Aircraft Noise Reduction Strategies and Analysis of the Effects
Abstract
1. Introduction
2. Methodologies and Discussion of the Results
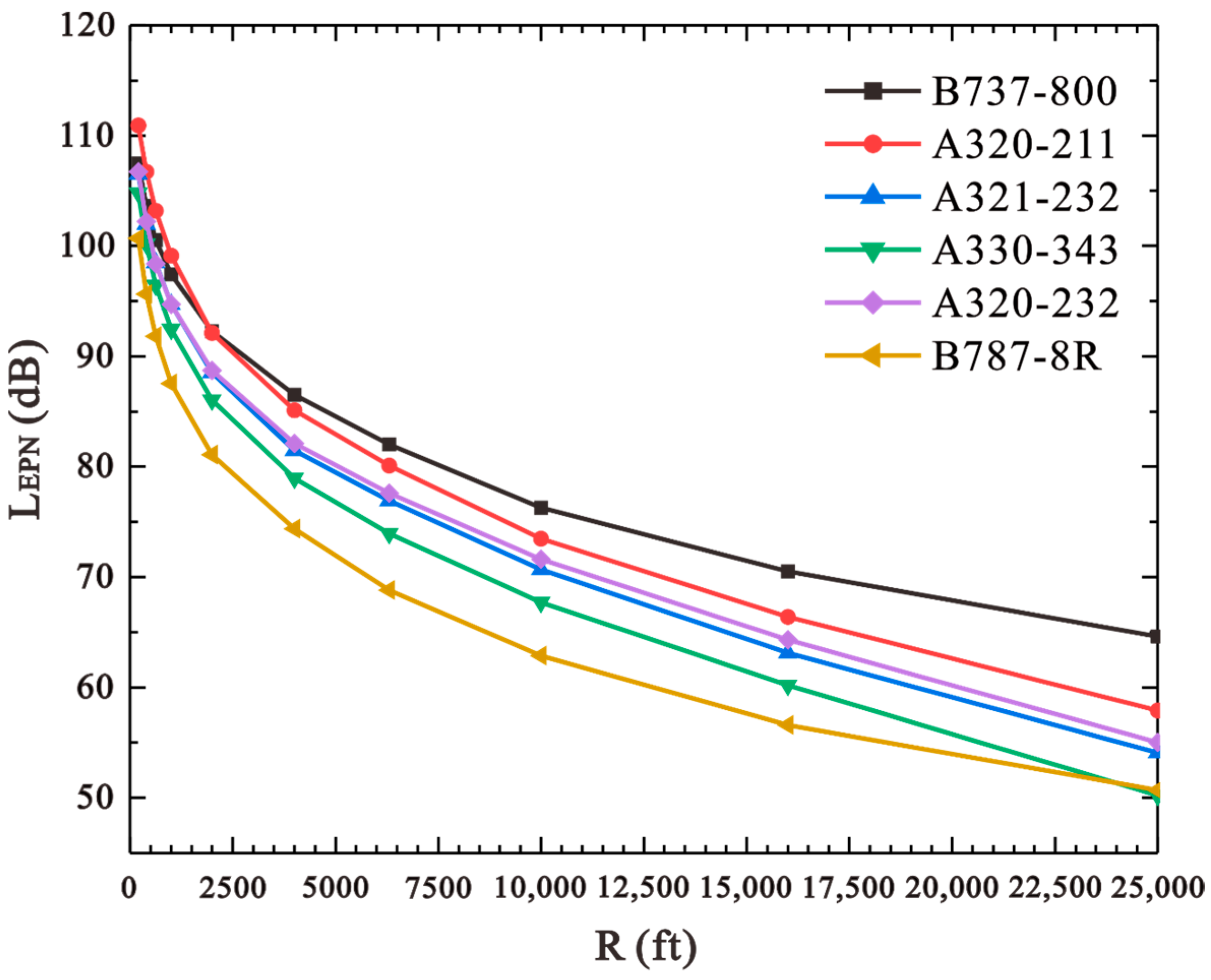
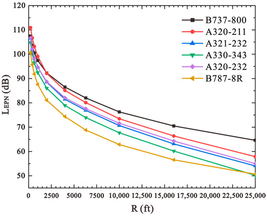
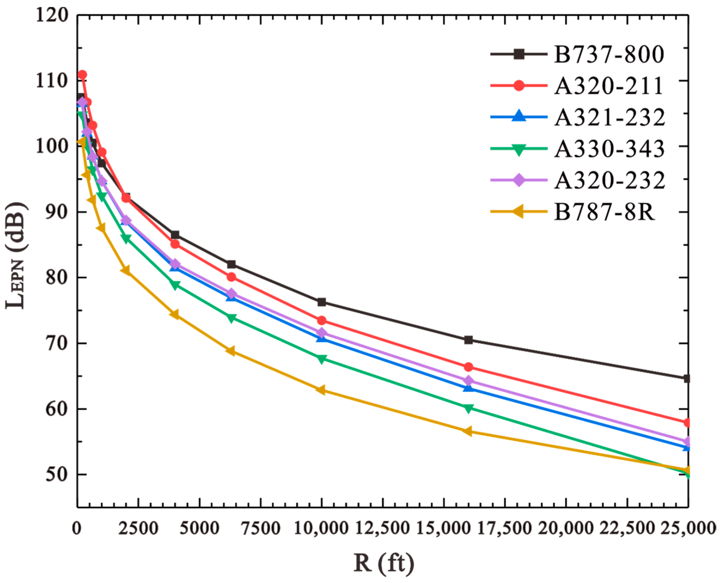
2.1. Optimization of the Aircraft Type
2.2. Regulation of Night Flight Numbers
- Practice 1: transfer 50% of night flights to day and evening;
- Practice 2: transfer all night flights to day and evening (implement a curfew).
2.3. Optimization of the Flight Procedure
- 3.
- Summer: Change the flight procedures of T-20R-A, T-20R-B and T-20R-C (refer to Section 2.3 in Lee et al. [27] for the details of flight procedure) of runway 20R to “after taking off from runway 20R, turn left at 71° (turning radius = 2.0 km), then fly straightly......”, as shown in Figure 8a.
- 4.
- Winter: Change the flight procedures of T-02L-A, T-02L-B and T-02L-C of runway 02L to “after taking off from runway 02L, turn right at 61° (turning radius = 2.0 km), then fly straightly......”, as shown in Figure 8b.
2.4. Modification of the Operating Runway
- It is assumed that runway 20L/02R (3800 m) can be extended in both south and north directions by 600 m, by which the extended runway is still located within the airport region, as shown in Figure 9;
- Summer: The wind is mainly blowing from south to north direction, BIA only uses the proposed new runway 20LN as shown in Figure 10. The white and black circles are the end of the landing and non-landing zones of the runway, respectively;
- Winter: The wind is mainly blowing from north to south direction, BIA is assumed to use the new runway 02RN as shown in Figure 11. The white and black circles are the end of the landing and non-landing zones of the runway, respectively.



2.5. Land Use Planning
2.6. Installation of Sound Insulation Windows
3. Conclusions
Author Contributions
Funding
Institutional Review Board Statement
Informed Consent Statement
Data Availability Statement
Conflicts of Interest
Nomenclature
| Symbol | |
| Weighted equivalent continuous perceived noise level | |
| R | The distance between the measurement point and the aircraft track |
| Effective perceived noise level | |
| Energy average of effective perceived noise level | |
| , , | The number of aircrafts during day (7:00∼19:00), evening (19:00∼22:00) and night (22:00∼7:00) |
| Weighted sound reduction index | |
| Noise limit of weighted equivalent continuous perceived noise level | |
| Noise limit of A-weighted maximum sound pressure level | |
| Abbreviations | |
| BIA | Guangzhou Baiyun International Airport |
| NPD | Noise–Power–Distance data |
| ANP | Aircraft noise and performance |
| EEC | Eurocontrol Experimental Centre |
Appendix A
| Type | Model |
|---|---|
| B737-800 | B737-800 |
| A320-211 | A320-231, A320-212, A320-214, A320-215, A320-216, A320-251N, A320-252N |
| A320-232 | A320-231, A320-232, A320-233, A320-271N |
| A321-232 | A21N, A321 |
| A330-343 | A330-243, A330-341, A330-342, A330-343 |
| B787-8R | B787-9, B787-8 |
| Land Type | Coverage | Sensitivity | Noise Limit | |
|---|---|---|---|---|
| I | Residential, school, hospital, etc. | Sensitive | = 70 dB | = 90 dBA |
| II | Administrative, commercial, etc. | Quite sensitive | = 75 dB | |
| III | Industry, warehousing, entertainment, park, plaza, etc. | Less sensitive | = 80 dB | - |
| IV | Transportation, public facilities, mining, agriculture, waters, etc. | Not sensitive | - | |
References
- Air Passenger Numbers to Recover in 2024. Available online: https://www.iata.org/en/pressroom/2022-releases/2022-03-01-01/ (accessed on 11 November 2022).
- Global Market Forecast 2022; Technical Report; Airbus: Toulouse, France, 2022.
- Sayed, A.A. A Case Study of Cairo Airport Noise for Preserving Worker’s Hearing in Egypt. Acta Acust. United Acust. 2014, 100, 118–125. [Google Scholar] [CrossRef]
- Chen, T.J.; Chen, S.; Hsieh, P.Y.; Chiang, H.C. Auditory Effects of Aircraft Noise on People Living Near an Airport. Arch. Environ. Health 1997, 52, 45–50. [Google Scholar] [CrossRef] [PubMed]
- Babisch, W.; Houthuijs, D.; Pershagen, G.; Cadum, E.; Katsouyanni, K.; Velonakis, M.; Dudley, M.L.; Marohn, H.; Swart, W.; Breugelmans, O.; et al. Annoyance due to aircraft noise has increased over the years—Results of the HYENA study. Environ. Int. 2009, 35, 1169–1176. [Google Scholar] [CrossRef] [PubMed]
- Di, G.; Liu, X.; Shi, X.; Li, Z.; Lin, Q. Investigation of the relationship between aircraft noise and community annoyance in China. Noise Health 2012, 14, 52–57. [Google Scholar]
- Kim, S.J.; Chai, S.K.; Lee, K.W.; Park, J.B.; Min, K.B.; Kil, H.G.; Lee, C.; Lee, K.J. Exposure–Response Relationship Between Aircraft Noise and Sleep Quality: A Community-based Cross-sectional Study. Osong Public Health Res. Perspect. 2014, 5, 108–114. [Google Scholar] [CrossRef]
- Nassur, A.M.; Lefèvre, M.; Laumon, B.; Léger, D.; Evrard, A.S. Aircraft Noise Exposure and Subjective Sleep Quality: The Results of the DEBATS Study in France. Behav. Sleep Med. 2019, 17, 502–513. [Google Scholar] [CrossRef]
- Wright, D.M.; Newell, K.; Maguire, A.; O’Reilly, D. Aircraft noise and self-assessed mental health around a regional urban airport: A population based record linkage study. Environ. Health 2018, 17, 74. [Google Scholar] [CrossRef]
- Haines, M.M.; Stansfeld, S.A.; Brentnall, S.; Head, J.; Berry, B.; Jiggins, M.; Hygge, S. The West London Schools Study: The effects of chronic aircraft noise exposure on child health. Psychol. Med. 2001, 31, 1385–1396. [Google Scholar] [CrossRef]
- Rosenlund, M.; Berglind, N.; Pershagen, G.; Jarup, L.; Bluhm, G. Increased prevalence of hypertension in a population exposed to aircraft noise. Occup. Environ. Med. 2001, 58, 769–773. [Google Scholar] [CrossRef]
- Hansell, A.L.; Blangiardo, M.; Fortunato, L.; Floud, S.; Hoogh, K.D.; Fecht, D.; Ghosh, R.E.; Laszlo, H.E.; Pearson, C.; Beale, L. Aircraft noise and cardiovascular disease near Heathrow airport in London: Small area study. Br. Med. J. 2014, 348, g3504. [Google Scholar] [CrossRef]
- Directive 2002/49/EC of the European Parliament and of the Council of 25 June 2002 Relating to the Assessment and Management of Environmental Noise Declaration by the Commission in the Conciliation Committee on the Directive Relating to the Assessment and Management of Environmental Noise; Technical Report; European Communities: Luxembourg, 2002.
- Netjasov, F. Contemporary measures for noise reduction in airport surroundings. Appl. Acoust. 2012, 73, 1076–1085. [Google Scholar] [CrossRef]
- Girvin, R. Aircraft noise-abatement and mitigation strategies. J. Air Transp. Manag. 2009, 15, 14–22. [Google Scholar] [CrossRef]
- Asensio, C.; Pavón, I.; Recuero, M.; Ausejo, M. Airport Noise Insulation Programs: The Spanish Case. Noise Vib. Worldw. 2012, 43, 8–15. [Google Scholar] [CrossRef]
- Postorino, M.N.; Mantecchini, L. A systematic approach to assess the effectiveness of airport noise mitigation strategies. J. Air Transp. Manag. 2016, 50, 71–82. [Google Scholar] [CrossRef]
- Prats, X.; Puig, V.; Quevedo, J. A multi-objective optimization strategy for designing aircraft noise abatement procedures. Case study at Girona airport. Transport. Res. Part D-Transport. Environ. 2011, 16, 31–41. [Google Scholar] [CrossRef]
- Vogiatzis, K. Airport environmental noise mapping and land use management as an environmental protection action policy tool. The case of the Larnaka International Airport (Cyprus). Sci. Total Environ. 2012, 424, 162–173. [Google Scholar] [CrossRef]
- Licitra, G.; Gagliardi, P.; Fredianelli, L.; Simonetti, D. Noise mitigation action plan of Pisa civil and military airport and its effects on people exposure. Appl. Acoust. 2014, 84, 25–36. [Google Scholar] [CrossRef]
- Sadr, M.K.; Nassiri, P.; Mohsen, H.; Masoud, M.; Alireza, G. Assessment of land use compatibility and noise pollution at Imam Khomeini International Airport. J. Air Transp. Manag. 2014, 34, 49–56. [Google Scholar] [CrossRef]
- Lei, B.; Yang, X.; Yang, J. Noise prediction and control of Pudong International Airport expansion project. Environ. Monit. Assess. 2009, 151, 1–8. [Google Scholar] [CrossRef]
- Zhang, Q.; Yan, G.; Fang, K. Noise environment near the airport and soundproof reconstruction of residences. Noise Vib. Control 2011, 31, 75–79. [Google Scholar]
- Chen, X.; Liu, F. Civil airports’ effect on environment and countermeasures –based on the example of noise. Sci. Technol. Western China 2009, 8, 2. [Google Scholar]
- Airport Overview. Available online: https://www.gbiac.net/byairport-web/menu/index?urlKey=airport-basic-facts_en (accessed on 11 November 2022).
- Guangzhou Baiyun International Airport Becomes World’s Busiest Airport in 2020. Available online: https://www.globaltimes.cn/page/202101/1213887.shtml (accessed on 11 November 2022).
- Xie, J.; Zhu, L.; Lee, H.M. Novel Methodologies for the Development of Large-Scale Airport Noise Map. Sustainability 2022, 14, 6573. [Google Scholar] [CrossRef]
- Guangzhou Baiyun International Airport. Available online: https://www.flightradar24.com/ (accessed on 11 November 2022).
- The Aircraft Noise and Performance (ANP) Database: An international data resource for aircraft noise modellers. Available online: https://www.aircraftnoisemodel.org/home (accessed on 16 October 2021).
- Aircraft Pricing. Available online: http://www.axonaviation.com/commercial-aircraft/aircraft-data/aircraft-pricing (accessed on 11 November 2022).
- Measurement of Aircraft Noise Around Airport; Technical Report GB9661-88; Ministry of Environmental Protection of the People’s Republic of China: Beijing, China, 1988.
- Landing Distance. Available online: https://mediawiki.ivao.aero/index.php?title=Landing_distance (accessed on 11 November 2022).
- Airport Noise Compatibility Planning; Technical Report 14 CFR Part 150; Federal Aviation Administration, Department of Transportation: Washington, DC, USA, 2011.
- Bai, L.; Li, Y.; Tian, A. Control Measures of Civil Airport Aircraft Noise Pollution. Pollut. Control Technol. 2010, 23, 82–84. [Google Scholar]
- Zhang, M.; Tian, T.; Cheng, S. Research on Sound Controlled Classification in Environmental Planning—A Case Study of Longjia Airport in Changchun City. Environ. Sci. Manag. 2016, 41, 31–36. [Google Scholar]
- Lee, H.M.; Haris, A.; Lim, K.M.; Xie, J.; Lee, H.P. Environmental Noise Mitigation by Plenum Window with Sonic Crystals and Jagged Flap. Fluct. Noise Lett. 2019, 18, 1950001. [Google Scholar] [CrossRef]
- Lee, H.M.; Wang, Z.; Lim, K.M.; Xie, J.; Lee, H.P. Novel plenum window with sonic crystals for indoor noise control. Appl. Acoust. 2020, 167, 107390. [Google Scholar] [CrossRef]
- Asensio, C.; Recuero, M.; Pavón, I. Citizens’ perception of the efficacy of airport noise insulation programmes in Spain. Appl. Acoust. 2014, 84, 107–115. [Google Scholar] [CrossRef]
- Windows for Sound Insulation; Technical Report HJ/T 17—1996; Ministry of Environmental Protection of the People’s Republic of China: Beijing, China, 1996.
- Code for Design of Sound Insulation of Civil Buildings; Technical Report GB 50118-2010; Ministry of Housing and Urban-Rural Development of the People’s Republic of China: Beijing, China, 2011.
- Environmental Quality Standard for Airplane Noise in the Vicinity of Airports (Second Solicit Opinion Draft); Technical Report; Ministry of Ecology and Environment of the People’s Republic of China: Beijing, China, 2017.











| Type | Passenger Capacity (Person) | Price (USD) |
|---|---|---|
| B737-800 | 162 | 106 million |
| A320-211 | 150 | 98 million |
| A320-232 | 150 | 98 million |
| A321-232 | 185 | 115 million |
| A330-343 | 277 | 256 million |
| B787-8R | 242 | 248 million |
| > 70 dB | > 75 dB | > 80 dB | > 85 dB | > 90 dB | ||
|---|---|---|---|---|---|---|
| Area () | Before | 83.885 | 38.813 | 16.925 | 7.165 | 2.960 |
| After | 68.872 | 32.553 | 14.307 | 6.022 | 2.526 | |
| Percentage | 17.90% | 16.13% | 15.47% | 15.95% | 14.66% | |
| Population (person) | Before | 194,842 | 75,514 | 13,414 | 1831 | 155 |
| After | 142,995 | 57,302 | 9016 | 1785 | 146 | |
| Percentage | 26.61% | 24.12% | 32.79% | 2.51% | 5.81% |
| > 70 dB | > 75 dB | > 80 dB | > 85 dB | > 90 dB | |||
|---|---|---|---|---|---|---|---|
| Practice 1 | Area () | After | 68.808 | 31.328 | 13.683 | 5.675 | 2.300 |
| Percentage | 17.97% | 19.29% | 19.16% | 20.80% | 22.30% | ||
| Population (person) | After | 154,814 | 54,225 | 5682 | 749 | 35 | |
| Percentage | 20.54% | 28.19% | 57.64% | 59.09% | 77.42% | ||
| Practice 2 | Area () | After | 51.148 | 23.225 | 10.040 | 4.037 | 1.573 |
| Percentage | 39.03% | 40.16% | 40.68% | 43.66% | 46.86% | ||
| Population (person) | After | 110,219 | 30,283 | 2793 | 312 | 0 | |
| Percentage | 43.43% | 59.90% | 79.18% | 82.96% | 100% | ||
| > 70 dB | > 75 dB | > 80 dB | > 85 dB | > 90 dB | |||
|---|---|---|---|---|---|---|---|
| Summer | Area () | Before | 83.885 | 38.813 | 16.925 | 7.165 | 2.960 |
| After | 83.535 | 38.505 | 16.942 | 7.164 | 2.959 | ||
| Population (person) | Percentage | 0.42% | 0.79% | −0.10% | 0.01% | 0.03% | |
| Before | 194,842 | 75,514 | 13,414 | 1831 | 155 | ||
| After | 158,803 | 65,929 | 14,205 | 1831 | 155 | ||
| Percentage | 18.50% | 12.69% | −5.90% | 0% | 0% | ||
| Winter | Area () | Before | 78.386 | 36.249 | 15.790 | 6.536 | 2.594 |
| After | 79.913 | 36.745 | 15.957 | 6.582 | 2.610 | ||
| Population (person) | Percentage | −1.95% | −1.37% | −1.06% | −0.70% | −0.62% | |
| Before | 223,261 | 76,473 | 22,260 | 4033 | 436 | ||
| After | 198,830 | 75,579 | 22,288 | 4033 | 436 | ||
| Percentage | 10.94% | 1.17% | −0.13% | 0% | 0% |
| > 70 dB | > 75 dB | > 80 dB | > 85 dB | > 90 dB | |||
|---|---|---|---|---|---|---|---|
| Summer | Area () | Before | 83.885 | 38.813 | 16.925 | 7.165 | 2.960 |
| After | 83.263 | 38.445 | 16.712 | 7.119 | 3.038 | ||
| Percentage | 0.74% | 0.95% | 1.26% | 0.64% | −2.64% | ||
| Population (person) | Before | 194,842 | 75,514 | 13,414 | 1831 | 155 | |
| After | 195,191 | 74,721 | 11,901 | 1242 | 0 | ||
| Percentage | −0.18% | 1.05% | 11.28% | 32.17% | 100% | ||
| Winter | Area () | Before | 78.386 | 36.249 | 15.790 | 6.536 | 2.594 |
| After | 80.256 | 36.881 | 15.857 | 6.611 | 2.639 | ||
| Percentage | −2.39% | −1.74% | −0.42% | −1.15% | −1.73% | ||
| Population (person) | Before | 223,261 | 76,473 | 22,260 | 4033 | 436 | |
| After | 223,194 | 75,778 | 21,173 | 2048 | 0 | ||
| Percentage | 0.03% | 0.91% | 4.88% | 49.22% | 100% |
| Land Type | Cases | <70 dB | 70∼75 dB | 75∼80 dB | 80∼85 dB | 85∼90 dB | >90 dB |
|---|---|---|---|---|---|---|---|
| I | Existing | Y | 20 | 25 | 30 | M | M |
| New | Y | N (20) | N | N | N | N | |
| II | Existing | Y | Y | 25 | 30 | 35 | M |
| New | Y | Y | N (25) | N (30) | N | N | |
| III | Existing | Y | Y | Y | 25 | 30 | 35 |
| New | Y | Y | Y | N (25) | N (30) | N | |
| IV | New | Y | Y | Y | Y | Y | Y |
Disclaimer/Publisher’s Note: The statements, opinions and data contained in all publications are solely those of the individual author(s) and contributor(s) and not of MDPI and/or the editor(s). MDPI and/or the editor(s) disclaim responsibility for any injury to people or property resulting from any ideas, methods, instructions or products referred to in the content. |
© 2023 by the authors. Licensee MDPI, Basel, Switzerland. This article is an open access article distributed under the terms and conditions of the Creative Commons Attribution (CC BY) license (https://creativecommons.org/licenses/by/4.0/).
Share and Cite
Xie, J.; Zhu, L.; Lee, H.M. Aircraft Noise Reduction Strategies and Analysis of the Effects. Int. J. Environ. Res. Public Health 2023, 20, 1352. https://doi.org/10.3390/ijerph20021352
Xie J, Zhu L, Lee HM. Aircraft Noise Reduction Strategies and Analysis of the Effects. International Journal of Environmental Research and Public Health. 2023; 20(2):1352. https://doi.org/10.3390/ijerph20021352
Chicago/Turabian StyleXie, Jinlong, Lei Zhu, and Hsiao Mun Lee. 2023. "Aircraft Noise Reduction Strategies and Analysis of the Effects" International Journal of Environmental Research and Public Health 20, no. 2: 1352. https://doi.org/10.3390/ijerph20021352
APA StyleXie, J., Zhu, L., & Lee, H. M. (2023). Aircraft Noise Reduction Strategies and Analysis of the Effects. International Journal of Environmental Research and Public Health, 20(2), 1352. https://doi.org/10.3390/ijerph20021352

