error_outline You can access the new MDPI.com website here. Explore and share your feedback with us.
 
 
Sign in to use this feature.

Years

Between: -

Subjects

remove_circle_outline
remove_circle_outline
remove_circle_outline
remove_circle_outline
remove_circle_outline

Journals

Article Types

Countries / Regions

Search Results (34)

Search Parameters:
Keywords = Holothuroidea

Order results
Result details
Results per page
Select all
Export citation of selected articles as:
28 pages, 4708 KB  
Article
Annotated Checklist and Biodiversity of Sea Cucumbers (Holothuroidea) in Indian Waters
by Karthika Padmini, Ameen Ummath, Atikulla Shaikh and Balu Alagar Venmathi Maran
Oceans 2025, 6(4), 85; https://doi.org/10.3390/oceans6040085 - 18 Dec 2025
Viewed by 503
Abstract
Holothuroids play a vital role in nutrient cycling and bioturbation to enhance the marine ecosystem. They enhance the biodiversity for various symbiotic marine organisms by providing essential shelter and spawning grounds. This review focuses on the Class Holothuroidea (Phylum Echinodermata) in Indian waters, [...] Read more.
Holothuroids play a vital role in nutrient cycling and bioturbation to enhance the marine ecosystem. They enhance the biodiversity for various symbiotic marine organisms by providing essential shelter and spawning grounds. This review focuses on the Class Holothuroidea (Phylum Echinodermata) in Indian waters, encompassing a total of 187 species organized into 7 orders and 21 families. Notably, the order Holothuriida represents the largest proportion of species, accounting for 27%. These species are well-distributed across India, with the Andaman and Nicobar Islands exhibiting the highest level of species richness (107 species), followed by the East Coast (102 species), Lakshadweep (39 species), and the West Coast (34 species). Species diversity was assessed using the Shannon–Weiner diversity index. Results indicate that the Andaman and Nicobar Islands (H’ = 2.23) and the West Coast (H’ = 2.14) demonstrate the highest levels of diversity. This review provides a comprehensive and precise inventory of all species of Holothuroidea reported in Indian waters, which is provided to facilitate understanding of the reported species, their systematics, and distribution. In addition, a significant insight for both conservation and management of sea cucumbers in India has also been provided. Full article
(This article belongs to the Topic Conservation and Management of Marine Ecosystems)
Show Figures

Graphical abstract

21 pages, 3289 KB  
Article
Screening and Identification of Antioxidant Peptides from Sea Cucumber Gonad Proteins and Their Activation of Superoxide Dismutase
by Zhiqin Zhang, Jingxuan Wang, Yongke Deng, Yugui Wang, Peipei Dou, Hongbing Fan, Xiangquan Zeng, Xinguang Fan, Lili Zhang, Haimei Liu and Qin Zhao
Foods 2025, 14(22), 3848; https://doi.org/10.3390/foods14223848 - 11 Nov 2025
Viewed by 702
Abstract
The gonad is one of the major byproducts of sea cucumber. Four novel antioxidant peptides (NPWGQ, PGHPF, VPYPR and ATGPQGPAGQRGPAGPTGPTGPAG) were isolated and identified from sea cucumber gonad proteins through enzymatic hydrolysis and antioxidant activity-guided fractionation, bioinformatics approaches and in silico screening. These [...] Read more.
The gonad is one of the major byproducts of sea cucumber. Four novel antioxidant peptides (NPWGQ, PGHPF, VPYPR and ATGPQGPAGQRGPAGPTGPTGPAG) were isolated and identified from sea cucumber gonad proteins through enzymatic hydrolysis and antioxidant activity-guided fractionation, bioinformatics approaches and in silico screening. These peptides demonstrated great free radical (2,2-diphenyl-1-picrylhydrazyl (DPPH) and 2,2′-azinobis(3-ethylbenzothiazoline-6-sulfonic acid) (ABTS))-scavenging activity and notable superoxide dismutase (SOD)-activation capacity. Molecular docking and molecular dynamics simulation data suggested that these peptides could form strong binding with SOD through hydrogen bonding, electrostatic interactions, and hydrophobic interactions. Among these peptides, NPWGQ displayed the most potent antioxidant and SOD-activating effects. Through searching known databases, these peptides did not show potential toxicity and are generally considered safe. The present study provides crucial theoretical support for comprehensively utilizing sea cucumber (Holothuroidea) gonad by-products and generating high-value functional food ingredients or dietary supplements. Full article
(This article belongs to the Section Nutraceuticals, Functional Foods, and Novel Foods)
Show Figures

Graphical abstract

21 pages, 10694 KB  
Article
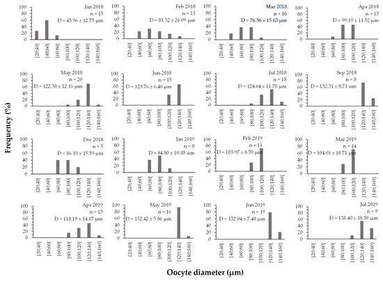
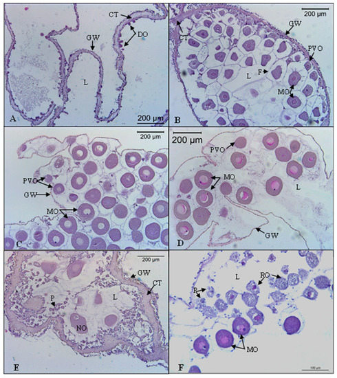
Fecundity Study and Histological Analysis of the Gonads of the Sea Cucumber Holothuria tubulosa (Echinodermata: Holothuroidea) in the Central Aegean Sea, Greece: Insights into Reproductive Biology
by Athina Balatsou, Chrysoula Apostologamvrou and Dimitris Vafidis
Fishes 2025, 10(6), 283; https://doi.org/10.3390/fishes10060283 - 8 Jun 2025
Viewed by 3989
Abstract
The Atlanto-Mediterranean sea cucumber Holothuria tubulosa is a species of great ecological and commercial importance, making it a primary target for collection in the Mediterranean region. This study investigated the reproductive biology of H. tubulosa (Gmelin, 1793) in a coastal area of the [...] Read more.
The Atlanto-Mediterranean sea cucumber Holothuria tubulosa is a species of great ecological and commercial importance, making it a primary target for collection in the Mediterranean region. This study investigated the reproductive biology of H. tubulosa (Gmelin, 1793) in a coastal area of the Central Aegean Sea (Eastern Mediterranean) over a one-year period, from June 2021 to May 2022. Monthly sampling was conducted via dives at depths up to 10 m, alongside the recording of environmental and biometric data. Histological analysis revealed a synchronous annual reproductive cycle, with gonadal maturation beginning in April and peak sexual maturity observed in July and August, followed by a single spawning event from August to September. The sex ratio was 1:1.31 (male: female), and the size at first maturity was 255.3 mm. These findings provide essential insights into the reproductive physiology of H. tubulosa and further contribute to the development of sustainable stock management strategies for sea cucumbers in the Hellenic Seas. Full article
(This article belongs to the Section Biology and Ecology)
Show Figures

Figure 1

19 pages, 4015 KB  
Review
Asteroid Saponins: A Review of Their Bioactivity and Selective Cytotoxicity
by Stuart J. Smith, Tianfang Wang and Scott F. Cummins
Mar. Drugs 2024, 22(12), 552; https://doi.org/10.3390/md22120552 - 7 Dec 2024
Cited by 5 | Viewed by 3400
Abstract
Saponins are a diverse class of secondary metabolites that are often reported to exhibit a variety of pharmacological applications. While research into the elucidation and application of plant and class Holothuroidea-derived saponins (i.e., sea cucumbers) is extensive, the class Asteroidea-derived saponins (i.e., seastars) [...] Read more.
Saponins are a diverse class of secondary metabolites that are often reported to exhibit a variety of pharmacological applications. While research into the elucidation and application of plant and class Holothuroidea-derived saponins (i.e., sea cucumbers) is extensive, the class Asteroidea-derived saponins (i.e., seastars) have been largely overlooked and primarily limited to elucidation. This review provides a comprehensive overview of the cytotoxic activities of asteroid-derived saponins against various cell cultures, for instance, mammalian erythrocytes, multiple microbial strains and cancer cell lines, including melanoma, breast, colon, and lung cancers. Highlighting the distinct structural variations in these saponins, this review examines their selective cytotoxicity and potency, with many demonstrating IC50 values in the low micromolar range. Specific compounds, such as asterosaponins and polyhydroxylated saponins, exhibit noteworthy effects, particularly against melanoma and lung carcinoma cells, while triterpenoid saponins were found to be highly cytotoxic to both erythrocytes and fungal cells. This review also addresses gaps in the research area, including the need for additional in vitro antimicrobial studies, in vivo studies, and further exploration of their mechanisms of action. By consolidating recent findings, we have shed light on the therapeutic potential of asteroid-derived steroidal saponins in developing novel antimicrobial and anticancer agents. Full article
(This article belongs to the Special Issue Biologically Active Compounds from Marine Invertebrates 2025)
15 pages, 4013 KB  
Article
Characterization of a Novel Superoxide Dismutase from a Deep-sea Sea Cucumber (Psychoropotes verruciaudatus)
by Yanan Li, Zongfu Chen, Peng Zhang, Feng Gao, Junfeng Wang, Li Lin and Haibin Zhang
Antioxidants 2023, 12(6), 1227; https://doi.org/10.3390/antiox12061227 - 7 Jun 2023
Cited by 5 | Viewed by 2359
Abstract
At present, deep-sea enzymes are a research hotspot. In this study, a novel copper–zinc superoxide dismutase (CuZnSOD) was successfully cloned and characterized from a new species of sea cucumber Psychropotes verruciaudatus (PVCuZnSOD). The relative molecular weight of the PVCuZnSOD monomer is 15 kDa. [...] Read more.
At present, deep-sea enzymes are a research hotspot. In this study, a novel copper–zinc superoxide dismutase (CuZnSOD) was successfully cloned and characterized from a new species of sea cucumber Psychropotes verruciaudatus (PVCuZnSOD). The relative molecular weight of the PVCuZnSOD monomer is 15 kDa. The optimum temperature of PVCuZnSOD is 20 °C, and it maintains high activity in the range of 0–60 °C. It also has high thermal stability when incubated at 37 °C. PVCuZnSOD has a maximum activity of more than 50% in the pH range of 4–11 and a high activity at pH 11. In addition, PVCuZnSOD has strong tolerance to Ni2+, Mg2+, Ba2+, and Ca2+, and it can withstand chemical reagents, such as Tween20, TritonX-100, ethanol, glycerol, isopropanol, DMSO, urea, and GuHCl. PVCuZnSOD also shows great stability to gastrointestinal fluid compared with bovine SOD. These characteristics show that PVCuZnSOD has great application potential in medicine, food, and other products. Full article
Show Figures

Figure 1

20 pages, 4337 KB  
Article
Optimizing Growth and Rearing Techniques for Larvae and Juveniles of the Sea Cucumber Holothuria arguinensis
by João Sousa, Pedro M. Félix, Ana C. Brito, Eliana Venâncio, Francisco Azevedo e Silva, Tomás Simões, Ana Amorim, Maria Luísa Dâmaso-Rodrigues and Ana Pombo
Diversity 2023, 15(6), 722; https://doi.org/10.3390/d15060722 - 31 May 2023
Cited by 7 | Viewed by 4553
Abstract
The ever-growing demand for sea cucumbers is a threat to these echinoderms and their habitats; however, a way to relieve stock pressure lies in meeting demand through aquaculture. As such, this study aimed to improve the growth and survival percentage of Holothuria arguinensis [...] Read more.
The ever-growing demand for sea cucumbers is a threat to these echinoderms and their habitats; however, a way to relieve stock pressure lies in meeting demand through aquaculture. As such, this study aimed to improve the growth and survival percentage of Holothuria arguinensis during larval development, settlement and juvenile growth. Three diets of microalgae (Diet RbPt = Rhodomonas baltica + Phaeodactylum tricornutum; Diet RbSm = Rhodomonas baltica + Skeletonema marinoi; Diet RbCc = Rhodomonas baltica + Chaetoceros calcitrans) were administered daily to the larval phase. Additionally, three substrates were supplied (pvc rolls, wavy pvc plaques and tile) at three different depths in order to determine the most favourable for settlement. Lastly, the potential benefits on growth and survival from introducing macroalgae (Sacchoriza polyschides) in the juvenile diet were assessed over a period of 6 months. Despite larvae under diet RbPt having presented a larger mean width, H. arguinensis fed with Diet RbCc presented a higher settlement survival at the end of the trial. No preferences were noted among the tested substrates, regardless of diet. Lastly, juveniles with added S. polyschides in their diet showed increased growth in mean weight and length when compared to individuals that were not fed with this seaweed. Full article
(This article belongs to the Section Marine Diversity)
Show Figures

Figure 1

17 pages, 5062 KB  
Article
An Analysis of Microplastics Ingested by the Mediterranean Detritivore Holothuria tubulosa (Echinodermata: Holothuroidea) Sheds Light on Patterns of Contaminant Distribution in Different Marine Areas
by Alessandra Martines, Giulia Furfaro, Michele Solca, Maurizio Muzzi, Andrea Di Giulio and Sergio Rossi
Water 2023, 15(8), 1597; https://doi.org/10.3390/w15081597 - 20 Apr 2023
Cited by 9 | Viewed by 3436
Abstract
Microplastic pollution constitutes a serious environmental problem that requires more effective scientific research to describe its potential impacts on marine fauna. The interaction between microplastics and marine biota can have significant negative effects through the trophic chain, up to human health. To date, [...] Read more.
Microplastic pollution constitutes a serious environmental problem that requires more effective scientific research to describe its potential impacts on marine fauna. The interaction between microplastics and marine biota can have significant negative effects through the trophic chain, up to human health. To date, several steps forward have been made in our understanding of this phenomenon; however, large knowledge gaps still exist for several taxa and areas. In particular, the pattern of spatial and temporal distribution of microplastics in marine sediments and their interaction with benthic detritivore species still needs to be addressed. The Mediterranean Sea is one of the most impacted areas of the world, and its biota is deeply affected by microplastic pollution. To investigate the effects of the presence of microplastics in the sediments in this area, the echinoderm Holothuria tubulosa was chosen as a model species, and specimens were collected along the Salento peninsula in Apulia, Southern Italy. This peculiar geographic area extends between two ecoregions of the Mediterranean Sea, the Northern Ionian and the Southern Adriatic seas, characterized by peculiar and distinct currents and submarine topologies, resulting in a complex and dynamic ecosystem affected by seasonal fluctuations that make the Salento peninsula an interesting natural laboratory for predictions of future dispersion events on a wider scale. Microplastics were analyzed by investigating the gut contents of H. tubulosa individuals, and the SEM/EDX method was used to confirm the plastic material extracted. Results revealed microplastics in all the specimens analyzed and with a homogeneous pattern of distribution in time and some differences in space, suggesting that the presence of this anthropogenic material is constant throughout the year and its quantity is only slightly affected by the level of conservation and management strategies characterizing the sampling sites. Full article
Show Figures

Figure 1

16 pages, 5335 KB  
Article
The First Report of Holothuria (Thymiosycia) impatiens (Forsskål, 1775), (Holothuroidea: Holothuriidae) from Tunisia (Mediterranean Sea): Taxonomic, Morphological, and Molecular Data Compilation
by Donia Kalthoumi, Sara M. Francisco, Malek Miladi, Antonio Ruiz-Canales, Atf Azzouna and Joana I. Robalo
Diversity 2023, 15(4), 542; https://doi.org/10.3390/d15040542 - 9 Apr 2023
Cited by 2 | Viewed by 2923
Abstract
For the first time, specimens of Holothuria impatiens are reported from the Tunisian coast, supported by molecular (COI sequencing) and morphological (examination of ossicles) analyses. For comparative purposes, Holothuria impatiens samples were genetically analyzed with existing data from Spain, Italy, and the Red [...] Read more.
For the first time, specimens of Holothuria impatiens are reported from the Tunisian coast, supported by molecular (COI sequencing) and morphological (examination of ossicles) analyses. For comparative purposes, Holothuria impatiens samples were genetically analyzed with existing data from Spain, Italy, and the Red Sea. In addition to their external morphology, an external substance covering the individuals is described, besides the new ossicle structure described in the body wall of H. impatiens samples. The results of the morphometry of the specimens from the Tunisian coast revealed that, for two shapes of ossicles, the size of the individuals does not influence their structures. Low genetic diversity was observed in Tunisia, with two haplotypes; one of both haplotypes was reported for the first time exclusively in Tunisia. The phylogenetic tree showed that the haplotypes were shared across all locations, revealing that the Mediterranean and Red Sea individuals were clearly distinct. Further studies on the genetic diversity of H. impatiens are crucial for the evaluation of the singularity of Mediterranean populations. Full article
(This article belongs to the Special Issue Ecology, Diversity and Evolution of Aquatic Macroinvertebrates)
Show Figures

Figure 1

10 pages, 2056 KB  
Article
Effect of Enriched Substrate on the Growth of the Sea Cucumber Holothuria arguinensis Koehler and Vaney, 1906 Juveniles
by Tiago Rodrigues, Francisco Azevedo e Silva, João Sousa, Pedro M. Félix and Ana Pombo
Diversity 2023, 15(3), 458; https://doi.org/10.3390/d15030458 - 20 Mar 2023
Cited by 12 | Viewed by 3676
Abstract
The sea cucumber Holothuria arguinensis (Koehler and Vaney, 1906) presents an increasing commercial value in Asian markets and its exportation depends exclusively on wild stock harvesting. Production through aquaculture has been acknowledged as an alternative to supply demand and reduce pressure on natural [...] Read more.
The sea cucumber Holothuria arguinensis (Koehler and Vaney, 1906) presents an increasing commercial value in Asian markets and its exportation depends exclusively on wild stock harvesting. Production through aquaculture has been acknowledged as an alternative to supply demand and reduce pressure on natural stocks, but there are still bottlenecks to overcome, such as low growth rate and survival. This study focuses on the evaluation of the growth of juveniles of H. arguinensis through substrate enrichment—direct mixing of Sargassum vulgare with sediment—in recirculating aquaculture systems (RAS), for 4 months, with a baseline diet of Saccorhiza polyschides. Compared to the control (no enrichment), sea cucumbers fed with enriched sediment showed the highest specific growth rate (SGR), the highest growth rate (GR) and the lowest size heterogeneity. The results obtained in this study showed a favorable growth of sea cucumbers when in the presence of a substrate enriched with Sargassum vulgare, representing an important step towards the viability of large-scale sea cucumber rearing in Europe. Full article
(This article belongs to the Section Marine Diversity)
Show Figures

Figure 1

20 pages, 2033 KB  
Article
Saponin and Fatty Acid Profiling of the Sea Cucumber Holothuria atra, α-Glucosidase Inhibitory Activity and the Identification of a Novel Triterpene Glycoside
by Yunita Eka Puspitasari, Emmy Tuenter, Kenn Foubert, Herawati Herawati, Anik Martinah Hariati, Aulanni’am Aulanni’am, Luc Pieters, Tess De Bruyne and Nina Hermans
Nutrients 2023, 15(4), 1033; https://doi.org/10.3390/nu15041033 - 19 Feb 2023
Cited by 14 | Viewed by 5495
Abstract
Saponin-rich sea cucumber extracts have shown antidiabetic effects in a few reports. Although the triterpene glycosides of sea cucumbers are commonly isolated from their Cuvierian tubules, these are absent in Holothuria atra Jaeger. Therefore, this study intended to investigate the saponin profile in [...] Read more.
Saponin-rich sea cucumber extracts have shown antidiabetic effects in a few reports. Although the triterpene glycosides of sea cucumbers are commonly isolated from their Cuvierian tubules, these are absent in Holothuria atra Jaeger. Therefore, this study intended to investigate the saponin profile in the body wall of H. atra, as well as to assess the α-glucosidase inhibitory activity of the H. atra extracts. The chemical profiling of sea cucumber extracts was conducted by UPLC-HRMS analysis. This resulted in the tentative identification of 11 compounds, 7 of which have not been reported in the H. Atra body wall before. Additionally, two triterpene glycosides were purified and their structures were elucidated based on HRMS and NMR data: desholothurin B (1), and a novel epimer, 12-epi-desholothurin B (2). Moreover, the fatty acid profile of the H. atra body wall was investigated by GC-MS. It was found that the Me90 fraction of the H. atra body wall showed the strongest α-glucosidase inhibitory activity (IC50 value 0.158 ± 0.002 mg/mL), thus making it more potent than acarbose (IC50 value 2.340 ± 0.044 mg/mL). Full article
(This article belongs to the Special Issue Marine Nutraceuticals and Human Health)
Show Figures

Figure 1

16 pages, 4048 KB  
Article
A High Abundance of Holothuria (Halodeima) atra (Holothuroidea Aspidochirotida) in a Halimeda Dominated Habitat
by Vanyarat Kongsap, Ekkalak Rattanachot, Anchana Prathep, Witthaya Buaphol and Jaruwan Mayakun
J. Mar. Sci. Eng. 2023, 11(2), 451; https://doi.org/10.3390/jmse11020451 - 18 Feb 2023
Cited by 3 | Viewed by 4161
Abstract
High-value sea cucumber species are overexploited, and the focus of fishing has shifted to low-value species, e.g., Holothuria (Halodeima) atra. In this study, the population of H. atra was investigated in three different habitats: a seagrass habitat, a seaweed habitat, and bare sand, [...] Read more.
High-value sea cucumber species are overexploited, and the focus of fishing has shifted to low-value species, e.g., Holothuria (Halodeima) atra. In this study, the population of H. atra was investigated in three different habitats: a seagrass habitat, a seaweed habitat, and bare sand, at an intertidal zone of Lidee Island, Mu Ko Phetra National Park, Satun Province, Thailand. The habitat type was the predictor which had a significant impact on the density and frequency distribution of the body length of H. atra individuals. H. atra was only found in the seaweed and seagrass habitats. The highest density of this species, 91.1 ± 9.6 inds 100 m−2, was found in the seaweed habitat. The frequency distribution of the body length of H. atra individuals in the seagrass habitat showed no significant change throughout the study period, but the mode of the length frequency distribution in the seaweed habitat gradually rose from 9 to 22 cm from January−September 2019. Asexual reproduction was the major source of recruitment. The occurrence of recently fissioned individuals was slightly higher in the seaweed habitat than in the seagrass habitat (6.0 ± 1.1% and 2.2 ± 0.6%, respectively). This study showed that H. atra was most abundant in the seaweed habitat, which is likely because of the greater availability in this habitat of food sources, microhabitats, and protection against sun irradiance, desiccation, and stress during low tides. Full article
(This article belongs to the Topic Marine Ecology, Environmental Stress and Management)
Show Figures

Figure 1

36 pages, 3592 KB  
Review
Fatty Acids of Echinoderms: Diversity, Current Applications and Future Opportunities
by Natalia V. Zhukova
Mar. Drugs 2023, 21(1), 21; https://doi.org/10.3390/md21010021 - 27 Dec 2022
Cited by 23 | Viewed by 12046
Abstract
The phylum Echinodermata comprising the classes Asteroidea, Ophiuroidea, Echinoidea, Holothuroidea, and Crinodeia, is one of the important invertebrate groups. Members of this phylum live exclusively in marine habitats and are distributed in almost all depths and latitudes. Some of them, such as sea [...] Read more.
The phylum Echinodermata comprising the classes Asteroidea, Ophiuroidea, Echinoidea, Holothuroidea, and Crinodeia, is one of the important invertebrate groups. Members of this phylum live exclusively in marine habitats and are distributed in almost all depths and latitudes. Some of them, such as sea urchins and sea cucumbers, are commercially valuable and constitute a major fishery resource. Echinoderms are increasingly recognized as a unique source of various metabolites with a wide range of biological activities. The importance of dietary polyunsaturated fatty acids, such as eicosapentaenoic acid, in human health has drawn attention to echinoderms as a promising source of essential fatty acids (FAs). Extensive information on the FAs of the phylum has been accumulated to date. The biosynthetic capabilities and feeding habits of echinoderms explain the findings of the unusual FAs in them. Certain common and unusual FAs may serve as chemotaxonomic markers of the classes. The main goal of the review was to gather the relevant information on the distribution of FAs among the echinoderm classes, describe the structures, distribution, biosynthetic pathways, and bioactivity, with an emphasis on the FAs specific for echinoderms. A large part of the review is devoted to the FAs derived from echinoderms that exhibit various biological activities promising for potential therapeutic applications. Full article
(This article belongs to the Special Issue Marine Drugs Research in Russia)
Show Figures

Figure 1

15 pages, 654 KB  
Review
A Review of Histocytological Events and Molecular Mechanisms Involved in Intestine Regeneration in Holothurians
by Fang Su, Hongsheng Yang and Lina Sun
Biology 2022, 11(8), 1095; https://doi.org/10.3390/biology11081095 - 22 Jul 2022
Cited by 11 | Viewed by 4429
Abstract
Most species of the class Holothuroidea are able to regenerate most of their internal organs following a typical evisceration process, which is a unique mechanism that allows sea cucumbers to survive in adverse environments. In this review, we compare autotomy among different type [...] Read more.
Most species of the class Holothuroidea are able to regenerate most of their internal organs following a typical evisceration process, which is a unique mechanism that allows sea cucumbers to survive in adverse environments. In this review, we compare autotomy among different type of sea cucumber and summarize the histocytological events that occur during the five stages of intestinal regeneration. Multiple cytological activities, such as apoptosis and dedifferentiation, take place during wound healing and anlage formation. Many studies have focused on the molecular regulation mechanisms that underlie regeneration, and herein we describe the techniques that have been used as well as the development-related signaling pathways and key genes that are significantly expressed during intestinal regeneration. Future analyses of the underlying mechanisms responsible for intestinal regeneration should include mapping at the single-cell level. Studies of visceral regeneration in echinoderms provide a unique perspective for understanding whole-body regeneration or appendage regeneration. Full article
(This article belongs to the Special Issue Molecular Physiology of Marine Invertebrates)
Show Figures

Figure 1

14 pages, 3778 KB  
Article
Analysis of Complete Mitochondrial Genome of Bohadschia argus (Jaeger, 1833) (Aspidochirotida, Holothuriidae)
by Bo Ma, Zhuobo Li, Ying Lv, Zixuan E, Jianxiang Fang, Chunhua Ren, Peng Luo and Chaoqun Hu
Animals 2022, 12(11), 1437; https://doi.org/10.3390/ani12111437 - 2 Jun 2022
Cited by 7 | Viewed by 2901
Abstract
Bohadschia argu is a kind of sea cucumber with high economic value; it is the only undisputed species in the genus Bohadschia. In this study, the complete mitochondrial genome (mitogenome) of B. argus was acquired through high-throughput sequencing. The mitochondrial genome of [...] Read more.
Bohadschia argu is a kind of sea cucumber with high economic value; it is the only undisputed species in the genus Bohadschia. In this study, the complete mitochondrial genome (mitogenome) of B. argus was acquired through high-throughput sequencing. The mitochondrial genome of B. argus was 15,656 bp in total length and contained a putative control region (CR) and 37 typical genes of animal mitochondrial genomes, including 13 protein-coding genes (PCGs), 2 ribosomal RNA genes (rrnS and rrnL) and 22 transfer RNA genes (tRNA). The sizes of the PCGs ranged from 168 bp to 1833 bp, and all PCGs except nad6 were encoded on the heavy chain (H). Both rrnS and rrnL were also encoded on the H chain. Twenty-two tRNA genes had positive AT skew and GC skew. All tRNAs had a typical cloverleaf secondary structure except for trnI, in which an arm of dihydrouridine was missing. B. argus shared the same gene arrangement order (the echinoderm ground pattern) as other species in Aspidochirotida. Phylogenetic analysis clearly revealed that B. argus belongs as a member of the Holothuriidae, and it is closely related to members of Actinopyga and Holothuria. Full article
(This article belongs to the Section Animal Genetics and Genomics)
Show Figures

Figure 1

18 pages, 5424 KB  
Article
Reproductive Biology of the Sea Cucumber Holothuria mammata (Echinodermata: Holothuroidea)
by Eliana Venâncio, Pedro M. Félix, Ana C. Brito, Francisco Azevedo e Silva, Tomás Simões, João Sousa, Susana Mendes and Ana Pombo
Biology 2022, 11(5), 622; https://doi.org/10.3390/biology11050622 - 19 Apr 2022
Cited by 19 | Viewed by 5563
Abstract
Holothuria mammata is one of the most valuable species of sea cucumber, as well as one of the main target species harvested in the Mediterranean and NE-Atlantic regions. This study aims to describe the reproductive cycle of H. mammata in a coastal area [...] Read more.
Holothuria mammata is one of the most valuable species of sea cucumber, as well as one of the main target species harvested in the Mediterranean and NE-Atlantic regions. This study aims to describe the reproductive cycle of H. mammata in a coastal area of southwest Portugal. Monthly samplings were carried out for 19 months, with the concomitant collection of environmental data and biometric data. H. mammata had a sex ratio of 1:1.2 (male:female) and a size at first maturity of 142 mm for males and 167 mm for females. The gonadosomatic index (GI) peaked between April and May for both sexes. Gonad development started when days had a shorter photoperiod (9 to 13 h of sunlight) and lower seawater temperature (<15 °C), and spawning occurred later, with longer photoperiod (13 to 15 h of sunlight) and higher seawater temperature (>15 °C) and chlorophyll-a concentrations. The development of new studies to increase the biological and ecological knowledge of the populations of H. mammata is essential to create conditions for the domestication of broodstock in captivity, to allow the development of fishing regulations based on informed decisions and to create precise measures for the conservation of ecosystems. Full article
(This article belongs to the Section Developmental and Reproductive Biology)
Show Figures

Figure 1

Back to TopTop