Sign in to use this feature.

Years

Between: -

Subjects

remove_circle_outline
remove_circle_outline
remove_circle_outline
remove_circle_outline
remove_circle_outline
remove_circle_outline
remove_circle_outline
remove_circle_outline
remove_circle_outline

Journals

remove_circle_outline
remove_circle_outline
remove_circle_outline
remove_circle_outline

Article Types

Countries / Regions

remove_circle_outline
remove_circle_outline
remove_circle_outline

Search Results (409)

Search Parameters:
Keywords = LC-QTOF/MS

Order results
Result details
Results per page
Select all
Export citation of selected articles as:
22 pages, 2900 KB  
Article
Targeted and Untargeted Metabolomics and Pharmacological Potential of Endemic Stachys sparsipilosa R. Bhattacharjee & Hub.-Mor.
by Ceren Emir, Gökçe Yıldırım Buharalıoğlu, Recep İlhan, Hasan Yıldırım, Güneş Çoban and Ahmet Emir
Appl. Sci. 2026, 16(6), 2691; https://doi.org/10.3390/app16062691 - 11 Mar 2026
Viewed by 151
Abstract
Species of the genus Stachys (Lamiaceae) are recognized for their ethnobotanical importance and chemical diversity. In this study, the essential oil (EOS) and solvent extracts of the endemic species Stachys sparsipilosa were investigated using integrated GC–MS and LC–ESI–QTOF/MS approaches. GC–MS analysis showed that [...] Read more.
Species of the genus Stachys (Lamiaceae) are recognized for their ethnobotanical importance and chemical diversity. In this study, the essential oil (EOS) and solvent extracts of the endemic species Stachys sparsipilosa were investigated using integrated GC–MS and LC–ESI–QTOF/MS approaches. GC–MS analysis showed that identified constituents accounted for 94.62% of the total oil, with caryophyllene oxide, kauran-16-ol, and cubebol as major components. Targeted LC–MS analysis quantified prominent phenolic compounds, including chlorogenic acid, rutin, and hesperidin, while untargeted metabolomics tentatively annotated 168 metabolites belonging to phenolics, terpenoids, and other classes. Antioxidant capacity was evaluated using complementary in vitro assays, and enzyme inhibitory activities against α-amylase, α-glucosidase, tyrosinase, acetylcholinesterase, and butyrylcholinesterase were assessed in comparison with standard inhibitors. The extracts demonstrated measurable but generally moderate activities relative to the corresponding positive controls. The essential oil exhibited moderate, non-selective cytotoxic effects at relatively high concentrations, whereas solvent extracts showed limited activity within the tested range. Molecular docking analyses were performed as supportive tools to explore possible enzyme–ligand interactions. Overall, S. sparsipilosa displays a chemically diverse metabolite profile associated with composition-dependent bioactivities, providing a basis for further mechanistic and in vivo studies. Full article
(This article belongs to the Section Applied Biosciences and Bioengineering)
Show Figures

Figure 1

22 pages, 2669 KB  
Article
Biological Activities and LC–QTOF–MS-Based Phytochemical Characterization of Onosma alboroseum Fisch. et Mey. subsp. alboresum var. alboroseum Extracts and Extract-Loaded Nanoparticles
by Duygu Taskin, Beyzanur Ongün, Duygu Dişçi, Shalaleh Hasan Niari Niar, Fatma Betül Zengin, Erkan Rayaman, Ömer Kılıç, Turgut Taskin, Elif Çalışkan Salihi and Hatice Kübra Elçioğlu
Pharmaceuticals 2026, 19(3), 451; https://doi.org/10.3390/ph19030451 - 11 Mar 2026
Viewed by 152
Abstract
Background/Objectives: This study provides the first comprehensive evaluation of the antioxidant, antimicrobial, and enzyme inhibitory activities of Onosma alboroseum subsp. alboroseum var. alboroseum, including a novel nanoformulation-based comparative assessment of its most active extract. The study further aimed to investigate whether nanoparticles [...] Read more.
Background/Objectives: This study provides the first comprehensive evaluation of the antioxidant, antimicrobial, and enzyme inhibitory activities of Onosma alboroseum subsp. alboroseum var. alboroseum, including a novel nanoformulation-based comparative assessment of its most active extract. The study further aimed to investigate whether nanoparticles modulate the biological performance of the extract. Methods: Antioxidant activity was assessed using DPPH, FRAP, and CUPRAC assays, and total phenolic content was determined by the Folin–Ciocalteu method. Antimicrobial activity was evaluated using agar well diffusion and microdilution assays, while enzyme inhibitory activities were assessed through anticholinesterase and anti-urease assays. The most biologically active extract was subjected to LC–QTOF–MS-based tentative metabolite profiling and subsequently formulated into nanoparticles for comparative biological evaluation. Results: Among the extracts studied, the methanol extract had the highest total phenolic content and demonstrated superior antioxidant, antimicrobial, and enzyme inhibitor activities. LC–QTOF–MS profiling indicated a phenolic-rich composition, with rosmarinic acid as the predominant compound based on relative peak area. The methanol extract was encapsulated within alginate nanoparticles for subsequent comparative biological assessment. While the crude extract showed superior activity in antioxidant assays, nanoparticles enhanced cholinesterase and urease inhibition (28.03% and 12.11%, respectively) and improved antibacterial efficacy in microdilution assays (MIC range: 3.13–12.5 µg/mL), although no inhibition was observed in agar diffusion tests. Conclusions: These findings indicate the first time that the methanol extract of Onosma alboroseum subsp. alboroseum var. alboroseum represents a phenolic-rich source of bioactive constituents and a nanoparticle formulation that can modulate specific biological activities depending on the assay system, highlighting the relevance of formulation strategy in phytochemical-based pharmaceutical applications. Full article
(This article belongs to the Section Natural Products)
Show Figures

Graphical abstract

32 pages, 6515 KB  
Article
Metabolomic Study of 7-Ethyl-9-(N-methyl)aminomethyl-10-hydroxycamptothecin Derivative (NMe)—The Chemotherapeutic Drug Candidate Versus Irinotecan (IR) on a Mouse Model
by Piotr Surynt, Beata Naumczuk, Magdalena Popławska, Magdalena Urbanowicz, Katarzyna Unrug-Bielawska, Magdalena Cybulska-Lubak, Zuzanna Sadowska-Markiewicz, Jerzy Sitkowski, Elżbieta Bednarek, Natalia Zeber-Lubecka, Lech Kozerski, Michał Mikula and Jerzy Ostrowski
Metabolites 2026, 16(3), 172; https://doi.org/10.3390/metabo16030172 - 5 Mar 2026
Viewed by 374
Abstract
Background: In this study, we aimed to compare metabolomic profiles, biodistribution, and detoxification patterns of the novel SN-38 derivative NMe with irinotecan (IR), and to identify NMe-specific metabolites to evaluate its preclinical pharmacokinetic advantages. Methods: In vivo ADME studies were conducted for NMe, [...] Read more.
Background: In this study, we aimed to compare metabolomic profiles, biodistribution, and detoxification patterns of the novel SN-38 derivative NMe with irinotecan (IR), and to identify NMe-specific metabolites to evaluate its preclinical pharmacokinetic advantages. Methods: In vivo ADME studies were conducted for NMe, a 9-aminomethyl SN-38 derivative, and IR following a single intraperitoneal dose of 40 mg/kg in mice. Additionally, ADMET properties were predicted using ADMETlab and SwissADME tools for comparison. Levels of NMe and irinotecan absorbed into plasma, distributed to tissues, and metabolized were monitored in liver, lung, spleen, kidney, and stool samples at 15, 30, and 60 min post-administration. Tissue extracts were analysed using high-performance liquid chromatography (HPLC), liquid chromatography–electrospray ionization quadrupole time-of-flight-tandem mass spectrometry (LC-ESI-QTOF-MS), and nuclear magnetic resonance (NMR) techniques after lyophilization and reconstitution. We compared the metabolomic profiles of irinotecan and NMe. Results: We identified and confirmed NMe-specific metabolites, including 9-CH2-S-cysteine conjugate, 9-CH2OH, and NMe-formyl. Notably, novel irinotecan metabolites (IR-OH and IR-ΔE) were detected in small amounts in kidney samples. In some cases, two literature-known photodegradation products of irinotecan were present. NMe was found to quickly metabolize with different distribution to tissues, significantly greater to kidney and liver. Two SN-38 glucuronides, SN-38G(α) and SN-38G(β), were detected corresponding to α- and β-anomers. Where it was possible, NMe, IR and SN-38 were quantified using external calibration curves. In IR group, controlled and prolonged release of SN-38 was confirmed in all samples, yet SN-38G was observed in minority only in plasma, kidney, or lungs. In NMe groups, great relative amounts of SN-38 and SN-38G were detected. Greater content of SN-38G in NMe group than in irinotecan is expected to contribute to modulation and alleviation of some side effects in irinotecan-involved therapies, such as gastrointestinal toxicities (GIT). Conclusions: NMe shows a distinct metabolic profile characterized by rapid biotransformation, higher systemic glucuronidation of SN-38, and formation of unique metabolites, suggesting a potentially wider therapeutic window and reduced toxicity compared with IR. Full article
(This article belongs to the Section Pharmacology and Drug Metabolism)
Show Figures

Graphical abstract

32 pages, 2400 KB  
Article
Decoding Cretan Wines: Phenolic Profiling of Greek Indigenous Wine Varieties Using LC-QTOF-MS
by Pelagia Lekka, Maria Dimitropoulou, Athanasia Rousali, Ana-Maria Kiose, Marianthi Basalekou, Nikolaos Thomaidis and Marilena Dasenaki
Molecules 2026, 31(5), 815; https://doi.org/10.3390/molecules31050815 - 28 Feb 2026
Viewed by 356
Abstract
Crete’s rich heritage of indigenous wine grapes remains underexplored in terms of chemical composition, with many cultivars yet to be fully characterized. This study presents a comprehensive analysis of the phenolic profile of 67 monovarietal Cretan wines produced by 10 wineries (42 white, [...] Read more.
Crete’s rich heritage of indigenous wine grapes remains underexplored in terms of chemical composition, with many cultivars yet to be fully characterized. This study presents a comprehensive analysis of the phenolic profile of 67 monovarietal Cretan wines produced by 10 wineries (42 white, 25 red) from 12 varieties—eight white (Assyrtiko, Dafni, Malvazia, Melissaki, Moschato Spinas, Plito, Vidiano, and Vilana) and four red (Kotsifali, Liatiko, Mandilaria, and Romeiko). A targeted LC–QTOF–MS workflow covering 45 phenolic compounds (flavonoids and non-flavonoids) was applied. Varietal differences were assessed using heteroscedasticity-robust univariate statistics (Welch’s ANOVA with Games–Howell post hoc comparisons and effect-size estimation) and explored by multivariate analyses (PCA and HCA); cross-validated PLS-DA was used for descriptive classification, and MFA integrated the targeted phenolic matrix with classical indices (e.g., total phenolics, tannins, and color metrics). Red wines exhibited stronger variety-linked phenolic structuring than white wines, whereas white-wine differentiation was driven by a limited subset of marker phenolics. Given the central role of phenolic composition in overall wine quality, this study provides the first detailed phenolic characterization of 12 key indigenous Cretan grape varieties. Full article
(This article belongs to the Special Issue Novel Analytical Techniques in Food Chemistry)
Show Figures

Graphical abstract

20 pages, 4686 KB  
Article
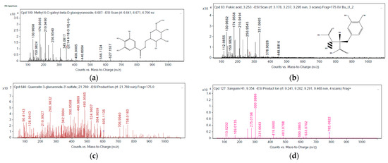
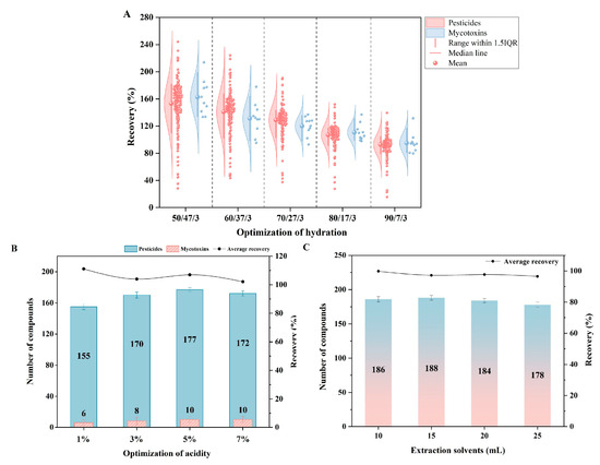
Response Surface Methodology-Optimized QuEChERS Combined with Liquid Chromatography–Quadrupole-Time-of-Flight Mass Spectrometry for Simultaneous Screening of Pesticides and Mycotoxins in Astragalus
by Hang Yin, Yanlong Chen, Yingchun Wang, Zhihong Shi, Xueyan Hu and Hongyi Zhang
Separations 2026, 13(3), 76; https://doi.org/10.3390/separations13030076 - 25 Feb 2026
Viewed by 260
Abstract
This study used the QuEChERS method in combination with liquid chromatography–quadrupole-time-of-flight mass spectrometry (LC-Q-TOF/MS) to develop a method for simultaneous detection of 187 pesticides and 10 mycotoxins in Astragalus. The samples were extracted using an acetonitrile–water solution containing 5% formic acid, and the [...] Read more.
This study used the QuEChERS method in combination with liquid chromatography–quadrupole-time-of-flight mass spectrometry (LC-Q-TOF/MS) to develop a method for simultaneous detection of 187 pesticides and 10 mycotoxins in Astragalus. The samples were extracted using an acetonitrile–water solution containing 5% formic acid, and the amount of purification materials was optimized through response surface methodology. The results show that 197 compounds exhibit good linear relationships within their respective linear ranges (R2 > 0.995). The screening detection limits (SDLs) and the limits of quantification (LOQs) ranged from 0.001 to 0.02 mg/kg and 0.002 to 0.02 mg/kg, respectively. At the spiked levels of 1, 2, and 10 times LOQ, compound recoveries ranged from 61.5% to 118.9%, 67.1% to 119.6%, and 72.0% to 119.3%, respectively, with relative standard deviations (RSDs) all less than 20.0%. The intra-day precision and inter-day precision are less than 10% and 20%, respectively. This method was applied to detect 20 batches of commercially available Astragalus samples. Six compounds (three pesticides and three mycotoxins) were detected; the residues of aflatoxin and ochratoxin A in two batches exceeded the maximum residue limits and required attention. The established method is simple, rapid, and highly sensitive. It is also reproducible and meets the requirements for the accurate quantitative analysis of multiple pesticide residues and mycotoxins in Astragalus. Full article
Show Figures

Figure 1

18 pages, 938 KB  
Article
Phenolic Characterization and Comparative Antioxidant Profiling of Australian Asparagopsis armata and A. taxiformis Across Their Developmental Stages
by Kethabile Sonno, Faezeh Ebrahimi, Ziqi Lou, Hoang Chinh Nguyen, Colin J. Barrow and Hafiz A. R. Suleria
Antioxidants 2026, 15(2), 273; https://doi.org/10.3390/antiox15020273 - 23 Feb 2026
Viewed by 438
Abstract
Asparagopsis has gained global attention for its chemical properties and environmental applications. However, its two main species, Asparagopsis armata and Asparagopsis taxiformis, remain understudied, with limited information available regarding their bioactive potential, especially across their development. In this study, we examined the [...] Read more.
Asparagopsis has gained global attention for its chemical properties and environmental applications. However, its two main species, Asparagopsis armata and Asparagopsis taxiformis, remain understudied, with limited information available regarding their bioactive potential, especially across their development. In this study, we examined the phenolic profiles and antioxidant potentials of gametophyte and tetrasporophyte life stages and compared differences between conventional solvent extraction (CSE) and ultrasound-assisted extraction (UAE), including total phenol content, total flavonoid content, determination of condensed tannins, and seven types of antioxidant activity detections such as DPPH and ABTS. In general, the phenolic compounds and antioxidant potential of the Asparagopsis species vary significantly at different life stages and under different extraction techniques. Among them, the phenolic profile and antioxidant capacity of A. armata were recorded as significantly higher than those of A. taxiformis, as reflected by its greater relative antioxidant capacity index scores. In our study, while UAE did not universally outperform CSE, species- and life stage-specific improvements were recorded. Moreover, LC-ESI-QTOF-MS/MS tentatively identified 24 phenolic compounds (17 in A. armata and 14 in A. taxiformis), pointing to a diverse bioactive profile. Overall, Asparagopsis species demonstrated marked variability in phenolic and antioxidant potentials across life stages and extraction techniques. Full article
Show Figures

Figure 1

13 pages, 654 KB  
Article
Integrative Analysis of 4-Hydroxynonenal-Modified Proteins and Plasma Metabolome in Breast Cancer Patients
by Morana Jaganjac, Matea Nikolac Perkovic, Tea Horvat, David Rojo, Marija Krizic, Natalija Dedic Plavetic, Damir Vrbanec, Biserka Orehovec, Kamelija Zarkovic and Neven Zarkovic
Antioxidants 2026, 15(2), 265; https://doi.org/10.3390/antiox15020265 - 21 Feb 2026
Viewed by 316
Abstract
Breast cancer is a highly heterogeneous malignancy, characterized by diverse genetic, epigenetic, and phenotypic variations, as well as by metabolic reprogramming and oxidative stress. Lipid peroxidation bioactive product 4-hydroxynonenal (4-HNE) plays a significant role in the development and progression of cancer. In this [...] Read more.
Breast cancer is a highly heterogeneous malignancy, characterized by diverse genetic, epigenetic, and phenotypic variations, as well as by metabolic reprogramming and oxidative stress. Lipid peroxidation bioactive product 4-hydroxynonenal (4-HNE) plays a significant role in the development and progression of cancer. In this study, we quantified circulating 4-HNE-modified proteins and performed comprehensive untargeted metabolomic profiling of the patients’ plasma using LC-ESI-QTOF-MS and GC-EI-QMS, aiming to investigate systemic metabolic pathways associated with oxidative damage in breast cancer. Significantly elevated levels of 4-HNE-modified proteins were detected in breast cancer patients compared to healthy controls, accompanied by distinct metabolomic signatures enriched in lipid metabolism. Several metabolites, including specific long-chain fatty acids, exhibited significant correlations with circulating 4-HNE-modified proteins, suggesting an interaction between lipid peroxidation-driven protein modification and breast cancer-associated metabolic reprogramming. Overall, this study provides evidence of associations between systemic 4-HNE-mediated protein modification and altered metabolic profiles in breast cancer, highlighting oxidative stress–related metabolites as potential biomarkers and pointing to redox-metabolic crosstalk in breast cancer patients. Full article
(This article belongs to the Special Issue Oxidative Stress in Cell Senescence)
Show Figures

Figure 1

16 pages, 1492 KB  
Article
Diagnostic Biomarkers for Pancreatic Ductal Adenocarcinoma Using Non-Targeted Metabolomic Analysis
by Hirofumi Sonoda, Hideo Ogiso, Yuichi Aoki, Kazue Morishima, Hideki Sasanuma, Naohiro Sata, Joji Kitayama, Hiroharu Yamashita, Hironori Yamaguchi, Ryozo Nagai and Kenichi Aizawa
Cancers 2026, 18(4), 684; https://doi.org/10.3390/cancers18040684 - 19 Feb 2026
Viewed by 494
Abstract
Background: Liquid biopsy using bodily fluids enables noninvasive acquisition of diverse tumor-derived molecules for comprehensive characterization of tumor profiles. Metabolomic analysis, in particular, may accurately reflect disease pathogenesis and holds promise for clinical diagnostic applications. Objective: This study explored metabolic alterations associated [...] Read more.
Background: Liquid biopsy using bodily fluids enables noninvasive acquisition of diverse tumor-derived molecules for comprehensive characterization of tumor profiles. Metabolomic analysis, in particular, may accurately reflect disease pathogenesis and holds promise for clinical diagnostic applications. Objective: This study explored metabolic alterations associated with pancreatic ductal adenocarcinoma (PDAC) using non-targeted metabolomic analysis of pancreatic juice to construct a preliminary diagnostic model based on selected metabolites. Methods: Pancreatic juice samples were collected intraoperatively and postoperatively from patients undergoing pancreaticoduodenectomy for PDAC (n = 11) and from those who had non-PDAC diseases, including benign conditions such as chronic pancreatitis and non-pancreatic malignancies such as distal bile duct adenocarcinoma and ampullary adenocarcinoma (n = 14). Non-targeted metabolomic analysis was performed using LC-QTOF-MS. Data were processed using MS-DIAL and MetaboAnalyst, and components showing intergroup differences were selected via PLS-DA. A diagnostic model was constructed using logistic regression based on annotated metabolites. Results: PLS-DA identified 56 discriminative components, of which 19 were successfully annotated. One metabolite was notably increased and 22 were relatively decreased in pancreatic juice of patients with PDAC. Among known metabolites that tended to decrease were isocitric acid, citric acid, and several oxidized fatty acids. A tentative logistic regression-based diagnostic model using these selected metabolites showed moderate discriminative performance. Citric acid was included in the final three-variable model, suggesting its potential as a candidate marker for PDAC discrimination. Conclusions: Pancreatic juice reflects PDAC-associated metabolic changes and may contain candidate diagnostic biomarkers. Metabolites annotated in this study may have potential as novel markers, and further studies on unknown components could help advance PDAC diagnosis and treatment. Full article
(This article belongs to the Collection Recent Advances in Pancreatic Ductal Adenocarcinoma)
Show Figures

Graphical abstract

18 pages, 3083 KB  
Article
LC-QTOF-MS as a Tool for Quantitative and Qualitative Analysis of Isoniazid and Its Metabolites in Dog Liver Samples
by Julia Horla, Paweł Jajor, Tetiana Holumbiiovska, Mykola Zhyla, Nataliia Vretsona, Galyna Kotsyumbas and Błażej Poźniak
Int. J. Mol. Sci. 2026, 27(4), 1818; https://doi.org/10.3390/ijms27041818 - 13 Feb 2026
Viewed by 487
Abstract
Isoniazid (INH) is an antitubercular drug that exhibits high toxicity in dogs due to the absence of N-acetyltransferase activity in this species. Consequently, it has been implicated in both accidental and intentional poisonings in dogs. The aim of this study was to develop [...] Read more.
Isoniazid (INH) is an antitubercular drug that exhibits high toxicity in dogs due to the absence of N-acetyltransferase activity in this species. Consequently, it has been implicated in both accidental and intentional poisonings in dogs. The aim of this study was to develop and validate an analytical method for the quantification of INH in canine liver samples and to apply it in the forensic investigation of seven suspected poisoning cases. The method, based on liquid chromatography coupled with quadrupole time-of-flight mass spectrometry (LC-QTOF-MS), enabled both accurate INH measurement and analysis of the molecular pattern of its metabolite formation. In addition, histopathological examination of the stomach, pancreas, liver, and brain was performed. Liver INH concentrations ranged from 11.822 to 30.484 μg/g and were associated with extensive necrotic lesions across all examined tissues. A strong signal for isonicotinic acid was observed in all samples, whereas the acetylated metabolite was negligible. The developed method allows precise quantification of INH in canine liver and facilitates identification of the characteristic molecular profile of its metabolites. Full article
Show Figures

Figure 1

27 pages, 5441 KB  
Article
Comparative Analysis of Schisandra Fruit Extracts and Polysaccharides from Different Origins: Chemical Composition and Prebiotic and Antimicrobial Activity
by Lili Fu, Tomasz Ruman, Joanna Niziol, Zhuo Zhang, Hongfei Zhao, Bolin Zhang, Aleksandra Owczarek-Januszkiewicz, Monika A. Olszewska, Justyna Rosicka-Kaczmarek and Adriana Nowak
Molecules 2026, 31(4), 641; https://doi.org/10.3390/molecules31040641 - 12 Feb 2026
Viewed by 467
Abstract
Schisandra is a plant whose fruit possesses high biological potential and beneficial health effects. The pharmacological properties of Schisandra are attributed to its bioactive components, primarily polyphenols and polysaccharides. This study aimed to obtain Schisandra fruit extracts (SCE) from different locations in China [...] Read more.
Schisandra is a plant whose fruit possesses high biological potential and beneficial health effects. The pharmacological properties of Schisandra are attributed to its bioactive components, primarily polyphenols and polysaccharides. This study aimed to obtain Schisandra fruit extracts (SCE) from different locations in China and Poland, as well as Schisandra polysaccharides (SPO), and to compare their chemical composition and selected biological activities. The prebiotic and antibacterial effects of SCE and SPO on lactic acid bacteria (LAB), human and foodborne pathogens, and gut microbiota were investigated. The chemical composition of the three Chinese SCE was similar, whereas SCE from Poland (SCE-PL) differed. The main bioactive compounds differentiating the Chinese SCE were quercetin, isorhamnetin, and nicotiflorin, while gamma-tocopherol and mevalonic acid distinguished SCE-PL, as indicated through LC-QTOF-MS/MS metabolomic profiling. All SCE and SPO promoted the growth of LAB strains, confirming their prebiotic potential and ability to serve as effective carbon sources for LAB. Additionally, all SCE inhibited the growth of certain pathogens, with S. chinensis extract from China showing the strongest activity, whereas SPO did not exhibit such activity. Variations in chemical composition among SCE and SPO contribute to differences in their prebiotic and antimicrobial activity, highlighting the importance of species and geographical origin in determining their functional properties. Full article
Show Figures

Graphical abstract

20 pages, 5125 KB  
Article
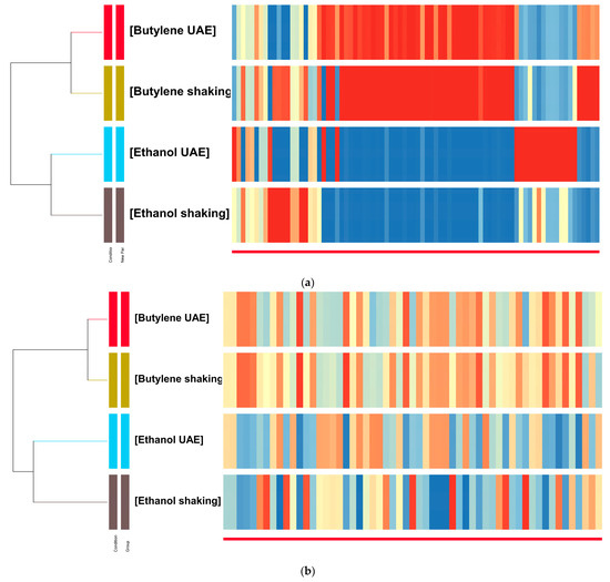
Ultrasound-Enhanced Polyol Extraction of Rosa damascena: Comprehensive Polyphenol Profiling and In Vitro Antioxidant Activity
by Kansiree Keatpapawong, Phitcha Chinarat and Nuntawat Khat-udomkiri
Cosmetics 2026, 13(1), 34; https://doi.org/10.3390/cosmetics13010034 - 6 Feb 2026
Viewed by 482
Abstract
This study demonstrates the effectiveness of ultrasound-assisted extraction (UAE) using butylene glycol for recovering antioxidant bioactive compounds from Rosa damascena petals. Extraction was conducted using 40% (w/v) butylene glycol, a 15 min treatment, and a solid–liquid ratio of 1:50 [...] Read more.
This study demonstrates the effectiveness of ultrasound-assisted extraction (UAE) using butylene glycol for recovering antioxidant bioactive compounds from Rosa damascena petals. Extraction was conducted using 40% (w/v) butylene glycol, a 15 min treatment, and a solid–liquid ratio of 1:50 g/mL. Under these conditions, butylene glycol-based UAE yielded a total flavonoid content of 51.26 ± 1.75 mg QE/g sample, significantly higher than that obtained with ethanol-based UAE (p < 0.05), while the total phenolic content (118.23 ± 4.86 mg GAE/g sample) showed no significant difference between solvents. Antioxidant capacity was also enhanced, with butylene glycol UAE exhibiting stronger DPPH radical scavenging activity (133.12 ± 4.81 mg TEAC/g sample) and higher FRAP values (8.13 ± 0.23 mg FeSO4/g sample) than ethanol-based UAE and conventional shaking extraction. Multivariate analyses, including principal component analysis, heatmap clustering, and Venn diagrams, revealed clear separation among extraction methods and a broader phytochemical profile in butylene glycol UAE extracts. LC-QTOF-ESI-MS/MS profiling confirmed a conserved core phenolic composition across all extracts, while butylene glycol UAE selectively enriched additional galloyl derivatives and conjugated flavonoids and also enabled the detection of less polar phenolics. These findings highlight butylene glycol-based UAE as a sustainable and industry-relevant alternative to ethanol extraction for cosmetic applications. Full article
(This article belongs to the Section Cosmetic Formulations)
Show Figures

Figure 1

31 pages, 3208 KB  
Article
Integrative LC-HR-QTOF-MS and Computational Metabolomics Approaches for Compound Annotation, Chemometric Profiling and In Silico Antibacterial Evaluation of Ugandan Propolis
by Ivan Kahwa, Christina Seel, Ronnie Tumwesigye, Patrick Onen, Ramona Oehme, Susan Billig, Rapheal Wangalwa, Jonans Tusiimire, Claudia Wiesner and Leonard Kaysser
Metabolites 2026, 16(2), 109; https://doi.org/10.3390/metabo16020109 - 3 Feb 2026
Viewed by 860
Abstract
Background/Objectives: Propolis is a complex bee product with a composition that varies according to local vegetation, environmental conditions, and bee foraging behaviours. Recently, gas chromatography–mass spectrometry (GC–MS) has been employed in Uganda to analyse its volatile components. This study examined Ugandan propolis [...] Read more.
Background/Objectives: Propolis is a complex bee product with a composition that varies according to local vegetation, environmental conditions, and bee foraging behaviours. Recently, gas chromatography–mass spectrometry (GC–MS) has been employed in Uganda to analyse its volatile components. This study examined Ugandan propolis non-volatile metabolites to determine chemotypes and identify antibacterial compounds. Methods: Ethanolic extracts were analysed using liquid chromatography–high-resolution quadrupole time-of-flight mass spectrometry (LC-HR-QTOF-MS) in an untargeted MS/MS mode. Data processing was carried out using MZmine, then annotated with Global Natural Products Social Molecular Networking (GNPS) and SIRIUS. Chemometric methods assisted in identifying regional chemical signatures. Metabolites highlighted by the heatmap were evaluated for antibacterial activity using molecular docking against bacterial targets, followed by ADMET (absorption, distribution, metabolism, excretion, and toxicity) assessments. Results: Out of 3252 features, 234 and 52 putative compounds were annotated in GNPS and SIRIUS, respectively, as indicated by molecular networking, suggesting high chemical complexity. The chemical space mainly comprises flavonoids (including glycosides, aglycones, methylated, and prenylated derivatives), phenolic acids, amides, hydroxycinnamate derivatives, lignans, megastigmanes, and various diterpenoid skeletons. Multivariate analyses clearly distinguish geographical chemotypes, separating flavonoid-rich regions from diterpenoid-rich regions. Docking studies revealed flavonoids, diterpenoids, and lignans with strong predicted antibacterial activities and favourable ADMET profiles. Conclusions: This study provides the first LC–MS characterisation of the non-volatile metabolome of Ugandan propolis, thereby expanding its chemical diversity. Metabolomics and computational approaches lay a foundation for future ecological, chemotaxonomic, and pharmacological research. Full article
Show Figures

Figure 1

14 pages, 5154 KB  
Article
Comprehensive Analytical Profiling for Sustainable Jewelry: A Multi-Technique Characterization of Essential Oil-Modified Rosin
by Dantong Huang, Kaewbucha Manus, Apiwathnasorn Chalisa, Tianyi Liu, Chuyun Yan and Yumeng Gu
Methods Protoc. 2026, 9(1), 20; https://doi.org/10.3390/mps9010020 - 2 Feb 2026
Viewed by 446
Abstract
Rosin, a renewable natural resin derived from pine trees, is a promising biomass material for sustainable product development, though its distinct intrinsic odor limits broader use. This study implemented a comprehensive analytical strategy to mitigate the odor by incorporating essential oils (EOs)—eucalyptus (EUC) [...] Read more.
Rosin, a renewable natural resin derived from pine trees, is a promising biomass material for sustainable product development, though its distinct intrinsic odor limits broader use. This study implemented a comprehensive analytical strategy to mitigate the odor by incorporating essential oils (EOs)—eucalyptus (EUC) and peppermint (MINT)—and to conduct a multi-analytical characterization of the modified rosin jewelry. By integrating complementary analytical techniques, including LC-Q/TOF-MS for non-volatile components and GC-Q/TOF-MS for volatile organic compounds (VOCs), we achieved a systematic chemical profiling of the materials. The core composition of rosin, dominated by abietic acid (>48%), remained stable across all samples. The incorporation of EOs significantly altered the VOC profiles: The total VOC signal (summed peak area) in MINT-modified rosin was 2.57-fold that of the EUC-modified sample, with monoterpenoids comprising 87.62% of its VOC signature. Eucalyptol and limonene were tentatively identified as the major components in the EUC sample, whereas menthone, menthol, and limonene predominated in the MINT sample. Multivariate statistical analysis highlighted that variations in specific VOCs—particularly menthone, menthol, eucalyptol, and allo-ocimene—were closely associated with differences in the scent profiles of each modification. This work illustrates how a multi-technique analytical strategy can both guide and assess the functional modification of sustainable biomass materials. The findings offer a practical approach to improving rosin’s functional properties while providing a methodological framework for the integrated characterization of complex biomaterials, supporting the development of eco-friendly products aligned with green chemistry and sustainable design principles. Full article
(This article belongs to the Special Issue Analytical Methods in Natural Sciences and Archaeometry)
Show Figures

Figure 1

14 pages, 2177 KB  
Article
Identification of Active Anti-Inflammatory Compounds in Sweet Potato Storage Roots Extracted with Ethanol via LC-Q-TOF-MS
by Ryohei Sakuraoka, Hirofumi Masutomi and Katsuyuki Ishihara
Molecules 2026, 31(3), 456; https://doi.org/10.3390/molecules31030456 - 28 Jan 2026
Viewed by 522
Abstract
Sweet potatoes (Ipomoea batatas (L.) Lam.) are known for their anti-inflammatory effects, which are attributed to their phytochemical content. Our previous study revealed that ethanol extracts of sweet potato storage roots (SP-EtOH-Ex) inhibit interleukin-6 (IL-6) production in RAW264.7 cells stimulated with lipopolysaccharide [...] Read more.
Sweet potatoes (Ipomoea batatas (L.) Lam.) are known for their anti-inflammatory effects, which are attributed to their phytochemical content. Our previous study revealed that ethanol extracts of sweet potato storage roots (SP-EtOH-Ex) inhibit interleukin-6 (IL-6) production in RAW264.7 cells stimulated with lipopolysaccharide (LPS). However, the causative compounds responsible for the anti-inflammatory effect have not yet been identified. This study aims to identify the compounds responsible for the anti-inflammatory effect of SP-EtOH-Ex using liquid chromatography–quadrupole time-of-flight mass spectrometry (LC-Q-TOF-MS). The unknown compounds were measured using the auto MS/MS mode (data-dependent acquisition; DDA) of LC-Q-TOF-MS, and the resulting data were analyzed using MS-DIAL and MS-FINDER and also compared with those of the corresponding reference standards in terms of retention time and fragment ions. As a result, β-sitosterol (2.527–4.850 µg/mL), campesterol (75.74–93.63 ng/mL), and lauroyl diethanolamide (4.568–9.260 ng/mL) were identified and quantified in SP-EtOH-Ex. Moreover, the anti-inflammatory effect of these three compounds against RAW264.7 cells was investigated at varying concentrations of β-sitosterol (1 µg/mL, 5 µg/mL, 10 µg/mL), campesterol (10 ng/mL, 100 ng/mL, 1000 ng/mL), and lauroyl diethanolamide (1 ng/mL, 10 ng/mL, 100 ng/mL). The phytosterols β-sitosterol and campesterol suppressed LPS-induced IL-6 production at concentrations comparable to those present in SP-EtOH-Ex. In contrast, lauroyl diethanolamide did not similarly suppress LPS-induced IL-6 production. These results suggest that β-sitosterol and campesterol in sweet potato storage roots contribute to their anti-inflammatory effects. The lack of activity in lauroyl diethanolamide further supports that phytosterols are the primary anti-inflammatory constituents. The edible portion of sweet potatoes holds promise as a promising raw material with anti-inflammatory properties. Full article
(This article belongs to the Special Issue Bioactive Compounds in Foods and Their By-Products)
Show Figures

Figure 1

37 pages, 3465 KB  
Review
Advances in Proteomics and Functional Foods from Fermentation and Bioencapsulation of Andean Grains and Tubers: Applications and Perspectives
by Wendy Akemmy Castañeda-Rodríguez, Abel José Rodríguez-Yparraguirre, Carlos Diego Rodríguez-Yparraguirre, Wilson Arcenio Maco-Vásquez, Iván Martín Olivares-Espino, Andrés D. Epifanía-Huerta, Oswaldo Lara-Rivera, Elías Guarniz-Vásquez, César Moreno-Rojo and Elza Aguirre
Foods 2026, 15(3), 425; https://doi.org/10.3390/foods15030425 - 24 Jan 2026
Viewed by 635
Abstract
The transformation of Andean grains and tubers through fermentation and bioencapsulation has emerged as a key strategy to enhance their nutritional, functional, and biotechnological value, driven by advances in proteomic and metabolomic techniques. This study aimed to systematize recent evidence on the biochemical [...] Read more.
The transformation of Andean grains and tubers through fermentation and bioencapsulation has emerged as a key strategy to enhance their nutritional, functional, and biotechnological value, driven by advances in proteomic and metabolomic techniques. This study aimed to systematize recent evidence on the biochemical and functional modifications induced by these processes and their potential application in the development of functional foods. The methodology integrated 67 studies analyzed using tools such as R 4.5.1 with the JupyterLab interface 4.5.2, SCImago Graphica Beta 1.0.53, and VOSviewer 1.6.20, incorporating data generated through LC-MS/MS, UHPLC-QTOF, Orbitrap platforms, transcriptomics, and combined omics approaches, considering original studies published between 2020 and 2025. The main findings indicate substantial increases in free amino acids (up to 64.8%), phenolic compounds (2.9–5.2%), and antioxidant activity (up to 45%), along with the identification of 430 polyphenols, 90 flavonoids, 14 novel oxindole acetates, and bioactive peptides with IC50 values ranging from 0.51 to 0.78 mg/mL. Bioencapsulation showed controlled release of bioactive compounds, highlighting nanocapsules of 133–165 nm with a maximum release of 9.86 mg GAE/g. In conclusion, the combination of fermentation and encapsulation enhances the stability, bioavailability, and functionality of Andean crops, supporting their industrial adoption for the development of sustainable nutraceutical foods that improve health and promote the valorization of traditional resources. Full article
(This article belongs to the Section Nutraceuticals, Functional Foods, and Novel Foods)
Show Figures

Graphical abstract

Back to TopTop