Sign in to use this feature.

Years

Between: -

Subjects

remove_circle_outline
remove_circle_outline
remove_circle_outline
remove_circle_outline
remove_circle_outline
remove_circle_outline
remove_circle_outline
remove_circle_outline
remove_circle_outline

Journals

remove_circle_outline
remove_circle_outline
remove_circle_outline
remove_circle_outline
remove_circle_outline
remove_circle_outline
remove_circle_outline
remove_circle_outline
remove_circle_outline
remove_circle_outline

Article Types

Countries / Regions

remove_circle_outline
remove_circle_outline
remove_circle_outline
remove_circle_outline
remove_circle_outline

Search Results (820)

Search Parameters:
Keywords = High-frequency sound

Order results
Result details
Results per page
Select all
Export citation of selected articles as:
19 pages, 2543 KB  
Article
Multisensory Interactions in Greenway Plazas of Differing Openness and Effects on User Behaviors
by Zhaohui Peng, Wenping Liu, Mingjun Teng, Yangyang Zhang, Abdul Baess Keyhani and Pengcheng Wang
Urban Sci. 2026, 10(1), 60; https://doi.org/10.3390/urbansci10010060 - 18 Jan 2026
Viewed by 39
Abstract
Spatial openness affects the subjective evaluation of soundscape, landscape, and thermal perceptions, leading to various restoration effects and recreational behaviors. However, the literature lacks studies investigating the effects of multisensory interactions under different levels of spatial openness in plazas on users’ behaviors in [...] Read more.
Spatial openness affects the subjective evaluation of soundscape, landscape, and thermal perceptions, leading to various restoration effects and recreational behaviors. However, the literature lacks studies investigating the effects of multisensory interactions under different levels of spatial openness in plazas on users’ behaviors in urban greenways. Thus, this study contributes to the enhancement of recreational experiences and the environmental design of urban greenways by examining the interaction between multisensory evaluations and recreational behaviors in greenway plazas with different levels of spatial openness. Three types of plazas (enclosed, semi-enclosed, open) were selected along an urban greenway to analyze interactions through in situ measurements, questionnaires, and behavior observation. The results showed that people rated the environment as the quietest and coolest in enclosed plazas, although the sound pressure level of these plazas was the highest. Furthermore, the visual evaluation (VE) was mostly correlated with acoustic evaluation (AE) in plazas with high openness, while the correlation effect between AE and thermal evaluation (TE) was only significant in enclosed plazas. In other words, AE was the key factor targeting the improvement in comfort in greenway plazas. Secondly, improving AE was more effective for stimulating the frequency of interactive activities in enclosed plazas, compared to improving TE. However, AE had a negative effect on the time that people were willing to spend on interactive activities in semi-enclosed plazas. Finally, these findings provide corresponding strategies for creating comfortable audio, visual, and thermal environments in greenway plazas with different levels of openness, as well as strategies for enhancing the recreational experiences of visitors. Full article
(This article belongs to the Section Urban Governance for Health and Well-Being)
Show Figures

Figure 1

14 pages, 2435 KB  
Article
Cetaceans Change Their Acoustic Behavior During the Airgun Noise of Seismic Surveys
by Israel Maciel, Rodrigo Tardin, Sergio Carvalho Moreira, Gabriel Melo-Santos, Guilherme Maricato and Maria Alice S. Alves
J. Mar. Sci. Eng. 2026, 14(2), 181; https://doi.org/10.3390/jmse14020181 - 15 Jan 2026
Viewed by 601
Abstract
Seismic surveys introduce high levels of noise into the soundscape. Thus, a major concern is the effect of these noise levels on animal communication, especially for species with high hearing acuity, such as cetaceans. We evaluated the effects of airgun pulses of seismic [...] Read more.
Seismic surveys introduce high levels of noise into the soundscape. Thus, a major concern is the effect of these noise levels on animal communication, especially for species with high hearing acuity, such as cetaceans. We evaluated the effects of airgun pulses of seismic surveys on the acoustic behavior of humpback whales (Megaptera novaeangliae) and pantropical spotted dolphins (Stenella attenuata) in the two most important basins for oil and gas off Brazil. We detect the presence of airgun pulses and measure sound pressure levels (SPL) to evaluate whether SPL changed the acoustic parameters of cetacean vocalizations. Airgun pulses increased the SPL by 17%. This changes acoustic parameters differently: whales reduced call frequency and duration, while dolphins increased these parameters. In both cases, responses may be related to physiological limitations in sound modulation of each species. This was the first report on the impacts of seismic surveys on cetaceans’ communications in Brazil and the first for the pantropical spotted dolphin on this topic in the world. Impacts vary with the frequency and duration of emissions, indicating species-specific acoustic responses that depend on airgun noise characteristics. Whales cannot make efficient adjustments at higher or lower frequencies, and dolphins cannot adjust at lower frequencies. These results are important for discussing the effects of airgun noise on cetacean communication. Full article
Show Figures

Figure 1

18 pages, 1419 KB  
Review
How the Vestibular Labyrinth Encodes Air-Conducted Sound: From Pressure Waves to Jerk-Sensitive Afferent Pathways
by Leonardo Manzari
J. Otorhinolaryngol. Hear. Balance Med. 2026, 7(1), 5; https://doi.org/10.3390/ohbm7010005 - 14 Jan 2026
Viewed by 264
Abstract
Background/Objectives: The vestibular labyrinth is classically viewed as a sensor of low-frequency head motion—linear acceleration for the otoliths and angular velocity/acceleration for the semicircular canals. However, there is now substantial evidence that air-conducted sound (ACS) can also activate vestibular receptors and afferents in [...] Read more.
Background/Objectives: The vestibular labyrinth is classically viewed as a sensor of low-frequency head motion—linear acceleration for the otoliths and angular velocity/acceleration for the semicircular canals. However, there is now substantial evidence that air-conducted sound (ACS) can also activate vestibular receptors and afferents in mammals and other vertebrates. This sound sensitivity underlies sound-evoked vestibular-evoked myogenic potentials (VEMPs), sound-induced eye movements, and several clinical phenomena in third-window pathologies. The cellular and biophysical mechanisms by which a pressure wave in the cochlear fluids is transformed into a vestibular neural signal remain incompletely integrated into a single framework. This study aimed to provide a narrative synthesis of how ACS activates the vestibular labyrinth, with emphasis on (1) the anatomical and biophysical specializations of the maculae and cristae, (2) the dual-channel organization of vestibular hair cells and afferents, and (3) the encoding of fast, jerk-rich acoustic transients by irregular, striolar/central afferents. Methods: We integrate experimental evidence from single-unit recordings in animals, in vitro hair cell and calyx physiology, anatomical studies of macular structure, and human clinical data on sound-evoked VEMPs and sound-induced eye movements. Key concepts from vestibular cellular neurophysiology and from the physics of sinusoidal motion (displacement, velocity, acceleration, jerk) are combined into a unified interpretative scheme. Results: ACS transmitted through the middle ear generates pressure waves in the perilymph and endolymph not only in the cochlea but also in vestibular compartments. These waves produce local fluid particle motions and pressure gradients that can deflect hair bundles in selected regions of the otolith maculae and canal cristae. Irregular afferents innervating type I hair cells in the striola (maculae) and central zones (cristae) exhibit phase locking to ACS up to at least 1–2 kHz, with much lower thresholds than regular afferents. Cellular and synaptic specializations—transducer adaptation, low-voltage-activated K+ conductances (KLV), fast quantal and non-quantal transmission, and afferent spike-generator properties—implement effective high-pass filtering and phase lead, making these pathways particularly sensitive to rapid changes in acceleration, i.e., mechanical jerk, rather than to slowly varying displacement or acceleration. Clinically, short-rise-time ACS stimuli (clicks and brief tone bursts) elicit robust cervical and ocular VEMPs with clear thresholds and input–output relationships, reflecting the recruitment of these jerk-sensitive utricular and saccular pathways. Sound-induced eye movements and nystagmus in third-window syndromes similarly reflect abnormally enhanced access of ACS-generated pressure waves to canal and otolith receptors. Conclusions: The vestibular labyrinth does not merely “tolerate” air-conducted sound as a spill-over from cochlear mechanics; it contains a dedicated high-frequency, transient-sensitive channel—dominated by type I hair cells and irregular afferents—that is well suited to encoding jerk-rich acoustic events. We propose that ACS-evoked vestibular responses, including VEMPs, are best interpreted within a dual-channel framework in which (1) regular, extrastriolar/peripheral pathways encode sustained head motion and low-frequency acceleration, while (2) irregular, striolar/central pathways encode fast, sound-driven transients distinguished by high jerk, steep onset, and precise spike timing. Full article
(This article belongs to the Section Otology and Neurotology)
Show Figures

Figure 1

12 pages, 2475 KB  
Proceeding Paper
Effect of Temperature Variations on Brake Squeal Characteristics in Disc Brake Systems
by Akif Yavuz, Osman Taha Sen, Mustafa Enes Kırmacı and Tolga Gündoğdu
Eng. Proc. 2026, 121(1), 11; https://doi.org/10.3390/engproc2025121011 - 13 Jan 2026
Viewed by 129
Abstract
Brake squeal is an undesirable high-frequency noise caused by vibrations induced by friction in disc brake systems. The noise is strongly affected by temperature, as this influences the material properties of the friction pair and the dynamic behaviour of the brake components. This [...] Read more.
Brake squeal is an undesirable high-frequency noise caused by vibrations induced by friction in disc brake systems. The noise is strongly affected by temperature, as this influences the material properties of the friction pair and the dynamic behaviour of the brake components. This study investigates the effect of temperature changes on the squeal characteristics of a disc brake system under different operating conditions. Experiments are carried out using a laboratory-scale test setup comprising a rotating disc, pneumatically actuated callipers, and precise measurement equipment. A series of test combinations is performed by systematically varying three parameters: disc surface temperature (40, 55, 70, 85, 100 °C), brake pressure (4.0 bar), and disc rotational speed (50, 100, 150, 200 rpm). Acceleration data are acquired using an accelerometer mounted directly on the calliper, while sound pressure data are measured with a fixed-position microphone located 0.5 m from the disc surface. The collected data are analyzed in the time and frequency domain to identify squeal events and their dominant frequencies. The effect of temperature on brake squeal noise and vibration varies with operating conditions, showing different patterns at low and high disc speed at constant brake pressure. This highlights the importance of considering both thermal and mechanical factors together when addressing brake squeal. Full article
Show Figures

Figure 1

13 pages, 1139 KB  
Article
Temporary Hearing Threshold Shifts and Cognitive Effects Induced by Ultrasonic Noise Exposure
by Jan Radosz
Appl. Sci. 2026, 16(2), 622; https://doi.org/10.3390/app16020622 - 7 Jan 2026
Viewed by 185
Abstract
This study examined the auditory and cognitive effects of occupational ultrasonic noise exposure through controlled laboratory experiments simulating workplace conditions. A group of 20 participants aged 18–35 underwent pure-tone audiometry (PTA) in both standard (1–8 kHz) and extended high-frequency (9–16 kHz) ranges before [...] Read more.
This study examined the auditory and cognitive effects of occupational ultrasonic noise exposure through controlled laboratory experiments simulating workplace conditions. A group of 20 participants aged 18–35 underwent pure-tone audiometry (PTA) in both standard (1–8 kHz) and extended high-frequency (9–16 kHz) ranges before and after exposure to airborne ultrasound emitted by an ultrasonic cleaner. The exposure was conducted at two sound pressure levels: at the current permissible occupational limit and at a level 5 dB below it. The results demonstrated statistically significant temporary threshold shifts (TTS) in hearing sensitivity (bilaterally) at 8 kHz and 16 kHz only at the higher exposure level, with mean shifts reaching 3.8 dB and 5.8 dB, respectively. No significant hearing threshold changes were observed at the reduced exposure level. Additionally, participants completed a battery of Abilitest cognitive tests during exposure. Comparisons with standardized normative data showed that reaction times were approximately 20% longer in simple response tasks and 13% longer in selective attention tasks, suggesting a potential deviation in cognitive performance associated with ultrasonic noise. These findings support the need to reevaluate current occupational exposure limits and highlight the potential health and performance risks associated with airborne ultrasound. Full article
Show Figures

Figure 1

11 pages, 1272 KB  
Article
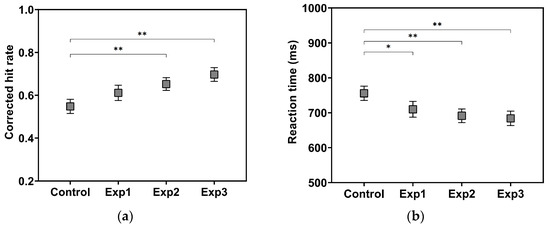
Effect of Inaudible Binaural Beats Stimulation Timing and Task Performance Level on Visuospatial Working Memory
by Kyu-Beom Kim, Min-Kyun Lee, Yong-Bin Jeong, Jeong-Min Kim, Mi-Hyun Choi, Hyung-Sik Kim, Byung-Chan Min and Soon-Cheol Chung
Behav. Sci. 2026, 16(1), 76; https://doi.org/10.3390/bs16010076 - 6 Jan 2026
Viewed by 271
Abstract
This study aimed to investigate the effect of inaudible-frequency binaural beats (BB), excluding the influence of audible sound, on visuospatial working memory performance (VSWMP). In particular, the effects were examined in relation to the stimulation timing of the stimulus and the task performance [...] Read more.
This study aimed to investigate the effect of inaudible-frequency binaural beats (BB), excluding the influence of audible sound, on visuospatial working memory performance (VSWMP). In particular, the effects were examined in relation to the stimulation timing of the stimulus and the task performance level of participants. Thirty adults in their 20 s (20 males, 25.7 ± 1.8 years; 10 females, 24.3 ± 1.6 years) participated in the experiment. A 10 Hz BB stimulus was generated by simultaneously presenting 18,000 Hz and 18,010 Hz tones to the left and right ears, respectively. The experiment employed a within-participant design consisting of a rest phase (5 min) and a task phase (5 min), with four BB stimulation conditions: Control (no BB), Exp1 (BB during both rest and task phases), Exp2 (BB during rest only), and Exp3 (BB during task only). VSWMP was assessed using corrected hit rate and reaction time in a 3-back task. Results indicated that all BB conditions (Exp1, Exp2, Exp3) significantly improved VSWMP compared to the Control condition, regardless of the stimulation timing. When participants were grouped based on task performance level into high- and low-performing groups (HPG, LPG), significant improvements in VSWMP were particularly evident in the LPG across all BB conditions compared to the Control. Notably, in Exp3, LPG participants demonstrated VSWMP comparable to that of the HPG. In conclusion, while BB stimulation enhances VSWMP regardless of its stimulation timing, its effectiveness may vary depending on the task performance level. Full article
Show Figures

Figure 1

16 pages, 3165 KB  
Article
Combining GPR and VES Techniques for Detecting Shallow Urban Cavities in Quaternary Deposits: Case Studies from Sefrou and Bhalil, Morocco
by Oussama Jabrane, Ilias Obda, Driss El Azzab, Pedro Martínez-Pagán, Mohammed Jalal Tazi and Mimoun Chourak
Quaternary 2026, 9(1), 4; https://doi.org/10.3390/quat9010004 - 6 Jan 2026
Viewed by 254
Abstract
The detection of underground cavities and dissolution features is a critical component in assessing geohazards within karst terrains, particularly where natural processes interact with long-term human occupation. This study investigates two contrasting sites in the Sefrou region of northern Morocco: Binna, a rural [...] Read more.
The detection of underground cavities and dissolution features is a critical component in assessing geohazards within karst terrains, particularly where natural processes interact with long-term human occupation. This study investigates two contrasting sites in the Sefrou region of northern Morocco: Binna, a rural travertine-dolomite system shaped by Quaternary karstification, and the urban Old Medina of Bhalil, where traditional cave dwellings are carved into carbonate formations. A combined geophysical and geological approach was applied to characterize subsurface heterogeneities and assess the extent of near-surface void development. Vertical electrical soundings (VES) at Binna site delineated high-resistivity anomalies consistent with air-filled cavities, dissolution conduits, and brecciated limestone horizons, all indicative of an active karst system. In the Bhalil old Medina site, ground-penetrating radar (GPR) with low-frequency antennas revealed strong reflection contrasts and localized signal attenuation zones corresponding to shallow natural cavities and potential anthropogenic excavations beneath densely constructed areas. Geological observations, including lithostratigraphic logging and structural cross-sections, provided additional constraints on cavity geometry, depth, and spatial distribution. The integrated results highlight a high degree of subsurface karstification across both sites and underscore the associated geotechnical risks for infrastructure, cultural heritage, and land-use stability. This work demonstrates the value of combining electrical and radar methods with geological analysis for mapping hazardous subsurface voids in cavity-prone Quaternary landscapes, offering essential insights for risk mitigation and sustainable urban and rural planning. Full article
(This article belongs to the Special Issue Environmental Changes and Their Significance for Sustainability)
Show Figures

Figure 1

12 pages, 4185 KB  
Article
Model-Based Design of Output LC Filter and Harmonic Distortion Reduction for a Wideband SONAR Amplifier
by Minyoung Park, Byoungkweon Kim, Hyoung-gyun Woo and Jae Hoon Jeong
Electronics 2026, 15(1), 47; https://doi.org/10.3390/electronics15010047 - 23 Dec 2025
Viewed by 187
Abstract
This study presents the design of a high-efficiency pulse width modulation (PWM) power amplifier for marine biological sound reproduction. Due to the capacitive nature of underwater transducers and step-up transformers, output LC filter design is constrained, making it difficult to achieve a flat [...] Read more.
This study presents the design of a high-efficiency pulse width modulation (PWM) power amplifier for marine biological sound reproduction. Due to the capacitive nature of underwater transducers and step-up transformers, output LC filter design is constrained, making it difficult to achieve a flat frequency response and low total harmonic distortion (THD). To address this, the electrical characteristics of these components were measured and modeled to construct equivalent circuits for the PSPICE simulator. Based on these models, an optimized LC filter was designed, and its performance was validated through simulation and experiments. The cause of THD occurring in specific frequency bands was analyzed, and two types of notch filters were applied to improve THD and switching signal attenuation. The proposed methodology offers a practical approach to improving PWM amplifier performance in underwater acoustic systems, supporting the development of compact, efficient, and reliable SONAR transmitters. Full article
Show Figures

Figure 1

21 pages, 12257 KB  
Article
The Characterization of the Installation Effects on the Flow and Sound Field of Automotive Cooling Modules
by Tayyab Akhtar, Safouane Tebib, Stéphane Moreau and Manuel Henner
Int. J. Turbomach. Propuls. Power 2026, 11(1), 1; https://doi.org/10.3390/ijtpp11010001 - 19 Dec 2025
Viewed by 253
Abstract
This study investigates the aerodynamic and aeroacoustics behavior of automotive cooling modules in both conventional internal combustion engine (ICE) vehicles and electric vehicles (EVs), with a particular focus on installation effects. Numerical simulations based on the Lattice Boltzmann Method (LBM) are conducted to [...] Read more.
This study investigates the aerodynamic and aeroacoustics behavior of automotive cooling modules in both conventional internal combustion engine (ICE) vehicles and electric vehicles (EVs), with a particular focus on installation effects. Numerical simulations based on the Lattice Boltzmann Method (LBM) are conducted to analyze noise generation mechanisms and flow characteristics across four configurations. The study highlights the challenges of adapting classical cooling module components to EV setups, emphasizing the influence of heat exchanger (HE) placement and duct geometry on noise levels and flow dynamics. The results show that the presence of the HE smooths the upstream flow, improves rotor loading distribution and disrupts long, coherent vortical structures, thereby reducing tonal noise. However, the additional resistance introduced by the HE leads to increased rotor loading and enhanced leakage flow through the shroud-rotor gap. Despite these effects, the overall sound pressure level (OASPL) remains largely unchanged, maintaining a similar magnitude and dipolar directivity pattern as the configuration without the HE. In EV modules, the inclusion of ducts introduces significant flow disturbances and localized pressure fluctuations, leading to regions of high flow rate and rotor loading. These non-uniform flow conditions excite duct modes, resulting in troughs and humps in the acoustic spectrum and potentially causing resonance at the blade-passing frequency, which increases the amplitude in the lower frequency range. Analysis of the loading force components reveals that rotor loading is primarily driven by thrust forces, while duct loading is dominated by lateral forces. Across all configurations, fluctuations at the leading and trailing edges of the rotor are observed, originating from the blade tip and extending to approximately mid-span. These fluctuations are more pronounced in the EV module, identifying it as the dominant source of pressure disturbances. The numerical results are validated against experimental data obtained in the anechoic chamber at the University of Sherbrooke and show good agreement. The relative trends are accurately predicted at lower frequencies, with slight over-prediction, and closely match the experimental data at mid-frequencies. Full article
(This article belongs to the Special Issue Advances in Industrial Fan Technologies)
Show Figures

Figure 1

16 pages, 4485 KB  
Article
A Modeling Approach to Aggregated Noise Effects of Offshore Wind Farms in the Canary and North Seas
by Ion Urtiaga-Chasco and Alonso Hernández-Guerra
J. Mar. Sci. Eng. 2026, 14(1), 2; https://doi.org/10.3390/jmse14010002 - 19 Dec 2025
Viewed by 400
Abstract
Offshore wind farms (OWFs) represent an increasingly important renewable energy source, yet their environmental impacts, particularly underwater noise, require systematic study. Estimating the operational source level (SL) of a single turbine and predicting sound pressure levels (SPLs) at sensitive locations can be challenging. [...] Read more.
Offshore wind farms (OWFs) represent an increasingly important renewable energy source, yet their environmental impacts, particularly underwater noise, require systematic study. Estimating the operational source level (SL) of a single turbine and predicting sound pressure levels (SPLs) at sensitive locations can be challenging. Here, we integrate a turbine SL prediction algorithm with open-source propagation models in a Jupyter Notebook (version 7.4.7) to streamline aggregated SPL estimation for OWFs. Species-specific audiograms and weighting functions are included to assess potential biological impacts. The tool is applied to four planned OWFs, two in the Canary region and two in the Belgian and German North Seas, under conservative assumptions. Results indicate that at 10 m/s wind speed, a single turbine’s SL reaches 143 dB re 1 µPa in the one-third octave band centered at 160 Hz. Sensitivity analyses indicate that variations in wind speed can cause the operational source level at 160 Hz to increase by up to approximately 2 dB re 1 µPa2/Hz from the nominal value used in this study, while differences in sediment type can lead to transmission loss variations ranging from 0 to on the order of 100 dB, depending on bathymetry and range. Maximum SPLs of 112 dB re 1 µPa are predicted within OWFs, decreasing to ~50 dB re 1 µPa at ~100 km. Within OWFs, Low-Frequency (LF) cetaceans and Phocid Carnivores in Water (PCW) would likely perceive the noise; National Marine Fisheries Service (NMFS) marine mammals’ auditory-injury thresholds are not exceeded, but behavioral-harassment thresholds may be crossed. Outside the farms, only LF audiograms are crossed. In high-traffic North Sea regions, OWF noise is largely masked, whereas in lower-noise areas, such as the Canary Islands, it can exceed ambient levels, highlighting the importance of site-specific assessments, accurate ambient noise monitoring and propagation modeling for ecological impact evaluation. Full article
Show Figures

Figure 1

11 pages, 1261 KB  
Article
Effects of Sound Intensity and Frequency on Negative Phonotaxis in Adult Bighead Carp
by Yun Tan, Wangbin Hu, Wanshuang Yi, Zhengyang Tang, Chunhui Zhang, Shihong Zhu, Guosheng Yang and Lu Cai
Water 2025, 17(24), 3555; https://doi.org/10.3390/w17243555 - 15 Dec 2025
Viewed by 316
Abstract
To provide a theoretical basis for sound barrier technology for fish, the effects of sound intensity and frequency on negative phonotaxis in adult bighead carp, Hypophthalmichthys nobilis, (weight 1.42–2.20 kg, body length 45.1–54.8 cm) were tested using underwater sound equipment in a [...] Read more.
To provide a theoretical basis for sound barrier technology for fish, the effects of sound intensity and frequency on negative phonotaxis in adult bighead carp, Hypophthalmichthys nobilis, (weight 1.42–2.20 kg, body length 45.1–54.8 cm) were tested using underwater sound equipment in a pool with sound absorbing material to reduce sound reflection. There were two primary findings: (1) The cumulative times that fish remained in the high, medium and low sound intensity areas were significantly different (p < 0.001). The cumulative time decreased as sound intensity increased, demonstrating negative phonotaxis by the test fish towards high sound intensity. The cumulative time that fish remained in the high sound intensity area was less than in the control area and the difference was highly significant (p < 0.001). This strongly negative phonotaxic response can be exploited in developing sound barriers for guiding fish. Negative phonotaxis could be used to guide fish away from hazards and along migration routes, to help prevent exotic fish invasion, and to improve spawning success by preventing migration into tributaries where habitat has been severely impacted by dams or other human activities. (2) Adult H. nobilis respond differently to different frequencies of single-frequency sound. Higher-frequency sound (300–1000 Hz) produced a stronger negative phonotaxic response than lower-frequency sound (50–200 Hz), and the difference in cumulative times was highly significant (p < 0.001). Thus, high-frequency sound is more effective than low-frequency sound for producing negative phonotaxis. This research demonstrates that negative phonotaxis is affected by sound intensity and frequency. However, for a given application and target species, additional research should be carried out to determine the most effective combination of acoustic parameters. Full article
Show Figures

Figure 1

22 pages, 8864 KB  
Article
Enhanced Sound Absorption of Aluminum Foam Composites by Introducing Pore-Penetrating Fibers
by Bei Huang, Shuang Xiong, Xin Wang, Longyue Qin, Xiaoqing Zuo and Hui Wang
Materials 2025, 18(24), 5515; https://doi.org/10.3390/ma18245515 - 8 Dec 2025
Viewed by 398
Abstract
To address the issue of sound absorption valleys in open-cell aluminum foam and enhance mid-to-high frequency (800–6300 Hz) performance, we developed a novel pore-penetrating 316L stainless steel fiber–aluminum foam (PPFCAF) composite using an infiltration method. The formation mechanism of the pore-penetrating fibers, the [...] Read more.
To address the issue of sound absorption valleys in open-cell aluminum foam and enhance mid-to-high frequency (800–6300 Hz) performance, we developed a novel pore-penetrating 316L stainless steel fiber–aluminum foam (PPFCAF) composite using an infiltration method. The formation mechanism of the pore-penetrating fibers, the resultant pore-structure, and the accompanying sound absorption properties were investigated systematically. The PPFCAF was fabricated using 316L stainless steel fiber–NaCl composites created by an evaporation crystallization process, which ensured the full embedding of fibers within the pore-forming agent, resulting in a three-dimensional fiber-pore interpenetrating network after infiltration and desalination. Experimental results demonstrate that the PPFCAF with a porosity of 82.8% and a main pore size of 0.5 mm achieves a sound absorption valley value of 0.861. An average sound absorption coefficient is 0.880 in the target frequency range, representing significant improvements of 9.8% and 9.9%, respectively, higher than that of the conventional infiltration aluminum foam (CIAF). Acoustic impedance reveal that the incorporated fibers improve the impedance matching between the composite material and air, thereby reducing sound reflection. Finite element simulations further elucidate the underlying mechanisms: the pore-penetrating fibers influence the paths followed by air particles and the internal surface area, thereby increasing the interaction between sound waves and the solid framework. A reduction in the main pore size intensifies the interaction between sound waves and pore walls, resulting in a lower overall reflection coefficient and a decreased reflected sound pressure amplitude (0.502 Pa). In terms of energy dissipation, the combined effects of the fibers and refinement increase the specific surface area, thereby strengthening viscous effects (instantaneous sound velocity up to 46.1 m/s) and thermal effects (temperature field increases to 0.735 K). This synergy leads to a notable rise in the total plane wave power dissipation density, reaching 0.0609 W/m3. Our work provides an effective strategy for designing high-performance composite metal foams for noise control applications. Full article
Show Figures

Figure 1

22 pages, 3279 KB  
Article
Anatomical Determinants of Tracheal Breathing Sounds: A Computational Study of Airway Narrowing and Obstructive Sleep Apnea
by Walid Ashraf, Jeffrey J. Fredberg and Zahra Moussavi
Diagnostics 2025, 15(24), 3108; https://doi.org/10.3390/diagnostics15243108 - 7 Dec 2025
Viewed by 474
Abstract
Background: Tracheal breathing sounds (TBS) have demonstrated strong potential as a non-invasive, wakefulness-based diagnostic tool for obstructive sleep apnea (OSA); yet the relationship between specific upper airway anatomical features and the resulting TBS spectra remains insufficiently understood. This study aims to enhance [...] Read more.
Background: Tracheal breathing sounds (TBS) have demonstrated strong potential as a non-invasive, wakefulness-based diagnostic tool for obstructive sleep apnea (OSA); yet the relationship between specific upper airway anatomical features and the resulting TBS spectra remains insufficiently understood. This study aims to enhance the diagnostic utility of TBS in OSA by investigating how the upper airway anatomy influences TBS spectral characteristics. Method: Patient-specific computational models of the upper airway were reconstructed from high-resolution CT scans of a healthy subject and an individual with OSA. Additional variants were generated with targeted constrictions at the velopharynx, oropharynx, and trachea, based on clinically reported anatomical ranges. Airflow dynamics were simulated using Large Eddy Simulation (LES), and the resulting acoustic responses were computed via Lighthill’s acoustic analogy within a hybrid aero-acoustic framework. Results: Oropharyngeal constriction generated the most spatially concentrated vorticity patterns among single-region constricted models. Airway Resistance analysis revealed that severe velopharyngeal and oropharyngeal constrictions contributed most to regional airway resistance. Spectral analysis showed that velopharyngeal narrowing produced a progressive downward shift in the third resonance peak (1000–1700 Hz), while oropharyngeal narrowing induced an upward shift of the third peak and a downward shift of the fourth peak (1700–2500 Hz). These frequency shifts were attributed to the effective role of acoustic mass and airway compliance. Conclusions: Anatomical modifications of the upper airway produce region-specific changes in both flow and acoustic responses. These findings support the use of TBS spectral analysis for non-invasive localization of airway obstructions in OSA. Full article
(This article belongs to the Special Issue Advances in Sleep and Respiratory Medicine)
Show Figures

Figure 1

20 pages, 4056 KB  
Article
Experimental Study and Regression Modeling of Sound Absorption Coefficient for Wood Panels
by Miljenko Krhen, Marin Hasan, Franjo Bolkovac and Kristijan Radmanović
Materials 2025, 18(24), 5488; https://doi.org/10.3390/ma18245488 - 5 Dec 2025
Viewed by 491
Abstract
This study presents a predictive model for estimating the sound absorption coefficient of perforated and non-perforated wooden panels, based on experimental data. Measurements were conducted on four wood species: fir wood (Abies alba), pine wood (Pinus sylvestris), pedunculate oak [...] Read more.
This study presents a predictive model for estimating the sound absorption coefficient of perforated and non-perforated wooden panels, based on experimental data. Measurements were conducted on four wood species: fir wood (Abies alba), pine wood (Pinus sylvestris), pedunculate oak (Quercus robur), and sessile oak (Quercus petraea) in three panel thicknesses (11 mm, 18 mm and 25 mm), with perforation ratios of 0%, 10%, and 20%. The normal-incidence absorption coefficient was measured using the impedance tube method in accordance with ISO 10534-2. Measurements were performed in a 100 mm impedance tube, selected to match the specimen dimensions; therefore, the analysis is limited to the valid plane-wave frequency range of this tube, between 250 and 1600 Hz. Previous studies have shown that both panel thickness and perforation ratio significantly influence mid- and high-frequency absorption. Our results confirm that increased panel thickness and perforation enhance absorption, consistent with findings reported for micro-perforated and porous wood panels. Based on the measured values, we developed first-order regression functions linking the absorption coefficient to material density, thickness, and perforation percentage. The resulting equations allow reverse estimation of one or more physical parameters to meet target acoustic performance requirements. This data-driven approach provides a practical tool for designing wooden absorbers with predictable behavior and complements existing analytical models for acoustic optimization. Full article
(This article belongs to the Section Construction and Building Materials)
Show Figures

Graphical abstract

21 pages, 11649 KB  
Article
A Low-Cost Passive Acoustic Toolkit for Underwater Recordings
by Vassilis Galanos, Vasilis Trygonis, Antonios D. Mazaris and Stelios Katsanevakis
Sensors 2025, 25(23), 7306; https://doi.org/10.3390/s25237306 - 1 Dec 2025
Viewed by 998
Abstract
Passive acoustic monitoring is a key tool for studying underwater soundscapes and assessing anthropogenic impacts, yet the high cost of hydrophones limits large-scale deployment and citizen science participation. We present the design, construction, and field evaluation of a low-cost hydrophone unit integrated into [...] Read more.
Passive acoustic monitoring is a key tool for studying underwater soundscapes and assessing anthropogenic impacts, yet the high cost of hydrophones limits large-scale deployment and citizen science participation. We present the design, construction, and field evaluation of a low-cost hydrophone unit integrated into an acoustic toolkit. The hydrophone, built from off-the-shelf components at a cost of ~20 €, was paired with a commercially available handheld recorder, resulting in a complete system priced at ~50 €. Four field experiments in Greek coastal waters validated hydrophone performance across a marine-protected area, commercial port, aquaculture site, and coastal reef. Recordings were compared with those from a calibrated scientific hydrophone (SNAP, Loggerhead Instruments). Results showed that the low-cost hydrophones were mechanically robust and consistently detected most anthropogenic sounds also identified by the reference instrument, though their performance was poor at low frequencies (<200 Hz) and susceptible to mid-frequency (3 kHz) resonance issues. Despite these constraints, the toolkit demonstrates potential for large-scale, low-budget passive acoustic monitoring and outreach applications, offering a scalable solution for citizen scientists, educational programs, and research groups with limited resources. Full article
(This article belongs to the Section Environmental Sensing)
Show Figures

Figure 1

Back to TopTop