Treatment Times and In-Hospital Mortality Among Patients with ST-Elevation Myocardial Infarction Throughout the Waves of the COVID-19 Pandemic: Lessons Learned
Abstract
1. Introduction
2. Materials and Methods
2.1. Data Sources and Collection
2.2. Study Period, Population, and Patient Selection
2.3. Outcomes and Covariates
2.4. Statistical Analysis
3. Results
3.1. Patient Population
3.2. Reperfusion Therapy
3.3. Time Metrics
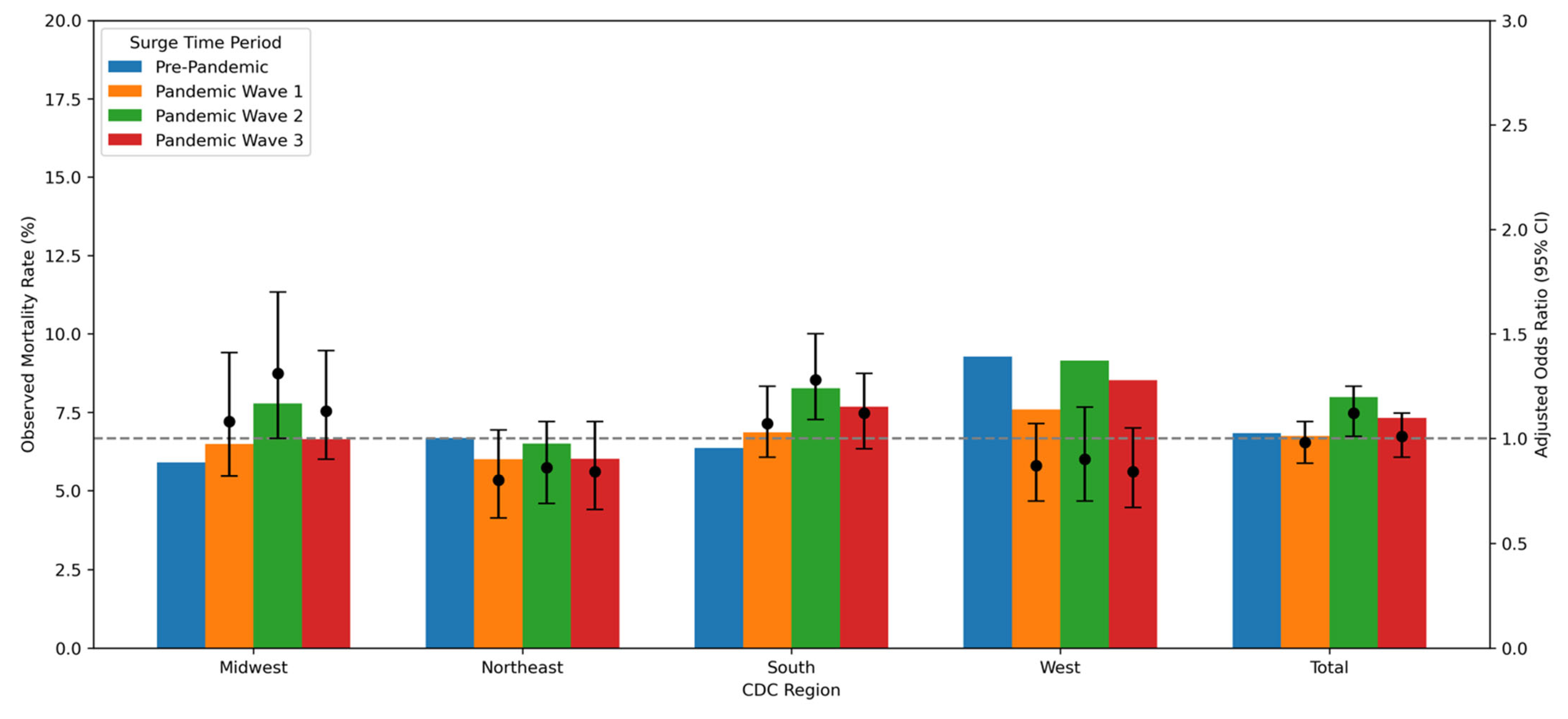
3.4. In-Hospital Mortality
4. Discussion
Limitations
5. Conclusions
Supplementary Materials
Author Contributions
Funding
Institutional Review Board Statement
Informed Consent Statement
Data Availability Statement
Conflicts of Interest
Abbreviations
| COVID-19 | Coronavirus disease of 2019 |
| STEMI | ST-elevation myocardial infarction |
| PCI | Percutaneous coronary intervention |
| EMS | Emergency medical services |
| ACS | Acute coronary syndrome |
References
- Pope, J.H.; Aufderheide, T.P.; Ruthazer, R.; Woolard, R.H.; Feldman, J.A.; Beshansky, J.R.; Griffith, J.L.; Selker, H.P. Missed Diagnoses of Acute Cardiac Ischemia in the Emergency Department. N. Engl. J. Med. 2000, 342, 1163–1170. [Google Scholar] [CrossRef] [PubMed]
- Krumholz, H.M. Where Have All the Heart Attacks Gone. New York Times, 6 April 2020.
- De Filippo, O.; D’aScenzo, F.; Angelini, F.; Bocchino, P.P.; Conrotto, F.; Saglietto, A.; Secco, G.G.; Campo, G.; Gallone, G.; Verardi, R.; et al. Reduced Rate of Hospital Admissions for ACS during Covid-19 Outbreak in Northern Italy. N. Engl. J. Med. 2020, 383, 88–89. [Google Scholar] [CrossRef]
- Hartnett, K.P.; Kite-Powell, A.; DeVies, J.; Coletta, M.A.; Boehmer, T.K.; Adjemian, J.; Gundlapalli, A.V.; National Syndromic Surveillance Program Community of Practice. Impact of the COVID-19 Pandemic on Emergency Department Visits—United States, January 1, 2019–May 30, 2020. MMWR Morb. Mortal. Wkly. Rep. 2020, 69, 699–704. [Google Scholar] [CrossRef] [PubMed]
- Pendyal, A.; Rothenberg, C.; Scofi, J.E.; Krumholz, H.M.; Safdar, B.; Dreyer, R.P.; Venkatesh, A.K. National Trends in Emergency Department Care Processes for Acute Myocardial Infarction in the United States, 2005 to 2015. J. Am. Heart Assoc. 2020, 9, e017208. [Google Scholar] [CrossRef] [PubMed]
- Lange, S.J.; Ritchey, M.D.; Goodman, A.B.; Dias, T.; Twentyman, E.; Fuld, J.; Schieve, L.A.; Imperatore, G.; Benoit, S.R.; Kite-Powell, A.; et al. Potential Indirect Effects of the COVID-19 Pandemic on Use of Emergency Departments for Acute Life-Threatening Conditions—United States, January–May 2020. MMWR Morb. Mortal. Wkly. Rep. 2020, 69, 795–800. [Google Scholar] [CrossRef] [PubMed]
- Baldi, E.; Sechi, G.M.; Mare, C.; Canevari, F.; Brancaglione, A.; Primi, R.; Klersy, C.; Palo, A.; Contri, E.; Ronchi, V.; et al. Out-of-Hospital Cardiac Arrest during the Covid-19 Outbreak in Italy. N. Engl. J. Med. 2020, 383, 496–498. [Google Scholar] [CrossRef]
- Woolf, S.H.; Chapman, D.A.; Sabo, R.T.; Weinberger, D.M.; Hill, L. Excess Deaths From COVID-19 and Other Causes, March–April 2020. JAMA 2020, 324, 510–513. [Google Scholar] [CrossRef]
- Jacobs, A.K.; Antman, E.M.; Faxon, D.P.; Gregory, T.; Solis, P. Development of Systems of Care for ST-Elevation Myocardial Infarction Patients. Circulation 2007, 116, 217–230. [Google Scholar] [CrossRef]
- Jacobs, A.K.; Ali, M.; Best, P.J.; Bieniarz, M.; Cohen, M.G.; French, W.J.; Fonarow, G.C.; Granger, C.B.; Goyal, A.; Henry, T.D.; et al. Temporary Emergency Guidance to STEMI Systems of Care During the COVID-19 Pandemic. Circulation 2020, 142, 199–202. [Google Scholar] [CrossRef]
- Get with the Guidelines. Coronary Artery Disease. Available online: https://www.heart.org/en/professional/quality-improvement/get-with-the-guidelines/get-with-the-guidelines-coronary-artery-disease (accessed on 2 July 2025).
- Granger, C.B.; Bates, E.R.; Jollis, J.G.; Antman, E.M.; Nichol, G.; O’Connor, R.E.; Gregory, T.; Roettig, M.L.; Peng, S.A.; Ellrodt, G.; et al. Improving Care of STEMI in the United States 2008 to 2012. J. Am. Heart Assoc. 2019, 8, e008096. [Google Scholar] [CrossRef]
- Osho, A.; Fernandes, M.F.; Poudel, R.; de Lemos, J.; Hong, H.; Zhao, J.; Li, S.; Thomas, K.; Kikuchi, D.S.; Zegre-Hemsey, J.; et al. Race-Based Differences in ST-Segment–Elevation Myocardial Infarction Process Metrics and Mortality From 2015 Through 2021: An Analysis of 178 062 Patients from the American Heart Association Get with the Guidelines–Coronary Artery Disease Registry. Circulation 2023, 148, 229–240. [Google Scholar] [CrossRef] [PubMed]
- CDC Museum. COVID-19 Timeline. Available online: https://www.cdc.gov/museum/timeline/covid19.html (accessed on 18 October 2024).
- Garcia, S.; Dehghani, P.; Grines, C.; Davidson, L.; Nayak, K.R.; Saw, J.; Waksman, R.; Blair, J.; Akshay, B.; Garberich, R.; et al. Initial Findings from the North American COVID-19 Myocardial Infarction Registry. J. Am. Coll. Cardiol. 2021, 77, 1994–2003. [Google Scholar] [CrossRef] [PubMed]
- Dehghani, P.; Singh, J.; Mancini, G.J.; Stanberry, L.; Bergstedt, S.; Madan, M.; Benziger, C.P.; Ghasemzadeh, N.; Bortnick, A.; Kankaria, R.; et al. Angiographic characteristics of patients with STEMI and COVID-19: Insights from NACMI registry. Am. Heart J. 2024, 271, 112–122. [Google Scholar] [CrossRef] [PubMed]
- Bhatt, A.S.; Varshney, A.S.; Goodrich, E.L.; Gong, J.; Ginder, C.; Senman, B.C.; Johnson, M.; Butler, K.; Woolley, A.E.; de Lemos, J.A.; et al. Epidemiology and Management of ST-Segment–Elevation Myocardial Infarction in Patients with COVID-19: A Report from the American Heart Association COVID-19 Cardiovascular Disease Registry. J. Am. Heart Assoc. 2022, 11, e024451. [Google Scholar] [CrossRef]
- Wadhera, R.K.; Shen, C.; Gondi, S.; Chen, S.; Kazi, D.S.; Yeh, R.W. Cardiovascular Deaths During the COVID-19 Pandemic in the United States. J. Am. Coll. Cardiol. 2021, 77, 159–169. [Google Scholar] [CrossRef]
- Garcia, S.; Dehghani, P.; Stanberry, L.; Grines, C.; Patel, R.A.; Nayak, K.R.; Singh, A.; Htun, W.W.; Kabour, A.; Ghasemzadeh, N.; et al. Trends in Clinical Presentation, Management, and Outcomes of STEMI in Patients with COVID-19. J. Am. Coll. Cardiol. 2022, 79, 2236–2244. [Google Scholar] [CrossRef]
- Chew, N.W.; Ow, Z.G.W.; Teo, V.X.Y.; Heng, R.R.Y.; Ng, C.H.; Lee, C.-H.; Low, A.F.; Chan, M.Y.-Y.; Yeo, T.-C.; Tan, H.-C.; et al. The Global Effect of the COVID-19 Pandemic on STEMI Care: A Systematic Review and Meta-analysis. Can. J. Cardiol. 2021, 37, 1450–1459. [Google Scholar] [CrossRef]
- Malhi, N.; Moghaddam, N.; Hosseini, F.; Singer, J.; Lee, T.; Turgeon, R.D.; Wong, G.C.; Fordyce, C.B. Care and Outcomes of ST-Segment Elevation Myocardial Infarction Across Multiple COVID-19 Waves. Can. J. Cardiol. 2022, 38, 783–791. [Google Scholar] [CrossRef]
- Steege, N.; Crandell, J.; DeVon, H.A.; Rosamond, W.D.; Wong, E.; Chrownoski, K.; Grover, J.; Zègre-Hemsey, J.K. Differences in ischemic burden features and prehospital time intervals in patients transported by ambulance to the emergency department with suspected acute coronary syndrome pre and during the SARS-CoV-2 Pandemic. Int. Paramed. Pract. 2024, 14, 2–7. [Google Scholar]
- Gluckman, T.J.; Wilson, M.A.; Chiu, S.-T.; Penny, B.W.; Chepuri, V.B.; Waggoner, J.W.; Spinelli, K.J. Case Rates, Treatment Approaches, and Outcomes in Acute Myocardial Infarction During the Coronavirus Disease 2019 Pandemic. JAMA Cardiol. 2020, 5, 1419–1424. [Google Scholar] [CrossRef]
- De Luca, G.; Algowhary, M.; Uguz, B.; Oliveira, D.C.; Ganyukov, V.; Busljetik, O.; Cercek, M.; Jensen, L.O.; Loh, P.H.; Calmac, L.; et al. Age-Related Effects of COVID-19 Pandemic on Mechanical Reperfusion and 30-Day Mortality for STEMI: Results of the ISACS-STEMI COVID-19 Registry. J. Clin. Med. 2023, 12, 2116. [Google Scholar] [CrossRef]
- Lansky, A.J.; Ng, V.G.; Maehara, A.; Weisz, G.; Lerman, A.; Mintz, G.S.; De Bruyne, B.; Farhat, N.; Niess, G.; Jankovic, I.; et al. Gender and the Extent of Coronary Atherosclerosis, Plaque Composition, and Clinical Outcomes in Acute Coronary Syndromes. JACC Cardiovasc. Imaging 2012, 5, S62–S72. [Google Scholar] [CrossRef]
- Kataoka, Y.; Puri, R.; Hammadah, M.; Duggal, B.; Uno, K.; Kapadia, S.R.; Tuzcu, E.M.; Nissen, S.E.; King, P.; Nicholls, S.J. Sex Differences in Nonculprit Coronary Plaque Microstructures on Frequency-Domain Optical Coherence Tomography in Acute Coronary Syndromes and Stable Coronary Artery Disease. Circ. Cardiovasc. Imaging 2016, 9, e004506. [Google Scholar] [CrossRef] [PubMed]
- De Luca, G.; Manzo-Silberman, S.; Algowhary, M.; Uguz, B.; Oliveira, D.C.; Ganyukov, V.; Busljetik, O.; Cercek, M.; Okkels, L.; Loh, P.H.; et al. Gender Difference in the Effects of COVID-19 Pandemic on Mechanical Reperfusion and 30-Day Mortality for STEMI: Results of the ISACS-STEMI COVID-19 Registry. J. Clin. Med. 2023, 12, 896. [Google Scholar] [CrossRef]
- Quesada, O.; Van Hon, L.; Yildiz, M.; Madan, M.; Sanina, C.; Davidson, L.; Htun, W.W.; Saw, J.; Garcia, S.; Dehghani, P.; et al. Sex Differences in Clinical Characteristics, Management Strategies, and Outcomes of STEMI With COVID-19: NACMI Registry. J. Soc. Cardiovasc. Angiogr. Interv. 2022, 1, 100360. [Google Scholar] [CrossRef] [PubMed]
- Jollis, J.G.; Granger, C.B.; Zègre-Hemsey, J.K.; Henry, T.D.; Goyal, A.; Tamis-Holland, J.E.; Roettig, M.L.; Ali, M.J.; French, W.J.; Poudel, R.; et al. Treatment Time and In-Hospital Mortality Among Patients With ST-Segment Elevation Myocardial Infarction, 2018–2021. JAMA 2022, 328, 2033–2040. [Google Scholar] [CrossRef]
- Jollis, J.G.; Al-Khalidi, H.R.; Roettig, M.L.; Berger, P.B.; Corbett, C.C.; Doerfler, S.M.; Fordyce, C.B.; Henry, T.D.; Hollowell, L.; Magdon-Ismail, Z.; et al. Impact of Regionalization of ST-Segment–Elevation Myocardial Infarction Care on Treatment Times and Outcomes for Emergency Medical Services–Transported Patients Presenting to Hospitals With Percutaneous Coronary Intervention: Mission: Lifeline Accelerator-2. Circulation 2018, 137, 376–387. [Google Scholar] [CrossRef] [PubMed]
- Hannan, E.L.; Wu, Y.; Cozzens, K.; Friedrich, M.; Tamis-Holland, J.; Jacobs, A.K.; Ling, F.S.; King, S.B.; Venditti, F.J.; Walford, G.; et al. Percutaneous Coronary Intervention for ST-Elevation Myocardial Infarction Before and During COVID in New York. Am. J. Cardiol. 2021, 142, 25–34. [Google Scholar] [CrossRef]
- Park, Y.M.; Kearney, G.D.; Wall, B.; Jones, K.; Howard, R.J.; Hylock, R.H. COVID-19 Deaths in the United States: Shifts in Hot Spots over the Three Phases of the Pandemic and the Spatiotemporally Varying Impact of Pandemic Vulnerability. Int. J. Environ. Res. Public Health 2021, 18, 8987. [Google Scholar] [CrossRef]
- Mallapaty, S. The pathogens that could spark the next pandemic. Nature 2024, 632, 488. [Google Scholar] [CrossRef]


| Variable | Pre-Pandemic: 1 October 2019–29 February 2020 (N = 13,603) | Pandemic Wave 1: 1 March 2020–31 October 2020 (N = 21,026) | Pandemic Wave 2: 1 November 2020–31 March 2021 (N = 13,627) | Pandemic Wave 3: 1 April 2021–31 December 2021 (N = 24,260) | Total (N = 72,516) | p-Value (Pre-Pandemic vs. Wave 1) | p-Value (Pre-Pandemic vs. Wave 2) | p-Value (Pre-Pandemic vs. Wave 3) |
|---|---|---|---|---|---|---|---|---|
| Age, years (median, IQR) | 63.0 (17) | 63.0 (18) | 63.0 (18) | 63.0 (18) | 63.0 (18) | 0.309 | 0.958 | 0.963 |
| Male (n, %) | 9563 (70.3%) | 14,993 (71.3%) | 9662 (70.9%) | 17,147 (70.7%) | 51,365 (70.8%) | 0.132 | 0.551 | 0.739 |
| Female (n, %) | 4040 (29.7%) | 6033 (28.7%) | 3965 (29.1%) | 7113 (29.3%) | 21,151 (29.2%) | 0.045 * | 0.281 | 0.444 |
| Race/Ethnicity (n, %) | ||||||||
| Hispanic | 1023 (7.5%) | 1541 (7.3%) | 1071 (7.9%) | 1960 (8.1%) | 5595 (7.7%) | 0.520 | 0.304 | 0.055 |
| Non-Hispanic White | 10,024 (73.7%) | 15,640 (74.4%) | 9903 (72.7%) | 17,355 (71.5%) | 52,922 (73.0%) | 0.153 | 0.060 | <0.001 |
| Black | 1525 (11.2%) | 2260 (10.7%) | 1552 (11.4%) | 2878 (11.9%) | 8215 (11.3%) | 0.184 | 0.656 | 0.060 |
| Asian | 491 (3.6%) | 739 (3.5%) | 528 (3.9%) | 1021 (4.2%) | 2779 (3.8%) | 0.663 | 0.262 | 0.005 * |
| American Indian/Alaskan Native | 78 (0.6%) | 145 (0.7%) | 83 (0.6%) | 121 (0.5%) | 427 (0.6%) | 0.211 | 0.760 | 0.374 |
| Native Hawaiian/Pacific Islander | 31 (0.2%) | 52 (0.2%) | 36 (0.3%) | 86 (0.4%) | 205 (0.3%) | 0.804 | 0.630 | 0.042 * |
| Unable to Determine/Untold | 431 (3.2%) | 649 (3.1%) | 454 (3.3%) | 839 (3.5%) | 2373 (3.3%) | 0.692 | 0.468 | 0.141 |
| Social Vulnerability Index (SVI) (median, IQR) | 0.5 (0.4) | 0.5 (0.4) | 0.5(0.4) | 0.5 (0.4) | 0.5 (0.4) | 0.964 | 0.137 | 0.286 |
| CDC Region (n, %) | ||||||||
| Midwest | 2000 (14.7%) | 2942 (14.0%) | 1787 (13.1%) | 3325 (13.7%) | 10,054 (13.9%) | 0.067 | <0.001 * | 0.008 * |
| Northeast | 3007 (22.1%) | 4482 (21.3%) | 2876 (21.1%) | 5184 (21.4%) | 15,549 (21.4%) | 0.084 | 0.047 * | 0.097 |
| South | 6382 (46.9%) | 10,031 (47.7%) | 6533 (47.9%) | 11,543 (47.6%) | 34,489 (47.6%) | 0.153 | 0.092 | 0.218 |
| West | 2177 (16.0%) | 3481 (16.6%) | 2384 (17.5%) | 4107 (16.9%) | 12,149 (16.8%) | 0.180 | 0.001 * | 0.021 * |
| Missing | 37 (0.3%) | 90 (0.4%) | 47 (0.3%) | 101 (0.4%) | 275 (0.4%) | 0.024 * | <0.001 * | 0.032 * |
| Insurance Status (n, %) | ||||||||
| Medicare | 3709 (27.3%) | 5291 (25.2%) | 3444 (25.3%) | 6051 (24.9%) | 18,495 (25.5%) | <0.001 * | <0.001 * | <0.001 * |
| Medicaid | 1387 (10.2%) | 2307 (11.0%) | 1587 (11.6%) | 2978 (12.3%) | 8259 (11.4%) | 0.023 * | <0.001 * | <0.001 * |
| Private/VA/Champus/Other | 6241 (45.9%) | 9990 (47.5%) | 6404 (47.0%) | 11,269 (46.5%) | 33,904 (46.8%) | 0.003 * | 0.066 | 0.290 |
| Self-pay/No Insurance | 1025 (7.5%) | 1572 (7.5%) | 995 (7.3%) | 1735 (7.2%) | 5327 (7.3%) | 0.856 | 0.477 | 0.175 |
| Other/Not Documented/Unable to Determine | 1241 (9.1%) | 1866 (8.9%) | 1197 (8.8%) | 2227 (9.2%) | 6531 (9.0%) | 0.441 | 0.338 | 0.868 |
| Medical History (n, %) | ||||||||
| Cerebrovascular disease | 696 (5.1%) | 1188 (5.7%) | 806 (5.9%) | 1532 (6.3%) | 4222 (5.8%) | 0.102 | 0.016 * | <0.001 * |
| Diabetes mellitus | 2864 (21.1%) | 4749 (22.6%) | 3233 (23.7%) | 5773 (23.8%) | 16,619 (22.9%) | 0.004 * | <0.001 * | <0.001 * |
| Hypertension | 6352 (46.7%) | 10,941 (52.0%) | 7210 (52.9%) | 13,091 (54.0%) | 37,594 (51.8%) | <0.001 * | <0.001 * | <0.001 * |
| Heart failure | 495 (3.6%) | 980 (4.7%) | 676 (5.0%) | 1241 (5.1%) | 3392 (4.7%) | <0.001 * | <0.001 * | <0.001 * |
| Prior MI | 1401 (10.3%) | 2410 (11.5%) | 1495 (11.0%) | 2839 (11.7%) | 8145 (11.2%) | 0.003 * | 0.199 | <0.001 * |
| Prior CABG | 447 (3.3%) | 725 (3.4%) | 448 (3.3%) | 791 (3.3%) | 2411 (3.3%) | 0.718 | 1.000 | 0.991 |
| Prior PCI | 1596 (11.7%) | 2803 (13.3%) | 1753 (12.9%) | 3276 (13.5%) | 9428 (13.0%) | <0.001 * | 0.018 | <0.001 * |
| SARS-CoV-2 infection at admission | 0 (0%) | 219 (1.0%) | 380 (2.8%) | 310 (1.3%) | 909 (1.3%) | <0.001 * | <0.001 * | <0.001 * |
| Active or prior Smoking | 5082 (37.4%) | 7785 (37.0%) | 4903 (36.0%) | 8751 (36.1%) | 26,521 (36.6%) | 0.991 | 0.028 * | <0.001 * |
| Patient characteristics on FMC (n, %) | ||||||||
| Cardiac Arrest Prior to Arrival | 1286 (9.5%) | 2072 (9.9%) | 1395 (10.2%) | 2426 (10.0%) | 7179 (9.9%) | 0.959 | 0.598 | 0.848 |
| Heart failure on FMC | 1134 (8.3%) | 1747 (8.3%) | 1303 (9.6%) | 2353 (9.7%) | 6537 (9.0%) | 0.998 | <0.001 * | <0.001 * |
| Cardiogenic Shock on FMC | 1016 (7.5%) | 1599 (7.6%) | 1104 (8.1%) | 2010 (8.3%) | 5729 (7.9%) | 0.837 | 0.090 | 0.007 * |
| Left Ventricular Ejection Fraction | ||||||||
| <30% | 1158 (8.5%) | 1933 (9.2%) | 1291 (9.5%) | 2396 (9.9%) | 6778 (9.3%) | 0.032 * | 0.006 * | <0.001 * |
| 30–39% | 1934 (14.2%) | 3070 (14.6%) | 2072 (15.2%) | 3457 (14.2%) | 10,533 (14.5%) | 0.329 | 0.022 * | 0.943 |
| 40–49% | 2971 (21.8%) | 4698 (22.3%) | 2988 (21.9%) | 5363 (22.1%) | 16,020 (22.1%) | 0.277 | 0.875 | 0.558 |
| 50–59% | 4068 (29.9%) | 6150 (29.2%) | 3883 (28.5%) | 7171 (29.6%) | 21,272 (29.3%) | 0.195 | 0.011 * | 0.487 |
| 60–69% | 2227 (16.4%) | 3284 (15.6%) | 2094 (15.4%) | 3692 (15.2%) | 11,297 (15.6%) | 0.063 | 0.024 * | 0.003 * |
| 70%+ | 72 (0.5%) | 148 (0.7%) | 94 (0.7%) | 154 (0.6%) | 468 (0.6%) | 0.059 | 0.104 | 0.227 |
| Transportation characteristics (n, %) | ||||||||
| EMS (ambulance and air) | 6386 (46.9%) | 10,397 (49.4%) | 6660 (48.9%) | 11,851 (48.9%) | 35,294 (48.7%) | <0.001 * | 0.002 * | <0.001 * |
| Walk-in | 3686 (27.1%) | 5212 (24.8%) | 3431 (25.2%) | 6091 (25.1%) | 18,420 (25.4%) | <0.001 * | <0.001 | <0.001 * |
| Transfer | 3093 (22.7%) | 4706 (22.4%) | 3092 (22.7%) | 5488 (22.6%) | 16,379 (22.6%) | 0.447 | 0.937 | 0.806 |
| Prehospital ECG obtained (EMS) | 5449 (85.3%) | 9021 (86.8%) | 5795 (87.0%) | 10,429 (88.0%) | 30,694 (87.0%) | 0.009 * | 0.006 * | <0.001 * |
| Reperfusion (n, %) | ||||||||
| Fibrinolytic Therapy | 700 (5.1%) | 1062 (5.1%) | 697 (5.1%) | 1197 (4.9%) | 3656 (5.0%) | 0.931 | 1.000 | 0.739 |
| PCI | 11,870 (87.3%) | 18,319 (87.1%) | 11,772 (86.4%) | 21,031 (86.7%) | 62,992 (86.9%) | 0.991 | 0.072 | 0.393 |
| No PCI and no fibrinolysis | 1157 (8.5%) | 1737 (8.3%) | 1250 (9.2%) | 2137 (8.8%) | 6281 (8.7%) | 0.764 | 0.105 | 0.495 |
| Documented non-system delay (need for additional PPE for suspected infectious disease) | 0 (0.0%) | 836 (4.0%) | 429 (3.1%) | 281 (1.2%) | 1550 (2.1%) | <0.001 * | <0.001 * | <0.001 * |
| Discharge Disposition (n, %) | ||||||||
| In-hospital raw mortality | 929 (6.8%) | 1420 (6.8%) | 1087 (8.0%) | 1774 (7.3%) | 5210 (7.2%) | 0.963 | 0.001 * | 0.216 |
| Variable | Pre-Pandemic: 1 October 2019–29 February 2020 (N = 13,603) | Pandemic Wave 1: 1 March 2020–31 October 2020 (N = 21,026) | Pandemic Wave 2: 1 November 2020–31 March 2021 (N = 13,627) | Pandemic Wave 3: 1 April 2021–31 December 2021 (N = 24,260) | p-Value (Pre-Pandemic vs. Wave 1) | p-Value (Pre-Pandemic vs. Wave 2) | p-Value (Pre-Pandemic vs. Wave 3) |
|---|---|---|---|---|---|---|---|
| First medical contact to Cath Lab activation (EMS) (minutes) (N = 25,899) (median, IQR) (receiving center only) | 25.0 (25.0) | 27.0 (26.0) | 27.0 (26.0) | 27.0 (27.0) | <0.001 * | 0.005 * | 0.002 * |
| Doo- to-Cath Lab activation (Walk-in) (minutes) (N = 14,047) (median, IQR) (receiving center only) | 15.0 (19.0) | 15.0 (21.0) | 16.0 (22.0) | 16.0 (23.0) | 1.000 | 0.167 | 0.034 * |
| First medical contact to device (EMS) (minutes) (N = 29,125) (median, IQR) (receiving center only) | 86.0 (38.0) | 90.0 (37.0) | 90.0 (38.0) | 89.0 (38.0) | <0.001 * | <0.001 * | <0.001 * |
| First medical contact to device ≤ 90 min (EMS) (n, %) (receiving center only) | 3043 (57.5) | 4419 (51.4) | 2814 (51.6) | 5170 (52.9) | <0.001 * | <0.001 * | <0.001 * |
| Door-to-device (Walk-in) (minutes) (N = 16,255) (median, IQR) (receiving center only) | 74.0 (36.0) | 76.0 (34.0) | 77.0 (39.0) | 77.0 (38.0) | 0.001 * | <0.001 * | <0.001 * |
| Door-to-device ≤ 90 min (Walk-in) (n, %) (receiving center only) | 2298 (71.8) | 3221 (70.1) | 2062 (67.4) | 3690 (68.4) | 0.113 | <0.001 * | <0.001 * |
| Symptom onset-to-device (EMS) (N = 25,522) (minutes) (median, IQR) (receiving center only) | 147.0 (115.0) | 154.0 (118.0) | 154.0 (124.0) | 153.0 (121.0) | <0.001 * | <0.001 * | <0.001 * |
| Symptom onset-to-device (Walk-in) (N = 12,563) (median, IQR) (receiving center only) | 193.0 (226.0) | 201.0 (231.5) | 209 (243.3) | 209.0 (245.8) | 0.016 * | <0.001 * | <0.001 * |
| First medical contact to ECG (EMS) (N = 30,339) (minutes) (median, IQR) (referral and receiving centers) | 7.0 (10.0) | 7.0 (9.0) | 7.0 (9.0) | 7.0 (9.0) | 1.000 | 1.000 | 0.056 |
| Door-to-ECG (Walk-in) (minutes) (N = 16,800) (median, IQR) (referral and receiving centers) | 7.0 (7.0) | 7.0 (7.0) | 7.0 (7.0) | 7.0 (8.0) | 0.197 | <0.001 * | <0.001 * |
| Door-to-ECG ≤ 10 min (Walk-in) (n, %) (referral and receiving centers) | 2483 (74.1) | 3426 (72.1) | 2188 (69.6) | 3814 (68.7) | 0.058 | <0.001 * | <0.001 * |
| Emergency department time (EMS) (N = 29,389) (minutes) (median, IQR) (referral and receiving centers) | 29.0 (33.0) | 32.0 (33.0) | 31.0 (32.0) | 31.0 (33.0) | <0.001 * | <0.001 * | <0.001 * |
| Emergency department time ≤ 30 min (EMS) (n, %) (referral and receiving centers) | 2758 (52.3) | 4113 (47.3) | 2736 (49.0) | 4729 (48.1) | <0.001 * | <0.001 * | <0.001 * |
| Emergency department time (Walk-in) (minutes) (N = 16,622) (median, IQR) (referral and receiving centers) | 47.0 (34.0) | 49.0 (35.0) | 49.0 (39.0) | 49.0 (40) | 0.027 * | <0.001 * | <0.001 * |
| Emergency department time ≤ 30 min (Walk-in) (n, %) (referral and receiving centers) | 662 (20.1) | 824 (17.5) | 549 (17.7) | 1013 (18.4) | 0.003 * | 0.019 * | 0.059 |
| Unadjusted | Adjusted for Age, Race/Ethnicity, Cardiac Arrest Prior to Arrival, Heart Failure on FMC, and Cardiogenic Shock on FMC | Adjusted for Age, Race/Ethnicity, Diabetes Mellitus, Hypertension, Cardiac Arrest Prior to Arrival, Heart Failure on FMC, LVF, Cardiogenic Shock on FMC, Insurance Status, and Social Vulnerability Index | ||||
|---|---|---|---|---|---|---|
| In-Hospital Mortality (Expired at Discharge) | Odds Ratio [95% CI] | p-Value | Odds Ratio [95% CI] | p-Value | Odds Ratio [95% CI] | p-Value |
| Pre-pandemic (reference) | ref | ref | ref | ref | ref | ref |
| Pandemic wave 1 | 0.99 [0.90 1.08] | 0.079 | 0.99 [0.89 1.10] | 0.833 | 0.98 [0.88 1.08] | 0.672 |
| Pandemic wave 2 | 1.18 [1.08 1.30] | <0.001 * | 1.15 [1.03 1.28] | 0.009 * | 1.12 [1.01 1.25] | 0.030 * |
| Pandemic wave 3 | 1.08 [0.99 1.17] | 0.089 | 1.03 [0.93 1.14] | 0.550 | 1.01 [0.91 1.12] | 0.880 |
| CDC Region | In-Hospital Mortality (n) | STEMI (n) | Proportion of In-Hospital Mortality | p-Value |
|---|---|---|---|---|
| Northeast (reference) | 969 | 15,549 | 6.2% | ref |
| Midwest | 669 | 10,054 | 6.7% | 0.186 |
| South | 2420 | 34,489 | 7.0% | 0.001 * |
| West | 1034 | 12,149 | 8.5% | <0.001 * |
| Total | 5210 | 72,516 | 7.2% |
Disclaimer/Publisher’s Note: The statements, opinions and data contained in all publications are solely those of the individual author(s) and contributor(s) and not of MDPI and/or the editor(s). MDPI and/or the editor(s) disclaim responsibility for any injury to people or property resulting from any ideas, methods, instructions or products referred to in the content. |
© 2025 by the authors. Licensee MDPI, Basel, Switzerland. This article is an open access article distributed under the terms and conditions of the Creative Commons Attribution (CC BY) license (https://creativecommons.org/licenses/by/4.0/).
Share and Cite
Zègre-Hemsey, J.K.; Goyal, A.; Poudel, R.; Thomas, K.; Ali, M.J.; Best, P.; Bieniarz, M.; Fonarow, G.C.; French, W.; Granger, C.B.; et al. Treatment Times and In-Hospital Mortality Among Patients with ST-Elevation Myocardial Infarction Throughout the Waves of the COVID-19 Pandemic: Lessons Learned. COVID 2025, 5, 114. https://doi.org/10.3390/covid5080114
Zègre-Hemsey JK, Goyal A, Poudel R, Thomas K, Ali MJ, Best P, Bieniarz M, Fonarow GC, French W, Granger CB, et al. Treatment Times and In-Hospital Mortality Among Patients with ST-Elevation Myocardial Infarction Throughout the Waves of the COVID-19 Pandemic: Lessons Learned. COVID. 2025; 5(8):114. https://doi.org/10.3390/covid5080114
Chicago/Turabian StyleZègre-Hemsey, Jessica K., Abhinav Goyal, Remy Poudel, Kathie Thomas, Murtuza J. Ali, Patricia Best, Mark Bieniarz, Gregg C. Fonarow, William French, Christopher B. Granger, and et al. 2025. "Treatment Times and In-Hospital Mortality Among Patients with ST-Elevation Myocardial Infarction Throughout the Waves of the COVID-19 Pandemic: Lessons Learned" COVID 5, no. 8: 114. https://doi.org/10.3390/covid5080114
APA StyleZègre-Hemsey, J. K., Goyal, A., Poudel, R., Thomas, K., Ali, M. J., Best, P., Bieniarz, M., Fonarow, G. C., French, W., Granger, C. B., Henry, T. D., Hong, H., Jollis, J., Redlener, M., Spier, T., Stone, H., Wahab, F., Wang, L., & Jacobs, A. K., on behalf of the American Heart Association’s Mission: Lifeline Systems of Care Advisory Working Group. (2025). Treatment Times and In-Hospital Mortality Among Patients with ST-Elevation Myocardial Infarction Throughout the Waves of the COVID-19 Pandemic: Lessons Learned. COVID, 5(8), 114. https://doi.org/10.3390/covid5080114

