Sign in to use this feature.

Years

Between: -

Subjects

remove_circle_outline
remove_circle_outline
remove_circle_outline
remove_circle_outline
remove_circle_outline
remove_circle_outline
remove_circle_outline
remove_circle_outline
remove_circle_outline

Journals

remove_circle_outline
remove_circle_outline
remove_circle_outline
remove_circle_outline

Article Types

Countries / Regions

remove_circle_outline
remove_circle_outline
remove_circle_outline
remove_circle_outline

Search Results (252)

Search Parameters:
Keywords = HAV

Order results
Result details
Results per page
Select all
Export citation of selected articles as:
11 pages, 803 KB  
Article
Azathioprine Inhibits Hepatitis A Virus Replication In Vitro
by Tatsuo Kanda, Reina Sasaki-Tanaka, Hiroyuki Abe, Takeshi Yokoo, Akira Sakamaki, Kazunao Hayashi, Hiroteru Kamimura, Kenya Kamimura, Ryota Masuzaki, Hirofumi Kogure, Hiroaki Okamoto and Shuji Terai
Pathogens 2026, 15(3), 249; https://doi.org/10.3390/pathogens15030249 - 26 Feb 2026
Viewed by 108
Abstract
Hepatitis A virus (HAV) infection can occasionally cause acute severe hepatitis. Patients with this disease sometimes need to undergo liver transplantation with immunosuppressants. Although rare, breakthrough HAV infections, despite vaccination, appear to be more common among immunocompromised populations. The effect of immunosuppressants on [...] Read more.
Hepatitis A virus (HAV) infection can occasionally cause acute severe hepatitis. Patients with this disease sometimes need to undergo liver transplantation with immunosuppressants. Although rare, breakthrough HAV infections, despite vaccination, appear to be more common among immunocompromised populations. The effect of immunosuppressants on HAV replication is unclear. In this study, we examined the effects of immunosuppressants on HAV HA11-1299 genotype IIIA replication in human hepatocytes, finding that azathioprine inhibited HAV replication with a half-maximal inhibitory concentration of 0.967 μmol/L. We further examined the effect of azathioprine on the replication of HAV HM175 18f genotype IB using replication-competent or replication-incompetent subgenomic replicon in HuhT7 cells. Azathioprine had significant inhibitory effects on the HAV replication-competent subgenomic replicon compared to the replication-incompetent subgenomic replicon. The effect of azathioprine on the activity of the HAV HM175 18f genotype IB-internal ribosomal entry site (IRES) was investigated in COS7-HAV-IRES cells using a reporter assay. Azathioprine at 1 μmol/L had a significant inhibitory effect on HAV IRES activity but at 0.5 μmol/L had no inhibitory effect. Azathioprine appears to inhibit HAV replication as well as HAV translation. In conclusion, we found that azathioprine inhibits HAV replication in human hepatocytes, meaning that it may be useful for patients with a HAV infection who need to use immunosuppressants. Full article
(This article belongs to the Section Viral Pathogens)
Show Figures

Figure 1

13 pages, 1338 KB  
Article
Prevalence of Viral Hepatitis Antibodies Among Alcoholics in Croatia: A Single Center’s Results
by Maja Vilibić, Klara Barbić, Maja Bogdanić, Snježana Židovec-Lepej, Ana Matošić, Ana Sanković, Dalibor Karlović, Leona Radmanić Matotek, Nataša Kutela, Sergej Nadalin, Ema Borko, Vladimir Savić, Ljubo Barbić, Marija Santini, Hrvojka Janković, Vladimir Stevanović and Tatjana Vilibić-Čavlek
Antibodies 2026, 15(2), 20; https://doi.org/10.3390/antib15020020 - 25 Feb 2026
Viewed by 102
Abstract
Background/Objectives: Viral hepatitis A–E represents a significant public health problem. Data on the prevalence of viral hepatitis markers among alcoholics are inconsistent. Methods: The study included 151 patients treated for alcohol abuse in one Croatian center. The control group consisted of 110 individuals [...] Read more.
Background/Objectives: Viral hepatitis A–E represents a significant public health problem. Data on the prevalence of viral hepatitis markers among alcoholics are inconsistent. Methods: The study included 151 patients treated for alcohol abuse in one Croatian center. The control group consisted of 110 individuals from the general population tested for a routine check-up. The prevalence of viral hepatitis markers was assessed using serology and molecular methods. Results: The prevalence rates of hepatitis markers among patients were as follows: anti-HAV, 15.2%; anti-HBs, 11.9%; anti-HBc/anti-HBs, 2.6%; anti-HCV, 4.0%; and anti-HEV, 14.6%. HCV RNA was detected in one patient (0.6%). Compared with the control group, patients showed significantly higher HCV seroprevalence (4.0 vs. 0%), while the prevalence of other hepatitis markers did not differ significantly between the groups. The anti-HAV prevalence was associated with age (from 0% in patients aged <40 years to 42.9% in patients aged 60+ years), employment status (highest among retired individuals at 46.2%), and age of occasional alcohol consumption (highest seroprevalence of 26.3% in those who reported consumption between 22 and 25 years). The association between anti-HEV and educational level was of borderline significance. Logistic regression showed that older and retired patients and those who consumed alcohol occasionally between 22 and 25 years showed higher odds for HAV seropositivity (OR = 11.454–49.400, OR = 6.857, and OR = 4.464, respectively). Patients with university degrees were at lower risk for HEV seroprevalence (OR = 0.083). Conclusions: Alcoholic patients showed a higher HCV seroprevalence than the general population, while the prevalence of other viral hepatitis markers did not differ between the groups. Further studies on a larger cohort of patients are needed to confirm these findings. Full article
(This article belongs to the Section Humoral Immunity)
Show Figures

Figure 1

20 pages, 893 KB  
Systematic Review
Transcriptomic Profile of Glioblastoma Cells Infected with Zika Virus: A Systematic Review and Pathway Analysis
by Diego Menezes, Clarisse Rezende Reis, Izabela Mamede, Victor Emmanuel Viana Geddes, Renan Pedra de Souza and Renato Santana Aguiar
Viruses 2026, 18(2), 249; https://doi.org/10.3390/v18020249 - 15 Feb 2026
Viewed by 319
Abstract
Glioblastoma (GBM) is an aggressive tumor with limited therapeutic options. Zika virus (ZIKV) has demonstrated activity against GBM; however, the cellular pathways behind this interaction remain unclear. We systematically reviewed open-access primary studies assessing differentially expressed genes (DEGs) in GBM models infected with [...] Read more.
Glioblastoma (GBM) is an aggressive tumor with limited therapeutic options. Zika virus (ZIKV) has demonstrated activity against GBM; however, the cellular pathways behind this interaction remain unclear. We systematically reviewed open-access primary studies assessing differentially expressed genes (DEGs) in GBM models infected with wild-type or engineered ZIKV using transcriptomic approaches (inclusion criteria); reviews, restricted-access studies, commentaries, preprints, abstracts, and articles lacking data or not meeting these conditions were excluded (PROSPERO CRD420251077092). We performed a pathway analysis of reported DEGs. PubMed and Google Scholar were searched up to 5 March 2025; 139 records were identified and 5 met the eligibility criteria. Risk of bias was evaluated using an adapted ToxRTool for in vitro experiments and the SYRCLE RoB tool for in vivo models. Altogether, 4360 genes were reported as upregulated and 2072 as downregulated; 12 genes (DNAJB9, SESN2, PMAIP1, PPP1R15A, KLF4, ATF3, IFNB1, IFNL1, ANKRD33B, ZC3HAV1, OASL, and CCL5) were consistently upregulated, none were consistently downregulated. Pathway analysis of the studies providing complete DEG lists identified 23 commonly enriched pathways mostly related to interferon signaling. These findings may help guide future research in this field; nevertheless, methodological heterogeneity limits comparability, reinforcing the need for standardized protocols. Funding: ITpS, CNPq, and FAPEMIG. Full article
(This article belongs to the Section General Virology)
Show Figures

Figure 1

9 pages, 228 KB  
Article
Beyond Foodborne HAV: Sexual Transmission Drives a New Wave of Cases in Romania
by Adrian Paun, Irina Ianache, Ruxandra Moroti, Georgiana Pomohaci, Gratiela Tardei, Mike Youle, Simona Ruta and Cristiana Oprea
Viruses 2026, 18(2), 215; https://doi.org/10.3390/v18020215 - 6 Feb 2026
Viewed by 326
Abstract
Background: In 2022, Romania experienced a sharp increase in hepatitis A virus (HAV) infections, with evidence of predominant fecal–oral transmission through sexual contact, raising concern for an outbreak among men who have sex with men (MSM). Methods: We conducted a prospective [...] Read more.
Background: In 2022, Romania experienced a sharp increase in hepatitis A virus (HAV) infections, with evidence of predominant fecal–oral transmission through sexual contact, raising concern for an outbreak among men who have sex with men (MSM). Methods: We conducted a prospective multicenter study between 1 March 2022 and 1 March 2023 in two tertiary hospitals in Bucharest. HAV infection was defined by a compatible clinical presentation, elevated liver enzymes, and positive anti-HAV IgM serology. Clinical and laboratory characteristics were compared by transmission route and HIV status. Results: A total of 191 patients were diagnosed with HAV, including 105 MSM and 86 with foodborne transmission. All were unvaccinated. Most patients were male (82.2%), with a median age of 30 years (IQR 24–38). MSM were significantly younger and reported higher-risk sexual behaviors, including chemsex and multiple or occasional partners (p < 0.0001). Among MSM, 48 (25.1%) were living with HIV, most with preserved immune status and undetectable viral loads. Clinical manifestations were similar across groups, with jaundice being most frequent (89.5%). However, MSM exhibited more severe hepatocellular injury, reflected by higher ASAT and ALAT levels and lower prothrombin concentration, independent of HIV status. MSM were also more likely to have concomitant sexually transmitted infections, including syphilis and mpox (p < 0.001). Disease was predominantly mild, although MSM had longer hospital stays. Conclusions: The 2022 HAV surge in Romania was driven by both sexual and foodborne transmission. Targeted HAV vaccination, along with integrated sexual health services and harm-reduction strategies, is essential to prevent future outbreaks. Full article
(This article belongs to the Special Issue HIV and Viral Hepatitis Co-Infection)
16 pages, 917 KB  
Article
Neural and Oxidative-Stress Parameters as Early Biomarkers of Hand–Arm Vibration Syndrome
by Zifei Tang, Qian Chen, Jia Li, Kanshou Zhou, Fanfei Zeng and Hongyu Yang
Biomolecules 2026, 16(2), 238; https://doi.org/10.3390/biom16020238 - 3 Feb 2026
Viewed by 329
Abstract
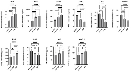
Objective: Investigate alterations in the expression of specific and sensitive biomarkers of oxidative stress (OS) in blood and in nerves during hand–arm vibration syndrome (HAVS) progression. Methods: Fifty workers with vibration-induced white finger (VWF) symptoms and exposure to hand vibration were [...] Read more.
Objective: Investigate alterations in the expression of specific and sensitive biomarkers of oxidative stress (OS) in blood and in nerves during hand–arm vibration syndrome (HAVS) progression. Methods: Fifty workers with vibration-induced white finger (VWF) symptoms and exposure to hand vibration were selected from a Chinese factory by judgment sampling. Fifty workers not exposed to hand vibration served as a control group. Expression of OS-related indices in blood was measured. The same method was used to select 40 workers separately for the determination of neurological indicators. Blood samples were collected from participants, and expression of indicators in plasma was measured by ELISAs. Results: The receiver operating characteristic (ROC) curves of OS-related indices and neurological indices were analyzed to assess their diagnostic sensitivity to VWF. Among OS indices, the area under the ROC curve (AUC) of malondialdehyde (MDA), superoxide dismutase (SOD), glutathione (GSH), and glutathione peroxidase (GSH-PX) was >0.9. With regard to the neurological indices, the AUC of S100β, interleukin (IL)-10, creatine kinase (CK), and growth differentiation factor (GDF)-15 was 0.7–0.9. Conclusions: MDA, SOD, GSH, GSH-PX, S100β, IL-10, CK, and GDF-15 could be diagnostic markers for VWF. Full article
(This article belongs to the Section Molecular Biomarkers)
Show Figures

Figure 1

14 pages, 494 KB  
Article
Seroprevalence of Hepatitis A Virus (HAV) and Hepatitis E Virus (HEV) Among Blood Donor Candidates in Salvador, Bahia, Brazil
by Daniela Santana Mendes, Victoria Cruz Paraná, Luan Henrique Paim Santos, Luíza Araújo de Santana Cavalcanti, Júlia Stifelman Freire Alves, Fernanda Souza Novais, Gabriela de Souza Benicio dos Santos, Helen Regina Silva Sodré de Matos, Nelma Pereira Santana, Maria Alice Sant’ Anna Zarife, Carina Carvalho dos Santos, Ricardo David Couto, Maria Isabel Schinoni, André Castro Lyra, Mitermayer Galvão dos Reis and Luciano Kalabric Silva
Viruses 2026, 18(2), 162; https://doi.org/10.3390/v18020162 - 26 Jan 2026
Viewed by 409
Abstract
Hepatitis A (HAV) and E (HEV) are clinically indistinguishable diseases. This study aimed to determine the seroprevalence of both viruses among 469 blood donor candidates at HEMOBA, Salvador, Brazil. The seroprevalence of anti-HAV IgG was determined by chemiluminescence (Abbott Diagnostics, Chicago, IL, USA) [...] Read more.
Hepatitis A (HAV) and E (HEV) are clinically indistinguishable diseases. This study aimed to determine the seroprevalence of both viruses among 469 blood donor candidates at HEMOBA, Salvador, Brazil. The seroprevalence of anti-HAV IgG was determined by chemiluminescence (Abbott Diagnostics, Chicago, IL, USA) and that of anti-HEV (IgG/IgM) was determined by ELISA (Wantai-Biopharm, Beijing, China). The ineligibility rate was 16.8% (79/469), mostly temporary. There were no statistically significant demographic differences between ineligible and eligible donor candidates. The participants were predominantly male (52.7%), with the skin color Brown/Black (83.2%), and had completed secondary education or started/completed higher education (89.6%). The seroprevalence of anti-HAV IgG was 53.5% (193/361; 95%CI: 48.2–58.7%) among unvaccinated participants; the seroprevalence of anti-HEV IgG was 7.0% (33/469; 95%CI: 4.9–9.7%), and no case of anti-HEV IgM was found. In univariate analysis, HAV was associated with work with livestock and eating fresh fish; HEV was related to low incomes and eating game meat. However, only aging and being born in the interior of the state retained statistical significance in the final model. In conclusion, despite the availability of the HAV vaccine, this study revealed a higher burden of HAV when compared to HEV. Future studies must prioritize risk factor investigations of both viruses in non-metropolitan and rural areas. Full article
Show Figures

Figure 1

19 pages, 570 KB  
Article
Understanding Vaccination Uptake Amongst Gay, Bisexual and Other Men Who Have Sex with Men in UK Sexual Health Services: A Qualitative Interview Study
by Tom May, Joanna M. Kesten, Hannah E. Family, Harriet Fisher, Adele Wolujewicz, Marta Checchi, Hamish Mohammed, David Leeman, Sema Mandal, Lucy Yardley, Jeremy Horwood and Clare Thomas
Vaccines 2026, 14(2), 112; https://doi.org/10.3390/vaccines14020112 - 24 Jan 2026
Viewed by 670
Abstract
Background/Objectives: In England, gay, bisexual, and other men who have sex with men (GBMSM) are eligible for vaccination at NHS sexual health services, including human papillomavirus (HPV), hepatitis A virus (HAV), and hepatitis B virus (HBV) vaccines. However, current research shows limited [...] Read more.
Background/Objectives: In England, gay, bisexual, and other men who have sex with men (GBMSM) are eligible for vaccination at NHS sexual health services, including human papillomavirus (HPV), hepatitis A virus (HAV), and hepatitis B virus (HBV) vaccines. However, current research shows limited understanding of the factors influencing vaccination uptake among GBMSM. This study aimed to examine the barriers and facilitators affecting the offer and uptake of these vaccination programmes. Methods: A qualitative interview study following the Person-Based Approach (a systematic method for developing and optimising health interventions) involving GBMSM and sexual health service staff from two regions of England. Purposive sampling aimed to include GBMSM with diverse backgrounds and engagement with sexual health services. Patient and public involvement shaped the study design and interview topic guides. The interviews were recorded, transcribed, and thematically analysed to identify barriers and facilitators which were interpreted using the COM-B model of behaviour change. Results: Twenty GBMSM and eleven staff took part. The findings showed that opportunistic delivery of HPV, HAV, and HBV vaccination within sexual health services is mostly acceptable and feasible for GBMSM and staff, while also highlighting areas for optimization. Despite low knowledge of these viruses and their associated risks, willingness to be vaccinated was high, with healthcare provider recommendations and the convenience of vaccine delivery during routine clinic visits acting as important facilitators. However, the reach of opportunistic models was limited, particularly for individuals underserved by sexual health services or disengaged from GBMSM social networks. System-level barriers such as complex vaccine schedules (particularly when multiple schedules are combined), inconsistent access to vaccination histories, and limited system-level follow-up processes (e.g., automated invites and reminders) were also found to act as obstacles to vaccination uptake and delivery. Conclusions: To improve equitable uptake, sexual health services should explore the feasibility of addressing both individual and structural barriers through additional strategies, including targeted and persuasive communication to increase knowledge, leveraging regular contact with GBMSM to promote uptake, and implementing enhanced approaches to support vaccination completion (e.g., automated prompts or reminders). Full article
Show Figures

Figure 1

32 pages, 1753 KB  
Review
Vaccination Strategies Against Hepatic Diseases: A Scoping Review
by Zahra Beyzaei, Bita Geramizadeh, Sara Karimzadeh and Ralf Weiskirchen
Vaccines 2026, 14(1), 49; https://doi.org/10.3390/vaccines14010049 - 31 Dec 2025
Viewed by 1156
Abstract
Background/Objectives: Viral hepatitis remains a significant global cause of chronic liver disease, highlighting the importance of effective vaccination strategies. This review assesses recent evidence on vaccine safety and effectiveness. Methods: A comprehensive search of PubMed, Embase, Web of Science, and Scopus [...] Read more.
Background/Objectives: Viral hepatitis remains a significant global cause of chronic liver disease, highlighting the importance of effective vaccination strategies. This review assesses recent evidence on vaccine safety and effectiveness. Methods: A comprehensive search of PubMed, Embase, Web of Science, and Scopus identified English-language studies published from January 2000 to September 2025. Eligible studies evaluated vaccination for hepatitis A, B, C, or E, as well as vaccine responses in individuals with chronic liver disease or HIV infection. Of 5254 records screened, 166 studies met the inclusion criteria. Results: Hepatitis A vaccines demonstrated excellent safety, 95–100% short-term seroprotection, and durable immunity for both inactivated and live-attenuated formulations, with population-level reductions in disease incidence. Hepatitis B vaccines showed consistently strong immunogenicity across age groups, with over 90% seroprotection from recombinant and CpG-adjuvanted formulations. Effective prevention of mother-to-child transmission required maternal antiviral therapy, timely birth-dose vaccination, hepatitis B immunoglobulin (HBIG) administration, and post-vaccination serologic testing. Long-term data demonstrated immune persistence for up to 35 years and significant reductions in liver cancer following neonatal HBV vaccination. Limited studies in hepatitis C populations showed impaired responses, partially improved with higher or booster doses. Hepatitis E vaccines showed excellent safety and over 99% seroconversion. In non-viral liver disease and post-transplant populations, vaccine responses were reduced but remained clinically meaningful, especially with adjuvanted or higher-dose HBV vaccines. Among HIV-infected individuals, HAV vaccination was generally effective, while enhanced HBV regimens markedly improved seroprotection. Conclusions: Hepatitis A, B, and E vaccines are safe, immunogenic, and effective, with neonatal hepatitis B vaccination critical for preventing maternal transmission. No licensed HCV vaccine exists, and therapeutic HCV vaccines show limited efficacy. Optimized and targeted vaccination strategies are needed for individuals with chronic liver disease, HIV infection, HCV infection, transplant recipients, and other immunocompromised populations to maximize public health impact. Full article
(This article belongs to the Special Issue Vaccination and Public Health in the 21st Century)
Show Figures

Figure 1

14 pages, 2130 KB  
Article
Integrative Multi-Omics Analysis Unveils Candidate Genes and Functional Variants for Growth and Reproductive Traits in Duroc Pigs
by Zhuofan Yan, Xiyue Li, Wenbo Yang, Peng Zhou, Weiya Zhang, Xinyun Li, Liangliang Fu, Jingjin Li and Xiaoyong Du
Animals 2025, 15(24), 3627; https://doi.org/10.3390/ani15243627 - 17 Dec 2025
Viewed by 721
Abstract
Pigs play a vital role in global food security as a major source of animal protein. Enhancing growth and reproductive traits is of great economic importance to the swine industry. To systematically identify genetic determinants underlying key economic traits, we performed an integrative [...] Read more.
Pigs play a vital role in global food security as a major source of animal protein. Enhancing growth and reproductive traits is of great economic importance to the swine industry. To systematically identify genetic determinants underlying key economic traits, we performed an integrative multi-omics analysis in a population of 1624 Duroc pigs, focusing on backfat thickness (BF), loin muscle area (LMA), and total teat number (TTN). Our genome-wide association study (GWAS) identified twenty-one significant single nucleotide polymorphisms (SNPs)—fourteen for BF, three for LMA, and seven for TTN. Candidate genes located within 1 Mb of these SNPs, such as ZC3HAV1L and FAM3A for BF, PTGR2 for LMA, and VRTN and ABCD4 for TTN, were further investigated. Functional genomic annotations revealed that genetic variants near the significant SNPs were enriched in tissue-specific enhancer elements, implying regulatory potential. Transcriptome-wide association study (TWAS) further supported the candidate genes such as ABCD4 and YLPM1 for TTN and predicted several putative functional mutations that may affect transcription factor binding sites. This study demonstrates the power of integrative genomics to prioritize candidate genes and causal variants for animal complex traits, offering valuable resources for future precision breeding in pigs. Full article
(This article belongs to the Special Issue Genetic Improvement in Pigs)
Show Figures

Figure 1

24 pages, 3154 KB  
Review
Hepatitis Vaccines: Recent Advances and Challenges
by Mei Lu, Yakun Liu, Lele Li, Xueke Liu, Bin Wu and Yingping Wu
Vaccines 2025, 13(11), 1174; https://doi.org/10.3390/vaccines13111174 - 20 Nov 2025
Cited by 1 | Viewed by 2295
Abstract
Viral hepatitis constitutes a substantial global public health challenge. The etiological agents, referred to as hepatitis viruses, are primarily categorized into five types: hepatitis A virus (HAV), hepatitis B virus (HBV), hepatitis C virus (HCV), hepatitis D virus (HDV), and hepatitis E virus [...] Read more.
Viral hepatitis constitutes a substantial global public health challenge. The etiological agents, referred to as hepatitis viruses, are primarily categorized into five types: hepatitis A virus (HAV), hepatitis B virus (HBV), hepatitis C virus (HCV), hepatitis D virus (HDV), and hepatitis E virus (HEV). Among the various preventive strategies, vaccination is widely acknowledged as the most cost-effective and efficient method for controlling viral hepatitis and its related hepatic complications. To date, numerous countries have initiated extensive vaccination programs targeting hepatitis A and hepatitis B. Advances in biotechnology have facilitated substantial progress in vaccine formulation design, the development of innovative adjuvants, and the utilization of novel vectors. However, significant challenges persist, including inadequate vaccination coverage, inconsistent immune responses among vulnerable populations, and concerns regarding vaccine safety. This article presents a systematic review of recent advancements, the current status of vaccination efforts, and ongoing challenges associated with hepatitis vaccines, with the objective of providing critical insights to support the World Health Organization’s goal of eliminating viral hepatitis as a public health threat by 2030. Full article
(This article belongs to the Special Issue Vaccination Against Viral Hepatitis for Prevention and Treatment)
Show Figures

Figure 1

15 pages, 2389 KB  
Article
In Vitro Assessment of Gold Nanoparticles Synthesized by Gamma Irradiation for Antimicrobial and Anticancer Effects
by Doaa E. El-Hadedy, Nesreen A. Safwat, Hoda H. Saleh and Zakaria I. Ali
Microorganisms 2025, 13(11), 2424; https://doi.org/10.3390/microorganisms13112424 - 23 Oct 2025
Viewed by 797
Abstract
The emergence of multidrug-resistant microbes presents a serious public health threat that requires new antimicrobial methods. A potential solution to combat resistance involves using metal nanoparticles that possess improved biological characteristics. The researchers have synthesized gold nanoparticles (Au-NPs) using gamma irradiation of Polyacrylamide [...] Read more.
The emergence of multidrug-resistant microbes presents a serious public health threat that requires new antimicrobial methods. A potential solution to combat resistance involves using metal nanoparticles that possess improved biological characteristics. The researchers have synthesized gold nanoparticles (Au-NPs) using gamma irradiation of Polyacrylamide (PAM) at 5, 10, and 15 kGy doses and through Au/chitosan nanocomposite production methods. They have also assessed the antimicrobial and anticancer functions of the produced nanomaterials by testing them on various microorganisms and cancer cell lines. Gold nanoparticles exhibited strong antibacterial effects against multiple Gram-positive bacterial strains, including Bacillus subtilis, Micrococcus luteus, Staphylococcus epidermidis, Staphylococcus aureus, and Streptococcus mutans, as well as methicillin-resistant Staphylococcus aureus (MRSA). Escherichia coli showed a significant inhibition zone of 23 mm, and Salmonella spp. showed similar inhibition. The inhibition zone for Klebsiella pneumoniae ATCC 13883 revealed resistance. The Au-NPs/chitosan composite showed moderate antifungal effectiveness against Syncephalis racemosum and Aspergillus niger alongside Candida albicans and several other tested fungi. Au-NPs showed cytotoxicity to breast MCF-7 cells, as well as liver HepG-2 cells and colon HCT-116 cells. The combination of Au-NPs with chitosan demonstrated limited effectiveness in countering hepatitis A virus (HAV-10) and herpes simplex virus type 1 (HSV-1). The combination of gamma-irradiated Au-NPs with biopolymers like chitosan demonstrates significant promise in antimicrobial and anticancer biomedical applications. Full article
(This article belongs to the Section Medical Microbiology)
Show Figures

Graphical abstract

28 pages, 4432 KB  
Article
Optimizing Informer with Whale Optimization Algorithm for Enhanced Ship Trajectory Prediction
by Haibo Xie, Jinliang Wang, Zhiqiang Shi and Shiyuan Xue
J. Mar. Sci. Eng. 2025, 13(10), 1999; https://doi.org/10.3390/jmse13101999 - 17 Oct 2025
Viewed by 627
Abstract
The rapid expansion of global shipping has led to continuously increasing vessel traffic density, making high-accuracy ship trajectory prediction particularly critical for navigational safety and traffic management optimization in complex waters such as ports and narrow channels. However, existing methods still face challenges [...] Read more.
The rapid expansion of global shipping has led to continuously increasing vessel traffic density, making high-accuracy ship trajectory prediction particularly critical for navigational safety and traffic management optimization in complex waters such as ports and narrow channels. However, existing methods still face challenges in medium-to-long-term prediction and nonlinear trajectory modeling, including insufficient accuracy and low computational efficiency. To address these issues, this paper proposes an enhanced Informer model (WOA-Informer) based on the Whale Optimization Algorithm (WOA). The model leverages Informer to capture long-term temporal dependencies and incorporates WOA for automated hyperparameter tuning, thereby improving prediction accuracy and robustness. Experimental results demonstrate that the WOA-Informer model achieves outstanding performance across three distinct trajectory patterns, with an average reduction of 23.1% in Root Mean Square Error (RMSE) and 27.8% in Haversine distance (HAV) compared to baseline models. The model also exhibits stronger robustness and stability in multi-step predictions while maintaining a favorable balance in computational efficiency. These results substantiate the effectiveness of metaheuristic optimization for strengthening deep learning architectures and present a computationally efficient, high-accuracy framework for vessel trajectory prediction. Full article
(This article belongs to the Special Issue Ship Manoeuvring and Control)
Show Figures

Figure 1

16 pages, 2167 KB  
Article
Continuous Circulation of Hepatitis E and A Viruses During COVID-19 Pandemic Lockdowns in Munich, Germany—Experience from Three Years of Wastewater Surveillance
by Jasmin Javanmardi, Mathias Schemmerer, Karina Wallrafen-Sam, Jessica Neusser, Raquel Rubio-Acero, Michael Hoelscher, Thomas Kletke, Bernhard Boehm, Michael Schneider, Elisabeth Waldeck, Martin Hoch, Merle M. Böhmer, Christof Geldmacher, Jan Hasenauer, Jürgen J. Wenzel and Andreas Wieser
Microorganisms 2025, 13(10), 2379; https://doi.org/10.3390/microorganisms13102379 - 15 Oct 2025
Viewed by 1632
Abstract
The COVID-19 pandemic has increased interest in wastewater-based epidemiology (WBE) as a reliable and cost-effective framework for monitoring the spread of microbes. However, WBE frameworks have rarely been applied to the study of fecal–oral transmissible diseases, except for poliomyelitis. Here, we investigated the [...] Read more.
The COVID-19 pandemic has increased interest in wastewater-based epidemiology (WBE) as a reliable and cost-effective framework for monitoring the spread of microbes. However, WBE frameworks have rarely been applied to the study of fecal–oral transmissible diseases, except for poliomyelitis. Here, we investigated the presence of hepatitis A virus (HAV) and hepatitis E virus (HEV) in wastewater in Munich. We collected wastewater samples between July 2020 and November 2023. A total of 186 samples were processed using centrifugation and analyzed for HAV- and HEV-RNA using RT-qPCR. As a reference, we used notification data from clinically or laboratory-diagnosed hepatitis A and E cases. Lockdown stringency levels were derived from official documentation. Our results show that 87.6% of wastewater samples were positive for HEV at concentrations of 9.0 × 101 to 2.5 × 105 copies/L, while HAV was only detectable in 7.5% of the samples at viral loads of 4.6 × 101 to 2.4 × 103 copies/L. We also detected differences in HEV concentrations but not in case numbers when comparing lockdown and no-lockdown periods. This study covers all but the first lockdowns in Bavaria. We present a unique real-world dataset evaluating the impact of lockdown interventions on hepatitis A and E case numbers, as well as on the concentrations of HAV and HEV in wastewater. Person-to-person spread and eating out appear to have contributed to the transmission of HEV. In addition, the consistently high HEV concentrations in sewage support the findings of serological studies, indicating a substantial burden of undetected subclinical infections. Full article
(This article belongs to the Special Issue Surveillance of Health-Relevant Pathogens Employing Wastewater)
Show Figures

Graphical abstract

9 pages, 284 KB  
Review
Evolving Insights into Viral Hepatitis: Advances, Evidence, and Expert Perspectives from the ESCMID Study Group for Viral Hepatitis (ESGVH)—Part 1: Hepatitis A, E, and Herpesvirus-Associated Liver Disease
by Oana Săndulescu, Mojca Matičič, Federico Garcia, Marianne Alanko Blomé, Mario U Mondelli, William Irving, Snjezana Zidovec-Lepej, Anders Widell and Gülşen Özkaya Şahin
Germs 2025, 15(3), 254-262; https://doi.org/10.18683/germs.2025.1472 - 30 Sep 2025
Viewed by 735
Abstract
Viral hepatitis remains a global health concern, with growing recognition of the impact of hepatitis A virus (HAV), hepatitis E virus (HEV), and herpesvirus-associated hepatitis, particularly in vulnerable groups. This narrative review from the ESCMID Study Group for Viral Hepatitis (ESGVH) summarizes recent [...] Read more.
Viral hepatitis remains a global health concern, with growing recognition of the impact of hepatitis A virus (HAV), hepatitis E virus (HEV), and herpesvirus-associated hepatitis, particularly in vulnerable groups. This narrative review from the ESCMID Study Group for Viral Hepatitis (ESGVH) summarizes recent advances and expert perspectives. For HAV, insights into viral evolution, epidemiology, and risk groups underline the preventable nature of severe disease. HEV is increasingly recognized as both a hepatotropic and a systemic pathogen, with expanding knowledge on natural and vaccine-induced immunity. Herpesvirus-associated hepatitis, while rare, poses significant challenges, especially in patients with immunosuppression or during pregnancy, where early suspicion and empirical antiviral therapy can be lifesaving. Collectively, these evolving insights highlight the importance of strengthened diagnostics, targeted prevention, and tailored management strategies to mitigate the burden of these underappreciated but clinically significant causes of viral hepatitis. Full article
11 pages, 914 KB  
Article
Seroprevalence of Hepatitis A in Oman Prior to National Vaccination
by Halima Al Shuaili, Mohamed El-Kassas, Khalid M. Al-Naamani, Zakaryia Al Muharrmi and Muhannad Al-Kobaisi
J. Clin. Med. 2025, 14(19), 6857; https://doi.org/10.3390/jcm14196857 - 28 Sep 2025
Viewed by 1038
Abstract
Background: The hepatitis A virus (HAV) is a major cause of acute viral hepatitis and a significant global health concern. This study provides a pre-vaccination baseline for Oman, enabling longitudinal comparison with post-hepatitis A vaccination cohorts. This study aimed to determine the pre-vaccination [...] Read more.
Background: The hepatitis A virus (HAV) is a major cause of acute viral hepatitis and a significant global health concern. This study provides a pre-vaccination baseline for Oman, enabling longitudinal comparison with post-hepatitis A vaccination cohorts. This study aimed to determine the pre-vaccination seroprevalence of HAV antibodies (anti-HAV) in Oman and explore the associated demographic factors. Methods: A cross-sectional study was conducted from April 2014 to August 2015 among patients attending the medical outpatient clinic of the Medical City Hospital for Military and Security Services. Demographic data were collected via a structured questionnaire, and serum samples were tested for anti-HAV immunoglobulin IgG and IgM using enzyme-linked immunosorbent assays. Multivariate analysis was performed to identify the predictors of anti-HAV seroprevalence. Results: Among 1975 participants, 88.1% were positive for anti-HAV IgG. The mean age was 37.4 ± 16.1 years; however, those negative for anti-HAV IgG were considerably younger (mean age: 24.8 ± 15.7 years). Anti-HAV IgG seroprevalence was 37% in individuals aged ≤18 years and 91% in those >18 years (p < 0.001). The factors associated with seropositivity included older age (p < 0.001), consuming food prepared outside the home (p < 0.001), occupation (p < 0.001), and education level (p = 0.003). In the multivariable analysis, only age showed a strong independent association with serostatus: per 10-year increase, the aOR for anti-HAV IgG seropositivity was 2.87 (95% CI 2.25–3.63; p < 0.001). Conclusions: Our study estimates show high anti-HAV IgG seroprevalence and serve as a pre-vaccination baseline for evaluating the hepatitis A vaccination program in Oman over time. Given the lower natural exposure among younger cohorts, continued routine vaccination, scheduled serosurveys, and strengthened surveillance are required to identify emerging immunity gaps and prevent future HAV outbreaks. Full article
(This article belongs to the Section Epidemiology & Public Health)
Show Figures

Figure 1

Back to TopTop