Sign in to use this feature.

Years

Between: -

Subjects

remove_circle_outline
remove_circle_outline
remove_circle_outline
remove_circle_outline
remove_circle_outline
remove_circle_outline

Journals

Article Types

Countries / Regions

Search Results (37)

Search Parameters:
Keywords = Laodelphax striatellus

Order results
Result details
Results per page
Select all
Export citation of selected articles as:
16 pages, 3462 KB  
Article
Composition of the Gut Microbiome and Its Response to Rice Stripe Virus Infection in Laodelphax striatellus (Hemiptera: Delphacidae)
by Zhipeng Huang, Lu Zhang, Yu Tian, Jiayi Gao, Fang Liu and Yao Li
Insects 2025, 16(11), 1135; https://doi.org/10.3390/insects16111135 - 6 Nov 2025
Viewed by 678
Abstract
The small brown planthopper (SBPH), Laodelphax striatellus, transmits rice stripe virus (RSV), a devastating pathogen that causes significant yield losses in rice. The components of the gut microbiota in SBPH and the effects of RSV infection on gut microorganisms are unclear. In [...] Read more.
The small brown planthopper (SBPH), Laodelphax striatellus, transmits rice stripe virus (RSV), a devastating pathogen that causes significant yield losses in rice. The components of the gut microbiota in SBPH and the effects of RSV infection on gut microorganisms are unclear. In this study, high-throughput sequencing of 16S rRNA was utilized to evaluate the composition of gut microorganisms in SBPH. The gut microbiota of SBPH was primarily composed of Proteobacteria, Firmicutes and Bacteroidetes at ratios of 94.79%, 3.04% and 1.39%, respectively; furthermore, the composition of bacteria in the gut microbiota was relatively conserved with differences at the genus level. To elucidate the response of the SBPH gut microbiota to RSV infection, we compared its composition and abundance in viruliferous and naïve SBPH. Interestingly, RSV infection was associated with increased diversity in the SBPH gut microbiota. Comparative analysis demonstrated that RSV infection elevated the relative abundance of Proteobacteria while reducing that of Firmicutes. Population counts demonstrated that RSV infection reduced the gut loads of Stenotrophomonas, Brevundimonas, and Brevibacillus, whereas the gut load of Staphylococcus was significantly increased. Further functional predictive assays revealed that RSV infection enhanced the functions of the SBPH gut microbiota in terms of metabolism, cellular processes, genetic and environmental information processing, and organismal systems. Our results indicate that RSV reshapes the composition, abundance, and functions of the SBPH gut microbiota, offering insights into virus–host–microbiome interactions. Full article
(This article belongs to the Special Issue Insect Microbiome and Immunity—2nd Edition)
Show Figures

Figure 1

25 pages, 8746 KB  
Article
Synergistic Attraction and Ecological Effects of Multi-Source Physical and Chemical Trapping Methods with Different Mechanism Combinations on Rice Pests
by Wei Zeng, Jianping Peng, Chuanhong Feng, Qinghua Chen and Chunxian Jiang
Insects 2025, 16(10), 1001; https://doi.org/10.3390/insects16101001 - 26 Sep 2025
Viewed by 800
Abstract
Comparative experiments on trapping major rice pests using different methods showed that a light-transmitting three-combination trapping method, using different combinations of color plates + insect sex pheromones + transmitting (shielding) light covers + solar-powered automatic insect-attracting ultraviolet lamps, demonstrated significant positive attraction and [...] Read more.
Comparative experiments on trapping major rice pests using different methods showed that a light-transmitting three-combination trapping method, using different combinations of color plates + insect sex pheromones + transmitting (shielding) light covers + solar-powered automatic insect-attracting ultraviolet lamps, demonstrated significant positive attraction and synergistic effects on the simultaneous capture of multiple pests, including rice Sogatella furcifera, Laodelphax striatellus, Chilo suppressalis, and Sesamia inferens and rice leafhoppers, Sitobion miscanthi, Cnaphalocrocis exigua, Parnara guttata, and Naranga aenescens. In addition, the light-transmitting three-combination trapping method has a low benefit-harm ratio and is not easily disturbed by non-target flies (Muscadomestica). The ultraviolet light and transmitting cover in the device had a negative effect on attracting the Cnaphalocrocis medinalis, resulting in a highly significant or significant decrease in its capture rate. The results also showed that the light-shielding double-combination trapping method, which lacks ultraviolet lamp waves and transmitting covers, had no significant difference in the capture rate and insect benefit-harm ratio of C. medinalis adults compared with the glue-type sex lure method, confirming that C. medinalis has a significant negative tendency characteristic to ultraviolet lamp waves and transmitting covers. Therefore, the light-shielding double-combination trapping method using color plates and insect sex pheromones is recommended for monitoring the weakly phototactic C. medinalis. The light-transmitting three-combination trapping method is preferred for the simultaneous capture of multiple major rice pests besides C. medinalis. This study provides a scientific basis for the rational and effective application of multi-source physical and chemical trapping for monitoring and pest control of major crop pests. Full article
(This article belongs to the Section Insect Pest and Vector Management)
Show Figures

Figure 1

13 pages, 1085 KB  
Article
Comparative Endosymbiont Community Structures of Nonviruliferous and Rice Stripe Virus-Viruliferous Laodelphax striatellus (Hemiptera: Delphacidae) in Korea
by Jiho Jeon, Minhyeok Kwon, Bong Choon Lee and Eui-Joon Kil
Viruses 2025, 17(8), 1074; https://doi.org/10.3390/v17081074 - 1 Aug 2025
Viewed by 1015
Abstract
Insects and their bacterial endosymbionts form intricate ecological relationships, yet their role in host–pathogen interactions are not fully elucidated. The small brown planthopper (Laodelphax striatellus), a polyphagous pest of cereal crops, acts as a key vector for rice stripe virus (RSV), [...] Read more.
Insects and their bacterial endosymbionts form intricate ecological relationships, yet their role in host–pathogen interactions are not fully elucidated. The small brown planthopper (Laodelphax striatellus), a polyphagous pest of cereal crops, acts as a key vector for rice stripe virus (RSV), a significant threat to rice production. This study aimed to compare the endosymbiont community structures of nonviruliferous and RSV-viruliferous L. striatellus populations using 16S rRNA gene sequencing with high-throughput sequencing technology. Wolbachia was highly dominant in both groups; however, the prevalence of other endosymbionts, specifically Rickettsia and Burkholderia, differed markedly depending on RSV infection. Comprehensive microbial diversity and composition analyses revealed distinct community structures between nonviruliferous and RSV-viruliferous populations, highlighting potential interactions and implications for vector competence and virus transmission dynamics. These findings contribute to understanding virus-insect-endosymbiont dynamics and could inform strategies to mitigate viral spread by targeting symbiotic bacteria. Full article
(This article belongs to the Special Issue Plant Viruses and Their Vectors: Epidemiology and Control)
Show Figures

Figure 1

12 pages, 2643 KB  
Article
Chitin Deacetylase Gene Family Positively Regulates the Accumulation of Rice Stripe Virus in Laodelphax striatellus Fallén (Hemiptera: Delphacidae) Ovaries
by Wenxing Hu, Ao You, Jiao Zhang, Yao Li, Shimin Zuo, Fang Liu and Lu Zhang
Insects 2025, 16(4), 334; https://doi.org/10.3390/insects16040334 - 22 Mar 2025
Viewed by 1170
Abstract
Chitin deacetylase modifies chitin and has critical functions in the growth and development of insects; however, whether it has other roles is unclear. Laodelphax striatellus not only directly feeds on the phloem sap of rice but also transmits RSV, leading to significant losses [...] Read more.
Chitin deacetylase modifies chitin and has critical functions in the growth and development of insects; however, whether it has other roles is unclear. Laodelphax striatellus not only directly feeds on the phloem sap of rice but also transmits RSV, leading to significant losses in rice production. In this study, four CDA genes were identified based on SBPH genomic data and were classified into groups I and III based on a phylogenetic analysis. The expression of LsCDA1 and LsCDA2 in RSV-infected SBPH was increased by 282% and 159%, respectively, relative to the non-infected SBPH control. Additionally, RSV enhanced the expression of LsCDA1 (increased by 194%) in the ovaries. Yeast two-hybrid and glutathione-S-transferase pull-down assays demonstrated the interaction between LsCDA1 and RSV proteins NP and NS2. Furthermore, the knockdown of LsCDA1 expression decreased viral loads in RSV-infected SBPH and its ovaries by 66% and 72% relative to the dsGFP control. Silencing LsCDA1 significantly decreased VgR expression in SBPH and its ovaries and reduced fecundity. These results indicate that LsCDA1 positively regulates RSV accumulation in the ovaries and SBPH reproduction by modulating VgR expression, which offers a novel strategy for controlling both RSV and SBPH by targeting LsCDA1. Full article
(This article belongs to the Section Insect Pest and Vector Management)
Show Figures

Figure 1

12 pages, 2311 KB  
Article
Genomic Characterization of Laodelphax striatellus Permutotetra-like Virus and Self-Cleavage Function of Viral Capsid Protein
by Jun Piao, Jiarui Zhang, Lujie Zhang, Jingai Piao, Haitao Wang, Yilin Xie and Shuo Li
Microbiol. Res. 2025, 16(1), 9; https://doi.org/10.3390/microbiolres16010009 - 2 Jan 2025
Viewed by 1194
Abstract
Laodelphax striatellus permutotetra-like virus (LsPLV) is a novel insect virus identified via small RNA deep sequencing. At present, there is a lack of awareness of LsPLV, restricting research on its utilization in biocontrol. In this paper, the full-length genome of LsPLV was cloned [...] Read more.
Laodelphax striatellus permutotetra-like virus (LsPLV) is a novel insect virus identified via small RNA deep sequencing. At present, there is a lack of awareness of LsPLV, restricting research on its utilization in biocontrol. In this paper, the full-length genome of LsPLV was cloned and analyzed, then viral capsid protein (CP) was expressed and prepared as an antibody, and CP property was tested. It was found that the LsPLV genome was 4667 nt in length, encoding two proteins, RNA-dependent RNA polymerase (RdRP) and CP, and the palm subdomain conserved region in RdRp was arranged in a “C–A–B” permutation pattern, exhibiting the typical characteristics of permutotetra-like viruses. Phylogenetic analysis suggested that LsPLV shared the highest homology (excluding LsPLV1) with a Nodaviridae virus (QLI47702.1), and their nucleotide identities of RdRP and CP were 55.4% and 59.2%, respectively. After expression, purified CP exhibited two bands of 60 kDa and 47 kDa, suggesting a potential cleavage in the protein. LsPLV CP in L. striatellus was detected by Western blot, and except for the complete CP band, the specific bands with molecular weights lower than CP were also detected, indicating that CP underwent cleavage. Detection of purified CP in vitro showed that the cleavage could occur independent of any protease, confirming that CP has self-cleavage characteristics. Full article
(This article belongs to the Special Issue Veterinary Microbiology and Diagnostics)
Show Figures

Figure 1

16 pages, 2423 KB  
Article
Characterization of Serpin Family Genes in Three Rice Planthopper Species and Their Expression Profiles in Response to Metarhizium Infection
by Ruonan Zhang, Zichun Zhong, Liyan He, Hongxin Wu, Liuyan He, Yujing Guo, Haoming Wu, Xiaoxia Xu, Fengliang Jin and Rui Pang
Agronomy 2024, 14(11), 2630; https://doi.org/10.3390/agronomy14112630 - 7 Nov 2024
Cited by 1 | Viewed by 1768
Abstract
Rice planthoppers, including Nilaparvata lugens, Sogatella furcifera, and Laodelphax striatellus, are major agricultural pests. Serpins, which function as serine protease inhibitors, play a pivotal role in the immune systems of these insects, especially within the Toll signaling pathway and the [...] Read more.
Rice planthoppers, including Nilaparvata lugens, Sogatella furcifera, and Laodelphax striatellus, are major agricultural pests. Serpins, which function as serine protease inhibitors, play a pivotal role in the immune systems of these insects, especially within the Toll signaling pathway and the prophenoloxidase (PPO) cascade. This study presents a comparative analysis of serpin genes among these species, highlighting their roles in immunity and development. Utilizing genomic and bioinformatics approaches, we identified 11, 11, and 14 serpin genes in N. lugens, S. furcifera, and L. striatellus, respectively. Phylogenetic analysis revealed a close evolutionary relationship between these serpin genes and Bombyx mori BmSerpins, emphasizing the functional diversity of the serpin family. Structural analysis confirmed the presence of the reactive center loop (RCL) in all serpin proteins, with the Serpin7 subfamily showing a unique dual RCL configuration. Expression profiling showed species-specific serpin expression patterns across different life stages and adult tissues. Moreover, transcriptional analysis of serpin genes in the three planthoppers following Metarhizium infection uncovered distinct immune regulatory patterns two days post-infection. Notably, the expression of NlSerpin2-2/6, SfSerpin4/6/7-1, and LsSerpin4/5-2/6 was upregulated post-infection, potentially enhancing antifungal capabilities. In contrast, the expressions of NlSerpin1/7-1/9 and LsSerpin1/2/3/8/13 were downregulated, possibly suppressing immune responses. Moreover, Serpin6s, which share a conserved phylogenetic lineage, exhibited enhanced immune activity in response to fungal invasion. These insights into serpin-mediated immune regulation could contribute to the development of novel pest-control strategies. Full article
Show Figures

Figure 1

15 pages, 7390 KB  
Article
Structural Derivatives of β-Asarone from Acorus calamus Linn. as Insecticide Candidates and the Insecticidal Mechanism Against Small Brown Planthopper
by Aiyu Wang, Yun Zhou, Xiaochen Fu, Xin Wang, Yinjie Cheng, Yifei Zhang, Xiuwen Jia, Yanwei Zhu, Yun Zhang, Chao Xue, Chenggang Shan, Ming Zhao, Yuanxue Yang and Jianhua Zhang
Agronomy 2024, 14(10), 2420; https://doi.org/10.3390/agronomy14102420 - 18 Oct 2024
Viewed by 2031
Abstract
The small brown planthopper (SBPH), Laodelphax striatellus (Fallén) (Hemiptera: Delphacidae), is an increasing threat to Gramineae crops, posing significant risks to both the environment and food safety. β-asarone, as a promising green alternative to chemical insecticides, possesses wide application prospects in the [...] Read more.
The small brown planthopper (SBPH), Laodelphax striatellus (Fallén) (Hemiptera: Delphacidae), is an increasing threat to Gramineae crops, posing significant risks to both the environment and food safety. β-asarone, as a promising green alternative to chemical insecticides, possesses wide application prospects in the crop protection field. To enhance the insecticidal activity of β-asarone, a series of derivatives were prepared through an active substructure splicing strategy, and their insecticidal activities against SBPH were evaluated. Among the 7 commercial compounds with chemical structures similar to β-asarone and 12 structural derivatives of β-asarone, compound 10, which incorporates the 2-chloropyridine functional group from flupyrimin, exhibited the most potent insecticidal activity against SBPH, with an 8.31-fold increase in insecticidal activity compared to β-asarone. Furthermore, transcriptome analysis showed that among the selected genes that may play important roles in insecticidal activity, an ABC transporter gene, MDR49, was most significantly down-regulated. MDR49 was highly expressed in the 4th-instar nymphs, with the highest expression level in the fat body, midgut, and abdomen. RNA interference (RNAi) against MDR49 significantly reduced susceptibility to compound 10 in SBPH, which revealed that MDR49 may be the candidate insecticidal target of compound 10. Additionally, the insecticidal spectrum revealed that compound 10 showed excellent efficacy against Bemisia tabaci (Gennadius) (Hemiptera: Aleyrodidae) and Tetranychus cinnabarinus (Boisduval) (Acarina: Tetranychidae). This study indicates that compound 10 could be further developed as a novel eco-friendly pesticide. Full article
(This article belongs to the Section Pest and Disease Management)
Show Figures

Graphical abstract

12 pages, 1624 KB  
Article
Rice Stripe Virus Infection Facilitates the Reproductive Potential of Laodelphax striatellus
by Yuanyuan Zhang, Youxin Yu, Meiqi Xu, Jingyan Liao, Chenjia Shao, Liran Fu, Mingshi Qian, Gang Xu and Guoqing Yang
Agronomy 2024, 14(4), 714; https://doi.org/10.3390/agronomy14040714 - 29 Mar 2024
Cited by 6 | Viewed by 2615
Abstract
The rice stripe virus (RSV) is transmitted by the small brown planthopper Laodelphax striatellus in a persistent and circulative–propagative manner. During the last few decades, RSV has caused serious disease outbreaks in rice fields in China. The results of long-term coevolution have led [...] Read more.
The rice stripe virus (RSV) is transmitted by the small brown planthopper Laodelphax striatellus in a persistent and circulative–propagative manner. During the last few decades, RSV has caused serious disease outbreaks in rice fields in China. The results of long-term coevolution have led to complex and diverse relationships between viruses and vector insects, and understanding these interactions is critical for the management of diseases and vector organisms. In this study, three groups of comparative experiments were performed to investigate the effects of RSV infection on the reproductive parameters, vitellogenin (Vg), and Vg receptor (VgR) expressions of L. striatellus. The results showed that RSV infection promoted the fecundity, hatchability, and Vg and VgR expressions of L. striatellus but had no effect on the preoviposition period and oviposition period. Furthermore, the RNA interference of the nucleocapsid protein (CP) gene and the injection of the CP antibody in RSV-viruliferous L. striatellus reduced the fecundity, hatchability, and Vg and VgR expressions, further strengthening the hypothesis that RSV may manipulate the reproductive behavior of insect vectors to promote its own transmission. The results of this study can further reveal the interaction mechanism of virus–vector insects in reproduction and virus transmission, and provide new insights for the control of insect-borne viruses. Full article
Show Figures

Figure 1

10 pages, 1414 KB  
Article
Inhibition of Rice Stripe Virus Accumulation by Polyubiquitin-C in Laodelphax striatellus
by Bo-Xue Li, Yu-Hua Qi, Chuan-Xi Zhang, Jian-Ping Chen, Jun-Min Li and Gang Lu
Insects 2024, 15(3), 149; https://doi.org/10.3390/insects15030149 - 22 Feb 2024
Viewed by 1788
Abstract
Many hosts utilize the ubiquitin system to defend against viral infection. As a key subunit of the ubiquitin system, the role of polyubiquitin in the viral infection of insects is unclear. Here, we identified the full-length cDNA of the polyubiquitin-C (UBC) gene in [...] Read more.
Many hosts utilize the ubiquitin system to defend against viral infection. As a key subunit of the ubiquitin system, the role of polyubiquitin in the viral infection of insects is unclear. Here, we identified the full-length cDNA of the polyubiquitin-C (UBC) gene in Laodelphax striatellus, the small brown planthopper (SBPH). LsUBC was expressed in various tissues and was highly expressed in salivary glands, midgut, and reproductive systems. Furthermore, the LsUBC expression profiles in the developmental stages showed that LsUBC was ubiquitously expressed in seven developmental stages and was highest expressed in female adults with SBPH. qRT-PCR analyses indicated that rice stripe virus (RSV) infection promoted the LsUBC expression. Knockdown of LsUBC mRNA via RNA interference increased RSV accumulation. These findings suggest that LsUBC inhibits RSV accumulation in L. striatellus. Full article
(This article belongs to the Section Insect Molecular Biology and Genomics)
Show Figures

Figure 1

12 pages, 2161 KB  
Article
MicroRNA750-3p Targets Processing of Precursor 7 to Suppress Rice Black-Streaked Dwarf Virus Propagation in Vector Laodelphax striatellus
by Haitao Wang, Yan Dong, Qiufang Xu, Man Wang, Shuo Li and Yinghua Ji
Viruses 2024, 16(1), 97; https://doi.org/10.3390/v16010097 - 8 Jan 2024
Cited by 2 | Viewed by 1946
Abstract
MicroRNAs (miRNAs) are non-coding RNAs, which, as members of the RNA interference pathway, play a pivotal role in antiviral infection. Almost 80% of plant viruses are transmitted by insect vectors; however, little is known about the interaction of the miRNAs of insect vectors [...] Read more.
MicroRNAs (miRNAs) are non-coding RNAs, which, as members of the RNA interference pathway, play a pivotal role in antiviral infection. Almost 80% of plant viruses are transmitted by insect vectors; however, little is known about the interaction of the miRNAs of insect vectors with plant viruses. Here, we took rice black-streaked dwarf virus (RBSDV), a devastating virus to rice production in eastern Asia, and the small brown planthopper, (SBPH, Laodelphax striatellus) as a model to investigate the role of microRNA750-3p (miR750-3p) in regulating viral transmission. Our results showed that Ls-miR750-3p was downregulated in RBSDV-infected SBPH and predominately expressed in the midgut of SBPH. Injection with miR750-3p agomir significantly reduced viral accumulation, and the injection with the miR750-3p inhibitor, antagomir-750-3p, dramatically promoted the viral accumulation in SBPH, as detected using RT-qPCR and Western blotting. The processing of precursor 7 (POP7), a subunit of RNase P and RNase MRP, was screened, identified, and verified using a dual luciferase reporter assay as one target of miR750-3p. Knockdown of POP7 notably increased RBSDV viral propagation in SBPH and then increased the viral transmission rate by SBPH. Taken together, our data indicate that miR750-3p targets POP7 to suppress RBSDV infection in its insect vector. These results enriched the role of POP7 in modulating virus infection in host insects and shared new insight into the function of miRNAs in plant virus and insect vector interaction. Full article
(This article belongs to the Section Viruses of Plants, Fungi and Protozoa)
Show Figures

Figure 1

12 pages, 2578 KB  
Article
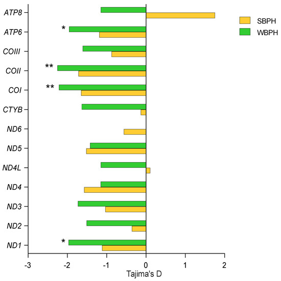
A Comparative Analysis of Selection Pressures Suffered by Mitochondrial Genomes in Two Planthopper Species with Divergent Climate Distributions
by Kang-Kang Sun, Yi Ding, Lei Chen and Jing-Tao Sun
Int. J. Mol. Sci. 2023, 24(23), 16847; https://doi.org/10.3390/ijms242316847 - 28 Nov 2023
Cited by 2 | Viewed by 1865
Abstract
Mitochondrial DNA (mtDNA) has been widely used as a valuable tool in studies related to evolution and population genetics, under the implicit assumption of neutral evolution. However, recent studies suggest that natural selection also plays a significant role in shaping mitochondrial genome evolution, [...] Read more.
Mitochondrial DNA (mtDNA) has been widely used as a valuable tool in studies related to evolution and population genetics, under the implicit assumption of neutral evolution. However, recent studies suggest that natural selection also plays a significant role in shaping mitochondrial genome evolution, although the specific driving forces remain elusive. In this study, we aimed to investigate whether and how climate influences mitochondrial genome evolution by comparing the selection pressures acting on mitochondrial genomes between two rice planthoppers, Sogatella furcifera (Horváth) and Laodelphax striatellus (Fallén), which have different climate distributions. We employed the dN/dS method, MK test and Tajima’s D tests for our analysis. Our results showed that the mitochondrial genomes of the two species appear to undergo predominantly purifying selection, consistent with the nearly neutral evolution model. However, we observed varied degrees of purifying selection among the 13 protein-coding genes. Notably, ND1, ND2, ND6, COIII, and ATP8 exhibited significantly stronger purifying selection and greater divergence between the two species compared to the other genes. Additionally, we observed relatively stronger purifying selection in the mitochondrial genomes of S. furcifera compared to L. striatellus. This difference could be attributed to varying metabolic requirements arising from distinct habitats or other factors that are unclear here. Furthermore, we speculate that mito-nuclear epistatic interactions may play a role in maintaining nonsynonymous polymorphisms, particularly for COI and COII. Overall, our results shed some light on the influence of climate on mitochondrial genome evolution. Full article
(This article belongs to the Section Molecular Genetics and Genomics)
Show Figures

Figure 1

14 pages, 2915 KB  
Article
Development of Polyclonal Antibodies and a Serological-Based Reverse-Transcription Loop-Mediated Isothermal Amplification (S-RT-LAMP) Assay for Rice Black-Streaked Dwarf Virus Detection in Both Rice and Small Brown Planthopper
by Yanhong Hua, Chenwei Feng, Tianxiao Gu, Haoyu Chen, Duxuan Liu, Kai Xu and Kun Zhang
Viruses 2023, 15(10), 2127; https://doi.org/10.3390/v15102127 - 20 Oct 2023
Cited by 5 | Viewed by 2293
Abstract
Rice black-streaked dwarf virus (RBSDV) infects rice and maize, and seriously affects rice yields in main rice-producing areas. It can be transmitted via small brown planthopper (SBPH: Laodelphax striatellus Fallén). To more rapidly, sensitively, and highly throughput diagnose RBSDV in the wild condition, [...] Read more.
Rice black-streaked dwarf virus (RBSDV) infects rice and maize, and seriously affects rice yields in main rice-producing areas. It can be transmitted via small brown planthopper (SBPH: Laodelphax striatellus Fallén). To more rapidly, sensitively, and highly throughput diagnose RBSDV in the wild condition, we first purified the recombinant His-CPRBSDV protein, and prepared the polyclonal antibodies against the His-CPRBSDV protein (PAb-CPRBSDV). Based on the PAb-CPRBSDV, we developed a series of serological detections, such as Western blot, an enzyme-linked immunosorbent assay (ELISA), and a dot immunoblotting assay (DIBA). Furthermore, we developed a serological-based reverse-transcription loop-mediated isothermal amplification assay (S-RT-LAMP) that could accurately detect RBSDV in the wild. Briefly, the viral genomic dsRNA together with viral CP were precipitated by co-immunoprecipitation using the PAb-CPRBSDV, then the binding RNAs were crudely isolated and used for RT-LAMP diagnosis. Using the prepared PAb-CPRBSDV, four serology-based detection methods were established to specifically detect RBSDV-infected rice plants or SBPHs in the wild. The method of S-RT-LAMP has also been developed to specifically, high-throughput, and likely detect RBSDV in rice seedlings and SBPHs simultaneously. The antiserum prepared here laid the foundation for the rapid and efficient detection of RBSDV-infected field samples, which will benefit for determination of the virulence rate of the transmission vector SBPH and outbreak and epidemic prediction of RBSDV in a rice production area. Full article
(This article belongs to the Section Viruses of Plants, Fungi and Protozoa)
Show Figures

Figure 1

15 pages, 2476 KB  
Article
Virus-like Particles from Wolbachia-Infected Cells May Include a Gene Transfer Agent
by Ann M. Fallon and Elissa M. Carroll
Insects 2023, 14(6), 516; https://doi.org/10.3390/insects14060516 - 2 Jun 2023
Cited by 4 | Viewed by 2829
Abstract
Wolbachia are obligate intracellular bacteria that occur in insects and filarial worms. Strains that infect insects have genomes that encode mobile genetic elements, including diverse lambda-like prophages called Phage WO. Phage WO packages an approximately 65 kb viral genome that includes a unique [...] Read more.
Wolbachia are obligate intracellular bacteria that occur in insects and filarial worms. Strains that infect insects have genomes that encode mobile genetic elements, including diverse lambda-like prophages called Phage WO. Phage WO packages an approximately 65 kb viral genome that includes a unique eukaryotic association module, or EAM, that encodes unusually large proteins thought to mediate interactions between the bacterium, its virus, and the eukaryotic host cell. The Wolbachia supergroup B strain, wStri from the planthopper Laodelphax striatellus, produces phage-like particles that can be recovered from persistently infected mosquito cells by ultracentrifugation. Illumina sequencing, assembly, and manual curation of DNA from two independent preparations converged on an identical 15,638 bp sequence that encoded packaging, assembly, and structural proteins. The absence of an EAM and regulatory genes defined for Phage WO from the wasp, Nasonia vitripennis, was consistent with the possibility that the 15,638 bp sequence represents an element related to a gene transfer agent (GTA), characterized by a signature head–tail region encoding structural proteins that package host chromosomal DNA. Future investigation of GTA function will be supported by the improved recovery of physical particles, electron microscopic examination of potential diversity among particles, and rigorous examination of DNA content by methods independent of sequence assembly. Full article
(This article belongs to the Topic Host–Parasite Interactions)
Show Figures

Graphical abstract

16 pages, 2559 KB  
Article
Effects of Priming Rice Seeds with Decoyinine on Fitness Traits and Virus Transmission Ability of the Small Brown Planthopper, Laodelphax striatellus
by Amir Zaman Shah, Yuanyuan Zhang, Wei Gui, Mingshi Qian, Youxin Yu, Gang Xu and Guoqing Yang
Agronomy 2023, 13(3), 864; https://doi.org/10.3390/agronomy13030864 - 15 Mar 2023
Cited by 9 | Viewed by 2406
Abstract
Laodelphax striatellus is a notorious sap-feeding insect that also serves as a vector of rice stripe virus (RSV) and is responsible for a significant decline in rice yield. Pesticide application remains a crucial strategy for controlling insect pests. In recent years, the utilization [...] Read more.
Laodelphax striatellus is a notorious sap-feeding insect that also serves as a vector of rice stripe virus (RSV) and is responsible for a significant decline in rice yield. Pesticide application remains a crucial strategy for controlling insect pests. In recent years, the utilization of biopesticides has gained attention due to their eco-friendliness and suitability for controlling insect pests and pathogens in agriculture. The present study aimed Figureto evaluate the potential efficacy of a microbial pesticide, decoyinine (DCY), as a seed priming agent in rice against SBPH’s biology, feeding behavior, and RSV transmission ability in the laboratory. Here, we revealed that the body weight of females and males and honeydew extraction of RSV-virulent SBPH were (22.50%, 25.0%, and 23.25%, respectively) significantly lower than non-virulent SBPH. Meanwhile, the fecundity of RSV-virulent SBPH females was significantly higher (8.24%) than non-virulent SBPH. However, nymphal survival and RSV transmission (horizontal and vertical) were found to be non-significantly affected by DCY application. Furthermore, DCY-primed rice seedlings significantly prolonged the time period and frequency of the electrical penetration graph (EPG) feeding waveforms (np, N2, and N3), and also reduced the time period of the waveform (N4-b) for both RSV-virulent and non-virulent SBPH strains with reduced RSV inoculation. The recent study provides new insights for DCY application in rice against SBPH by reducing fecundity, body weight, and honeydew contents, which might contribute to modern integrated pest management. Full article
(This article belongs to the Special Issue Ecological Mechanism and Control Technology of Rice Pests)
Show Figures

Figure 1

21 pages, 6928 KB  
Article
Small Brown Planthopper Nymph Infestation Regulates Plant Defenses by Affecting Secondary Metabolite Biosynthesis in Rice
by Shuai Li, Liangxuan Qi, Xinyang Tan, Shifang Li, Jichao Fang and Rui Ji
Int. J. Mol. Sci. 2023, 24(5), 4764; https://doi.org/10.3390/ijms24054764 - 1 Mar 2023
Cited by 6 | Viewed by 3203
Abstract
The small brown planthopper (SBPH, Laodelphax striatellus) is one of the most destructive insect pests in rice (Oryza sativa), which is the world’s major grain crop. The dynamic changes in the rice transcriptome and metabolome in response to planthopper female [...] Read more.
The small brown planthopper (SBPH, Laodelphax striatellus) is one of the most destructive insect pests in rice (Oryza sativa), which is the world’s major grain crop. The dynamic changes in the rice transcriptome and metabolome in response to planthopper female adult feeding and oviposition have been reported. However, the effects of nymph feeding remain unclear. In this study, we found that pre-infestation with SBPH nymphs increased the susceptibility of rice plants to SBPH infestation. We used a combination of broadly targeted metabolomic and transcriptomic studies to investigate the rice metabolites altered by SBPH feeding. We observed that SBPH feeding induced significant changes in 92 metabolites, including 56 defense-related secondary metabolites (34 flavonoids, 17 alkaloids, and 5 phenolic acids). Notably, there were more downregulated metabolites than upregulated metabolites. Additionally, nymph feeding significantly increased the accumulation of seven phenolamines and three phenolic acids but decreased the levels of most flavonoids. In SBPH-infested groups, 29 differentially accumulated flavonoids were downregulated, and this effect was more pronounced with infestation time. The findings of this study indicate that SBPH nymph feeding suppresses flavonoid biosynthesis in rice, resulting in increased susceptibility to SBPH infestation. Full article
(This article belongs to the Special Issue Plant Response to Insects and Microbes)
Show Figures

Figure 1

Back to TopTop