Sign in to use this feature.

Years

Between: -

Subjects

remove_circle_outline
remove_circle_outline
remove_circle_outline
remove_circle_outline
remove_circle_outline
remove_circle_outline
remove_circle_outline
remove_circle_outline
remove_circle_outline

Journals

Article Types

Countries / Regions

Search Results (21)

Search Parameters:
Keywords = Guangzhou Baiyun International Airport

Order results
Result details
Results per page
Select all
Export citation of selected articles as:
16 pages, 6714 KB  
Article
Effect of Fluoride Content in Synthetic Phosphogypsum on the Hydration Behavior and Mechanical Properties of Cemented Paste Backfill
by Bin Liu, Qinli Zhang, Daolin Wang, Yan Feng, Yikun Yang and Qiusong Chen
Appl. Sci. 2025, 15(24), 12939; https://doi.org/10.3390/app152412939 - 8 Dec 2025
Viewed by 437
Abstract
Phosphogypsum-based cemented paste backfill (PCPB) represents an effective solution for managing substantial accumulations of PG. However, its practical application is limited by excessive fluoride content and insufficient strength. To systematically investigate the influence of initial fluoride content on the hydration behavior, microstructures, and [...] Read more.
Phosphogypsum-based cemented paste backfill (PCPB) represents an effective solution for managing substantial accumulations of PG. However, its practical application is limited by excessive fluoride content and insufficient strength. To systematically investigate the influence of initial fluoride content on the hydration behavior, microstructures, and strength development of PCPB specimens, synthetic phosphogypsum was prepared using CaSO4·2H2O and NaF to eliminate impurity interference in this study. A series of specimens was designed with varying initial fluoride content (5–70 mg/L), sand-to-cement ratios (1:6, 1:8, 1:10), and concentrations (63 wt%, 65 wt%). Setting time, unconfined compressive strength, isothermal calorimetry, X-ray diffraction, and scanning electron microscopy were employed to elucidate the effects and underlying mechanisms of fluoride on PCPB performance. The results indicate that higher initial fluoride content markedly delayed setting and reduced early strength. Calorimetric analysis confirmed that fluoride postponed the exothermic peak and extended the induction period, primarily due to the formation of the CaF2 layer on clinker particle surfaces, which hindered nucleation and hydration. The microscopic results further revealed that high fluoride content suppressed the formation of ettringite and C-S-H gels, resulting in more porous and loosely bonded microstructures. Leaching tests indicated that fluoride immobilization in PCPB specimens occurred mainly through CaF2 precipitation, physical encapsulation, and ion exchange. These findings provide theoretical support for the fluoride thresholds in PG below which the adverse effects on cement hydration and strength development can be minimized, contributing to the sustainable goals of waste reduction, harmless disposal, and resource recovery in the phosphate industry. Full article
Show Figures

Figure 1

27 pages, 4961 KB  
Article
Trajectory Segmentation and Clustering in Terminal Airspace Using Transformer–VAE and Density-Aware Optimization
by Quanquan Chen and Meilong Le
Aerospace 2025, 12(11), 969; https://doi.org/10.3390/aerospace12110969 - 30 Oct 2025
Viewed by 736
Abstract
Clustering of aircraft trajectories in terminal airspace is essential for procedure evaluation, flow monitoring, and anomaly detection, yet it is challenged by dense traffic, irregular sampling, and diverse maneuvering behaviors. This study proposes a unified framework that integrates dynamics-aware segmentation, Transformer–Variational Autoencoder (Transformer–VAE)-based [...] Read more.
Clustering of aircraft trajectories in terminal airspace is essential for procedure evaluation, flow monitoring, and anomaly detection, yet it is challenged by dense traffic, irregular sampling, and diverse maneuvering behaviors. This study proposes a unified framework that integrates dynamics-aware segmentation, Transformer–Variational Autoencoder (Transformer–VAE)-based representation learning, and density-aware clustering with joint optimization. A dynamic-feature Minimum Description Length (DFE-MDL) algorithm is introduced to preserve maneuver boundaries and reduce reconstruction errors, while the Transformer–VAE encoder captures nonlinear spatiotemporal dependencies and generates compact latent embeddings. Clusters are initialized using Hierarchical Density-Based Spatial Clustering of Applications with Noise (HDBSCAN) and further refined through Kullback–Leibler (KL) divergence minimization to improve consistency and separability. Experiments on large-scale ADS-B data from Guangzhou Baiyun International Airport, comprising over 27,000 trajectories, demonstrate that the framework outperforms conventional geometric and deep learning baselines. Results show higher reconstruction fidelity, clearer cluster separation, and reduced computation time, enabling interpretable flow structures that reflect operational practices. Overall, the framework provides a data-driven and scalable approach for terminal-area trajectory analysis, offering practical value for STAR/SID compliance monitoring, anomaly detection, and airspace management. Full article
(This article belongs to the Section Air Traffic and Transportation)
Show Figures

Figure 1

19 pages, 3295 KB  
Article
Performance Evaluation of Porous Asphalt Mixture Reinforced with Waste Cellulose Acetate Fibers
by Jing Yan, Xiaobo Du and Hongwei Lin
Sustainability 2025, 17(8), 3447; https://doi.org/10.3390/su17083447 - 12 Apr 2025
Cited by 1 | Viewed by 1533
Abstract
Cellulose acetate fiber (CAF), a typical waste product derived from cigarette filters, has attracted growing attention for its potential reuse in asphalt materials. However, its application in porous asphalt (PA) mixtures remains underexplored. This study investigates the effects of CAF on the performance [...] Read more.
Cellulose acetate fiber (CAF), a typical waste product derived from cigarette filters, has attracted growing attention for its potential reuse in asphalt materials. However, its application in porous asphalt (PA) mixtures remains underexplored. This study investigates the effects of CAF on the performance of asphalt binders and PA-13 mixtures through a series of laboratory tests. The results demonstrate that CAF significantly enhances the high-temperature rheological performance of asphalt binders. A 1% CAF content improved the low-temperature rheological performance of asphalt binder, while a higher CAF content resulted in performance degradation. A fatigue life analysis revealed a parabolic relationship with CAF content with the optimal Nf50 observed at a 1% CAF-a 4.3% increase over the original binder. Compared to 3% lignin fiber (LF)-modified binders, 3% CAF-modified binders exhibited reduced temperature sensitivity in high-temperature performance, at least a 4.6% improvement in low-temperature performance and an 8.4% increase in the fatigue life. As for PA-13 mixtures, the incorporation of CAF progressively improved rutting, moisture and stripping resistance with increasing CAF content, achieving the highest dynamic stability, highest tensile strength ratio and lowest mass loss rate at 5% CAF. The low-temperature performance and fatigue life (S = 0.45) of PA-13 mixtures exhibited a parabolic trend, peaking at 3% CAF. Moreover, the 3% CAF-modified PA-13 mixture demonstrated improved low-temperature performance and fatigue resistance, while exhibiting a slight decrease in high-temperature stability, water resistance and resistance to disintegration. Overall, CAF is a viable alternative to LF for improving the durability and service life of asphalt pavements. Full article
(This article belongs to the Section Sustainable Engineering and Science)
Show Figures

Figure 1

19 pages, 2961 KB  
Article
Laboratory Evaluation of Cold Patching Asphalt Mixture with Refined–Processed Recycled Asphalt Pavement
by Jing Yan, Hongbo Liao, Xin Yang, Xiaobo Du, Dawei Shi and Hongwei Lin
Processes 2025, 13(3), 869; https://doi.org/10.3390/pr13030869 - 15 Mar 2025
Viewed by 1255
Abstract
This study investigates the effects of two separation processes: traditional separation technology (TST) and refined separation technology (RST), on the characteristics of recycled asphalt pavement (RAP) and the performance of cold patching asphalt mixtures (CPAM). The research evaluates the RAP separation efficiency, focusing [...] Read more.
This study investigates the effects of two separation processes: traditional separation technology (TST) and refined separation technology (RST), on the characteristics of recycled asphalt pavement (RAP) and the performance of cold patching asphalt mixtures (CPAM). The research evaluates the RAP separation efficiency, focusing on asphalt content and agglomeration degree, and examines the mechanical, high- and low-temperature, moisture susceptibility, anti-stripping, and fatigue performance of CPAM with varying RAP content (0–75%). A key innovation of this study is the exploration of using RST-RAP for CPAM production in comparison to TST-RAP. The findings reveal that the RST process significantly enhances the separation of coarse aggregates from asphalt mortar, leading to improved gradation, reduced agglomeration, and better overall RAP quality compared to TST. Incorporating RAP into CPAM improved the Marshall stability, with RST-RAP showing higher performance gains than TST-RAP, particularly at higher RAP content. Additionally, the dynamic stability, low-temperature cracking resistance, moisture resistance, and fatigue life of CPAM were positively influenced by RST-RAP, with optimal performance achieved at 25–50% RAP content. In contrast, excessive RAP content, especially with TST-RAP, negatively impacted the mixture’s properties, leading to higher brittleness and reduced stability. This study highlights the novelty of using RST-RAP to enhance CPAM performance, suggesting that the RST process is more effective in improving CPAM performance. However, RAP content should be carefully controlled (25–50% for RST-RAP and ≤25% for TST-RAP) to meet technical standards and ensure optimal durability. These findings provide valuable insights for optimizing RAP utilization in sustainable pavement maintenance practices. Full article
(This article belongs to the Section Materials Processes)
Show Figures

Figure 1

19 pages, 3307 KB  
Article
Laboratory Evaluation of Asphalt Binder and Asphalt Mixture Modified Using Styrene–Butadiene–Styrene/Rock Asphalt
by Hongbo Liao, Xin Yang, Jing Yan, Xiaobo Du and Hongwei Lin
Processes 2025, 13(2), 292; https://doi.org/10.3390/pr13020292 - 21 Jan 2025
Cited by 4 | Viewed by 2264
Abstract
This study investigates the performance enhancement of asphalt and its mixtures through modification with varying contents of styrene–butadiene–styrene (SBS) and rock asphalt (RA). A series of laboratory tests were conducted to comprehensively evaluate the effects of SBS and RA modification. The results demonstrated [...] Read more.
This study investigates the performance enhancement of asphalt and its mixtures through modification with varying contents of styrene–butadiene–styrene (SBS) and rock asphalt (RA). A series of laboratory tests were conducted to comprehensively evaluate the effects of SBS and RA modification. The results demonstrated that SBS significantly improves elasticity, low-temperature ductility, and resistance to fatigue and rutting, while RA enhances high-temperature stability, water stability, and stripping resistance. The synergistic effects of SBS and RA were evident, with the 4% SBS/10% RA mixture achieving the best comprehensive performance, which was characterized by improved high-temperature stability, low-temperature performance, and durability. Conversely, 15% RA content was found to reduce low-temperature flexibility and fatigue performance. A radar chart-based evaluation further confirmed the optimal performance of the 4% SBS/10% RA combination. These findings provide valuable guidance for selecting appropriate SBS and RA proportions tailored to specific performance requirements in asphalt pavement applications. Full article
(This article belongs to the Section Materials Processes)
Show Figures

Figure 1

26 pages, 7232 KB  
Article
Life Cycle Prediction of Airport Operation Based on System Dynamics
by Lili Wan, Zhanpeng Shan, Xinyue Jiang, Zhan Wang, Yangyang Lv, Shumeng Xu and Jiahui Huang
Sustainability 2024, 16(21), 9596; https://doi.org/10.3390/su16219596 - 4 Nov 2024
Cited by 1 | Viewed by 2282
Abstract
Traditional airport development planning often overlooks an in-depth consideration of the airport operation life cycle, which frequently causes deviations from planned objectives during operation. This paper presents a framework for predicting and segmenting the airport operation life cycle by integrating the dynamic characteristics [...] Read more.
Traditional airport development planning often overlooks an in-depth consideration of the airport operation life cycle, which frequently causes deviations from planned objectives during operation. This paper presents a framework for predicting and segmenting the airport operation life cycle by integrating the dynamic characteristics of the System Dynamics (SD) model with the static properties of Logistic modeling to examine the development trajectory of airport operations. The influencing factors in this model are selected across three levels: airport, city, and macro-environment. A system dynamics model of airport operation is constructed using causal loop diagrams and system flow diagrams. Using Guangzhou Baiyun International Airport (CAN) as a case study, the airport’s operational capacity from 2005 to 2035 is predicted through SD simulation. Subsequently, the airport operation life cycle from 2005 to 2050 is forecasted and segmented using Logistic modeling. The results indicate that, under the standard scenario, CAN’s operational capacity experiences two declines in 2016 and 2020, attributed to airport construction and emergencies. Logistic modeling identifies three distinct life cycle phases in the airport’s operation. Furthermore, by comparing various airport operation scenarios, the analysis reveals that fluctuations in the city economy significantly impact the airport’s operational system without altering its overall development trajectory. In contrast, the occurrence of emergencies can substantially modify the airport operation life cycle. Full article
(This article belongs to the Section Sustainable Transportation)
Show Figures

Figure 1

18 pages, 6279 KB  
Article
An Experimental Validation-Based Study of Airport Pavement Icing Mechanisms in Saline Environments and the Development of a Simplified Prediction Model
by Jianming Ling, Xinyuan Xing, Jie Zhang and Shifu Liu
Appl. Sci. 2024, 14(19), 8867; https://doi.org/10.3390/app14198867 - 2 Oct 2024
Viewed by 1380
Abstract
Runway icing presents a significant challenge to aviation safety, especially in saline environments, where comprehending the icing mechanisms and predicting the icing onset are crucial for efficient airport operations. This study developed a specialized experimental apparatus to examine the mechanisms of airport pavement [...] Read more.
Runway icing presents a significant challenge to aviation safety, especially in saline environments, where comprehending the icing mechanisms and predicting the icing onset are crucial for efficient airport operations. This study developed a specialized experimental apparatus to examine the mechanisms of airport pavement icing under controlled conditions. The apparatus, comprising an environmental chamber, a data acquisition system, and a scaled pavement structure, allowed for detailed simulations of various environmental factors. The experiments specifically examined the effects of the air temperature (−3 °C to −20 °C), wind speed (2 m/s to 6 m/s), and deicing salt concentration (0% to 80%) on the icing process. The results demonstrated that higher wind speeds and lower temperatures significantly accelerated the pavement surface cooling, leading to earlier icing onset. Under the most extreme conditions, the pavement reached critical icing temperatures within 15 min. In contrast, higher deicing salt concentrations delayed the icing onset by up to 67 min and 33 s at an 80% concentration, effectively lowering the pavement surface temperature. A comparison of the experimental data with the theoretical predictions showed initial consistency, although the discrepancies increased over time. This study culminated in the development of a simplified prediction model, which was validated against the experimental results, offering a practical tool for airport operators to manage runway safety during winter conditions. Full article
Show Figures

Figure 1

28 pages, 4599 KB  
Article
Research on the Green Transition Path of Airport Development under the Mechanism of Tripartite Evolutionary Game Model
by Yangyang Lv, Lili Wan, Naizhong Zhang, Zhan Wang, Yong Tian and Wenjing Ye
Sustainability 2024, 16(18), 8074; https://doi.org/10.3390/su16188074 - 15 Sep 2024
Cited by 4 | Viewed by 1939
Abstract
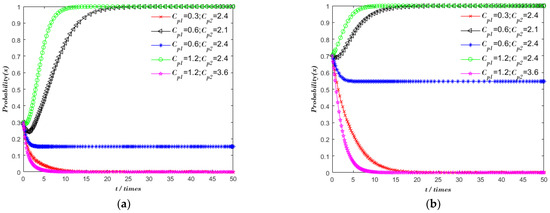
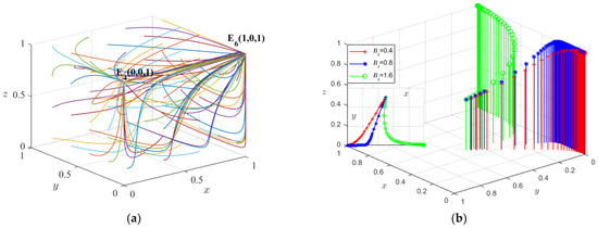
Since existing studies primarily explore green development measures from the static perspective of a single airport stakeholder, this paper constructs an evolutionary game model to analyze the strategic choices of three key stakeholders: airport authorities, third-party organizations, and government departments, based on evolutionary [...] Read more.
Since existing studies primarily explore green development measures from the static perspective of a single airport stakeholder, this paper constructs an evolutionary game model to analyze the strategic choices of three key stakeholders: airport authorities, third-party organizations, and government departments, based on evolutionary game theory. By solving the stable strategy of the tripartite evolution using the Jacobian matrix, the green transition of airport development can be divided into three stages: “initiation”, “development”, and “maturity”, allowing for the exploration of key factors influencing the green transition of airport development. A simulation analysis is conducted based on real Guangzhou Baiyun International Airport data. The results indicate that the tripartite evolutionary game strategy is stable at E4(0,0,1) and the green transition of Baiyun Airport remains in the development stage. By improving the reward and punishment mechanisms of government departments, the evolutionary game strategy can be stabilized at E8(1,1,1), promoting the green transition of airport development toward the mature stage. By adjusting the game parameters, the dynamic process of green transition in airports at different levels of development and under varying regulatory environments can be effectively captured, supporting the precise formulation of corresponding policies. Full article
(This article belongs to the Section Sustainable Transportation)
Show Figures

Figure 1

28 pages, 27790 KB  
Article
A Novel Aircraft Trajectory Generation Method Embedded with Data Mining
by Xuhao Gui, Junfeng Zhang, Xinmin Tang, Daniel Delahaye and Jie Bao
Aerospace 2024, 11(8), 648; https://doi.org/10.3390/aerospace11080648 - 9 Aug 2024
Cited by 4 | Viewed by 2027
Abstract
Data mining has achieved great success in air traffic management as a technology for learning knowledge from historical data that benefits people. However, data mining can rarely be embedded into the trajectory optimization process since regular optimization algorithms cannot utilize the functional and [...] Read more.
Data mining has achieved great success in air traffic management as a technology for learning knowledge from historical data that benefits people. However, data mining can rarely be embedded into the trajectory optimization process since regular optimization algorithms cannot utilize the functional and implicit knowledge extracted from historical data in a general paradigm. To tackle this issue, this research proposes a novel data mining-based trajectory generation method that is compatible with existing optimization algorithms. Firstly, the proposed method generates trajectories by combining various maneuvers learned from operation data instead of reconstructing trajectories with generative models. In such a manner, data mining-based trajectory optimization can be achieved by solving a combinatorial optimization problem. Secondly, the proposed method introduces a majorization–minimization-based adversarial training paradigm to train the generation model with more general loss functions, including non-differentiable flight performance constraints. A case study on Guangzhou Baiyun International Airport was conducted to validate the proposed method. The results illustrate that the trajectory generation model can generate trajectories with high fidelity, diversity, and flyability. Full article
(This article belongs to the Collection Air Transportation—Operations and Management)
Show Figures

Figure 1

16 pages, 9366 KB  
Article
Field Compaction Characteristics of Ultra-Thin Porous Friction Course Based on Laboratory Simulation
by Xiaobo Du, Hongwei Lin, Mutian Sun, Wenchang Liu and Hongchao Zhang
Appl. Sci. 2024, 14(13), 5489; https://doi.org/10.3390/app14135489 - 25 Jun 2024
Cited by 4 | Viewed by 1323
Abstract
As a preventive maintenance treatment, the ultra-thin porous friction course (UPFC) has been widely recognized and used in road maintenance because of its excellent performance and cost effectiveness. The Marshall compaction method (MCM) has been adopted to design UPFC mixtures worldwide, particularly in [...] Read more.
As a preventive maintenance treatment, the ultra-thin porous friction course (UPFC) has been widely recognized and used in road maintenance because of its excellent performance and cost effectiveness. The Marshall compaction method (MCM) has been adopted to design UPFC mixtures worldwide, particularly in China. However, there are few studies concerning the field compaction properties of MCM-designed UPFCs. The laboratory test results of this study from simulating on-site compaction showed that all UPFC specimens with thicknesses of less than 20 mm barely achieved the target compaction thickness, and all UPFC specimens with different thicknesses failed to meet the air void (AV) requirements of UPFC mixes designed using the MCM. According to the results of a virtual compaction test, and using the discrete element method, the strong force chains were strengthened as the UPFC thickness decreased inside the specimen, making it difficult to evenly diffuse and transfer inside the specimen and resulting in insufficient compaction of the UPFC. Furthermore, it was demonstrated that the MCM-designed UPFC specimens showed significant differences in the AV distributions along the vertical and lateral directions from those of the UPFC specimens that simulated field compaction. The UPFCs designed using the MCM had a poor correlation with field compaction. Full article
Show Figures

Figure 1

30 pages, 3858 KB  
Article
A Decision Support Framework for Aircraft Arrival Scheduling and Trajectory Optimization in Terminal Maneuvering Areas
by Dongdong Gui, Meilong Le, Zhouchun Huang and Andrea D’Ariano
Aerospace 2024, 11(5), 405; https://doi.org/10.3390/aerospace11050405 - 16 May 2024
Cited by 4 | Viewed by 2618
Abstract
This study introduces a decision support framework that integrates aircraft trajectory optimization and arrival scheduling to facilitate efficient management of descent operations for arriving aircraft within terminal maneuvering areas. The framework comprises three modules designed to tackle specific challenges in the descent process. [...] Read more.
This study introduces a decision support framework that integrates aircraft trajectory optimization and arrival scheduling to facilitate efficient management of descent operations for arriving aircraft within terminal maneuvering areas. The framework comprises three modules designed to tackle specific challenges in the descent process. The first module formulates and solves a trajectory optimization problem, generating a range of candidate descent trajectories for each arriving aircraft. The options for descent operations include step-down descent operation, Continuous Descent Operation (CDO), and CDO with a lateral path stretching strategy. The second module addresses the assignment of conflict-free trajectories to aircraft, determining precise arrival times at each waypoint. This is achieved by solving an aircraft arrival scheduling problem. To overcome computational complexities, a novel variable neighborhood search algorithm is proposed as the solution approach. This algorithm utilizes three neighborhood structures within an extended relaxing and solving framework, and incorporates a tabu search algorithm to enhance the efficiency of the search process in the solution space. The third module focuses on comparing the total cost incurred from flight delays and fuel consumption across the three descent operations, enabling the selection of the most suitable operation for the descent process. The decision support framework is evaluated using real air traffic data from Guangzhou Baiyun International Airport. Experimental results demonstrate that the framework effectively supports air traffic controllers by scheduling more cost-efficient descent operations for arrival aircraft. Full article
Show Figures

Figure 1

24 pages, 8189 KB  
Article
Delay in the Air or Detour on the Ground?—A Case Study in Guangzhou Baiyun International Airport
by Zhuoming Du, Junfeng Zhang, Zhao Ma and Jiaxin Xu
Aerospace 2024, 11(1), 10; https://doi.org/10.3390/aerospace11010010 - 22 Dec 2023
Cited by 1 | Viewed by 2282
Abstract
Collaboration between terminal airspace and airport surface operation shows an increasing significance for the best efficiency of both parts of the air traffic management domain. Runways play a critical role in connecting the two parts for departure and arrival aircraft. Suppose the gate [...] Read more.
Collaboration between terminal airspace and airport surface operation shows an increasing significance for the best efficiency of both parts of the air traffic management domain. Runways play a critical role in connecting the two parts for departure and arrival aircraft. Suppose the gate and the entry fix of an aircraft are predetermined according to the flight plan, and they are on the opposite side of the airport terminal. The aircraft will either spend more time (i.e., delay in the air) landing on a runway close to its gate or take a longer distance (i.e., detour on the ground) taxiing to its gate if a runway close to its entry fix is assigned. This paper proposes a runway assignment model considering terminal airspace operation and airport surface movement simultaneously to discover how runway assignments can affect integrated operations. Four different runway assignment schemes are applied in this model. Subsequently, a metaheuristic method is proposed to solve the model. Furthermore, the historical taxiing and flight time data are analyzed to demonstrate the potential benefits of runway reassignment. Finally, the results show that the free assignment of the runway stands out among the four schemes, not only in the performance of terminal airspace operation (lower flight time) but also in airport surface movement (lower pushback delay, taxi time). Full article
(This article belongs to the Collection Air Transportation—Operations and Management)
Show Figures

Figure 1

24 pages, 6765 KB  
Article
Medium- and Long-Term Prediction of Airport Carbon Emissions under Uncertain Conditions Based on the LEAP Model
by Wenjing Ye, Lili Wan, Zhan Wang, Wenhui Ye, Jinhui Chen, Yangyang Lv, Zhanpeng Shan, Huazhong Wang and Xinyue Jiang
Sustainability 2023, 15(21), 15409; https://doi.org/10.3390/su152115409 - 29 Oct 2023
Cited by 3 | Viewed by 2953
Abstract
As important nodes in the air transport system, it is of great significance for airports to achieve the carbon-peaking goal before 2030 under the target of peaking carbon emissions in China’s civil aviation industry. However, it remains unknown whether airports will be able [...] Read more.
As important nodes in the air transport system, it is of great significance for airports to achieve the carbon-peaking goal before 2030 under the target of peaking carbon emissions in China’s civil aviation industry. However, it remains unknown whether airports will be able to realize this ambitious goal due to a variety of uncertain factors, such as the social economy, epidemic impact, and emission reduction measures. According to the possibilities of uncertain factors, 12 uncertain scenarios were constructed. Using the case of Guangzhou Baiyun International Airport (CAN), this study predicted medium- and long-term carbon emission trends under 12 uncertain scenarios based on the Long-range Energy Alternatives Planning System (LEAP) model. Furthermore, the effects of carbon abatement measures and emission reduction responsibilities were analyzed. The results show that CAN cannot guarantee that it will realize the goal under the established abatement policy. If socioeconomic development is rapid, carbon emissions will peak at about 90 kt tons in 2030, and if socioeconomic development is slow, it will plateau at about 1 million tons between 2030 and 2035. What is more, airlines bear the greatest responsibility for reducing emissions, and technological progress measures have the highest abatement potential. This study provides decision support for airport stakeholders in abatement work so as to ensure that airports can achieve the carbon-peaking goal. Full article
Show Figures

Figure 1

19 pages, 37775 KB  
Article
Aircraft Noise Reduction Strategies and Analysis of the Effects
by Jinlong Xie, Lei Zhu and Hsiao Mun Lee
Int. J. Environ. Res. Public Health 2023, 20(2), 1352; https://doi.org/10.3390/ijerph20021352 - 11 Jan 2023
Cited by 15 | Viewed by 5878
Abstract
In this study, six aircraft noise reduction strategies including the optimization of aircraft type, regulation of night flight number, optimization of flight procedure, modification of operating runway, land use planning and installation of sound insulation windows were proposed to alleviate the harmful impact [...] Read more.
In this study, six aircraft noise reduction strategies including the optimization of aircraft type, regulation of night flight number, optimization of flight procedure, modification of operating runway, land use planning and installation of sound insulation windows were proposed to alleviate the harmful impact of aircraft noise on the local area and population near Guangzhou Baiyun International Airport (BIA) in China. The effects of all proposed strategies except for land use planning and sound insulation windows were simulated and analyzed using CadnaA software. The results indicate that these noise reduction strategies have their own advantages and each of them can serve as an effective noise reduction measure for different applications. For instance, the replacement of noisy aircraft with low-noise aircraft can simultaneously reduce the area and population exposed to a high noise level, while the optimization of flight procedure can only reduce the population exposed under relatively low noise levels (70 LWECPN ≤ 75 dB). Nevertheless, the modification of operating runway is more effective in reducing the population suffering under high noise levels (LWECPN > 85 dB). Among these strategies, reducing the number of night flights is found to be most effective in reducing the overall noise-exposed area and population. Additionally, with the assistance of noise mapping, proper land use planning was suggested according to national standards, and the installation of sound insulation windows with different sound reduction grades can be determined for different areas impacted by the aircraft noise of BIA. It is believed that the results of this study can be applied as a reference in selecting suitable noise reduction strategies to improve the acoustic environment of a specific airport. Full article
(This article belongs to the Special Issue Environmental Acoustics Assessments in Urban and Suburban Contexts)
Show Figures

Figure 1

14 pages, 8631 KB  
Article
Distribution Prediction of Strategic Flight Delays via Machine Learning Methods
by Ziming Wang, Chaohao Liao, Xu Hang, Lishuai Li, Daniel Delahaye and Mark Hansen
Sustainability 2022, 14(22), 15180; https://doi.org/10.3390/su142215180 - 16 Nov 2022
Cited by 24 | Viewed by 6439
Abstract
Predicting flight delays has been a major research topic in the past few decades. Various machine learning algorithms have been used to predict flight delays in short-range horizons (e.g., a few hours or days prior to operation). Airlines have to develop flight schedules [...] Read more.
Predicting flight delays has been a major research topic in the past few decades. Various machine learning algorithms have been used to predict flight delays in short-range horizons (e.g., a few hours or days prior to operation). Airlines have to develop flight schedules several months in advance; thus, predicting flight delays at the strategic stage is critical for airport slot allocation and airlines’ operation. However, less work has been dedicated to predicting flight delays at the strategic phase. This paper proposes machine learning methods to predict the distributions of delays. Three metrics are developed to evaluate the performance of the algorithms. Empirical data from Guangzhou Baiyun International Airport are used to validate the methods. Computational results show that the prediction accuracy of departure delay at the 0.65 confidence level and the arrival delay at the 0.50 confidence level can reach 0.80 without the input of ATFM delay. Our work provides an alternative tool for airports and airlines managers for estimating flight delays at the strategic phase. Full article
Show Figures

Figure 1

Back to TopTop