Decoding Cretan Wines: Phenolic Profiling of Greek Indigenous Wine Varieties Using LC-QTOF-MS
Abstract
1. Introduction
2. Results and Discussion
2.1. Classical Oenological Parameters of Cretan Red and White Wines
2.2. Phenolic Composition of Cretan Red Wines
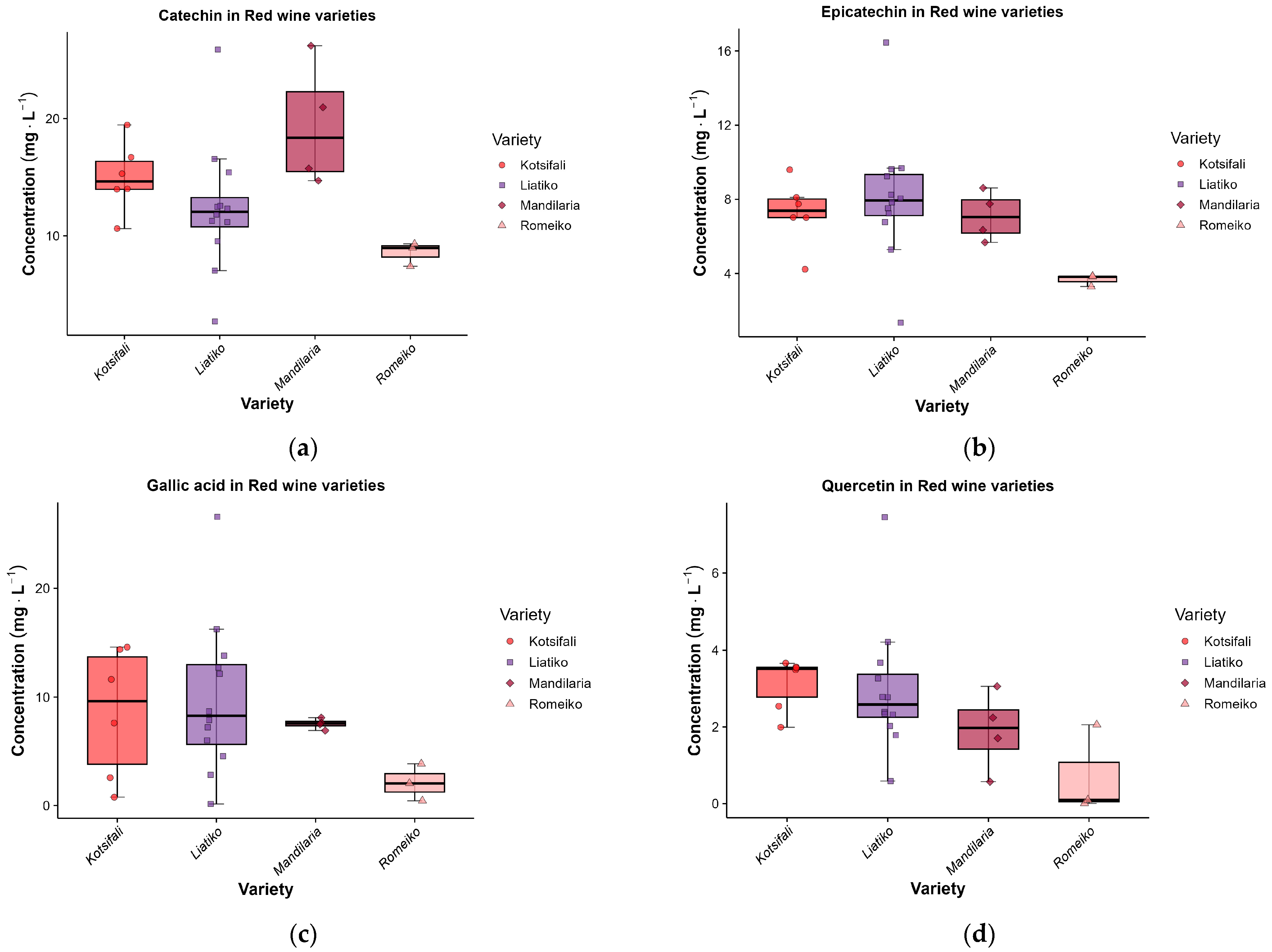
2.2.1. Univariate Varietal Differences in Phenolic Composition
2.2.2. Heatmap-Based Clustering and Multivariate Separation
2.2.3. Multiple Factor Analysis (MFA): Linking Phenolic Composition with Classical Indices
2.3. Phenolic Composition of Cretan White Wines
2.3.1. Univariate Varietal Differences in Phenolic Composition
2.3.2. Heatmap-Based Clustering and Multivariate Separation
2.3.3. Multiple Factor Analysis (MFA): Linking Phenolic Composition with Classical Indices
2.4. Phenolic Composition in Relation to Wine Quality and Bioactive Relevance
2.5. Limitations
3. Materials and Methods
3.1. Sample Collection
3.2. Classical Oenological Analyses
3.3. Phenolic Profiling Using LC-QTOF/MS
3.4. Statistical Analysis
3.4.1. Univariate Statistical Analysis
3.4.2. Multivariate Statistical Analysis
4. Conclusions
Supplementary Materials
Author Contributions
Funding
Data Availability Statement
Acknowledgments
Conflicts of Interest
Abbreviations
| A280 | Absorbance at 280 nm (phenolic content index; PCI) |
| A420 | Absorbance at 420 nm |
| ANOVA | Analysis of variance |
| AutoMS | Automated MS/MS acquisition mode (data-dependent acquisition; Bruker) |
| bbCID | Broadband collision-induced dissociation (data-independent acquisition) |
| BEH | Bridged ethyl hybrid (stationary phase) |
| BER | Balanced error rate |
| CI | Color intensity |
| EICs | Extracted ion chromatograms |
| ESI | Electrospray ionization |
| FT-IR | Fourier-transform infrared spectroscopy |
| FWHM | Full width at half maximum |
| GAE | Gallic acid equivalents |
| GC–MS | Gas chromatography–mass spectrometry |
| HCA | Hierarchical clustering analysis |
| HPLC | High-performance liquid chromatography |
| I | Color intensity (index) |
| KMO | Kaiser–Meyer–Olkin measure |
| LC | Liquid chromatography |
| LC–MS | Liquid chromatography–mass spectrometry |
| LC–QTOF–MS | Liquid chromatography–quadrupole time-of-flight mass spectrometry |
| MFA | Multiple factor analysis |
| MS | Mass spectrometry |
| MS/MS | Tandem mass spectrometry |
| mSigma | Isotopic pattern fit score (Bruker) |
| m/z | Mass-to-charge ratio |
| N.D. | Not detected |
| N2 | Nitrogen gas |
| NMR | Nuclear magnetic resonance |
| OIV | International Organisation of Vine and Wine |
| Ox_420 | Absorbance at 420 nm used as oxidation/colour evolution index variable |
| PCA | Principal component analysis |
| PCI | Phenolic content index (A280) |
| PLS-DA | Partial least squares–discriminant analysis |
| QC | Quality control |
| QTOF | Quadrupole time-of-flight |
| RSLC | Rapid Separation Liquid Chromatography |
| SD | Standard deviation |
| SO2 | Sulfur dioxide |
| SPSS | Statistical Package for the Social Sciences |
| T | Color hue (index) |
| TASQ | Target Analysis for Screening and Quantitation (Bruker software) |
| tR | Retention time |
| TPC | Total phenolic content |
| TPC_Folin | Total phenolic content by Folin–Ciocalteu |
| UHPLC | Ultra-high-performance liquid chromatography |
| VIP | Variable importance in projection |
| v/v | Volume/volume |
| η2 | Eta-squared (effect size) |
References
- Gutiérrez-Escobar, R.; Aliaño-González, M.J.; Cantos-Villar, E. Wine Polyphenol Content and Its Influence on Wine Quality and Properties: A Review. Molecules 2021, 26, 718. [Google Scholar] [CrossRef]
- Ribéreau-Gayon, P.; Dubourdieu, D.; Donèche, B. Handbook of Enology, 2nd ed.; John Wiley: Chichester, UK; Hoboken, NJ, USA, 2006. [Google Scholar]
- El Rayess, Y.; Nehme, N.; Azzi-Achkouty, S.; Julien, S.G. Wine Phenolic Compounds: Chemistry, Functionality and Health Benefits. Antioxidants 2024, 13, 1312. [Google Scholar] [CrossRef]
- Waterhouse, A.L. Wine Phenolics. Ann. N. Y. Acad. Sci. 2002, 957, 21–36. [Google Scholar] [CrossRef] [PubMed]
- Merkytė, V.; Longo, E.; Windisch, G.; Boselli, E. Phenolic Compounds as Markers of Wine Quality and Authenticity. Foods 2020, 9, 1785. [Google Scholar] [CrossRef]
- Koufos, G.C.; Mavromatis, T.; Koundouras, S.; Fyllas, N.M.; Theocharis, S.; Jones, G.V. Greek Wine Quality Assessment and Relationships with Climate: Trends, Future Projections and Uncertainties. Water 2022, 14, 573. [Google Scholar] [CrossRef]
- Country Statistics|OIV. Available online: https://www.oiv.int/what-we-do/country-report?oiv (accessed on 10 December 2025).
- International Organisation of Vine and Wine. World Wine Production Outlook 2025: First Estimates 2025; OIV: Dijon, France, 2025. [Google Scholar]
- Wines of Greece. Available online: https://winesofgreece.org/meet-the-grapes/ (accessed on 10 December 2025).
- Avramidou, E.; Masaoutis, I.; Pitsoli, T.; Kapazoglou, A.; Pikraki, M.; Trantas, E.; Nikolantonakis, M.; Doulis, A. Analysis of Wine-Producing Vitis vinifera L. Biotypes, Autochthonous to Crete (Greece), Employing Ampelographic and Microsatellite Markers. Life 2023, 13, 220. [Google Scholar] [CrossRef] [PubMed]
- Bibi, A.C.; Gonias, E.D.; Doulis, A.G. Genetic Diversity and Structure Analysis Assessed by SSR Markers in a Large Collection of Vitis Cultivars from the Island of Crete, Greece. Biochem. Genet. 2020, 58, 294–321. [Google Scholar] [CrossRef] [PubMed]
- Hellenic Ministry of Rural Development and Food. Ministerial Decision 247771/04-03-2010: Classification of Grapevine Varieties; Hellenic Ministry of Rural Development and Food: Athens, Greece, 2010; Volume 247771/2010. [Google Scholar]
- eAmbrosia. Union Register of Geographical Indications. Available online: https://ec.europa.eu/agriculture/eambrosia/geographical-indications-register/ (accessed on 24 January 2025).
- Ministry of Rural Development and Food. Statistical Data of the Viticulture Sector—Ministry of Rural Development and Food. Available online: https://www.minagric.gr/for-farmer-2/crop-production/ampeli/oin (accessed on 24 January 2025).
- Trihas, N.; Sarantakou, E.; Tsilimpokos, K. Wine Tourism in Island Destinations: The Case of Crete. Int. J. Isl. Res. 2020, 1, 2. [Google Scholar] [CrossRef]
- Alebaki, M.; Psimouli, M.; Kladou, S.; Anastasiadis, F. Digital Winescape and Online Wine Tourism: Comparative Insights from Crete and Santorini. Sustainability 2022, 14, 8396. [Google Scholar] [CrossRef]
- Kallithraka, S.; Arvanitoyannis, I.S.; Kefalas, P.; El-Zajouli, A.; Soufleros, E.; Psarra, E. Instrumental and Sensory Analysis of Greek Wines; Implementation of Principal Component Analysis (PCA) for Classification According to Geographical Origin. Food Chem. 2001, 73, 501–514. [Google Scholar] [CrossRef]
- Kallithraka, S.; Tsoutsouras, E.; Tzourou, E.; Lanaridis, P. Principal Phenolic Compounds in Greek Red Wines. Food Chem. 2006, 99, 784–793. [Google Scholar] [CrossRef]
- Proestos, C.; Bakogiannis, A.; Komaitis, M. Determination of Phenolic Compounds in Wines. Int. J. Food Stud. 2012, 1, 33–41. [Google Scholar] [CrossRef]
- Tourtoglou, C.; Nenadis, N.; Paraskevopoulou, A. Phenolic Composition and Radical Scavenging Activity of Commercial Greek White Wines from Vitis vinifera L. Cv. Malagousia. J. Food Compos. Anal. 2014, 33, 166–174. [Google Scholar] [CrossRef]
- Tekos, F.; Gkasdrogka, M.; Vardakas, P.; Skaperda, Z.; Kouretas, D. Determination of the Polyphenolic Content and the Antioxidant Activities of Four Indigenous Greek Red and White Wine Varieties. Int. J. Funct. Nutr. 2023, 4, 3. [Google Scholar] [CrossRef]
- Myrtsi, E.D.; Koulocheri, S.D.; Iliopoulos, V.; Haroutounian, S.A. High-Throughput Quantification of 32 Bioactive Antioxidant Phenolic Compounds in Grapes, Wines and Vinification Byproducts by LC–MS/MS. Antioxidants 2021, 10, 1174. [Google Scholar] [CrossRef]
- Skendi, A.; Papageorgiou, M.; Stefanou, S. Preliminary Study of Microelements, Phenolics as Well as Antioxidant Activity in Local, Homemade Wines from North-East Greece. Foods 2020, 9, 1607. [Google Scholar] [CrossRef]
- Karimali, D.; Kosma, I.; Badeka, A. Varietal Classification of Red Wine Samples from Four Native Greek Grape Varieties Based on Volatile Compound Analysis, Color Parameters and Phenolic Composition. Eur. Food Res. Technol. 2020, 246, 41–53. [Google Scholar] [CrossRef]
- Tarantilis, P.A.; Troianou, V.E.; Pappas, C.S.; Kotseridis, Y.S.; Polissiou, M.G. Differentiation of Greek Red Wines on the Basis of Grape Variety Using Attenuated Total Reflectance Fourier Transform Infrared Spectroscopy. Food Chem. 2008, 111, 192–196. [Google Scholar] [CrossRef]
- Roussis, I.G.; Lambropoulos, I.; Tzimas, P.; Gkoulioti, A.; Marinos, V.; Tsoupeis, D.; Boutaris, I. Antioxidant Activities of Some Greek Wines and Wine Phenolic Extracts. J. Food Compos. Anal. 2008, 21, 614–621. [Google Scholar] [CrossRef]
- Mafra, I.; Honrado, M.; Amaral, J.S. Animal Species Authentication in Dairy Products. Foods 2022, 11, 1124. [Google Scholar] [CrossRef]
- Makris, D.P.; Psarra, E.; Kallithraka, S.; Kefalas, P. The Effect of Polyphenolic Composition as Related to Antioxidant Capacity in White Wines. Food Res. Int. 2003, 36, 805–814. [Google Scholar] [CrossRef]
- Tzachristas, A.; Dasenaki, M.; Aalizadeh, R.; Thomaidis, N.S.; Proestos, C. LC-MS Based Metabolomics for the Authentication of Selected Greek White Wines. Microchem. J. 2021, 169, 106543. [Google Scholar] [CrossRef]
- Kallithraka, S.; Kim, D.; Tsakiris, A.; Paraskevopoulos, I.; Soleas, G. Sensory Assessment and Chemical Measurement of Astringency of Greek Wines: Correlations with Analytical Polyphenolic Composition. Food Chem. 2011, 126, 1953–1958. [Google Scholar] [CrossRef] [PubMed]
- Gerogiannaki-Christopoulou, M.; Athanasopoulos, P.; Kyriakidis, N.; Gerogiannaki, I.A.; Spanos, M. Trans-Resveratrol in Wines from the Major Greek Red and White Grape Varieties. Food Control 2006, 17, 700–706. [Google Scholar] [CrossRef]
- Sakkiadi, A.-V.; Stavrakakis, M.N.; Haroutounian, S.A. Direct HPLC Assay of Five Biologically Interesting Phenolic Antioxidants in Varietal Greek Red Wines. LWT Food Sci. Technol. 2001, 34, 410–413. [Google Scholar] [CrossRef]
- Arnous, A.; Makris, D.P.; Kefalas, P. Anthocyanin Composition and Colour Characteristics of Selected Aged Wines Produced in Greece. J. Wine Res. 2002, 13, 23–34. [Google Scholar] [CrossRef]
- Karadimou, C.; Gkrimpizis, T.; Louki, E.; Roussi, L.; Theodorou, N.; Koundouras, S.; Kallithraka, S. Astringency Modification of Mandilaria Wines: Vineyard and Winery Strategies. Beverages 2025, 11, 76. [Google Scholar] [CrossRef]
- Mylona, A.-E.; Bimpilas, A.; Tsimogiannis, D.; Oreopoulou, V. Characteristic Phenolic Composition of the Greek Variety Mavrokountoura Grape and Wine. Food Sci. Biotechnol. 2013, 22, 1515–1522. [Google Scholar] [CrossRef]
- Roullier-Gall, C.; Boutegrabet, L.; Gougeon, R.D.; Schmitt-Kopplin, P. A Grape and Wine Chemodiversity Comparison of Different Appellations in Burgundy: Vintage vs. Terroir Effects. Food Chem. 2014, 152, 100–107. [Google Scholar] [CrossRef]
- Muñoz, F.; Urvieta, R.; Catania, A.; Buscema, F.; Fontana, A.; Berli, F. Impact of Geographical Origin, Vintage and Plant Material on the Phenolic and Sensory Characteristics of Cabernet Sauvignon Wines from Mendoza, Argentina. J. Food Compos. Anal. 2026, 150, 108895. [Google Scholar] [CrossRef]
- Tzachristas, A.; Dasenaki, M.E.; Aalizadeh, R.; Thomaidis, N.S.; Proestos, C. Development of a Wine Metabolomics Approach for the Authenticity Assessment of Selected Greek Red Wines. Molecules 2021, 26, 2837. [Google Scholar] [CrossRef] [PubMed]
- Kallithraka, S.; Kotseridis, Y.; Kyraleou, M.; Proxenia, N.; Tsakiris, A.; Karapetrou, G. Analytical Phenolic Composition and Sensory Assessment of Selected Rare Greek Cultivars after Extended Bottle Ageing. J. Sci. Food Agric. 2015, 95, 1638–1647. [Google Scholar] [CrossRef] [PubMed]
- Piñeiro, Z.; Cantos-Villar, E.; Palma, M.; Puertas, B. Direct Liquid Chromatography Method for the Simultaneous Quantification of Hydroxytyrosol and Tyrosol in Red Wines. J. Agric. Food Chem. 2011, 59, 11683–11689. [Google Scholar] [CrossRef] [PubMed]
- Fernández-Mar, M.I.; Mateos, R.; García-Parrilla, M.C.; Puertas, B.; Cantos-Villar, E. Bioactive Compounds in Wine: Resveratrol, Hydroxytyrosol and Melatonin: A Review. Food Chem. 2012, 130, 797–813. [Google Scholar] [CrossRef]
- Johnson, J.B.; Timofeev, R.; Kazak, A.; Grishin, Y.; Solovyova, L.; Rudenko, M. A Study of the UV Spectral Features in Wine and Their Correlation with Phenolic Constituents. Front. Biosci. (Elite Ed.) 2024, 16, 16. [Google Scholar] [CrossRef]
- Wilhelmy, C.; Pavez, C.; Bordeu, E.; Brossard, N. A Review of Tannin Determination Methods Using Spectrophotometric Detection in Red Wines and Their Ability to Predict Astringency. S. Afr. J. Enol. Vitic. 2021, 42, 1–9. [Google Scholar] [CrossRef]
- Vidal, L.; Antúnez, L.; Rodríguez-Haralambides, A.; Giménez, A.; Medina, K.; Boido, E.; Ares, G. Relationship between Astringency and Phenolic Composition of Commercial Uruguayan Tannat Wines: Application of Boosted Regression Trees. Food Res. Int. 2018, 112, 25–37. [Google Scholar] [CrossRef]
- Lorrain, B.; Ky, I.; Pechamat, L.; Teissedre, P.-L. Evolution of Analysis of Polyhenols from Grapes, Wines, and Extracts. Molecules 2013, 18, 1076–1100. [Google Scholar] [CrossRef]
- Danilewicz, J.C. Folin-Ciocalteu, FRAP, and DPPH• Assays for Measuring Polyphenol Concentration in White Wine. Am. J. Enol. Vitic. 2015, 66, 463–471. [Google Scholar] [CrossRef]
- Hensel, M.; Scheiermann, M.; Fahrer, J.; Durner, D. New Insights into Wine Color Analysis: A Comparison of Analytical Methods to Sensory Perception for Red and White Varietal Wines. J. Agric. Food Chem. 2024, 72, 2008–2017. [Google Scholar] [CrossRef]
- Fan, S.; Liu, C.; Li, Y.; Zhang, Y. Visual Representation of Red Wine Color: Methodology, Comparison and Applications. Foods 2023, 12, 924. [Google Scholar] [CrossRef] [PubMed]
- Hensel, M.; Di Nonno, S.; Mayer, Y.; Scheiermann, M.; Fahrer, J.; Durner, D.; Ulber, R. Specification and Simplification of Analytical Methods to Determine Wine Color. Processes 2022, 10, 2707. [Google Scholar] [CrossRef]
- Kennedy, J.A. Wine Color. In Managing Wine Quality; Elsevier: Amsterdam, The Netherlands, 2022; pp. 97–132. [Google Scholar]
- De Tayrac, M.; Lê, S.; Aubry, M.; Mosser, J.; Husson, F. Simultaneous Analysis of Distinct Omics Data Sets with Integration of Biological Knowledge: Multiple Factor Analysis Approach. BMC Genom. 2009, 10, 32. [Google Scholar] [CrossRef] [PubMed]
- Abdi, H.; Williams, L.J. Principal Component Analysis. WIREs Comput. Stat. 2010, 2, 433–459. [Google Scholar] [CrossRef]
- McRae, J.M.; Teng, B.; Bindon, K. Factors Influencing Red Wine Color From the Grape to the Glass. In Encyclopedia of Food Chemistry; Elsevier: Amsterdam, The Netherlands, 2019; pp. 97–106. [Google Scholar]
- Jackson, R.S. Visual Perceptions. In Wine Tasting; Elsevier: Amsterdam, The Netherlands, 2023; pp. 23–45. [Google Scholar]
- Clarke, S.; Bosman, G.; Du Toit, W.; Aleixandre-Tudo, J.L. White Wine Phenolics: Current Methods of Analysis. J. Sci. Food Agric. 2023, 103, 7–25. [Google Scholar] [CrossRef]
- Ćorković, I.; Pichler, A.; Šimunović, J.; Kopjar, M. A Comprehensive Review on Polyphenols of White Wine: Impact on Wine Quality and Potential Health Benefits. Molecules 2024, 29, 5074. [Google Scholar] [CrossRef]
- Basalekou, M.; Kallithraka, S.; Kyraleou, M. Wine Bioactive Compounds. In Functional Foods and Their Implications for Health Promotion; Elsevier: Amsterdam, The Netherlands, 2023; pp. 341–363. [Google Scholar]
- Prezioso, I.; Fioschi, G.; Rustioni, L.; Mascellani, M.; Natrella, G.; Venerito, P.; Gambacorta, G.; Paradiso, V.M. Influence of Prolonged Maceration on Phenolic Compounds, Volatile Profile and Sensory Properties of Wines from Minutolo and Verdeca, Two Apulian White Grape Varieties. LWT 2024, 192, 115698. [Google Scholar] [CrossRef]
- Beara, I.; Majkić, T.; Milovanović, L.; Svirčev, E.; Torović, L. Polyphenolic Profile and in Vitro Biological Activity of Serbian Orange (Skin Fermented White) Wines. Food Chem. 2024, 447, 138933. [Google Scholar] [CrossRef]
- López De Las Hazas, M.-C.; Piñol, C.; Macià, A.; Romero, M.-P.; Pedret, A.; Solà, R.; Rubió, L.; Motilva, M.-J. Differential Absorption and Metabolism of Hydroxytyrosol and Its Precursors Oleuropein and Secoiridoids. J. Funct. Foods 2016, 22, 52–63. [Google Scholar] [CrossRef]
- Migliori, M.; Panichi, V.; De La Torre, R.; Fitó, M.; Covas, M.; Bertelli, A.; Muñoz-Aguayo, D.; Scatena, A.; Paoletti, S.; Ronco, C. Anti-Inflammatory Effect of White Wine in CKD Patients and Healthy Volunteers. Blood Purif. 2015, 39, 218–223. [Google Scholar] [CrossRef]
- Weiskirchen, S.; Weiskirchen, R. Resveratrol: How Much Wine Do You Have to Drink to Stay Healthy? Adv. Nutr. 2016, 7, 706–718. [Google Scholar] [CrossRef] [PubMed]
- Popîrdă, A.; Luchian, C.E.; Cotea, V.V.; Colibaba, L.C.; Scutarașu, E.C.; Toader, A.M. A Review of Representative Methods Used in Wine Authentication. Agriculture 2021, 11, 225. [Google Scholar] [CrossRef]
- Villano, C.; Lisanti, M.T.; Gambuti, A.; Vecchio, R.; Moio, L.; Frusciante, L.; Aversano, R.; Carputo, D. Wine Varietal Authentication Based on Phenolics, Volatiles and DNA Markers: State of the Art, Perspectives and Drawbacks. Food Control 2017, 80, 1–10. [Google Scholar] [CrossRef]
- Biancolillo, A.; D’Archivio, A.A.; Pietrangeli, F.; Cesarone, G.; Ruggieri, F.; Foschi, M.; Reale, S.; Rossi, L.; Crucianelli, M. Varietal Discrimination of Trebbiano d’Abruzzo, Pecorino and Passerina White Wines Produced in Abruzzo (Italy) by Sensory Analysis and Multi-Block Classification Based on Volatiles, Organic Acids, Polyphenols, and Major Elements. Appl. Sci. 2022, 12, 9794. [Google Scholar] [CrossRef]
- Basalekou, M.; Kyraleou, M.; Kallithraka, S. Authentication of Wine and Other Alcohol-Based Beverages—Future Global Scenario. In Future Foods; Elsevier: Amsterdam, The Netherlands, 2022; pp. 669–695. [Google Scholar]
- Kanavouras, A.; Coutelieris, F.; Karanika, E.; Kotseridis, Y.; Kallithraka, S. Colour Change of Bottled White Wines as a Quality Indicator. OENO One 2020, 54, 543–551. [Google Scholar] [CrossRef]
- Bestulić, E.; Rossi, S.; Plavša, T.; Horvat, I.; Lukić, I.; Bubola, M.; Ilak Peršurić, A.S.; Jeromel, A.; Radeka, S. Comparison of Different Maceration and Non-Maceration Treatments for Enhancement of Phenolic Composition, Colour Intensity, and Taste Attributes of Malvazija Istarska (Vitis vinifera L.) White Wines. J. Food Compos. Anal. 2022, 109, 104472. [Google Scholar] [CrossRef]
- Bakker, J.; Clarke, R.J. Wine Flavour Chemistry, 2nd ed.; Wiley-Blackwell: Oxford, UK, 2012. [Google Scholar]
- Stoyanov, N.; Tagareva, S.; Yoncheva, T.; Shopska, V.; Kostov, G. Significance of Grape Phenolic Compounds for Wine Characteristics: Dynamics and Extractability During Fruit Maturation. Beverages 2025, 11, 163. [Google Scholar] [CrossRef]
- González-Muñoz, B.; Garrido-Vargas, F.; Pavez, C.; Osorio, F.; Chen, J.; Bordeu, E.; O’Brien, J.A.; Brossard, N. Wine Astringency: More than Just Tannin–Protein Interactions. J. Sci. Food Agric. 2022, 102, 1771–1781. [Google Scholar] [CrossRef]
- Kuhlman, B.A.; Aleixandre-Tudo, J.L.; Moore, J.P.; Du Toit, W. Astringency Perception in a Red Wine Context—A Review. OENO One 2024, 58, 1–16. [Google Scholar] [CrossRef]
- Gawel, R.; Smith, P.A.; Cicerale, S.; Keast, R. The Mouthfeel of White Wine. Crit. Rev. Food Sci. Nutr. 2018, 58, 2939–2956. [Google Scholar] [CrossRef]
- Gawel, R.; Van Sluyter, S.C.; Smith, P.A.; Waters, E.J. Effect of pH and Alcohol on Perception of Phenolic Character in White Wine. Am. J. Enol. Vitic. 2013, 64, 425–429. [Google Scholar] [CrossRef]
- Hrelia, S.; Di Renzo, L.; Bavaresco, L.; Bernardi, E.; Malaguti, M.; Giacosa, A. Moderate Wine Consumption and Health: A Narrative Review. Nutrients 2022, 15, 175. [Google Scholar] [CrossRef] [PubMed]
- Santos-Buelga, C.; González-Manzano, S.; González-Paramás, A.M. White Wine Polyphenols and Health. In White Wine Technology; Elsevier: Amsterdam, The Netherlands, 2022; pp. 205–220. [Google Scholar]
- Lekka, P.; Fragopoulou, E.; Terpou, A.; Dasenaki, M. Exploring Human Metabolome after Wine Intake—A Review. Molecules 2023, 28, 7616. [Google Scholar] [CrossRef] [PubMed]
- Minzer, S.; Estruch, R.; Casas, R. Wine Intake in the Framework of a Mediterranean Diet and Chronic Non-Communicable Diseases: A Short Literature Review of the Last 5 Years. Molecules 2020, 25, 5045. [Google Scholar] [CrossRef]
- Rotches-Ribalta, M.; Andres-Lacueva, C.; Estruch, R.; Escribano, E.; Urpi-Sarda, M. Pharmacokinetics of Resveratrol Metabolic Profile in Healthy Humans after Moderate Consumption of Red Wine and Grape Extract Tablets. Pharmacol. Res. 2012, 66, 375–382. [Google Scholar] [CrossRef]
- Uçar, K.; Göktaş, Z. Biological Activities of Naringenin: A Narrative Review Based on in Vitro and in Vivo Studies. Nutr. Res. 2023, 119, 43–55. [Google Scholar] [CrossRef]
- Buljeta, I.; Pichler, A.; Šimunović, J.; Kopjar, M. Beneficial Effects of Red Wine Polyphenols on Human Health: Comprehensive Review. Curr. Issues Mol. Biol. 2023, 45, 782–798. [Google Scholar] [CrossRef]
- Parker, M.; Capone, D.L.; Francis, I.L.; Herderich, M.J. Aroma Precursors in Grapes and Wine: Flavor Release during Wine Production and Consumption. J. Agric. Food Chem. 2018, 66, 2281–2286. [Google Scholar] [CrossRef]
- Sova, M.; Saso, L. Natural Sources, Pharmacokinetics, Biological Activities and Health Benefits of Hydroxycinnamic Acids and Their Metabolites. Nutrients 2020, 12, 2190. [Google Scholar] [CrossRef]
- Estier, T.; Marchal, A. Towards an Understanding of Bitterness in White Wines: Contribution of 27 Compounds Assessed by LC-HRMS and Sensory Analysis. Food Chem. 2024, 451, 139503. [Google Scholar] [CrossRef]
- Gaba, E. English: Integrated Map of Crete Island, Greece, Македoнски: Карта На Крит. Available online: https://commons.wikimedia.org/wiki/File:Crete_integrated_map-mk.svg (accessed on 28 January 2026).
- Dasenaki, M.E.; Drakopoulou, S.K.; Aalizadeh, R.; Thomaidis, N.S. Targeted and Untargeted Metabolomics as an Enhanced Tool for the Detection of Pomegranate Juice Adulteration. Foods 2019, 8, 212. [Google Scholar] [CrossRef]
- Delacre, M.; Leys, C.; Mora, Y.L.; Lakens, D. Taking Parametric Assumptions Seriously: Arguments for the Use of Welch’s F-Test Instead of the Classical F-Test in One-Way ANOVA. Int. Rev. Soc. Psychol. 2019, 32, 13. [Google Scholar] [CrossRef]
- Wang, Y.; Rodríguez De Gil, P.; Chen, Y.-H.; Kromrey, J.D.; Kim, E.S.; Pham, T.; Nguyen, D.; Romano, J.L. Comparing the Performance of Approaches for Testing the Homogeneity of Variance Assumption in One-Factor ANOVA Models. Educ. Psychol. Meas. 2017, 77, 305–329. [Google Scholar] [CrossRef]






| Flavonoid/Non-Flavonoid | Phenolic Category | Compounds | Kotsifali (n = 6) | Liatiko (n = 12) | Mandilaria (n = 4) | Romeiko (n = 3) | Welch p | η2 |
|---|---|---|---|---|---|---|---|---|
| Flavonoid | Flavan-3-ol (flavanol) | Catechin | 15.01 ± 2.98 a | 12.39 ± 5.58 ab | 19.41 ± 5.30 ab | 8.56 ± 1.02 b | 0.003 | 0.337 |
| Epicatechin | 7.29 ± 1.77 a | 8.11 ± 3.47 a | 7.10 ± 1.33 a | 3.66 ± 0.32 b | <0.001 | 0.236 | ||
| Flavanone | Eriodictyol | <LOQ | <LOQ | <LOQ | <LOQ | . | . | |
| Naringenin | 15.01 ± 6.04 | 11.82 ± 4.98 | 9.82 ± 3.36 | 10.43 ± 1.42 | 0.384 | 0.141 | ||
| Pinocembrin | <LOQ | <LOQ | 0.14 (n = 1) | <LOQ | . | . | ||
| Sakuranetin | 0.17 (n = 1) | N.D. | 3.18 (n = 1) | N.D. | . | . | ||
| Flavanonol | Pinobanksin | 14.84 ± 5.27 | 12.58 ± 5.35 | 11.08 ± 5.26 | 11.72 ± 2.73 | 0.699 | 0.069 | |
| Taxifolin | 0.17 ± 0.10 | 0.14 ± 0.08 | 0.09 ± 0.04 | 0.30 ± 0.18 | 0.191 | 0.319 | ||
| Chrysin | <LOQ | N.D. | <LOQ | N.D. | . | . | ||
| Luteolin | 0.16 ± 0.11 | 0.12 ± 0.13 | <LOQ | 0.12 (n = 1) | . | 0.074 | ||
| Kaempferol | 0.29 ± 0.10 ab | 0.32 ± 0.13 b | 0.15 ± 0.06 a | 0.12 ± 0.09 ab | 0.031 | 0.357 | ||
| Myricetin | 0.19 ± 0.13 | 0.13 ± 0.08 | 0.37 ± 0.18 | 0.16 ± 0.15 | 0.213 | 0.390 | ||
| Quercetin | 3.13 ± 0.69 | 2.97 ± 1.69 | 1.89 ± 1.04 | 0.72 ± 1.16 | 0.068 | 0.286 | ||
| Non-flavonoid | Benzoic acid | Gallic acid | 8.60 ± 5.96 ab | 9.90 ± 7.06 a | 7.54 ± 0.49 ab | 2.11 ± 1.71 b | 0.01 | 0.168 |
| Gentisic acid | 0.18 ± 0.13 | 0.09 ± 0.04 | 0.13 ± 0.03 | 0.15 ± 0.10 | 0.187 | 0.241 | ||
| Protocatechuic acid | 0.43 ± 0.36 a | 0.33 ± 0.15 a | 0.34 ± 0.08 a | 0.22 ± 0.01 a | 0.037 | 0.094 | ||
| Salicylic acid | 0.27 ± 0.15 | 0.42 ± 0.58 | 0.69 ± 0.76 | 0.15 ± 0.02 | 0.156 | 0.101 | ||
| Syringic acid | <LOQ | 0.33 (n = 1) a | 0.33 ± 0.09 a | 0.22 (n = 1) b | 0.004 | 0.666 | ||
| Vanillic acid | N.D. | 0.18 (n = 1) | 0.74 (n = 1) | N.D. | . | . | ||
| 3-hydroxybenzoic acid | 0.35 ± 0.19 | 0.44 ± 0.34 | 0.50 ± 0.05 | 0.30 ± 0.16 | 0.24 | 0.073 | ||
| 4-hydroxybenzoic acid | 0.17 ± 0.15 | 0.12 ± 0.07 | N.D. | N.D. | 0.721 | 0.065 | ||
| Benzoic acid derivative | Ethyl gallate | 5.28 ± 2.65 | 5.67 ± 2.33 | 7.76 ± 0.74 | 3.13 ± 2.98 | 0.051 | 0.248 | |
| Protocatechuic acid ethyl ester | 0.46 ± 0.29 ab | 0.29 ± 0.11 b | 0.08 ± 0.02 a | 0.20 ± 0.05 ab | 0.001 | . | ||
| Benzoic aldehyde | Hydroxybenzaldehyde | <LOQ | 0.17 ± 0.10 | <LOQ | <LOQ | . | 0.33 | |
| Syringaldehyde | 0.10 (n = 1) | 0.44 ± 0.33 | 0.21 (n = 1) | 0.20 ± 0.20 | . | 0.181 | ||
| Vanillin | 0.55 ± 0.24 | 0.53 ± 0.27 | 1.26 ± 0.42 | 0.53 ± 0.38 | 0.113 | 0.482 | ||
| Ethyl caffeate | 5.14 ± 4.09 | 16.01 ± 16.93 | 2.70 ± 3.78 | 35.45 ± 55.33 | 0.195 | 0.204 | ||
| Hydroxycinnamic acid | Caffeic acid | 2.50 ± 0.75 b | 5.48 ± 2.64 a | 3.43 ± 0.88 ab | 5.09 ± 2.13 ab | 0.045 | 0.312 | |
| p-coumaric acid | 0.57 ± 0.57 | 1.01 ± 0.99 | 0.36 ± 0.16 | 1.32 ± 0.92 | 0.167 | 0.147 | ||
| Cinnamic acid | 2.12 ± 0.94 | 0.72 ± 0.49 | 6.99 (n = 1) | 0.35 (n = 1) | . | 0.932 | ||
| Phenolic acid derivative | Homovanillic acid | 1.32 ± 1.97 | 0.68 ± 0.91 | 0.70 ± 1.08 | 0.21 ± 0.19 | 0.477 | 0.101 | |
| Phenylethanol derivativ | Hydroxytyrosol | 1.56 ± 1.33 | 1.67 ± 1.71 | 2.39 ± 2.57 | 2.50 ± 2.75 | 0.916 | 0.042 | |
| Tyrosol | 17.11 ± 5.89 b | 14.61 ± 6.94 b | 33.64 ± 5.97 a | 19.54 ± 15.98 ab | 0.015 | 0.457 | ||
| Simple phenol | Catechol | <LOQ | <LOQ | <LOQ | <LOQ | . | 0.136 | |
| Stilbene | Resveratrol | 0.45 ± 0.29 | 0.52 ± 0.45 | 0.23 ± 0.09 | 0.39 ± 0.08 | 0.097 | 0.085 |
| Flavonoid/Non-Flavonoid | PhenoLic Category | Compound | Vidiano (n = 17) | Vilana (n = 4) | Moschato Spinas (n = 4) | Assyrtiko (n = 5) | Plito (n = 3) | Romeiko (n = 3) | Dafni (n = 2) | Malvazia (n = 2) | Melissaki (n = 2) | Welch p | η2 |
|---|---|---|---|---|---|---|---|---|---|---|---|---|---|
| Flavonoid | Flavan-3-ol (flava-nol) | Catechin | 3.75 ± 2.35 a | 4.01 ± 1.99 ab | 0.74 ± 0.57 b | 6.08 ± 4.34 ab | 3.49 ± 3.48 ab | 1.50 ± 0.91 ab | 3.63 ± 0.06 a | 1.00 ± 0.64 ab | 15.91 ± 2.03 ab | <0.001 | 0.651 |
| Epicatechin | 1.02 ± 0.81 a | 1.32 ± 0.72 a | 0.30 ± 0.26 a | 1.68 ± 1.41 a | 1.15 ± 1.09 a | 0.26 ± 0.23 a | 0.85 ± 0.09 a | 0.32 ± 0.10 a | 5.47 ± 1.21 a | 0.01 | 0.659 | ||
| Flavanone | Eriodictyol | <LOQ | <LOQ | <LOQ | <LOQ | 0.12 ± 0.13 | <LOQ | <LOQ | <LOQ | <LOQ | . | . | |
| Hesperetin | <LOQ | N.D. | N.D. | <LOQ | N.D. | N.D. | N.D. | N.D. | N.D. | . | . | ||
| Naringenin | 19.33 ± 18.23 | 8.16 ± 7.63 | 3.53 ± 2.84 | 21.06 ± 30.59 | 34.09 ± 38.42 | 6.75 ± 2.85 | 7.52 ± 3.15 | 10.34 ± 5.44 | 10.69 ± 3.88 | 0.43 | 0.169 | ||
| Pinocembrin | <LOQ | <LOQ | <LOQ | <LOQ | 0.13 ± 0.22 | <LOQ | <LOQ | <LOQ | <LOQ | . | . | ||
| Sakuranetin | 0.80 ± 0.41 | 0.40 (n = 1) | N.D. | 1.47 (n = 1) | 11.45 (n = 1) | N.D. | N.D. | N.D. | 0.17 (n = 1) | . | 0.998 | ||
| Flavanonol | Pinobanksin | 19.59 ± 18.11 | 8.61 ± 7.91 | 3.96 ± 2.51 | 22.24 ± 30.59 | 24.16 ± 32.94 | 7.04 ± 2.92 | 8.18 ± 3.84 | 10.98 ± 5.78 | 10.77 ± 3.17 | 0.313 | 0.140 | |
| Taxifolin | <LOQ | 0.17 ± 0.09 | <LOQ | 0.12 ± 0.07 | 0.13 ± 0.09 | 0.13 ± 0.10 | <LOQ | 0.10 ± 0.05 | 0.24 ± 0.17 | . | 0.350 | ||
| Flavone | Chrysin | <LOQ | <LOQ | N.D. | <LOQ | <LOQ | N.D. | N.D. | N.D. | <LOQ | . | . | |
| Luteolin | <LOQ | <LOQ | N.D. | <LOQ | N.D. | N.D. | <LOQ | N.D. | 0.34 (n = 1) | . | 0.477 | ||
| Flavonol | Galangin | <LOQ | N.D. | N.D. | <LOQ | N.D. | N.D. | <LOQ | N.D. | <LOQ | . | . | |
| Kaempferol | <LOQ | <LOQ | <LOQ | <LOQ | <LOQ | <LOQ | <LOQ | <LOQ | <LOQ | . | . | ||
| Quercetin | 0.16 ± 0.15 | <LOQ | <LOQ | 0.72 ± 0.70 | <LOQ | <LOQ | 0.10 ± 0.07 | <LOQ | 1.15 ± 0.70 | 0.062 | 0.311 | ||
| Non-flavonoid | Benzoic acid | 3-hydroxybenzoic acid | 0.29 ± 0.18 | 0.51 (n = 1) | N.D. | <LOQ | <LOQ | <LOQ | 0.32 (n = 1) | N.D. | 0.13 (n = 1) | . | 0.166 |
| 4-hydroxybenzoic acid | <LOQ | <LOQ | N.D. | N.D. | 0.09 (n = 1) | N.D. | N.D. | <LOQ | <LOQ | . | . | ||
| Gallic acid | 3.64 ± 4.60 | 1.09 ± 1.24 | 0.12 ± 0.09 | 6.49 ± 6.68 | 0.25 ± 0.17 | 3.22 (n = 1) | 1.14 ± 0.16 | 1.19 (n = 1) | 2.14 ± 2.32 | . | 0.208 | ||
| Gentisic acid | 0.17 ± 0.17 | 0.20 ± 0.21 | <LOQ | 0.21 ± 0.22 | <LOQ | <LOQ | <LOQ | <LOQ | <LOQ | . | 0.177 | ||
| Protocatechuic acid | 0.10 ± 0.05 | 0.22 ± 0.19 | <LOQ | 0.12 ± 0.04 | 0.11 ± 0.04 | 0.13 ± 0.04 | 0.13 ± 0.04 | 0.11 (n = 1) | 0.22 ± 0.00 | . | 0.311 | ||
| Salicylic acid | 0.32 ± 0.43 | 0.29 ± 0.20 | 0.30 ± 0.16 | 0.30 ± 0.36 | 0.34 ± 0.10 | 0.22 ± 0.09 | 0.19 ± 0.16 | 0.65 ± 0.43 | 0.74 ± 0.91 | 0.906 | 0.116 | ||
| Benzoic acid derivative | Ethyl gal-late | 2.53 ± 2.99 | 2.33 ± 2.33 | 0.17 ± 0.11 | 3.33 ± 2.57 | 1.15 ± 1.14 | 0.76 ± 0.60 | 2.29 ± 1.31 | 1.75 ± 2.04 | 2.89 ± 1.02 | 0.092 | 0.153 | |
| Protocatechuic acid ethyl ester | <LOQ | 0.17 ± 0.17 | <LOQ | <LOQ | <LOQ | 0.11 ± 0.01 | 0.14 ± 0.03 | <LOQ | 0.10 ± 0.01 | . | 0.329 | ||
| Benzoic aldehyde | Hydroxy-benzaldehyde | <LOQ | 0.10 ± 0.13 | <LOQ | <LOQ | <LOQ | <LOQ | <LOQ | <LOQ | 0.15 ± 0.17 | . | 0.253 | |
| Syringaldehyde | 0.21 ± 0.06 | N.D. | N.D. | 0.48 (n = 1) | N.D. | 0.46 (n = 1) | 0.38 ± 0.09 | N.D. | 0.43 (n = 1) | . | 0.872 | ||
| Vanillin | 0.30 ± 0.11 | <LOQ | <LOQ | 0.31 ± 0.10 | 0.26 ± 0.03 | 0.25 ± 0.03 | <LOQ | <LOQ | 0.31 ± 0.41 | . | 0.263 | ||
| Hydroxycin-namate ester | Ethyl caffeate | 22.58 ± 31.16 b | 44.94 ± 42.40 ab | 43.58 ± 47.23 ab | 28.02 ± 42.95 ab | 69.97 ± 12.45 a | 21.34 ± 19.32 ab | 3.02 ± 3.72 b | 45.99 ± 43.96 ab | 23.20 ± 30.73 ab | 0.013 | 0.198 | |
| Hydroxycinnamic | Caffeic acid | 6.00 ± 3.62 | 9.37 ± 2.26 | 3.07 ± 2.63 | 8.24 ± 6.75 | 6.41 ± 0.71 | 2.56 ± 0.82 | <LOQ | 1.73 (n = 1) | 4.71 ± 2.24 | . | 0.334 | |
| Cinnamic acid | 0.50 ± 0.18 | 0.25 ± 0.14 | 0.52 ± 0.38 | 0.51 ± 0.17 | 0.54 ± 0.20 | 0.55 ± 0.08 | 1.20 (n = 1) | 0.47 ± 0.59 | 3.27 (n = 1) | . | 0.889 | ||
| Ferulic acid | N.D. | N.D. | N.D. | <LOQ | N.D. | N.D. | N.D. | <LOQ | N.D. | . | . | ||
| p-coumaric acid | 0.81 ± 0.83 | 0.63 ± 0.50 | 0.31 ± 0.26 | 1.35 ± 1.20 | 0.46 ± 0.14 | 0.19 ± 0.24 | <LOQ | 0.16 ± 0.12 | <LOQ | 0.099 | 0.242 | ||
| Phenolic acid derivative | Homovanillic acid | 1.13 ± 0.94 | 2.07 ± 0.24 | 1.61 ± 0.07 | 1.18 ± 1.11 | 2.98 ± 0.77 | 1.38 ± 1.16 | 3.84 (n = 1) | 1.48 ± 0.04 | 0.28 ± 0.17 | . | 0.549 | |
| Phenylethanol derivative | Hydroxytyrosol | 0.72 ± 0.73 a | 0.88 ± 0.76 ab | 1.80 ± 1.07 ab | 1.11 ± 0.92 ab | 2.82 ± 0.64 ab | 2.10 ± 1.64 ab | 0.30 ± 0.16 a | 2.26 ± 0.21 b | 3.14 ± 2.60 ab | . | 0.475 | |
| Tyrosol | 16.98 ± 6.84 | 13.00 ± 6.30 | 12.35 ± 6.27 | 11.32 ± 4.45 | 9.94 ± 0.56 | 14.62 ± 7.17 | 13.47 ± 6.77 | 17.79 ± 4.92 | 20.53 ± 8.57 | 0.214 | 0.204 | ||
| Simple phenol | Catechol | <LOQ | <LOQ | <LOQ | <LOQ | <LOQ | <LOQ | <LOQ | <LOQ | <LOQ | . | . | |
| Stilbene | Resveratrol | 0.10 ± 0.08 | 0.23 ± 0.15 | <LOQ | <LOQ | <LOQ | 0.12 ± 0.01 | 0.32 ± 0.24 | <LOQ | 0.16 ± 0.05 | . | 0.456 |
Disclaimer/Publisher’s Note: The statements, opinions and data contained in all publications are solely those of the individual author(s) and contributor(s) and not of MDPI and/or the editor(s). MDPI and/or the editor(s) disclaim responsibility for any injury to people or property resulting from any ideas, methods, instructions or products referred to in the content. |
© 2026 by the authors. Licensee MDPI, Basel, Switzerland. This article is an open access article distributed under the terms and conditions of the Creative Commons Attribution (CC BY) license.
Share and Cite
Lekka, P.; Dimitropoulou, M.; Rousali, A.; Kiose, A.-M.; Basalekou, M.; Thomaidis, N.; Dasenaki, M. Decoding Cretan Wines: Phenolic Profiling of Greek Indigenous Wine Varieties Using LC-QTOF-MS. Molecules 2026, 31, 815. https://doi.org/10.3390/molecules31050815
Lekka P, Dimitropoulou M, Rousali A, Kiose A-M, Basalekou M, Thomaidis N, Dasenaki M. Decoding Cretan Wines: Phenolic Profiling of Greek Indigenous Wine Varieties Using LC-QTOF-MS. Molecules. 2026; 31(5):815. https://doi.org/10.3390/molecules31050815
Chicago/Turabian StyleLekka, Pelagia, Maria Dimitropoulou, Athanasia Rousali, Ana-Maria Kiose, Marianthi Basalekou, Nikolaos Thomaidis, and Marilena Dasenaki. 2026. "Decoding Cretan Wines: Phenolic Profiling of Greek Indigenous Wine Varieties Using LC-QTOF-MS" Molecules 31, no. 5: 815. https://doi.org/10.3390/molecules31050815
APA StyleLekka, P., Dimitropoulou, M., Rousali, A., Kiose, A.-M., Basalekou, M., Thomaidis, N., & Dasenaki, M. (2026). Decoding Cretan Wines: Phenolic Profiling of Greek Indigenous Wine Varieties Using LC-QTOF-MS. Molecules, 31(5), 815. https://doi.org/10.3390/molecules31050815

