterized by the prevalence of small targets and complex backgrounds. While deep learning models like YOLOv5 have shown promise, they often lack the ability [...] Read more.
The detection of defects in Printed Circuit Boards (PCBs) is a critical yet challenging task in industrial quality control, characterized by the prevalence of small targets and complex backgrounds. While deep learning models like YOLOv5 have shown promise, they often lack the ability to quantify predictive uncertainty, leading to overconfident errors in challenging scenarios—a major source of false alarms and reduced reliability in automated manufacturing inspection lines. From a Bayesian perspective, this overconfidence signifies a failure in probabilistic calibration, which is crucial for trustworthy automated inspection. To address this, we propose MFE-YOLO, a Bayesian-enhanced detection framework built upon YOLOv5 that systematically integrates uncertainty-aware mechanisms to improve both accuracy and operational reliability in real-world settings. First, we construct a multi-background PCB defect dataset with diverse substrate colors and shapes, enhancing the model’s ability to generalize beyond the single-background bias of existing data. Second, we integrate the Convolutional Block Attention Module (CBAM), reinterpreted through a Bayesian lens as a feature-wise uncertainty weighting mechanism, to suppress background interference and amplify salient defect features. Third, we propose a novel FIoU loss function, redesigned within a probabilistic framework to improve bounding box regression accuracy and implicitly capture localization uncertainty, particularly for small defects. Extensive experiments demonstrate that MFE-YOLO achieves state-of-the-art performance, with mAP@0.5 and mAP@0.5:0.95 values of 93.9% and 59.6%, respectively, outperforming existing detectors, including YOLOv8 and EfficientDet. More importantly, the proposed framework yields better-calibrated confidence scores, significantly reducing false alarms and enabling more reliable human-in-the-loop verification. This work provides a deployable, uncertainty-aware solution for high-throughput PCB inspection, advancing toward trustworthy and efficient quality control in modern manufacturing environments. Full article
(This article belongs to the Special Issue Bayesian Networks and Causal Discovery)
Show Figures

Figure 1

20 pages, 3656 KB  
Article
Efficient Model for Detecting Steel Surface Defects Utilizing Dual-Branch Feature Enhancement and Downsampling
by Quan Lu, Minsheng Gong and Linfei Yin
Appl. Sci. 2026, 16(3), 1181; https://doi.org/10.3390/app16031181 - 23 Jan 2026
Viewed by 99
Abstract
Surface defect evaluation in steel production demands both high inference speed and accuracy for efficient production. However, existing methods face two critical challenges: (1) the diverse dimensions and irregular morphologies of surface defects reduce detection accuracy, and (2) computationally intensive feature extraction slows [...] Read more.
Surface defect evaluation in steel production demands both high inference speed and accuracy for efficient production. However, existing methods face two critical challenges: (1) the diverse dimensions and irregular morphologies of surface defects reduce detection accuracy, and (2) computationally intensive feature extraction slows inference. In response to these challenges, this study proposes an innovative network based on dual-branch feature enhancement and downsampling (DFED-Net). First, an atrous convolution and multi-scale dilated attention fusion module (AMFM) is developed, incorporating local–global feature representation. By emphasizing local details and global semantics, the module suppresses noise interference and enhances the capability of the model to separate small-object features from complex backgrounds. Additionally, a dual-branch downsampling module (DBDM) is developed to preserve the fine details related to scale that are typically lost during downsampling. The DBDM efficiently fuses semantic and detailed information, improving consistency across feature maps at different scales. A lightweight dynamic upsampling (DySample) is introduced to supplant traditional fixed methods with a learnable, adaptive approach, which retains critical feature information more flexibly while reducing redundant computation. Experimental evaluation shows a mean average precision (mAP) of 81.5% on the Northeastern University surface defect detection (NEU-DET) dataset, a 5.2% increase compared to the baseline, while maintaining a real-time inference speed of 120 FPS compared to the 118 FPS of the baseline. The proposed DFED-Net provides strong support for the development of automated visual inspection systems for detecting defects on steel surfaces. Full article
(This article belongs to the Section Computing and Artificial Intelligence)
Show Figures

Figure 1

21 pages, 4363 KB  
Article
LESSDD-Net: A Lightweight and Efficient Steel Surface Defect Detection Network Based on Feature Segmentation and Partially Connected Structures
by Jiayu Wu, Longxin Zhang and Xinyi Pu
Sensors 2026, 26(3), 753; https://doi.org/10.3390/s26030753 - 23 Jan 2026
Viewed by 129
Abstract
Steel surface defect detection is essential for maintaining industrial production quality and operational safety. However, existing deep learning-based methods often encounter high computational costs, hindering their deployment on mobile devices. To effectively address this challenge, we propose a lightweight and efficient steel surface [...] Read more.
Steel surface defect detection is essential for maintaining industrial production quality and operational safety. However, existing deep learning-based methods often encounter high computational costs, hindering their deployment on mobile devices. To effectively address this challenge, we propose a lightweight and efficient steel surface defect detection network based on feature segmentation and partially connected structures, termed LESSDD-Net. In LESSDD-Net, we first introduce a lightweight downsampling module called the cross-stage partial-based dual-branch downsampling module (CSPDDM). This module significantly reduces the number of model parameters and computational costs while facilitating more efficient downsampling operations. Next, we present a lightweight attention mechanism known as coupled channel attention (CCAttention), which enhances the model’s capability to capture essential information in feature maps. Finally, we improve the faster implementation of cross-stage partial bottleneck with two convolutions (C2f) and design a lightweight version called the lightweight and partial faster implementation of cross-stage partial bottleneck with two convolutions (LP-C2f). This module not only enhances detection accuracy but also further diminishes the model’s size. Experimental results on the data-augmented Northeastern University surface defect detection (NEU-DET) dataset indicate that the mean average precision (mAP) of LESSDD-Net improves by 3.19% compared to the baseline model YOLO11n. Additionally, in terms of model complexity, LESSDD-Net reduces the number of parameters and computational costs by 39.92% and 20.63%, respectively, compared to YOLO11n. When compared with other mainstream object detection models, LESSDD-Net achieves top detection accuracy with the highest mAP value and demonstrates significant advantages in model complexity, characterized by the lowest number of parameters and computational costs. Full article
(This article belongs to the Section Physical Sensors)
Show Figures

Figure 1

24 pages, 4886 KB  
Article
YOLOv8-ECCα: Enhancing Object Detection for Power Line Asset Inspection Under Real-World Visual Constraints
by Rita Ait el haj, Badr-Eddine Benelmostafa and Hicham Medromi
Algorithms 2026, 19(1), 66; https://doi.org/10.3390/a19010066 - 12 Jan 2026
Viewed by 163
Abstract
Unmanned Aerial Vehicles (UAVs) have revolutionized power-line inspection by enhancing efficiency, safety, and enabling predictive maintenance through frequent remote monitoring. Central to automated UAV-based inspection workflows is the object detection stage, which transforms raw imagery into actionable data by identifying key components such [...] Read more.
Unmanned Aerial Vehicles (UAVs) have revolutionized power-line inspection by enhancing efficiency, safety, and enabling predictive maintenance through frequent remote monitoring. Central to automated UAV-based inspection workflows is the object detection stage, which transforms raw imagery into actionable data by identifying key components such as insulators, dampers, and shackles. However, the real-world complexity of inspection scenes poses significant challenges to detection accuracy. For example, the InsPLAD-det dataset—characterized by over 30,000 annotations across diverse tower structures and viewpoints, with more than 40% of components partially occluded—illustrates the visual and structural variability typical of UAV inspection imagery. In this study, we introduce YOLOv8-ECCα, a novel object detector tailored for these demanding inspection conditions. Our contributions include: (1) integrating CoordConv, selected over deformable convolution for its efficiency in preserving fine spatial cues without heavy computation; (2) adding Efficient Channel Attention (ECA), preferred to SE or CBAM for its ability to enhance feature relevance using only a single 1D convolution and no dimensionality reduction; and (3) adopting Alpha-IoU, chosen instead of CIoU or GIoU to produce smoother gradients and more stable convergence, particularly under partial overlap or occlusion. Evaluated on the InsPLAD-det dataset, YOLOv8-ECCα achieves an mAP@50 of 82.75%, outperforming YOLOv8s (81.89%) and YOLOv9-E (82.61%) by +0.86% and +0.14%, respectively, while maintaining real-time inference at 86.7 FPS—exceeding the baseline by +2.3 FPS. Despite these improvements, the model retains a compact footprint (28.5 GFLOPs, 11.1 M parameters), confirming its suitability for embedded UAV deployment in real inspection environments. Full article
(This article belongs to the Section Evolutionary Algorithms and Machine Learning)
Show Figures

Figure 1

18 pages, 5173 KB  
Article
Glucose Sensor Using Fe3O4 Functionalized MXene Nanosheets as a Promising Sensing Platform: Exploring the Potential of Electrochemical Detection of Glucose
by Yu Yang, Danning Li, Changchang Zheng, Ling Zhang and Xuwei Chen
Chemosensors 2026, 14(1), 19; https://doi.org/10.3390/chemosensors14010019 - 8 Jan 2026
Viewed by 377
Abstract
Enzymatic electrochemical sensors are promising for real-time glucose monitoring due to their high sensitivity and continuous detection capability. In this work, a magnetic Fe3O4@MXene nanocomposite was synthesized hydrothermally. The introduction of Fe3O4 not only reduced MXene’s [...] Read more.
Enzymatic electrochemical sensors are promising for real-time glucose monitoring due to their high sensitivity and continuous detection capability. In this work, a magnetic Fe3O4@MXene nanocomposite was synthesized hydrothermally. The introduction of Fe3O4 not only reduced MXene’s inherent negative surface charge, improving interaction with glucose oxidase (GOD), but also formed a porous structure that enhances enzyme immobilization via physical adsorption. Based on these properties, a Fe3O4@MXene/GOD/Nafion/GCE electrode was fabricated. The composite’s high specific surface area, excellent conductivity, and good biocompatibility significantly promoted the direct electron transfer (DET) of GOD. Meanwhile, the apparent electron transfer rate constant (ks) was calculated to be 9.57 s−1, representing a 1.26-fold enhancement over the MXene-based electrode (7.57 s−1) and confirming faster electron transfer kinetics. The sensor showed a bilinear glucose response in the ranges of 0.05–15 mM, with sensitivity of 120.47 μA·mM−1·cm−2 and a detection limit of 38 μM. It also exhibited excellent selectivity, reproducibility and stability. Satisfactory recovery rates were achieved in artificial serum samples while demonstrating comparable detection performance to commercial blood glucose meters. Full article
(This article belongs to the Special Issue Electrochemical Biosensors for Global Health Challenges)
Show Figures

Figure 1

19 pages, 5679 KB  
Article
SDDNet: Two-Stage Network for Forgings Surface Defect Detection
by Shentao Wang, Depeng Gao, Byung-Won Min, Yue Hong, Tingting Xu and Zhongyue Xiong
Symmetry 2026, 18(1), 104; https://doi.org/10.3390/sym18010104 - 6 Jan 2026
Viewed by 188
Abstract
Detecting surface defects in forgings is crucial for ensuring the reliability of automotive components such as steering knuckles. In fluorescent magnetic particle inspection (FDMPI) images, normal forging surfaces generally exhibit locally symmetric texture patterns, whereas cracks and other flaws appear as locally asymmetric [...] Read more.
Detecting surface defects in forgings is crucial for ensuring the reliability of automotive components such as steering knuckles. In fluorescent magnetic particle inspection (FDMPI) images, normal forging surfaces generally exhibit locally symmetric texture patterns, whereas cracks and other flaws appear as locally asymmetric regions. Traditional FDMPI inspection relies on manual visual judgement, which is inefficient and error-prone. This paper introduces SDDNet, a symmetry-aware deep learning model for surface defect detection in FDMPI images. A dedicated FDMPI dataset is constructed and further expanded using a denoising diffusion probabilistic model (DDPM) to improve training robustness. To better separate symmetric background textures from asymmetric defect cues, SDDNet integrates a UPerNet-based segmentation layer for background suppression and a Scale-Variant Inception Module (SVIM) within an RTMDet framework for multi-scale feature extraction. Experiments show that SDDNet effectively suppresses background noise and significantly improves detection accuracy, achieving a mean average precision (mAP) of 45.5% on the FDMPI dataset, 19% higher than the baseline, and 71.5% mAP on the NEU-DET dataset, outperforming existing methods by up to 8.1%. Full article
(This article belongs to the Special Issue Symmetry/Asymmetry in Image Processing and Computer Vision)
Show Figures

Figure 1

29 pages, 17260 KB  
Article
IMTS-YOLO: A Steel Surface Defect Detection Model Integrating Multi-Scale Perception and Progressive Attention
by Pengzheng Fu, Hongbin Yuan, Jing He, Bangzhi Wu, Nuo Xu and Yong Gu
Coatings 2026, 16(1), 51; https://doi.org/10.3390/coatings16010051 - 2 Jan 2026
Viewed by 373
Abstract
In recent years, steel surface defect detection has emerged as a significant area of focus within intelligent manufacturing research. Existing approaches often exhibit insufficient accuracy and limited generalization capability, constraining their practical implementation in industrial environments. To overcome these shortcomings, this study presents [...] Read more.
In recent years, steel surface defect detection has emerged as a significant area of focus within intelligent manufacturing research. Existing approaches often exhibit insufficient accuracy and limited generalization capability, constraining their practical implementation in industrial environments. To overcome these shortcomings, this study presents IMTS-YOLO, an enhanced detection model based on the YOLOv11n architecture, incorporating several technical innovations designed to improve detection performance. The proposed framework introduces four key enhancements. First, an Intelligent Guidance Mechanism (IGM) refines the feature extraction process to address semantic ambiguity and enhance cross-scenario adaptability, particularly for detecting complex defect patterns. Second, a multi-scale convolution module (MulBk) captures and integrates defect features across varying receptive fields, thereby improving the characterization of intricate surface textures. Third, a triple-head adaptive feature fusion (TASFF) structure enables more effective detection of irregularly shaped defects while maintaining computational efficiency. Finally, a specialized bounding box regression loss function (Shape-IoU) optimizes localization precision and training stability. The model achieved a 5.0% improvement in mAP50 and a 3.2% improvement in mAP50-95 on the NEU-DET dataset, while also achieving a 4.4% improvement in mAP50 and a 3.1% improvement in mAP50-95 in the cross-dataset GC10-DET validation. These results confirm the model’s practical value for real-time industrial defect inspection applications. Full article
(This article belongs to the Special Issue Solid Surfaces, Defects and Detection, 2nd Edition)
Show Figures

Graphical abstract

18 pages, 4316 KB  
Article
Interoperable IoT/WSN Sensing Station with Edge AI-Enabled Multi-Sensor Integration for Precision Agriculture
by Matilde Sousa, Ana Alves, Rodrigo Antunes, Martim Aguiar, Pedro Dinis Gaspar and Nuno Pereira
Agriculture 2026, 16(1), 69; https://doi.org/10.3390/agriculture16010069 - 28 Dec 2025
Viewed by 385
Abstract
This study presents an in-depth exploration of an innovative monitoring system that contributes to precision agriculture (PA) and supports sustainability and biodiversity. Amidst the challenges of global population growth and the need for sustainable, high-yield agricultural practices, PA, supported by modern technology and [...] Read more.
This study presents an in-depth exploration of an innovative monitoring system that contributes to precision agriculture (PA) and supports sustainability and biodiversity. Amidst the challenges of global population growth and the need for sustainable, high-yield agricultural practices, PA, supported by modern technology and data-driven methodologies, emerges as a pivotal approach for optimizing crop yield and resource management. The proposed monitoring system integrates Wireless sensor networks (WSNs) into PA, enabling real-time acquisition of environmental data and multimodal observations through cameras and microphones, with data transmission via LTE and/or LoRaWAN for cloud-based analysis. Its main contribution is a physically modular, pole-mounted station architecture that simplifies sensor integration and reconfiguration across use cases, while remaining solar-powered for long-term off-grid operation. The system was evaluated in two field deployments, including a year-long wild-flora monitoring campaign (three stations; 365 days; 1870 images; 63–100% image-based operational availability), during which stations remained operational through a wildfire event. In the viticulture deployment, the acoustic module supported bat monitoring as a bio-indicator of ecosystem health, achieving bat call detection performance of 0.94 (AP Det) and species classification performance of 0.85 (mAP Class). Overall, the results support the use of modular, energy-aware monitoring stations to perform sustained agricultural and ecological data collection under practical field constraints. Full article
(This article belongs to the Section Artificial Intelligence and Digital Agriculture)
Show Figures

Figure 1

24 pages, 10775 KB  
Article
Nanopore Sequencing Technology Reveals the Transcriptional Expression Characteristics of Male Pig’s Testes Before and After Sexual Maturity
by Yiting Yang, Siyu Chen, Ziling Hao, Taizeng Zhou, Songquan Guan, Ya Tan, Yan Wang, Xiaofeng Zhou, Lei Chen, Ye Zhao, Linyuan Shen, Li Zhu and Mailin Gan
Genes 2026, 17(1), 21; https://doi.org/10.3390/genes17010021 - 26 Dec 2025
Viewed by 452
Abstract
Background: Testicular development and spermatogenesis are intricate biological processes controlled by a coordinated transcriptional network. However, comprehensive characterization of full-length transcripts and non-coding RNAs (ncRNAs) during porcine testicular sexual maturation remains limited. Methods: This study systematically profiled the transcriptional landscape of [...] Read more.
Background: Testicular development and spermatogenesis are intricate biological processes controlled by a coordinated transcriptional network. However, comprehensive characterization of full-length transcripts and non-coding RNAs (ncRNAs) during porcine testicular sexual maturation remains limited. Methods: This study systematically profiled the transcriptional landscape of pig testes prior to (pre-sexual maturity, PSM) and following (post-sexual maturity, SM) sexual maturity using Oxford Nanopore Technologies (ONT) long-read sequencing. Results: There were 11,060 differentially expressed mRNAs (DEGs), 15,338 differentially expressed transcripts (DETs), 688 differentially expressed lncRNAs (DELs), and 19 differentially expressed circRNAs (DEcircRNAs) between PSM and SM groups among the 9941 mRNAs, 15,339 transcripts, 4136 lncRNAs (58.58% being LincRNAs). These differential RNAs converged on 133 shared GO terms (e.g., spermatogenesis, male gamete generation) and 58 common KEGG pathways (e.g., metabolic pathways, Wnt/MAPK signaling), according to functional enrichment and combined analysis. Core genes (e.g., PRM1, ODF2, GSTM3) demonstrated synergistic expression across gene, transcript, lncRNA-cistarget, and circRNA levels. Furthermore, DELs were associated with steroid biosynthesis and N-glycan biosynthesis, whereas DEcircRNAs, which were mostly upregulated after puberty, were thought to control genes linked to spermatogenesis. Conclusions: This research sheds light on the dynamic transcriptional reprogramming that occurs during the maturation of pig testicles, advances our knowledge of coding and ncRNA regulatory networks in male mammals, and offers useful molecular markers for enhancing pig reproductive efficiency. Full article
Show Figures

Figure 1

20 pages, 3506 KB  
Article
CNIFE: Anti-UAV Detection Network via Cross-Scale Non-Local Interaction and Feature Enhancement
by Bo Liang, Hongfu Shan, Song Feng and Ji Jiang
Drones 2026, 10(1), 8; https://doi.org/10.3390/drones10010008 - 24 Dec 2025
Viewed by 373
Abstract
Anti-UAV detection is paramount for safeguarding airspace security. However, existing methodologies often exhibit low detection accuracy due to their inability to adaptively address target scale variations and complex backgrounds. To enhance detection precision, this paper introduces a UAV detection method founded on non-local [...] Read more.
Anti-UAV detection is paramount for safeguarding airspace security. However, existing methodologies often exhibit low detection accuracy due to their inability to adaptively address target scale variations and complex backgrounds. To enhance detection precision, this paper introduces a UAV detection method founded on non-local feature learning. Initially, we design a Cross-scale Non-local Feature Interaction (CNFI) module. This module explicitly models long-range dependencies between features at disparate scales, thereby effectively integrating multi-scale information and adapting to target scale variations. Subsequently, a Non-local Feature Enhancement (NFE) module is proposed, which fuses global contextual information, acquired via non-local attention, with low-level structural cues such as gradients, to bolster the boundary and detail features of UAV targets amidst complex backgrounds. The proposed method was experimentally validated on the DUT-Anti-UAV and Det-Fly dataset. In comparison with the state-of-the-art model, our approach demonstrates improvements of 0.93%, 1.09%, and 2.12% in Precision (P), Recall (R), and mAP50 on DUT-Anti-UAV dataset, respectively. Experimental results affirm that our proposed enhancements yield superior performance in the anti-UAV detection task. Full article
Show Figures

Figure 1

23 pages, 5771 KB  
Article
F3M: A Frequency-Domain Feature Fusion Module for Robust Underwater Object Detection
by Tianyi Wang, Haifeng Wang, Wenbin Wang, Kun Zhang, Baojiang Ye and Huilin Dong
J. Mar. Sci. Eng. 2026, 14(1), 20; https://doi.org/10.3390/jmse14010020 - 22 Dec 2025
Viewed by 382
Abstract
In this study, we propose the Frequency-domain Feature Fusion Module (F3M) to address the challenges of underwater object detection, where optical degradation—particularly high-frequency attenuation and low-frequency color distortion—significantly compromises performance. We critically re-evaluate the need for strict invertibility in detection-oriented frequency modeling. Traditional [...] Read more.
In this study, we propose the Frequency-domain Feature Fusion Module (F3M) to address the challenges of underwater object detection, where optical degradation—particularly high-frequency attenuation and low-frequency color distortion—significantly compromises performance. We critically re-evaluate the need for strict invertibility in detection-oriented frequency modeling. Traditional wavelet-based methods incur high computational redundancy to maintain signal reconstruction, whereas F3M introduces a lightweight “Separate–Project–Fuse” paradigm. This mechanism decouples low-frequency illumination artifacts from high-frequency structural cues via spatial approximation, enabling the recovery of fine-scale details like coral textures and debris boundaries without the overhead of channel expansion. We validate F3M’s versatility by integrating it into both Convolutional Neural Networks (YOLO) and Transformer-based detectors (RT-DETR). Evaluations on the SCoralDet dataset show consistent improvements: F3M enhances the lightweight YOLO11n by 3.5% mAP50 and increases RT-DETR-n’s localization accuracy (mAP50–95) from 0.514 to 0.532. Additionally, cross-domain validation on the deep-sea TrashCan-Instance dataset shows F3M achieving comparable accuracy to the larger YOLOv8n while requiring 13% fewer parameters and 20% fewer GFLOPs. This study confirms that frequency-domain modulation provides an efficient and widely applicable enhancement for real-time underwater perception. Full article
(This article belongs to the Section Ocean Engineering)
Show Figures

Figure 1

31 pages, 4844 KB  
Article
GAME-YOLO: Global Attention and Multi-Scale Enhancement for Low-Visibility UAV Detection with Sub-Pixel Localization
by Ruohai Di, Hao Fan, Yuanzheng Ma, Jinqiang Wang and Ruoyu Qian
Entropy 2025, 27(12), 1263; https://doi.org/10.3390/e27121263 - 18 Dec 2025
Viewed by 532
Abstract
Detecting low-altitude, slow-speed, small (LSS) UAVs is especially challenging in low-visibility scenes (low light, haze, motion blur), where inherent uncertainties in sensor data and object appearance dominate. We propose GAME-YOLO, a novel detector that integrates a Bayesian-inspired probabilistic reasoning framework with Global Attention [...] Read more.
Detecting low-altitude, slow-speed, small (LSS) UAVs is especially challenging in low-visibility scenes (low light, haze, motion blur), where inherent uncertainties in sensor data and object appearance dominate. We propose GAME-YOLO, a novel detector that integrates a Bayesian-inspired probabilistic reasoning framework with Global Attention and Multi-Scale Enhancement to improve small-object perception and sub-pixel-level localization. Built on YOLOv11, our framework comprises: (i) a visibility restoration front-end that probabilistically infers and enhances latent image clarity; (ii) a global-attention-augmented backbone that performs context-aware feature selection; (iii) an adaptive multi-scale fusion neck that dynamically weights feature contributions; (iv) a sub-pixel-aware small-object detection head (SOH) that leverages high-resolution feature grids to model sub-pixel offsets; and (v) a novel Shape-Aware IoU loss combined with focal loss. Extensive experiments on the LSS2025-DET dataset demonstrate that GAME-YOLO achieves state-of-the-art performance, with an AP@50 of 52.0% and AP@[0.50:0.95] of 32.0%, significantly outperforming strong baselines such as LEAF-YOLO (48.3% AP@50) and YOLOv11 (36.2% AP@50). The model maintains high efficiency, operating at 48 FPS with only 7.6 M parameters and 19.6 GFLOPs. Ablation studies confirm the complementary gains from our probabilistic design choices, including a +10.5 pp improvement in AP@50 over the baseline. Cross-dataset evaluation on VisDrone-DET2021 further validates its generalization capability, achieving 39.2% AP@50. These results indicate that GAME-YOLO offers a practical and reliable solution for vision-based UAV surveillance by effectively marrying the efficiency of deterministic detectors with the robustness principles of Bayesian inference. Full article
(This article belongs to the Special Issue Bayesian Networks and Causal Discovery)
Show Figures

Figure 1

20 pages, 392 KB  
Article
DN-Orthogonal Freedom in the Canonical Seesaw: Flavor Invariants and Physical Non-Equivalence of F-Classes
by Jianlong Lu
Universe 2025, 11(12), 413; https://doi.org/10.3390/universe11120413 - 11 Dec 2025
Viewed by 247
Abstract
We study basis-independent structures in the Type-I seesaw mechanism for light Majorana neutrinos, assuming the canonical scenario with three heavy right-handed (sterile) neutrinos. Let mν denote the 3×3 mass matrix of light neutrinos, obtained at tree level from heavy Majorana [...] Read more.
We study basis-independent structures in the Type-I seesaw mechanism for light Majorana neutrinos, assuming the canonical scenario with three heavy right-handed (sterile) neutrinos. Let mν denote the 3×3 mass matrix of light neutrinos, obtained at tree level from heavy Majorana singlets with a diagonal mass matrix DN=diag(M1,M2,M3) and a Dirac matrix mD. We show that all right actions F on the seesaw matrix that leave mν unchanged form the group G=DN1/2O(3,C)DN1/2. While oscillation data determine the PMNS matrix UPMNS and the mass-squared splittings, they do not fix the F-class within G. We classify basis-invariant quantities into those that are class-blind (e.g., det η) and class-sensitive (e.g., Trη, Trη2, an alignment measure, and CP-odd traces relevant to leptogenesis), where η denotes the non-unitarity matrix of the light sector. We provide explicit formulas and both high-scale and GeV-scale benchmark examples that illustrate these invariant fingerprints and their scaling with DN. This converts the degeneracy at fixed mν into measurable, basis-invariant fingerprints. Full article
(This article belongs to the Special Issue Neutrino Insights: Peering into the Subatomic Universe)
18 pages, 3205 KB  
Article
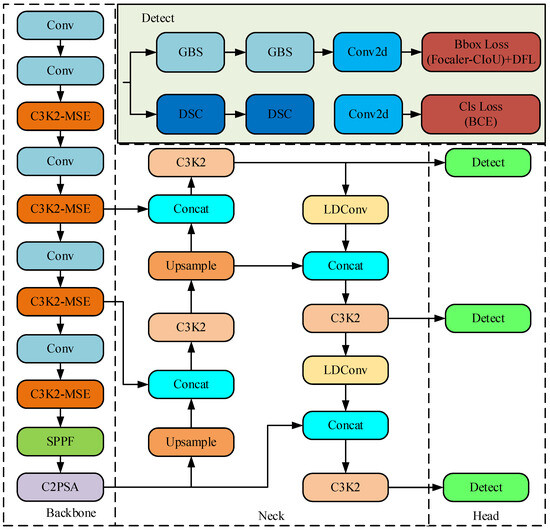
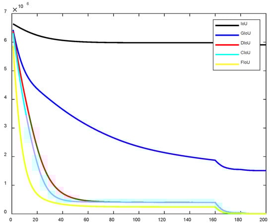
An Efficient Lightweight Method for Steel Surface Defect Detection
by Aiyun Zheng, Xinyu Jiang and Weimin Liu
Sensors 2025, 25(24), 7527; https://doi.org/10.3390/s25247527 - 11 Dec 2025
Viewed by 542
Abstract
Surface defects are inevitable in the production of steel. However, traditional methods in industrial production face great challenges in detecting complex defects. Therefore, we propose LCED-YOLO based on YOLOv11 for steel defect detection. Firstly, an edge information enhancement module, C3K2-MSE, is designed to [...] Read more.
Surface defects are inevitable in the production of steel. However, traditional methods in industrial production face great challenges in detecting complex defects. Therefore, we propose LCED-YOLO based on YOLOv11 for steel defect detection. Firstly, an edge information enhancement module, C3K2-MSE, is designed to strengthen the extraction of edge information. Secondly, LDConv is introduced to lightweight the neck structure and reduce parameters. Then, a lightweight decoupling head designed for model detection tasks is proposed, further achieving model lightweighting. Finally, by introducing a learnable attention factor to optimize the CIoU loss, we focused on locating difficult samples, enhancing the detection capability. A large number of experiments were conducted on the NEU-DET and GC10-DET datasets. Compared to YOLOv11, the mAP50 of the proposed model improved by 2.6% and 3.3%, attaining 79.8% and 70.3%, respectively. It decreased 19% of parameters and 23% of floating-point operations, fulfilling the needs of lightweight and detection precision. Full article
(This article belongs to the Section Fault Diagnosis & Sensors)
Show Figures

Figure 1

18 pages, 1070 KB  
Article
Advancing Real-Time Polyp Detection in Colonoscopy Imaging: An Anchor-Free Deep Learning Framework with Adaptive Multi-Scale Perception
by Wanyu Qiu, Xiao Yang, Zirui Liu and Chen Qiu
Sensors 2025, 25(24), 7524; https://doi.org/10.3390/s25247524 - 11 Dec 2025
Viewed by 529
Abstract
Accurate and real-time detection of polyps in colonoscopy is a critical task for the early prevention of colorectal cancer. The primary difficulties include insufficient extraction of multi-scale contextual cues for polyps of different sizes, inefficient fusion of multi-level features, and a reliance on [...] Read more.
Accurate and real-time detection of polyps in colonoscopy is a critical task for the early prevention of colorectal cancer. The primary difficulties include insufficient extraction of multi-scale contextual cues for polyps of different sizes, inefficient fusion of multi-level features, and a reliance on hand-crafted anchor priors that require extensive tuning and compromise generalization performance. Therefore, we introduce a one-stage anchor-free detector that achieves state-of-the-art accuracy whilst running in real-time on a GTX 1080-Ti GPU workstation. Specifically, to enrich contextual information across a wide spectrum, our Cross-Stage Pyramid Pooling module efficiently aggregates multi-scale contexts through cascaded pooling and cross-stage partial connections. Subsequently, to achieve a robust equilibrium between low-level spatial details and high-level semantics, our Weighted Bidirectional Feature Pyramid Network adaptively integrates features across all scales using learnable channel-wise weights. Furthermore, by reconceptualizing detection as a direct point-to-boundary regression task, our anchor-free head obviates the dependency on hand-tuned priors. This regression is supervised by a Scale-invariant Distance with Aspect-ratio IoU loss, substantially improving localization accuracy for polyps of diverse morphologies. Comprehensive experiments on a large dataset comprising 103,469 colonoscopy frames substantiate the superiority of our method, achieving 98.8% mAP@0.5 and 82.5% mAP@0.5:0.95 at 35.8 FPS. Our method outperforms widely used CNN-based models (e.g., EfficientDet, YOLO series) and recent Transformer-based competitors (e.g., Adamixer, HDETR), demonstrating its potential for clinical application. Full article
(This article belongs to the Special Issue Advanced Biomedical Imaging and Signal Processing)
Show Figures

Figure 1

Back to TopTop