Sign in to use this feature.

Years

Between: -

Subjects

remove_circle_outline
remove_circle_outline
remove_circle_outline
remove_circle_outline
remove_circle_outline
remove_circle_outline
remove_circle_outline
remove_circle_outline
remove_circle_outline

Journals

remove_circle_outline
remove_circle_outline
remove_circle_outline
remove_circle_outline
remove_circle_outline
remove_circle_outline
remove_circle_outline
remove_circle_outline
remove_circle_outline
remove_circle_outline
remove_circle_outline
remove_circle_outline
remove_circle_outline
remove_circle_outline
remove_circle_outline
remove_circle_outline
remove_circle_outline
remove_circle_outline
remove_circle_outline
remove_circle_outline
remove_circle_outline
remove_circle_outline
remove_circle_outline
remove_circle_outline
remove_circle_outline
remove_circle_outline
remove_circle_outline

Article Types

Countries / Regions

remove_circle_outline
remove_circle_outline
remove_circle_outline
remove_circle_outline

Search Results (1,977)

Search Parameters:
Keywords = Hispanic

Order results
Result details
Results per page
Select all
Export citation of selected articles as:
17 pages, 1187 KB  
Article
Leveraging Machine Learning to Predict Warfarin Sensitivity in the Puerto Rican Population: A Pharmacogenomic Approach
by Jorge E. Martínez-Jiménez, Yolianne Ortega-Lampón, Dylan Cedres-Rivera, Frances Heredia-Negrón, Abiel Roche-Lima and Jorge Duconge
Int. J. Environ. Res. Public Health 2026, 23(3), 337; https://doi.org/10.3390/ijerph23030337 (registering DOI) - 7 Mar 2026
Abstract
Warfarin is one of the most used oral anticoagulants, even after the arrival of non-vitamin K oral anticoagulants. Warfarin has been implicated in approximately one-third of emergency hospitalizations for adverse drug events among older adults in national U.S. data. Warfarin dose has been [...] Read more.
Warfarin is one of the most used oral anticoagulants, even after the arrival of non-vitamin K oral anticoagulants. Warfarin has been implicated in approximately one-third of emergency hospitalizations for adverse drug events among older adults in national U.S. data. Warfarin dose has been shown to vary between patients with up to 10 times the standard dose. This variability is due to multiple factors such as age, gender, diet, body size, co-medications, and the genetic background of the patient, where the genetic background accounts for 50% of warfarin dose variability among Europeans. Sadly, these findings do not apply to Caribbean Hispanic populations such as Puerto Ricans due to them having an admixed genetic profile. In the field of pharmacogenomics (PGx), the utility of machine learning (ML) has been used to predict individual drug responses by analyzing complex genetic and clinical data, which helps personalize medicine by tailoring treatments to a patient’s genetic makeup. Inclusion of ethno-specific variants has demonstrated improvement on the application of ML to a specific population. This study compares eight ML methods to predict warfarin sensitivity in Puerto Rican Caribbean Hispanics. This study is a secondary analysis of genetic and clinical data from 217 Puerto Rican patients treated with warfarin for thromboembolic disorders. After quality control filtering and exclusion of participant records with incomplete genetic and clinical data, 146 participants are retained for analysis. Data are divided into 65% and 35% to be used as training and test sets. Model performance is determined by comparing the precision and accuracy metrics, computed through the corresponding confusion matrixes. A gradient boosting classifier (GDB) achieves the highest overall accuracy (0.7500) and weighted precision of (0.7642); however, sensitivity for detecting warfarin-sensitive patients remains low. Feature importance analysis suggests that rs202201137 could contribute to model predictions, although overall detection of warfarin-sensitive individuals remains limited. Full article
15 pages, 243 KB  
Article
Association of Social Determinants of Health and Health Equity with Adverse Childhood Experiences in Georgia, USA
by Gulzar H. Shah, Adverlyn Ivey-Waters, Tobi Oloyede and Shams Rahman
Healthcare 2026, 14(5), 667; https://doi.org/10.3390/healthcare14050667 - 6 Mar 2026
Abstract
Background/Objectives: Adverse childhood experiences (ACEs), including physical and sexual abuse, are significantly associated with long-term health issues, particularly among socially disadvantaged populations. The study examines the social determinants of health, such as poverty, racial inequities, and limited access to care, to assess their [...] Read more.
Background/Objectives: Adverse childhood experiences (ACEs), including physical and sexual abuse, are significantly associated with long-term health issues, particularly among socially disadvantaged populations. The study examines the social determinants of health, such as poverty, racial inequities, and limited access to care, to assess their association with adverse childhood experiences, including exposure to physical violence and sexual abuse. Methods: We performed multivariable logistic regression analyses using data from the 2023 Georgia Behavioral Risk Factor Surveillance System (BRFSS) (n = 8227) to examine associations between selected ACEs and key social determinants of health (SDOH). Results: Our results indicated that a lack of emotional and social support was associated with increased odds of witnessing parental violence (AOR = 2.00) and physical abuse (AOR = 1.90). Absence of food insecurity was associated with lower odds of witnessing parental violence (AOR = 0.65), unwanted sexual touching (AOR = 0.77), and forced sex (AOR = 0.63). Similarly, not reporting transportation barriers was associated with lower odds across ACE outcomes (AORs ranging from 0.54 to 0.65). Sexual and gender minority individuals exhibited substantially higher odds of childhood sexual abuse (AORs = 3.64–5.56). Hispanic ethnicity was associated with increased odds of physical abuse (AOR = 1.47), and older adults (ages 45–64) had greater odds of experiencing forced sex (AORs = 2.08–2.48). These findings highlight complex relationships between SDOH and early trauma. Conclusions: Trauma-informed public health strategies must address structural inequities and strengthen emotional and material support for vulnerable populations. Full article
(This article belongs to the Special Issue Psychosocial Aspects of Childhood and Adolescent Health)
34 pages, 4341 KB  
Article
Comparative Morphology and Generic Classification of Catfishes of the Trichomycterus Lineage (Siluriformes: Trichomycteridae)
by Wilson J. E. M. Costa
Taxonomy 2026, 6(1), 20; https://doi.org/10.3390/taxonomy6010020 - 4 Mar 2026
Viewed by 222
Abstract
Recent genomic phylogenies have generated new robust classifications of actinopterygian fishes, making possible greater nomenclatural stability, but genus-level classifications of groups like the diverse catfish subfamily Trichomycterinae are still unclear, containing ill-defined paraphyletic taxa. The focus of the present study is the Trichomycterus [...] Read more.
Recent genomic phylogenies have generated new robust classifications of actinopterygian fishes, making possible greater nomenclatural stability, but genus-level classifications of groups like the diverse catfish subfamily Trichomycterinae are still unclear, containing ill-defined paraphyletic taxa. The focus of the present study is the Trichomycterus Lineage (TL), a clade with great morphological diversity, containing about 170 species widely distributed in South America, occurring in the most important biodiversity hotspots of the world, such as the Atlantic Forest, Cerrado, and the Tropical Andes. Most species are small, but at least one reaches about 400 mm of total length, being used as food and depicted in pre-Hispanic Andean ceramics. Based on a comparative morphological analysis, mainly using osteological characters, supported by concordant genomic phylogenies, a new classification at the genus level is here provided. Many morphological features delimiting TL genera seem to be related to ecological adaptations. Nine genera are here recognised of which five are new. Recognition of the new genera will allow easier descriptions of new species and consequently better biodiversity estimates. Full article
Show Figures

Figure 1

22 pages, 1378 KB  
Article
Impact of Cannabis and Cannabis Legalization on US Atrial Septal Defect Rates
by Albert Stuart Reece and Gary Kenneth Hulse
J. Xenobiot. 2026, 16(2), 43; https://doi.org/10.3390/jox16020043 - 1 Mar 2026
Viewed by 243
Abstract
Atrial septal defect (ASD) affects 1:11.3 children in some US states; however, the antecedents of these trends are yet to be identified. A total of 1882 ASD rates (ASDRs) for 2003–2020 were sourced from the National Birth Defects Prevention Network reports. A total [...] Read more.
Atrial septal defect (ASD) affects 1:11.3 children in some US states; however, the antecedents of these trends are yet to be identified. A total of 1882 ASD rates (ASDRs) for 2003–2020 were sourced from the National Birth Defects Prevention Network reports. A total of 406,893 ASDs are reported. Substance (cigarettes, binge alcohol, cannabis, cannabinoids, analgesics, cocaine) exposure data were taken from the National Survey of Drug Use and Health. Income and ethnicity data were derived from the US Census. Adjustment was performed by mixed effects, survey and generalized additive regression. Causal analysis was by inverse probability weighting and E-values. Data were analyzed in RStudio. The highest ASDR of 884/10,000 live births was amongst Non-Hispanic Asians and Pacific Islanders in Nevada in 2016–2020. The 2005–2018 median ASDR rose >12-fold in Nevada and New Mexico, >6-fold in New York, and 4.2-fold nationally 1989–2020; it doubled in NY from 2012–2016 to 2016–2020. The average state ASDR rose supra-exponentially (p = 0.0075) and was associated with higher cannabis use states (p = Zero, Cohen’s D = 1.24), apparently driven by cannabis legalization (p = Zero). Estimated exposures to Δ9THC, cannabidiol and cannabigerol were implicated (from p = 2.67 × 10–68). Cannabis-legal states were compared with others (mean ASDR (C.I.) 178.15 (131.68, 224.62) vs. 74.28 (70.60, 77.96), p = Zero; O.R. 1.82 (1.81, 1.84), E-values 3.04 (lower C.I. 3.02), Cohen’s D 1.29 (0.96, 1.62)). Overall, 29/39 (74.4%) E-value estimates were >4; 39/39 (100%) were >1.25. Cannabis, cannabinoids and cannabis legalization are strong candidates for driving the US ASDR supra-exponentially. Estimates of many cannabinoids, including cannabidiol, Δ9THC, and cannabigerol, are implicated. The results are consistent with other large epidemiological studies. The importance of the results is magnified by the increasing legalization and penetration of cannabinoids into the US population. Since therapeutic abortion is not practiced for ASD, it may be used as a bellwether index of heritable transgenerational cannabinoid genotoxicity and epigenotoxicity associated with cannabinoid exposure. Full article
Show Figures

Figure 1

15 pages, 746 KB  
Article
Nourishing the Body and Mind of University Students: Using a Machine Learning Approach to Prioritize Outreach Strategies for a Campus Food Pantry
by Linda Fergus, Reagan Davis, Di Gao, Kathleen Gilbert and Tabbetha Lopez
Trends High. Educ. 2026, 5(1), 22; https://doi.org/10.3390/higheredu5010022 - 26 Feb 2026
Viewed by 161
Abstract
Food insecurity (FI) may lead to lower academic achievement, yet college students with inadequate food underutilize campus food pantries. This research aimed to identify predictors of academic success among pantry shoppers (PSs) to inform outreach. Data from AY 2021–2022 (N = 847) and [...] Read more.
Food insecurity (FI) may lead to lower academic achievement, yet college students with inadequate food underutilize campus food pantries. This research aimed to identify predictors of academic success among pantry shoppers (PSs) to inform outreach. Data from AY 2021–2022 (N = 847) and 2022–2023 (N = 951) were derived from swipes of student identification cards, merged with university student-provided data, and de-identified. Multiple regression, logistic regression, and Least Absolute Shrinkage and Selection Operator (LASSO) were employed to create and validate models using Machine Learning. Grade Point Averages (GPAs) were compared by two-sample t tests. The PSs demonstrated higher GPAs in the fall term than non-pantry shoppers (p = 0.04). Validation of the models indicated strong performance. Multiple regression yielded a low prediction error (0.05), and logistic regression achieved 71% accuracy (AUC = 0.776). LASSO identified positive predictors of academic success, including graduate and honors status, junior and senior classification, females, international residency, and frequency of pantry shopping. Negative predictors included part-time status, first-year status, Black or Hispanic ethnicity, and Pell Grant eligibility. Findings underscore the complex interplay between sociodemographic and academic factors that should be considered when planning pantry outreach programs and highlight the need for standardized measures of student pantry utilization, which may aid resource allocation and sustainability. Full article
Show Figures

Figure 1

29 pages, 390 KB  
Article
Conceptualizing Anti-Blackness at a Hispanic-Serving Research University
by Brandi Wells-Stone, Assata Zerai and Teresa Neely
Soc. Sci. 2026, 15(3), 151; https://doi.org/10.3390/socsci15030151 - 25 Feb 2026
Viewed by 252
Abstract
This study examined the experiences of Black students attending a Hispanic-Serving Research University (HSRU). Utilizing a mixed-methods Black Student Belonging Survey, the research team sought to understand how Black students across Afro-diasporic communities, including students who self-identify as Black, Afro-Latinx, Afro-Indigenous, West African, [...] Read more.
This study examined the experiences of Black students attending a Hispanic-Serving Research University (HSRU). Utilizing a mixed-methods Black Student Belonging Survey, the research team sought to understand how Black students across Afro-diasporic communities, including students who self-identify as Black, Afro-Latinx, Afro-Indigenous, West African, and others, described their encounters within an HSRU. Findings from this study revealed that the percentages of students at the HSRU under study who stated that they encountered challenges related to their Black identities at the target university was not equally distributed among various ethnic and multiheritage groups within the Afro-diaspora, χ2 (2, n = 319), p < 0.01. Thus, it appears that challenges at the university related to Black identities vary by background. This is an important finding because it reveals that studies that flatten the Black identity of student respondents may be missing significant variations in experience. Moreover, analysis of qualitative results using an anti-Blackness framework sheds light on the pervasive experiences of anti-Black encounters across the university. These findings include anti-Black aggressions, politics of belonging, and bearing the weight of representation as the most frequent challenges experienced within the HSRU. Recommendations based on these findings call for participatory action research with students, enhanced upstander interventions, and continued work to humanize and broaden practices in higher education that promote servingness. Full article
22 pages, 2708 KB  
Article
Sex-Based Mechanisms of Stress-Induced Alcohol-Seeking
by Anna C. S. Garrison, Evgeny Jenya Chumin, Mario Dzemidzic, Julia L. Smith, Wei Wu, Ann E. K. Kosobud, David A. Kareken, Sean O’Connor, Martin H. Plawecki and Melissa A. Cyders
Behav. Sci. 2026, 16(2), 311; https://doi.org/10.3390/bs16020311 - 23 Feb 2026
Viewed by 581
Abstract
Sex differences in stress-induced alcohol-seeking are well documented. The overarching goal of this study is to examine how sex may moderate the relationship between depression and anxiety symptoms and stress-induced alcohol-seeking and to identify mechanisms of this relationship. We explore subjective alcohol responses [...] Read more.
Sex differences in stress-induced alcohol-seeking are well documented. The overarching goal of this study is to examine how sex may moderate the relationship between depression and anxiety symptoms and stress-induced alcohol-seeking and to identify mechanisms of this relationship. We explore subjective alcohol responses and the resting-state functional connectivity of the amygdala and the hippocampus, regions implicated in anxiety and depression, as potential sex-dependent mediators. This secondary analysis draws from a recently published trial of 84 adults aged 21 to 55 (54.8% female, mean age = 32, SD = 10.68; 58.3% White, 88.1% non-Hispanic/Latino) who endorsed moderate-to-heavy alcohol use. All participants completed two counterbalanced intravenous alcohol administration sessions, and 54 completed optional neuroimaging. Generalized anxiety symptoms were significantly associated with greater stress-induced alcohol-seeking in women but not in men. Depression symptoms showed a similar pattern, though the results did not reach statistical significance. Across men and women, blunted state stimulation, but not state anxiety, in response to alcohol was associated with greater stress-induced alcohol-seeking. In men, anxiety symptoms were linked with heightened state stimulation effects, which appeared to buffer against stress-induced alcohol-seeking. State stimulation findings may suggest a possible mechanism for sex differences concerning anxiety pathways to alcohol-seeking. Subjective alcohol responses did not mediate the relationship between depression symptoms and stress-induced alcohol-seeking. Resting-state network connectivity findings identified several potential sex-dependent neural mechanisms that warrant further investigation. Although this study was not originally designed as a direct test of competing subjective response and low-level response to alcohol theoretical models, our findings are consistent with Schuckit’s low level of response to alcohol theory. Our findings showed that blunted stimulation may contribute to stress-induced alcohol-seeking among men. Identifying mechanisms that underlie sex-specific relationships with stress-induced alcohol-seeking can inform the development of tailored intervention approaches, ultimately enhancing treatment efficacy for both men and women. Full article
(This article belongs to the Special Issue Stress and Drinking)
Show Figures

Figure 1

16 pages, 259 KB  
Article
“Schooling for Me Was the Door to Incarceration”: Exploring Formerly Incarcerated Students’ Experiences and Freedom Dreams to Radically Reimagine School
by Asianya Jones and Addison Duane
Youth 2026, 6(1), 23; https://doi.org/10.3390/youth6010023 - 20 Feb 2026
Viewed by 256
Abstract
Endemic racism, operationalized through exclusionary discipline practices contributes to the “spirit murdering” of youth of color in schools. While the school-to-prison pipeline frames the funneling of students into the (in)justice system, the school-to-prison nexus expands this understanding by interrogating the reality that schools [...] Read more.
Endemic racism, operationalized through exclusionary discipline practices contributes to the “spirit murdering” of youth of color in schools. While the school-to-prison pipeline frames the funneling of students into the (in)justice system, the school-to-prison nexus expands this understanding by interrogating the reality that schools are prison for many. Thus, education abolitionists call for a systemic account of “schooling” to embrace creative risk and radical possibility in the pursuit of liberation. However, existing literature has not substantively centered the voices of youth directly involved in these carceral systems, nor invited them to dream. This study asks: based on formerly incarcerated students’ experiences in school and prison, what must educational systems do to disrupt the school-to-prison pipeline? Guided by qualitative methods, we conducted semi-structured interviews with formerly incarcerated college students (four women, two men; majority Latinx/Hispanic) and conducted member checking. Our reflexive thematic analysis uncovered a troubling truth: schools frequently ignored and misinterpreted trauma, grief, and internalized pain among high school students. Participants described internal battles (i.e., mental health challenges) that often showed up externally as “behaviors” (e.g., fighting, skipping school, substance use) that resulted in exclusionary discipline. Equally important, participants re-imagined schools as homeplaces—sites of care, belonging, and agency. These narratives illuminate the need to dismantle punitive systems, center insights from those at the center of the experiences, and build just, loving, and equitable schools. Full article
11 pages, 1170 KB  
Article
Racial-Ethnic and Regional Disparities in Climate Event Exposures in a National United States Sample
by Roger Wong and Saba Solomon
Climate 2026, 14(2), 59; https://doi.org/10.3390/cli14020059 - 18 Feb 2026
Viewed by 198
Abstract
Within the U.S., there are racial–ethnic and regional disparities in climate event experiences. For example, the West region has experienced increased frequencies of wildfires, whereas minoritized racial–ethnic groups have experienced more climate events. There is limited research investigating the intersection between race–ethnicity and [...] Read more.
Within the U.S., there are racial–ethnic and regional disparities in climate event experiences. For example, the West region has experienced increased frequencies of wildfires, whereas minoritized racial–ethnic groups have experienced more climate events. There is limited research investigating the intersection between race–ethnicity and region in relation to multiple climate events, particularly with a national U.S. sample. We aimed to examine regional (Northeast, Midwest, South, and West) differences in five climate event exposures (wildfire, drought, sea level rise, severe weather, and heat wave), and assess whether race–ethnicity (White, Black, Hispanic, and Asian) moderates this relationship. Our study utilized the 2022 American Trends Panel data, a nationally representative sample of 9799 U.S. adults. Regional and climate associations were analyzed using chi-square tests, while moderation was tested using interactions between race–ethnicity and region in separate logistic regression models that adjusted for sociodemographic factors. We found elevated frequencies of wildfires, drought, and heat waves in the West, sea level rise in all coastal regions except the inland Midwest, and severe weather in the South. Within the Northeast, Black adults were less exposed to sea level rise, while Asian adults were less exposed to wildfires and sea level rise. Within the Midwest, Black adults were less exposed to drought. Within the South, Hispanic adults were more exposed to drought. These findings provide insights into tailoring emergency preparedness efforts by region and prompt further investigation into reasons why some racial–ethnic groups are less likely to experience certain climate events. Full article
Show Figures

Figure 1

18 pages, 2602 KB  
Article
Racial and Ethnic Disparities in Second Primary Lung Cancer After Breast Radiotherapy: A SEER Cohort Analysis (2000–2022)
by Fares A. Qtaishat, Mohammad Hamad, Adham Musa, Theeb Natsheh, Othman Al-Barghouthi, Basil A. Abusalameh, Anas A. Younis, Hamzeh Al-Qarallah, Sara Qutaishat, Matthew P. Banegas, H. Irene Su, Winta T. Mehtsun and Tala Al-Rousan
Cancers 2026, 18(4), 635; https://doi.org/10.3390/cancers18040635 - 15 Feb 2026
Viewed by 444
Abstract
Background: Adjuvant radiation therapy for breast cancer improves survival but may expose thoracic organs to low-dose radiation, increasing the risk of second primary lung cancer (SPLC). Racial and ethnic disparities and social factors influencing SPLC risk remain underexplored. Objectives: We quantified racial and [...] Read more.
Background: Adjuvant radiation therapy for breast cancer improves survival but may expose thoracic organs to low-dose radiation, increasing the risk of second primary lung cancer (SPLC). Racial and ethnic disparities and social factors influencing SPLC risk remain underexplored. Objectives: We quantified racial and ethnic differences in SPLC incidence and survival among radiotherapy-treated breast cancer survivors and assessed the potential protective role of marital status. Methods: Using SEER-17 (2000–2022), we identified patients with first primary breast cancer receiving radiotherapy, excluding those who died within two months. Standardized incidence ratios (SIRs) assessed observed versus expected SPLC cases by race and ethnicity and marital status, and five-year overall survival (OS) after SPLC and mean age at death were calculated. Racial categories included White, Black, Asian or Pacific Islander (API), and American Indian or Alaska Native (AI/AN); ethnicity was categorized as Hispanic or non-Hispanic. Results: Among 558,493 patients, 6674 developed SPLC (1.19%). Risk varied significantly by race (p < 0.05). AI/AN patients had the highest overall risk (SIR 1.82), particularly 12–59 months and ≥120 months post-treatment. Black (SIR 1.21) and API (SIR 1.23) survivors had sustained elevated risk, while White survivors showed no overall increase (SIR 0.96) and Hispanic survivors had lower risk (SIR 0.72). Married individuals had 12% lower SPLC incidence (SIR 0.88). Five-year overall survival after SPLC was 28.0%, with significant variation by race and ethnicity (p = 0.002). API (32.2%) and AI/AN (32.5%) patients had the highest survival, followed by White (28.0%) and Black patients (25.6%). Married patients had higher five-year survival (31.8% vs. 25.0%) and older mean age at death (64.3 vs. 48.6 years) compared to unmarried patients. Conclusions: SPLC risk and prognosis after breast radiotherapy differ by race, ethnicity, and marital status. These findings highlight the importance of context-aware survivorship counseling and support the consideration of personalized lung cancer screening for breast cancer survivors. Full article
(This article belongs to the Special Issue Health Disparities and Outcomes in Cancer Survivors)
Show Figures

Figure 1

13 pages, 1707 KB  
Article
Effects of Two Moderate-Intensity Aerobic Exercise Prescriptions on Inflammatory Cytokines and Oxidative Stress Biomarkers in Obese Hispanic Females
by Kyung-Shin Park, Paola Canales Gonzalez, Miguel Nieto and Brett S. Nickerson
Int. J. Mol. Sci. 2026, 27(4), 1834; https://doi.org/10.3390/ijms27041834 - 14 Feb 2026
Viewed by 190
Abstract
This study examined effects of two moderate-intensity aerobic exercise prescriptions on inflammatory cytokines and oxidative stress biomarkers in middle-aged obese Hispanic females. Fifty-four subjects were randomly assigned to a lower-moderate intensity group (55% VO2max, LT, n = 18), an upper-moderate intensity [...] Read more.
This study examined effects of two moderate-intensity aerobic exercise prescriptions on inflammatory cytokines and oxidative stress biomarkers in middle-aged obese Hispanic females. Fifty-four subjects were randomly assigned to a lower-moderate intensity group (55% VO2max, LT, n = 18), an upper-moderate intensity group (70% VO2max, HT, n = 19), or a non-exercise control group (CON, n = 17). Blood samples collected before and after a 12-week intervention were analyzed for tumor necrosis factor-alpha (TNF-α), adiponectin, C-reactive protein (CRP), total antioxidant status (TAS), and 8-hydroxy-2′-deoxyguanosine (8-OHdG). Body fat percentage (%BF) and visceral adipose tissue (VAT) were assessed using dual-energy X-ray absorptiometry. TNF-α significantly decreased in both LT (p = 0.004) and HT (p < 0.001). Significant increases in adiponectin (p = 0.001) and reductions in CRP (p < 0.001) were observed within the HT, whereas these changes were not significant within the LT. TAS significantly increased in both exercise groups (p < 0.001), and 8-OHdG significantly decreased in the HT (p < 0.001) and LT (p = 0.002). Both LT and HT demonstrated significant reductions in %BF (p < 0.001) and VAT (p < 0.05), with no significant changes in CON. Results indicate that moderate-intensity aerobic exercise improves inflammatory and oxidative stress profiles when total exercise volume is matched, regardless of differences in exercise intensity within the moderate range. Although post-intervention differences between groups were not statistically significant, the observation that CRP, adiponectin, and 8-OHdG changed significantly only within HT suggests that exercise intensity may influence biomarker responsiveness and warrants further investigation. Full article
Show Figures

Figure 1

11 pages, 882 KB  
Article
Age-Adjusted Mortality Trends in Acute Tubulointerstitial Nephritis by Gender, Race, and Census Region in the United States: A CDC-WONDER Study, 1999–2020
by Abdallah Ibrahim Abujlambo, Muhammad Ali Khan, Hiba Hamdar and Bassam G. Abu Jawdeh
J. Clin. Med. 2026, 15(4), 1501; https://doi.org/10.3390/jcm15041501 - 14 Feb 2026
Viewed by 219
Abstract
Background: Acute tubulointerstitial nephritis (ATIN) is a significant yet under-monitored cause of U.S. mortality, particularly among the elderly. This study anrackalyzed national trends and demographic disparities in age-adjusted mortality rates (AAMRs) from 1999 to 2020 to identify high-risk populations and inform public health [...] Read more.
Background: Acute tubulointerstitial nephritis (ATIN) is a significant yet under-monitored cause of U.S. mortality, particularly among the elderly. This study anrackalyzed national trends and demographic disparities in age-adjusted mortality rates (AAMRs) from 1999 to 2020 to identify high-risk populations and inform public health policy. Methods: Using the CDC WONDER database, we conducted a retrospective analysis of 6872 ATIN-related deaths. AAMRs (per 100,000) were stratified by sex, race, and census region. Temporal shifts were quantified using Joinpoint regression to determine annual percentage changes (APC) and 95% confidence intervals (CIs). Results: The analysis revealed a distinct “V-shaped” mortality trend across the 22-year period. Following an initial decline from 1999 to 2013, AAMRs rose sharply through 2020. Males experienced a slightly steeper recent increase (9.90%) compared to females (9.50%). While Black/African American individuals initially had higher mortality rates, a significant surge in deaths among Non-Hispanic White individuals after 2013 (APC 10.42%) led to a convergence of mortality rates between the two groups by 2020. Geographically, the Midwest (APC 12.08%) and the South saw the most pronounced recent increases, whereas the West showed a sustained upward trend beginning as early as 2008. Conclusions: There has been a concerning reversal in ATIN-related mortality trends in the United States over the last decade. The convergence of racial mortality rates and significant regional variations suggest that shifting healthcare access, environmental factors, or medication exposure patterns (such as polypharmacy) warrant urgent investigation to mitigate this rising public health burden. Full article
(This article belongs to the Section Nephrology & Urology)
Show Figures

Figure 1

13 pages, 270 KB  
Article
The Association Between Periconceptional Consumption of Ultra-Processed Food and the Incidence of Adverse Pregnancy Outcomes
by Raven Hall, Alyssa M. Hernandez, Suzette Rosas-Rogers, Melodee Liegl, Amy Y. Pan, Catherine Cohen and Anna Palatnik
Nutrients 2026, 18(4), 627; https://doi.org/10.3390/nu18040627 - 14 Feb 2026
Viewed by 444
Abstract
Background/Objectives: Increasing popularity, convenience, and access to processed foods are shifting the composition of dietary intake from whole to ultra-processed foods (UPF). This study aimed to assess the association between periconceptional UPF consumption and the incidence of adverse pregnancy outcomes (APOs). Methods [...] Read more.
Background/Objectives: Increasing popularity, convenience, and access to processed foods are shifting the composition of dietary intake from whole to ultra-processed foods (UPF). This study aimed to assess the association between periconceptional UPF consumption and the incidence of adverse pregnancy outcomes (APOs). Methods: This was a secondary analysis of the Nulliparous Pregnancy Outcomes Study: Monitoring Mothers-to-Be (nuMoM2b). Patients were excluded if they were missing periconceptional diet data or if their pregnancy ended before 20 weeks. Food Frequency Questionnaire items were categorized using the NOVA Scale to calculate the proportion of total energy intake comprised of UPF (% kcal/day). Bivariate and multivariate analyses examined the relationships between UPF intake and preterm birth, hypertensive disorders of pregnancy (HDP), gestational diabetes (GDM), small-for-gestational-age (SGA) infants, large-for-gestational-age (LGA) infants, and fetal or neonatal demise. Results: A total of 6693 participants were included in the analysis. The sample was predominantly White (78%) and not Hispanic (84%), and a majority of participants had commercial insurance (76%). UPF accounted for an average of 51.3 ± 12.7% of participants’ daily total energy intake. Mean UPF intake was higher among patients who identified as Black or non-Hispanic, patients with public insurance, less than a high school education, a household income below the federal poverty level (all p-values < 0.001), patients with chronic hypertension (p = 0.02), and patients who delivered vaginally (p = 0.002). Patients with preterm birth, HDP, SGA infants, and fetal or neonatal demise all had significantly higher proportions of daily UPF intake compared to patients without these adverse outcomes. After adjusting for potential confounders, higher UPF intake remained significantly associated with preterm birth (AOR 1.11, 95% CI 1.02–1.21) and HDP (AOR 1.05, 95% CI 1.001–1.11). Conclusions: On average, more than half of participants’ daily energy intake was from UPF, and higher UPF intake correlated with several adverse pregnancy outcomes. Future efforts should focus on improving nutritional literacy regarding UPF consumption in pregnancy. Full article
Show Figures

Graphical abstract

12 pages, 237 KB  
Article
The House of Villafañe of Santiago del Molinillo: Hidalguía, Kinship, and Long-Term Social Reproduction Between Castile and Spanish America (15th–20th Centuries)
by Valentina Villafañe and Jorge Hugo Villafañe
Genealogy 2026, 10(1), 26; https://doi.org/10.3390/genealogy10010026 - 13 Feb 2026
Viewed by 158
Abstract
This article examines how minor noble houses in the Hispanic world sustained social status under economic constraint and changing institutional regimes. Using the House of Villafañe of Santiago del Molinillo (Kingdom of León) as a case study, it conceptualizes the Casa as a [...] Read more.
This article examines how minor noble houses in the Hispanic world sustained social status under economic constraint and changing institutional regimes. Using the House of Villafañe of Santiago del Molinillo (Kingdom of León) as a case study, it conceptualizes the Casa as a social, patrimonial, and symbolic formation rather than a strictly genealogical lineage. The study combines a long-duration perspective with microhistorical analysis and historical genealogy, drawing on notarial documentation, parish registers, population censuses, and litigation concerning hidalgo status in both Castilian and colonial settings. The findings show that the house’s continuity rested on adaptive strategies: the regulation of kinship, selective marriage alliances, flexible patrimonial arrangements, institutional participation, and the mobilization of symbolic resources such as lineage memory and public recognition of noble condition. The article further demonstrates that Atlantic mobility to colonial La Rioja and Cordova (Argentina) did not constitute a rupture, but extended established practices of social reproduction into new legal and social environments. The House of Villafañe emerges as a resilient collective actor that transformed structural constraints and geographic mobility into resources for long-term continuity, offering a productive scale for analyzing social reproduction and inequality in the Hispanic world. Full article
26 pages, 4636 KB  
Article
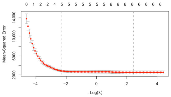
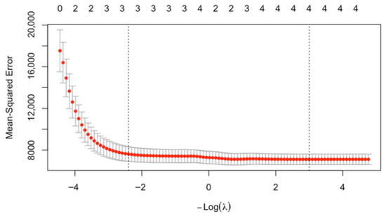
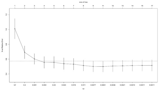
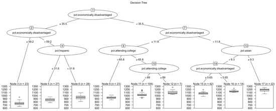
A Multifaceted Analysis of School-Level Factors for Average SAT Score Disparities Across Diverse Regions
by Margaret Liu and Wei Lu
Educ. Sci. 2026, 16(2), 289; https://doi.org/10.3390/educsci16020289 - 11 Feb 2026
Viewed by 434
Abstract
Prior research has consistently shown that students’ SAT scores are influenced by factors beyond academic ability, including socioeconomic background and ethnicity. Using aggregated school-level data from Massachusetts and New York City (NYC), this study assesses the quantitative relationships between average SAT scores and [...] Read more.
Prior research has consistently shown that students’ SAT scores are influenced by factors beyond academic ability, including socioeconomic background and ethnicity. Using aggregated school-level data from Massachusetts and New York City (NYC), this study assesses the quantitative relationships between average SAT scores and school-level demographics, academic preparation, and funding to inform education policy and equity efforts. Three analytical methods, multiple linear regression, relaxed Least Absolute Shrinkage and Selection Operator (LASSO), and decision trees, were applied sequentially to capture the linear and nonlinear associations. Across all three methods, socioeconomic disadvantage exhibited the strongest and most robust correlation of lower SAT scores, with racial composition and academic preparation identified as secondary factors. Schools with high percentages of Black, Hispanic, and low-income students tend to have lower average scores than schools with high percentages of White, Asian, and well-off students. Moreover, schools with higher college attendance rates and greater funding tend to exhibit higher average SAT scores. These findings represent school-level correlations rather than causal effects and indicate that SAT score disparities are closely intertwined with broader structural inequities already embedded within the K–12 education system. Accordingly, while targeted SAT preparation initiatives may offer modest benefits, meaningful reductions in observed disparities likely require broader policy interventions to expand equitable access to educational opportunities. Full article
Show Figures

Figure 1

Back to TopTop