Abstract
Since existing studies primarily explore green development measures from the static perspective of a single airport stakeholder, this paper constructs an evolutionary game model to analyze the strategic choices of three key stakeholders: airport authorities, third-party organizations, and government departments, based on evolutionary game theory. By solving the stable strategy of the tripartite evolution using the Jacobian matrix, the green transition of airport development can be divided into three stages: “initiation”, “development”, and “maturity”, allowing for the exploration of key factors influencing the green transition of airport development. A simulation analysis is conducted based on real Guangzhou Baiyun International Airport data. The results indicate that the tripartite evolutionary game strategy is stable at and the green transition of Baiyun Airport remains in the development stage. By improving the reward and punishment mechanisms of government departments, the evolutionary game strategy can be stabilized at , promoting the green transition of airport development toward the mature stage. By adjusting the game parameters, the dynamic process of green transition in airports at different levels of development and under varying regulatory environments can be effectively captured, supporting the precise formulation of corresponding policies.
1. Introduction
As one of the most important modes of transportation, air transport has significantly contributed to the convenient travel of passengers and cargo. Air transport has played a significant role in fostering economic and cultural exchanges between regions, making airports key hubs for global resource allocation. However, while airports foster economic and cultural exchanges between regions, they also lead to issues, such as resource waste and environmental pollution. The fundamental reason for these issues is that the goal of airport development is to maximize economic benefits. This development strategy is no longer able to meet the green development requirements of the air transport industry [1]. According to the Intergovernmental Panel on Climate Change (IPCC), aviation has contributed 13% of greenhouse gas emissions over the past five decades, significantly increasing the global surface temperatures [2]. To promote the green development of the aviation industry, the International Civil Aviation Organization (ICAO) convened the Report of The High-Level Meeting on The Feasibility of A Long-Term Aspirational Goal for International Aviation CO2 Emissions Reductions (HLM-LTAG) in 2022 [3]. This meeting aims to achieve the aspirational goal of net-zero carbon emissions from international aviation by 2050, with an annual fuel efficiency improvement of 2%. Although aviation emissions primarily originate from fuel combustion in aircraft during the take-off, landing, and cruise phases, airport operations still contribute approximately 15% of total aviation emissions [4]. The greening of airports plays a crucial role in the sustainability initiatives of the aviation industry. Consequently, the Civil Aviation Administration of China (CAAC) has formulated the Guidelines for Green Airport Planning [5], proposing the construction of green airports that are “resource-saving, environmentally friendly, operationally efficient, and people-centered” throughout their life cycle. This involves transforming airport development from focusing on economic efficiency to being oriented towards sustainable development.
A green airport should be characterized by energy conservation, environmental protection, strong social public welfare, and robust sustainability. However, due to the large investment required, the difficulty of evaluation, and the long payback period, it is challenging for airports to undertake green development and construction independently. They also struggle to bear the risk of green transition while experiencing a loss of revenue [6]. Therefore, the green transition in airport development necessitates the synergistic cooperation of multiple stakeholders. In the initial stage of the green transition, government departments should monitor and evaluate green airport development and provide policy support and subsidies [7]. As the green transition process progresses, effectively evaluating green development at airports becomes crucial for measuring the transition’s success. To reduce the workload and optimize the functions of the government departments while ensuring the efficiency of the green transition in airport development, the evaluation function for green development should be gradually transferred to third-party organizations. These organizations should develop professional evaluation standards to assess the green development level of airports based on the requirements set forth by government departments [8]. Therefore, the green transition in airport development is a collaborative process involving airport authorities, third-party organizations, and government departments to achieve the goal of constructing the green airport. In this process, the strategic choices of the three participants directly determine the dynamics and effectiveness of the green transition in airport development [9].
However, the airport authorities’ willingness to invest in green construction will be hindered due to the information asymmetry in government departments, insufficient reward and punishment mechanisms, and the high evaluation costs of third-party organizations. They may even engage in rent-seeking behavior with third-party organizations driven by their interests, impeding the green transition in airport development [10]. Existing research on the green transition primarily focuses on the influencing factors of airport development, constructing index systems to comprehensively analyze the level of green development at airports and its evolution trend [11], and proposes improvement measures for green transition from the perspectives of green development policy [12] and green technology innovation [13,14]. However, these studies have yet to fully consider the impact of the stakeholders’ interests on the green transition in airport development. They need more exploration into the mechanisms by which the strategic choices of each stakeholder affect green airport development, making it difficult to propose actionable strategies for green transition in airport development. With the joint participation of airport authorities, third-party organizations, and government departments, the green transition process of airport development manifests as a strategic game among the three participants. Evolutionary game theory can integrate the interests and strategic evolution of participants to reveal the conditions for achieving dynamic equilibrium through the game [15]. Therefore, to ensure the smooth progress of green transition in airport development, it is necessary to explore the evolutionary game mechanism between airport authorities and third-party organizations under the leadership of the government departments. Building on this foundation, this paper focuses on the following issues.
(1) In the context of the three-party evolutionary game, what is the stage development trend of the green transition path in airport development? How do the input costs of each party influence the evolutionary game process among the three stakeholders?
(2) In the process of green transition in airport development, should the government departments establish stringent regulations and a system of rewards and penalties?
(3) Is rent-seeking behavior by airport authorities and third-party organizations under government supervision desirable? What are the implications for the long-term goals of airport greening?
This paper constructs a tripartite evolutionary game model for the green transition in airport development by analyzing the interests of airport authorities, third-party organizations, and government departments. The green development characteristics of airports are explored by combining the evolutionary stabilization strategies of various parties and exploring the evolutionary mechanism of green transition in airport development. It fills the gap in existing research, which lacks an analysis of the green development process of airports under the influence of relevant stakeholders from a dynamic perspective, and introduces a new approach to exploring the green transition path in airport development through a tripartite evolutionary game perspective. The rest of the paper is structured as follows: Section 2 summarizes the current state of research and the effectiveness of efforts towards the green transition in airport development. Section 3 details the modeling process, and solves the evolutionary game model and explores methods for segmenting the stages of green transition in airport development. Section 4 employs MATLAB software to numerically model and simulate the green transition path of airport development. Section 5 summarizes the findings of this paper and offers targeted recommendations for promoting green transition in airport development.
2. Literature Review
In recent years, as the volume of civil aviation has grown rapidly, airports have emerged as significant energy consumers and polluters within the global aviation network. The green transition in airport development has become a prominent issue in sustainable development, as it is essential for constructing green airports and achieving pollution and carbon reduction.
The concept of a “green airport” was first introduced by the U.S.-based Clean Airports Partnership (CAP) in 2005 as part of the Green Airport Initiative (GAI) program. It focuses on seven dimensions of an airport’s environmental footprint and produces an environmental report with specific recommendations for the airport’s green development [16]. Building on this, the CAAC, in conjunction with the development plan of Chinese airports, summarizes the connotation of a green airport into four aspects: resource-saving, environmentally friendly, operationally efficient, and human-centered [17]. This aims to provide specific implementation goals and directions for the green transition in airport development. Liang [18], Wang [19], and Hu et al. [20] supplemented and refined the concept of green development of airports by combining real-life cases. They revealed the close relationship between the green transition process of airport development and the sustainability elements of society, economy, environment, and airport operation.
In the green transition in airport development, the quantitative analysis of the level of green development is a prerequisite for developing staged measures and for digitizing and standardizing the green transition process. In recent years, countries worldwide have launched their own green building design and evaluation standards, with the U.S. Leadership in Energy and Environmental Design (LEED) being a prominent example [21]. China has also successively promulgated standards and specifications, such as the Code for The Green Performance Assessment of Four Characteristic-Airports [22] and the Green Airport Evaluation Guidelines [23], to guide the green transition in airport development. Meanwhile, Airports Council International (ACI) has established the Green Airport Recognition (GAR) and Airport Carbon Accreditation (ACA) programs to measure the achievements of airports’ green transition efforts through the classification of environmental themes and certification levels [24]. Additionally, the comprehensive evaluation and analysis method has been widely used in existing studies assessing the level of green airport development. Li et al. [25], Wan et al. [26], and Ramakrishnan et al. [27] constructed evaluation criteria for green airport development capability by considering various influencing factors. They utilized the gray correlation assessment, the BoD model, and the decision tree method to assess the level of green airport development.
However, the airport greening industry began later than in other industries, and its development foundation is relatively weak. With the civil aviation transportation market’s huge demand potential, energy consumption and pollution emissions at airports will continue to exhibit a rigid growth trend. Therefore, some scholars have conducted research on green transition measures for airport development. Li et al. [7] used a combination of expert interviews and questionnaires to analyze the main influencing factors of green airport development. They proposed policy recommendations to promote green transition in airport development, focusing on airspace system reform and the coverage of APU alternative facilities. Falk et al. [28] explored the factors influencing carbon emission reduction at various airports in Europe and provided insights for policymakers on energy conservation and technological advancements. These insights aim to promote carbon emission reduction in the aviation industry and optimize the airport green construction. Some scholars have applied green innovative technologies to terminals [29], aircraft [30], and ground equipment [31] to reduce pollution and carbon emissions at airports. These efforts target both pollution sources and pathways to mitigate resistance to the green transition in airport development.
In summary, existing research addressing the green transition needs of airport development has yielded certain results. It primarily focuses on enhancing the concept of green airport development, quantifying the level of development, and proposing green transition measures and suggestions from the perspectives of green development policies and green innovation technologies. Additionally, national efforts to build green airports are beginning to bear fruit. According to data released by ACI [32], from 2009 to 2023, a total of 564 airports in 88 countries/regions have obtained ACA certification, with 66 airports achieving advanced carbon emission management levels. These efforts have resulted in a cumulative reduction of 2613 tons of carbon dioxide emissions and have led to the development of numerous energy-saving and environmentally friendly buildings.
However, the construction of green airports continues to face pressures and challenges. Issues such as a weak momentum for green transition, insufficient capacity for independent innovation, imperfect organizational structures, and inadequate constraints and incentives remain prominent [33]. Therefore, to establish a new pattern of green development through the synergistic participation of airport entities and industry associations under government leadership, it is essential to study the evolutionary game relationships among airport authorities, third-party organizations, and government departments. Evolutionary game theory originally explained the behavior of interspecies struggles during biological evolution [34]. Subsequently, the application of evolutionary game theory gradually extended to economics, sociology, and statistical physics to analyze the factors influencing the formation of cluster behavior [35,36,37]. As research deepens, some scholars combine evolutionary game theory with complex network theory [38], cybernetics [39], and dynamical systems theory [40] to analyze network games, random games, and repeated game behaviors in cluster evolution, yielding rich and insightful research results. Evolutionary game studies have also been widely applied in the field of green transportation development. Deng et al. [41] conducted a tripartite evolutionary game study on the strategic choices of the government, ports, and transportation enterprises to provide theoretical references for the construction of green ports. Zhang et al. [42] constructed a three-party stochastic evolutionary game model involving the administration, major airlines, and minor airlines. They provided guidance for policymakers to effectively regulate airlines’ carbon emission reduction through three different regulatory paths. Building on this, the scholars further analyze four scenarios of tripartite evolutionary stabilization strategies influenced by carbon quota and carbon tax prices, and make recommendations on the implementation of carbon emission reductions [43].
Overall, there are still some shortcomings in the existing studies, mainly in the following aspects: (1) In terms of research subjects, the focus is relatively narrow, lacking a comprehensive consideration of the multiple stakeholders involved in the green transition in airport development. (2) In terms of research ideas, most existing studies are limited to static viewpoints and lack a dynamic analysis of the green transition process of airport development. (3) In terms of research methodology, most studies focus on either quantitative analysis of the green transition process or qualitative research on guiding policies. Even studies exploring carbon emission reduction measures through evolutionary game theory are typically limited to the perspective of airlines and other relevant corporate entities. These studies often fail to propose effective green transition measures for airports themselves and lack comprehensive and practical research on the governance system of green airports.
To address the shortcomings and deficiencies in existing research, this paper constructs an evolutionary game model involving airport authorities, third-party organizations, and government departments. It explores the green transition path of airport development through tripartite participation, aiming to meet the challenges of green transition in airport development.
3. Materials and Methods
3.1. Evolutionary Game Modeling for Airport Green Transition
Based on an analysis of the interests of airport authorities, third-party organizations, and government departments, this paper constructs a benefit matrix under different strategic choices and establishes the evolution equation for each entity’s strategy selection. The model parameters and the explanations are shown in Table 1.
Table 1.
Model parameters and the explanations.
3.1.1. Problem Description
As the global decarbonization process accelerates, and the competition around green and low-carbon development intensifies, particularly in the post-epidemic era, the green transition in airport development involving airport authorities, third-party organizations, and government departments is crucial. This process is key to resolving the contradictions of green development and achieving the goal of constructing green airports. This paper focuses on the green transition process of airport development and analyzes the green transition path under tripartite participation. The problem is described below.
Game Subjects and Strategies
Participant 1: airport authorities with a strategy space of {without increasing green construction investment, increasing green construction investment}, choosing with probability and with probability , .
Participant 2: third-party organizations with a strategy space of {non-strict evaluation, strict evaluation}, choosing with probability and with probability , .
Participant 3: government departments with a strategy space of {weak regulation, strong regulation}, choosing with probability and with probability , .
Game Relations
Airport authorities: the entities responsible for the green transition of airport development decide whether to increase investment in green construction based on the regulatory mechanisms of government departments and the evaluation mechanisms of third-party organizations. They also determine whether to engage in rent-seeking behaviors with third-party organizations based on strategic decisions [44].
Third-party organizations: the entities responsible for evaluating the green transition of airport development assess the level of green development at airports based on the materials provided by airport authorities. They determine whether to accept rent-seeking behavior by the airport authorities based on their strategic choices during the evaluation process and provide the evaluation results to government departments [45].
Government departments: the regulatory entities for green transition in airports enforce strong or weak regulations of the behavioral strategies of airport authorities and third-party organizations and apply appropriate incentives and penalties.
Therefore, the green transition in airport development, as examined in this paper, is a process in which airport authorities, third-party organizations, and government departments recognize and implement the need for green development through strategic adjustments [41]. In this process, by analyzing the stability strategies of all parties in the evolutionary game, the green development process of the airport is divided into phases, and the transition path that drives green airport development through phase transitions is explored [9], as shown in Figure 1.
Figure 1.
Logic diagram of green transition in airport development.
3.1.2. Model Assumptions
To analyze the interaction between airport authorities, third-party organizations, and government departments, the following assumptions are made in this paper.
Assumption 1:
The airport authorities’ cost of choosing strategy is , the cost of choosing strategy is , where . When the airport authorities choose strategy , airport greening is achieved, and the airport authorities receive a performance benefit . When the airport chooses strategy , the airport’s green development is not up to standard, it will seek rent from third-party organizations to obtain a government permit through the green development evaluation, and the cost of rent-seeking is , where [9].
Assumption 2:
The third-party organizations’ cost of choosing strategy is , the cost of choosing strategy is , where [10]. If the airport authorities choose strategy and engage in rent-seeking with third-party organizations, they will not accept rent-seeking if they choose strategy , but will accept rent-seeking if they choose strategy .
Assumption 3:
When the government departments choose strategy , the cost of regulation is , and the benefit of regulation is . Airport authorities and third-party organizations are subject to a rent-seeking penalty if they choose strategy and strategy , respectively. They face a penalty of if only one party selects either strategy or [15]. If the airport authorities choose strategy , they will receive the government rewards , and if the third-party organizations choose strategy , they will receive the government rewards . When the government departments choose strategy , there is no way to obtain information about the strategy choices of airport authorities and third-party organizations, and the government departments do not implement a reward or punishment mechanism.
Assumption 4:
Airport authorities choose strategy , aimed at enhancing the operating environment of airports and yielding social benefits for the government. When the airport authorities choose strategy , and the third-party organizations choose strategy , the government departments incur a governance cost , where . When the airport authorities choose strategy , and the government departments choose strategy , resulting in a lack of supervision, the government departments will be pursued by the higher authority with an administrative penalty of , where [9].
3.1.3. Model Construction
Based on the above assumptions, the revenue matrix of the three-game subjects invovling airport authorities, third-party organizations, and government departments is constructed as shown in Table 2.
Table 2.
The revenue matrix of the three-game subjects.
The system of replicated dynamic equations for each stakeholder can be obtained based on the Table 2 (the calculation process is detailed in Appendix A).
Let the variables and represent the returns of the airport authorities choosing “Increasing green construction investment” and “Without increasing green construction investment”, respectively, and let the variable represent the average return of the airport authorities. The evolutionary equation for the airport authorities’ strategy choice can be expressed as follows:
Let the variables and represent the returns of the third-party organizations choosing “Strict evaluation” and “Non-strict evaluation”, respectively, and let the variable represent the average return of the third-party organizations. The evolutionary equation for the third-party organizations’ strategy choice can be expressed as follows:
Let the variables and represent the returns of the government departments choosing “Strong regulation” and “Weak regulation” respectively, and let the variable represent the average return of the government departments. The evolutionary equation for the government departments’ strategy choice can be expressed as follows:
Setting the time step to , a discretization of Equations (1)–(3) solves for the evolutionary trajectory of the tripartite subjects’ strategy choices:
In Equation (4), each participant decides its strategy choice at the beginning of each time step, obtains the corresponding gain in each round of the game, and updates its strategy choice based on the gain from the previous time step until the end of the iterative process [46].
3.2. Stability Strategies for Airport Green Transition
3.2.1. Analysis of Stability Strategies of Tripartite Subjects
Note: see Appendix B for detailed proofs of the following propositions and inferences.
Analysis of Evolutionary Stability Strategies of Airport Authorities
Taking the partial derivative of yields
Proposition 1:
Let . When , the airport authorities’ stability strategy is “Increasing green construction investment”; when , the airport authorities’ stability strategy is “Without increasing green construction investment”; and when , their stability strategy cannot be determined. At this point, , where the threshold .
The phase diagram of the airport authorities’ strategy selection is shown in Figure 2, where the volume represents the probability that the airport authorities choose “Without increasing green construction investment”, and the volume represents the probability that the airport authorities choose “Increasing green construction investment”.
Figure 2.
Phase diagram of the airport authorities’ strategy selection.
Inference 1:
When decreases and increases, this change will motivate airport authorities to choose “Without increasing green construction investment”.
Analysis of Stability Strategies of Third-Party Organizations
Taking the partial derivative of yields
Proposition 2:
Let
. When , the third-party organizations’ stability strategy is “Strict evaluation”; when
, the third-party organizations’ stability strategy is “Non-strict evaluation”; and when , their stability strategy cannot be determined.
The phase diagram of the third-party organizations’ strategy selection is shown in Figure 3, where the volume represents the probability that the third-party organizations choose “Non-strict evaluation”, and the volume represents the probability that the third-party organizations choose “Strict evaluation”.
Figure 3.
Phase diagram of the third-party organizations’ strategy selection.
Inference 2:
When decreases and increases, this change will motivate third-party organizations to choose “Non-strict evaluation”.
Analysis of Evolutionary Stability Strategies of Government Departments
Taking the partial derivative of yields
Proposition 3:
Let
. When
, the government departments’ stability strategy is “Strong regulation”; when
, the government departments’ stability strategy is “Weak regulation”; and when
, their stability strategy cannot be determined.
The phase diagram of the government departments’ strategy selection is shown in Figure 4, where the volume represents the probability that the government departments choose “Weak regulation”, and the volume represents the probability that the government departments choose “Strong regulation”.
Figure 4.
Phase diagram of the government departments’ strategy selection.
Inference 3:
When increases, it will be detrimental to the implementation of “Strong regulation” by the government departments.
3.2.2. Evolutionary Stability Points Solving in Game System
When the dynamic equations of the combination of Equations (1)–(3) are all zero, the probabilities describing the strategic choices of the airport authorities, third-party organizations, and government departments will no longer evolve [47]. Therefore, the equilibrium point of the game system satisfies the following conditions:
Further, the Jacobian matrix of the system can be calculated as
Therefore,
According to Equation (8), the 8 pure-strategy equilibrium points of the system can be obtained [42]. By substituting the 8 pure-strategy equilibrium points of the system into the Jacobian matrix, if all the eigenvalues of the Jacobian matrix are negative, the equilibrium is an evolutionary stable point [48], as shown in Table 3.
Table 3.
Analysis of evolutionary stability points for gaming systems.
3.3. Stages of Green Transition in Airport Development
In Table 3, since , and , the equilibrium points , , and have eigenvalues greater than zero and are unstable points. Based on the stability conditions of the remaining 5 pure-strategy equilibrium points, the green transition path of airport development can be divided into three stages: the initial stage, the development stage, and the maturity stage.
In the initial stage, when airport throughput is small, and the challenges of green development are minimal, the development planning strategy of the airport authorities focuses on economic construction. The production scale of the airport is increased to maximize profits while adhering to the constraints of airport size and runway capacity. Due to inadequacies in the evaluation system and criteria, as well as the high cost of evaluation, third-party organizations tend to perform “Non-strict evaluation” and enter into rent-seeking agreements with airport authorities. Government departments lack an adequate understanding of the potential for green development, and relevant green development policies are inadequate, resulting in weak regulation. Therefore, this stage corresponds to the equilibrium point and stabilizes under the condition , i.e., the system reaches a stable equilibrium when the profit of the government from adopting “Strong regulation” is less than the cost of adopting “Weak regulation”.
During the development stage, the expansion of the airport production scale, driven by economic growth and social progress, leads to a series of problems, including increased resource consumption, rising pollutant gas emission indices, and operational inefficiencies. These issues have hindered the progress of green transition in airport development. In this context, government departments actively respond to national sustainable development policies and determine the strategic objectives and overall direction of green development at airports by formulating relevant construction and planning guidelines. They further monitor and implement the behavioral strategies of the airport authorities and third-party organizations. However, due to the imperfection of regulatory channels and reward and punishment mechanisms, airport authorities and third-party organizations are still subject to passive regulation. This results in situations where one or both parties choose “Without increasing green construction investment” or “Non-strict evaluation”. This corresponds to the equilibrium points , and . Therefore, a shift in the behavioral strategies of government departments is crucial for transitioning from stage I to stage II. According to Table 3, the stability conditions for the government departments to choose “Strong regulation” at this point are , , and , respectively. That is, regardless of the strategic choices made by the remaining two parties, the system achieves stability during the development stage when the profits of the government sector from choosing “Strong regulation” outweigh the losses from choosing “Weak regulation”. The exact equilibrium is determined by the interests of the remaining two parties.
During the mature stage, the government departments enhance regulatory channels and reward and punishment mechanisms for green airport construction, encouraging active participation from airport authorities and third-party organizations. This is manifested in the synergy among the three parties to promote the green airport development, corresponding to the equilibrium point . At this point, 3 conditions need to be met simultaneously to reach the stability state: , , and . In other words, the system achieves stability at the mature stage when the profit for each game participant choosing the positive strategy exceeds the cost of choosing the negative strategy. Thus, a positive shift in the strategic choices of airport authorities and third-party organizations forms the basis for the transition from stage II to stage III. In this process, the government departments’ strict reward and punishment mechanisms can prevent rent-seeking behavior by the other two parties and play a key role in promoting the positive transition of their behavioral strategies [49].
4. Results
4.1. Study Area
Guangzhou Baiyun International Airport (hereinafter referred to as “CAN”) is one of the three major gateway hub airports in China, consistently ranking at the top in terms of production scale. The rapid development of CAN has raised several green development issues related to resources, the environment, and operations. To enhance the green operation management system and support the development of green airport infrastructure at CAN, this study employs CAN as a case study to conduct a simulation analysis of the tripartite evolutionary game.
To verify the evolutionary stability of equilibrium points and evaluate the impact of tripartite game parameters on the green transition in airport development, this paper assigns model parameters based on the real scenario of CAN and uses MATLAB 2019a for the simulation. The specific variable values and sources are shown in Table 4.
Table 4.
The initial values of parameters.
4.2. Stability Validation of Strategies for Green Transition in Airport Development
In the early stages of green transition in airport development, high transition costs and evaluation difficulties often lead airport authorities and third-party organizations to adopt negative strategies due to the low input–output ratio of green performance. During this period, the regulatory mechanisms of government departments are crucial for ensuring the smooth progress of the green transition. With the promotion of green concepts and the optimization of green innovation technologies, advancing the green airport development has brought objective economic benefits to airport authorities and third-party organizations. This incentivizes them to actively undertake investment, construction, and evaluation work for green airport development. Consequently, the regulatory role of government departments should gradually weaken, forming a green development framework where airport authorities and third-party organizations are the main forces. Therefore, is the optimal state for the green transition in airport development. This paper first uses as an example to explore its evolution process. Under the parameter conditions of Table 4, the initial probability of each participant’s selection strategy is set to . According to Equation (4), the evolutionary equations are simulated. The evolution time is set to 50, and the probability changes of strategy selection for each subject are shown in Figure 5a.
Figure 5.
Stability analysis of the game system. (a) The tripartite evolution of the initial strategy (1, 1, 0). (b) The tripartite evolution of the initial strategy (0.99, 1, 0). (c) The tripartite evolution of the initial strategy (1, 0.99, 0). (d) The tripartite evolution of the initial strategy (0.99, 0.99, 0.01).
According to Figure 5a, when the initial strategy choice of each participant is , it will not take the initiative to change its strategy. However, when the strategic choices of the airport authorities and those of the third-party organizations change slightly, the evolution is shown in Figure 5b, when x mutates from 1 to 0.99, and in Figure 5c, when y mutates from 1 to 0.99.
According to Figure 5b,c, the equilibrium point is unstable: with a mutation in , the system evolves to ; with a mutation in , the system evolves to . Based on this, further variation in the strategic choices of the government departments is made. When mutates from 0 to 0.01, the evolution is shown in Figure 5d.
According to Figure 5d, both equilibrium points and are unstable. In the case of fixing the initial strategy of one of the airport authorities or third-party organizations, the system’s strategy choice will reach state , as the initial strategies of the remaining two participants generate abrupt changes.
Further, the initial values of the strategy selection probabilities for each participant are assigned in the range of [0.1, 0.9], with an assignment interval of 0.1. The system of equations evolves 50 times, and the simulation results are shown in Figure 6.

Figure 6.
Evolutionary process of the participants (Different colored lines represent the evolution process under different initial strategies). (a) Evolutionary process of airport authorities. (b) Evolutionary process of third-party organizations. (c) Evolutionary process of government departments. (d) Evolutionary process of the three participants.
According to Figure 6, regardless of how the initial strategic choices of the participants change, they return to the state . This proves that is the stability strategy under these conditions. That is, the airport authorities choose “Without increasing green construction investment”, the third-party organizations perform “Non-strict evaluation”, and the government departments implement “Strong regulation”. This indicates that the current tripartite evolutionary game of green transition in airport development is still in the developmental stage. According to the value of each parameter in Table 4, government departments can benefit from the regulatory process of green airport construction. However, the airport authorities and third-party organizations are faced with the more costly strategies of “Increasing green construction investment” and “Strict evaluation”. Under the conditions of insufficient government incentive mechanisms and high rent-seeking rates by airport authorities, they will likely choose strategies that benefit from “Without increasing green construction investment” and “Non-strict evaluation”, achieving rent-seeking intentions. This will hinder the process of greening the airport.
4.3. Analysis of Factors Affecting the Green Transition in Airport Development
Based on the stability strategy under current conditions, the strategic choices of the airport authorities and third-party organizations have not yet met expectations. This is not only closely related to their cost investment in the process of green transition in airport development, but also inextricably linked to the role of the relationship between the participants of the game. Therefore, this section analyzes the impacts of changes in the main parameters on the tripartite evolutionary game process and the evolutionary path. It does so by varying the input cost of each participant, the rewards and penalties of the governmental department, and the amount of rent-seeking by the airport authorities from third-party organizations, based on the determined initial parameters.
4.3.1. The Impact of Cost Factors on the Evolution of Tripartite Strategies
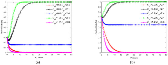
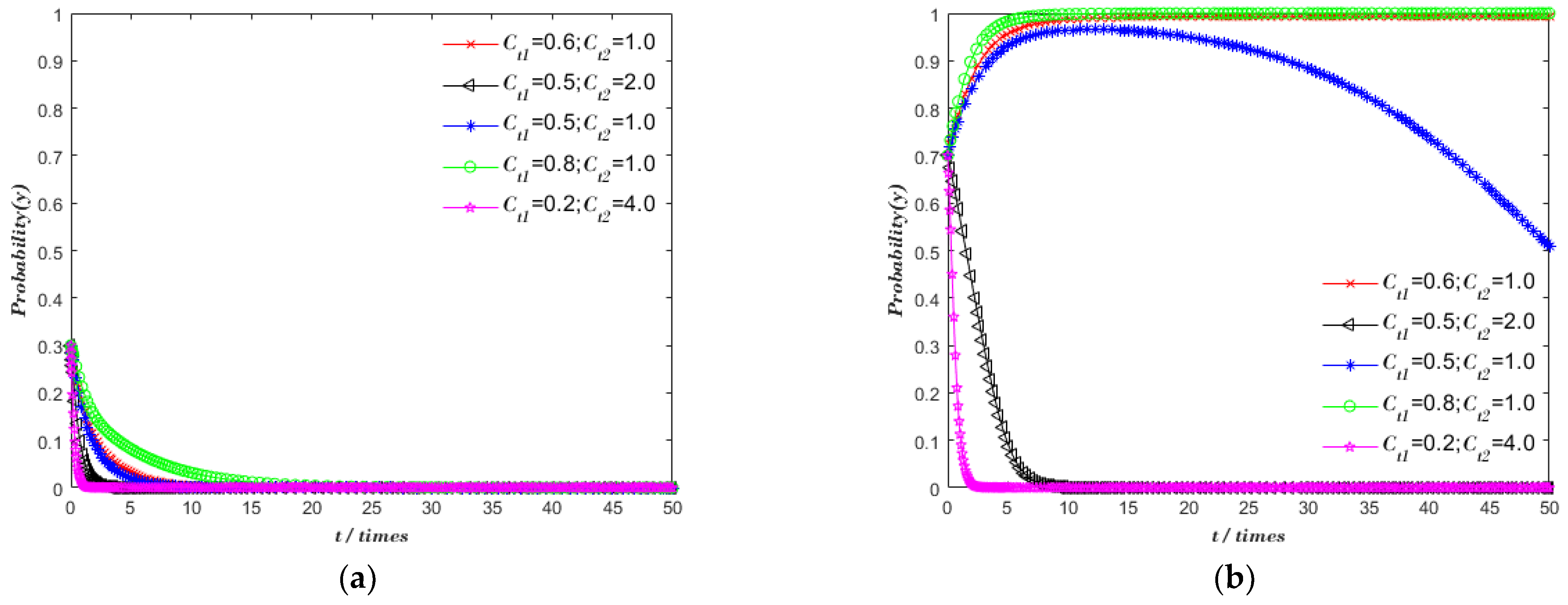
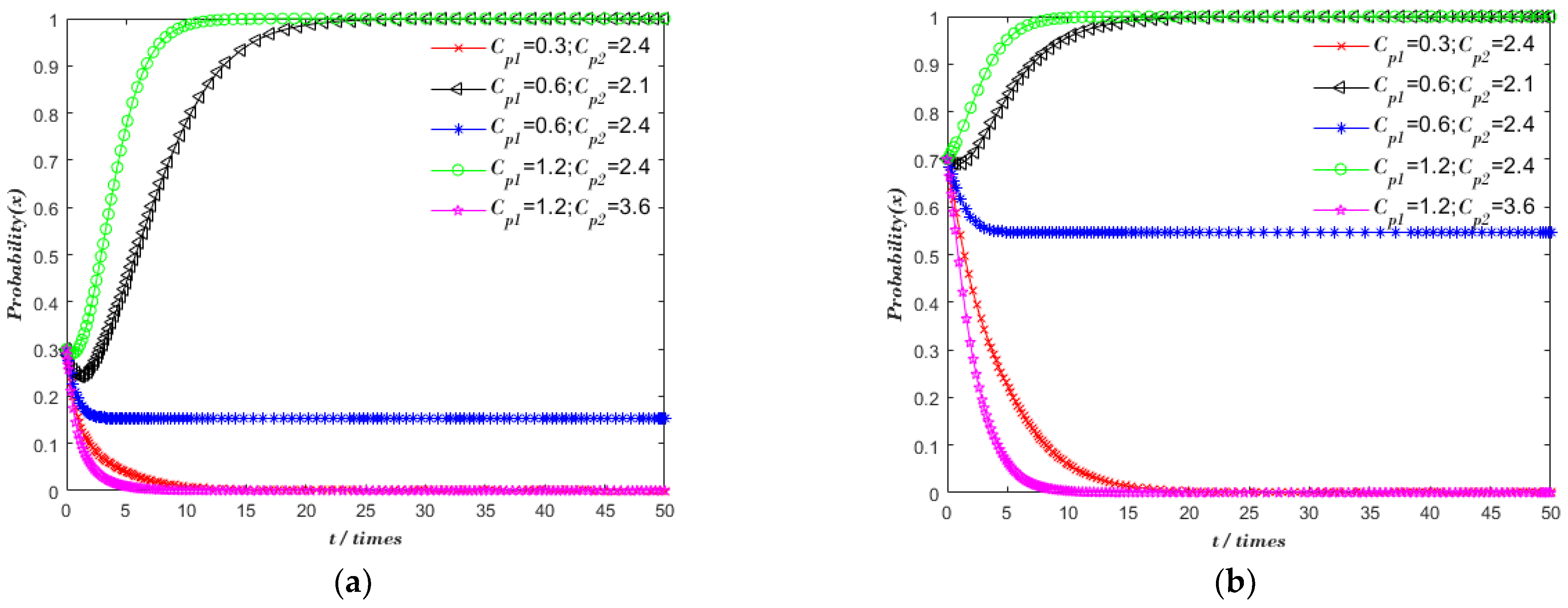
The parameters (,), (,), and are scaled separately, while keeping the other parameters fixed. Considering the reliability of the simulation, the variation in the cost parameters should not be too large. Therefore, the scaling range is set to [0.5, 2], with a scaling step of 0.1, ensuring the conditions , , and are satisfied. Further, high initial willingness and low initial willingness are set as controls. The initial value of the probability of strategic choice for each participant is under low initial willingness and under high initial willingness. The system of replicated dynamic equations evolved 50 times, from which five typical sets of cost parameters are selected to present the simulation results, as shown in Figure 7, Figure 8 and Figure 9.
Figure 7.
Impact of cost parameters on airport authorities. (a) Low initial willingness. (b) High initial willingness.
Figure 8.
Impact of cost parameters on third-party organizations. (a) Low initial willingness. (b) High initial willingness.
Figure 9.
Impact of cost parameters on government departments. (a) Low initial willingness. (b) High initial willingness.
According to Figure 7, when the gap between and is large, the airport authorities tend to choose “Without increasing green construction investment”. As the cost gap narrows, the airport authorities make a strategy shift. The cost threshold is , and the simulation results are consistent with Inference 1. Figure 7 shows that under the influence of strong regulation by government departments, the lower costs of green construction investment encourage airport authorities to actively engage in green airport construction initiatives. This occurs in light of larger penalties and higher rent-seeking amounts when it chooses “Without increasing green construction investment”. However, when the cost of “Increasing green construction investment” exceeds a certain range, which cannot be compensated by the incentives and performance benefits gained from greening airports, it will seriously hamper the willingness of airport authorities to opt for green development. Thus, it is clear that appropriate green construction costs play a key role in facilitating the green transition in airport development.
According to Figure 8, at low initial willingness, the evolutionary trend of the third-party organizations’ strategy choice under all five cost parameter scenarios converges to . This suggests that when the willingness of government departments to choose “Strong regulation” is weak, and the rent-seeking willingness of airport authorities is strong, the gap between and has a relatively small impact on the evolutionary stability strategy of third-party organizations. Under the high initial willingness condition, as the gap between and widens, the third-party organizations’ strategic choice will shift from performing “Strict evaluation” to performing “Non-strict evaluation”. This indicates that even with strong government regulation, if the cost of performing “Strict evaluation” exceeds a certain threshold, the third-party organizations will be less inclined to conduct such evaluation when their revenue cannot cover the high evaluation costs and rent-seeking losses. The cost threshold is , and the simulation results align with Inference 2.
Figure 9 shows that the evolutionary trend of the government departments’ strategy choices converges to under all five cost parameter scenarios, regardless of whether the initial willingness is low or high. This indicates that when the strategic choices of the other two participants tend to be negative, government departments, faced with high governance costs, continue to impose penalties on airport authorities and third-party organizations through strong regulation, even at higher regulatory costs. Notably, as the cost of regulation increases, the government departments’ willingness to implement “Strong regulation” decreases. This is evident in the evolution curve of the strategy selection, which shows a slower convergence rate or even a pattern of initially decreasing and then increasing. The simulation results are consistent with Inference 3.
4.3.2. The Impact of Reward and Punishment Mechanisms
Keeping other parameters constant, this paper investigates the evolutionary process of tripartite strategy selection under different reward and punishment mechanisms by adjusting the reward and punishment parameters , , and of the government departments. This is achieved by scaling , , and based on their existing parameter values, with a scaling range of [0.1, 5] and a scaling step of 0.1. In conjunction with Table 3, the scaled arrays are screened to eliminate those that do not meet the stabilization conditions. The eligible solution sets are then simulated and analyzed, with the results presented in Figure 10.
Figure 10.
Stable equilibrium points under the influence of reward and punishment mechanisms (Different colored lines represent the evolution process under different initial strategies).
Figure 10 indicates that the strategy evolution of the tripartite subjects exhibits three stable states—, , and —under varying reward and punishment parameters of the government department. To further analyze the impact of changes in government departments’ reward and punishment parameters on the strategy choices of the airport authorities and those of the third-party organizations, a set of parameters from each of the three stable states is selected for the simulation analysis over 50 times. The initial willingness for each participant’s strategy selection is set to 0.5, and the simulation results are presented in Figure 11.
Figure 11.
The impact of government departments’ reward and punishment mechanisms. (a) The impact on the evolution of airport authorities’ strategies. (b) The impact on the evolution of third-party organizations’ strategies.
Figure 11 shows that, under the strong regulatory effect of the government departments, increasing from 0.5 to 0.75 and changing the tripartite evolutionary steady state from to can be achieved by decreasing from 0.5 to 0.05 and increasing from 0.5 to 2.0. When is further increased to 1.5, the transition of the tripartite evolutionary stabilization strategy from to can be achieved by reducing to 0.2.
On the one hand, as shown in Figure 11a, when increases from 0.5 to 0.75, as government subsidies decrease, airport authorities, facing higher green transition costs, are more likely to refrain from increasing their green construction investment and instead resort to rent-seeking to capture the performance benefits of green development. When increases to 1.5, faced with high penalties and rent-seeking costs for choosing “Without increasing green construction investment”, the airport authorities will shift their development strategy to obtain incentive subsidies and green performance benefits from the government departments by increasing their green construction investment. However, due to the low subsidy from the government departments, the airport authorities’ willingness to shift their strategy is weak. This is evidenced by remaining essentially constant at the beginning of the evolution and gradually tending towards 1 as increases.
On the other hand, as shown in Figure 11b, when both and increase, the evolutionary stability strategy of the third-party organizations shifts from performing “Non-strict evaluation” to performing “Strict evaluation”. However, the willingness of government departments to implement “Strong regulation” is slow to shift due to the large subsidy . With the reduction in subsidy, the willingness of third-party organizations to perform “Strict evaluation” diminishes. However, with the stronger penalty from the government departments (), as the government departments’ willingness to choose “Strong regulation” strengthens, the third-party organizations still tend to perform “Strict evaluation”. This is indicated by initially decreasing and then increasing in the evolution curve.
4.3.3. The Impact of Rent-Seeking Amounts
Keeping other parameters constant, the evolution of tripartite strategy choices under different rent-seeking costs is explored by adjusting the rent-seeking amount of the airport authorities. This is achieved by scaling based on the existing parameter values within the range [0.1, 5], with a scaling step of 0.1. In conjunction with Table 3, the scaled arrays are screened to eliminate those that do not meet the stabilization conditions. The eligible solution sets are then simulated and analyzed, with the results presented in Figure 12a. Three sets of parameters are selected for simulation analysis over 50 times, with the results presented in Figure 12b.
Figure 12.
The impact of airport authorities’ rent-seeking (Different colored lines represent the evolution process under different initial strategies). (a) Stable equilibrium points. (b) The impact on the evolution of third-party organizations’ strategies.
Figure 12a indicates that the strategy evolution of the tripartite subjects exhibits two stable states, and , under varying rent-seeking costs. Figure 12b shows that as the rent-seeking cost gradually exceeds the threshold value, the airport authorities’ evolutionary stability strategy shifts from “Without increasing green construction investment” to “Increasing green construction investment”. According to Proposition 1, the threshold of the rent-seeking cost is . The evolutionary results suggest that, under strong regulatory willingness from the government departments, an increase in rent-seeking costs encourages a positive shift in the strategic choices of airport authorities but discourages third-party organizations from performing “Strict evaluation”. It is worth noting that, during the initial stage of the evolution, the willingness of airport authorities to make the strategic transition is weak due to the high cost of “Increasing green construction investment”. It is shown that when , decreases initially and then increases along the evolutionary curve.
4.4. Discussion
This paper addresses the complex interactions among the multiple participants involved in the green transition of airport development. It constructs a tripartite evolutionary game model involving airport authorities, third-party organizations, and government departments. Using CAN as an example, the green transition path of airport development is analyzed through numerical simulation, using the computer simulation software MATLAB. The following main discussions are drawn from the simulation results.
(1) Based on the analysis of the evolutionary stability points, under certain conditions, the five equilibrium points , , , , and can function as the evolutionary stability strategies of the system. This understanding forms the basis for dividing the green transition process in airport development into three stages: the initial stage, the development stage, and the maturity stage. The empirical analysis of CAN demonstrates that the strategy choice in the tripartite evolutionary game is stable at , indicating that the green transition of CAN is still in the development stage. The government departments implement “Strong regulation” for airport authorities and third-party organizations to realize the urgent vision of achieving green development. However, due to the high costs of green transition and imperfect reward systems and punishment mechanisms, the airport authorities and third-party organizations tend to adopt negative strategies and engage in rent-seeking behavior.
(2) The cost factors for each participant significantly impact the evolution of the system. The smaller the cost gap between positive and negative strategies for each participant, the greater their initiative to promote the green transition in airport development. When the cost gap falls below a certain threshold, airport authorities and third-party organizations can shift from a negative to a positive strategy. This shift is more pronounced with high initial willingness. It is worth noting that, regardless of low or high initial willingness, the government departments tend to choose “Strong regulation” at both the lowest and highest acceptable simulation costs. This suggests that strong government regulation plays a crucial role in the green transition of airport development.
(3) The interactions among the various participants are crucial for a successful green transition in airport development. A shift in the equilibrium strategy of the three-way game from to can be achieved when the third-party organizations increase the rent-seeking costs for the airport authorities. However, increased rent-seeking costs further reduce the likelihood that third-party organizations will adopt an aggressive strategy. A shift in the equilibrium strategy of the tripartite evolutionary game from to and can be achieved when the government departments adjust the incentives and penalties for airport authorities and third-party organizations. However, the magnitude of the adjustment should be kept within reasonable limits. If the reward and punishment are too small, they will reduce the motivation for airport authorities and third-party organizations to pursue a green transition. Suppose the reward and punishment are too strong. In that case, they will create a passive regulatory situation for airport authorities and third-party organizations, preventing government departments from disengaging from the need for strong regulation.
5. Conclusions and Recommendations
Given the shortcomings of existing research, which lacks a comprehensive consideration of the multi-party interests involved in the green transition of airport development, this paper proposes a three-party evolutionary game model for the green transition of airport development. It examines the behavioral strategies and influencing factors of all parties involved in green development through simulation. Compared to the lack of consideration of multiple stakeholders and their dynamic evolution process in the green transition of airport development in existing research, the main findings of this study are as follows:
(1) In the context of the three-way evolutionary game, the green transition process of airport development can be divided into three stages based on the stabilization strategy: the initial stage, the development stage, and the maturity stage. In this process, the input cost of each game participant plays a crucial role in determining their evolutionary strategy. When the input cost exceeds a certain threshold, the strategy of each participant shifts from a positive to a negative approach. Exploring the method of dividing the stages of the green transition path in airport development holds significant research value for analyzing the dynamic process of the green transition in airport development.
(2) This study investigates the impact of government reward and punishment mechanisms on the green transition path of airport development through simulation analysis. The results indicate that during the green transition process of airport development, strong regulatory mechanisms implemented by government departments play a crucial role in advancing the stages of green transition. However, adjustments to the reward and punishment mechanisms should not be too excessive to avoid negatively impacting the willingness of all parties to adopt positive strategies.
(3) By studying the impact of rent-seeking by airport authorities on the green transition path of airport development, it is evident that, under strong government regulatory mechanisms, rent-seeking behavior by airport authorities from third-party agencies is undesirable. Although an increase in rent-seeking may prompt airport authorities to adopt a positive strategy, it undermines the willingness of third-party agencies to conduct rigorous evaluations, which is detrimental to the long-term green development of airports.
Based on the above discussions, this paper proposes the following policy recommendations to effectively promote green transition in airport development.
(1) As the focal point and landing ground for green development, the effective implementation of green construction by airport authorities is crucial in promoting green transition in airport development. Therefore, with subsidies from government departments, the airport authorities should appropriately increase their investment in green construction and rationalize their plans for projects such as automation renovation, energy saving, and emission reduction. Additionally, by encouraging the integration of research on green innovation technologies into airport development, resource utilization can be improved, the cost of green development can be reduced, and the resistance to green transition can be weakened.
(2) Third-party organizations play a crucial role in standardizing the construction of green airports and promoting their green transition. It is imperative that these organizations conduct comprehensive research on evaluation methods for green airports. By reducing evaluation costs and improving evaluation efficiency, they can also analyze the outstanding problems facing green airport development. This allows for targeted rectification based on the evaluation scores of different guideline and indicator layers, ultimately enhancing the efficiency of the green transition in airport development.
(3) Effective regulatory mechanisms in the government departments are crucial for the green transition in airport development. Therefore, the government departments should establish reasonable incentives and penalties to motivate airport authorities and third-party organizations to engage in green development and construction, thereby preventing both parties from pursuing rent-seeking behavior while choosing negative strategies. Additionally, as the airport authorities and third-party organizations are ideally the driving forces behind green airport development, the government departments can delegate some supervisory responsibilities to third-party organizations during the mature stage of green development. This approach will ease regulatory pressure on the government departments, reduce regulatory costs, and provide stronger policy support for green airport development.
(4) This paper classifies the green transition of airport development into three stages—initiation, development, and maturity—based on the results of the tripartite evolutionary stabilization strategy. Each stage displays distinct green development characteristics due to variations in the tripartite strategies chosen. In the initial stage, all three parties typically adopt negative strategies. Therefore, government departments should introduce preliminary policy guidelines to encourage green investments by airports and provide necessary support and incentives. In the development stage, government departments implement stringent regulatory measures. Emphasis should be placed on enhancing the application of environmental protection measures by airport authorities and ensuring rigorous evaluations by third-party organizations, while also working to reduce the costs associated with green development. In the mature stage, the regulatory responsibilities of government departments should be gradually reduced while ensuring the effective collaboration between airport authorities and third-party organizations, thereby establishing a green development model driven primarily by airport authorities and third-party organizations.
Additionally, to simplify the model, this study considers the three relevant stakeholders as homogeneous entities, which may affect the generalizability and applicability of the findings. On one hand, differences in goals, strategies, and power dynamics among stakeholders in the real world can result in some stakeholders having more resources or stronger capabilities, allowing them to dominate the evolutionary game process and be less influenced by the strategic choices of the other two parties. On the other hand, in airports at varying levels of development or within different cultural and regulatory environments, contextual factors influence the strategic choices and implementation strengths of the various actors in the green transition process, which in turn affect policymaking at different stages of development. Therefore, future research could incorporate the heterogeneity among relevant stakeholders and develop an evolutionary game model where stakeholders’ strategic choices are influenced by their specific goals and constraints. This approach would more accurately capture the dynamic interactions of each stakeholder and offer policymakers more targeted recommendations.
Author Contributions
Formal analysis, Y.T.; investigation, L.W.; resources, Z.W. and Y.T.; software, Z.W.; supervision, L.W. and N.Z.; visualization, Y.L.; writing—original draft, Y.L.; writing—review and editing, Y.L., L.W., N.Z. and W.Y. All authors have read and agreed to the published version of the manuscript.
Funding
This research was funded by the Nanjing University of Aeronautics and Astronautics Graduate Innovation Center Open Fund (grant number xcxjh20230713), the 2023 Excellent Postdoctoral Fellow of Jiangsu Province (grant number 339414), and the NUAA Research Start-up Fund (grant number 90YAT23004).
Institutional Review Board Statement
Not applicable.
Informed Consent Statement
Not applicable.
Data Availability Statement
The original contributions presented in this study are included in the article. Further inquiries can be directed to the corresponding author/s.
Acknowledgments
The authors would like to thank the editor for editing the manuscript and for the comments.
Conflicts of Interest
The authors declare no conflicts of interest.
Appendix A
The calculation process of copying dynamic equations.
The average expected return for airport authorities can be expressed as
where
The average expected return for third-party organizations can be expressed as
where
The average expected return for government departments can be expressed as
where
Appendix B
Proofs of propositions and inferences.
Proof of Proposition 1:
Let , and the first order partial derivative of is obtained: . When and , is a reduced function with respect to . Therefore, when , , , then “Increasing green construction investment” () is an evolutionary stabilization strategy for the airport authorities. When , , , then “Without increasing green construction investment” () is an evolutionary stability strategy for the airport authorities. When , , and there is no evolutionary stability strategy for the airport authorities. The proof is complete. □
Proof of Inference 1:
The partial derivatives of and with respect to can be obtained as follows:
Therefore, is a decreasing function with respect to , and is an increasing function with respect to . The proof is complete. □
Proof of Proposition 2:
Let , and the first order partial derivative of is obtained: . Since , is an increasing function with respect to . Therefore, when , , , then “Non-strict evaluation” () is an evolutionary stability strategy for the third-party organizations. When , , , then “Strict evaluation” () is an evolutionary stability strategy for the third-party organizations. When , and there is no evolutionary stability strategy for the third-party organizations. The proof is complete. □
Proof of Inference 2:
The partial derivatives of and with respect to can be obtained as follows:
Therefore, is a decreasing function with respect to , and is an increasing function with respect to . The proof is complete. □
Proof of Proposition 3:
Let , and the first order partial derivative of is obtained: . Since , is an increasing function with respect to . Therefore, when , , , then “Strong regulation” () is an evolutionary stability strategy for the government departments. When , , , then “Weak regulation” () is an evolutionary stability strategy for the government departments. When , , and there is no evolutionary stability strategy for the government departments. The proof is complete. □
Proof of Inference 3:
The partial derivatives of and with respect to can be obtained as follows:
Therefore, is an increasing function with respect to , and is a decreasing function with respect to . The proof is complete. □
References
- Wan, L.; Lv, Y.; Wang, Z.; Tian, Y. The synergistic evolution of supply-demand composite system for airport green development: A case study in Guangzhou Baiyun International Airport, China. PLoS ONE 2024, 19, e0302303. [Google Scholar] [CrossRef] [PubMed]
- Xiong, S.; Chen, Z.; Chiclana, F.; Chin, K.; Skibniewski, M.J. Proportional hesitant 2-tuple linguistic distance measurements and extended VIKOR method: Case study of evaluation and selection of green airport plans. Int. J. Intell. Syst. 2022, 37, 4113–4162. [Google Scholar] [CrossRef]
- Report of the High-Level Meeting on the Feasibility of a Long-Term Aspirational Goal for International Aviation Co2 Emissions Reductions [EB/OL]. Available online: https://www.icao.int/Meetings/HLM-LTAG/Documents/DOC.10178.EN.PDF (accessed on 20 June 2024.).
- Prashanth, P.; Eastham, S.D.; Speth, R.L.; Barrett, S.R.H. Aerosol formation pathways from aviation emissions. Environ. Res. Commun. 2022, 4, 021002. [Google Scholar] [CrossRef]
- Guidelines for Green Airport Planning [EB/OL]. Available online: http://www.caac.gov.cn/big5/www.caac.gov.cn/PHONE/XXGK_17/XXGK/GFXWJ/201801/P020180129351736660088.pdf (accessed on 21 June 2024.).
- Hatipoğlu, S.; Ergül, H.; Yazıcı, E. Selection of Secondary Hub Airport Location Based on Connectivity and Green Airport Solutions. Netw. Spat. Econ. 2024, 24, 507–529. [Google Scholar] [CrossRef]
- Ming-Jun, L.I.; Xiang-Dong, L.I. Research on Factors Affecting Green Airport Development Based on Scale Analysis. In IOP Conference Series: Earth and Environmental Science; IOP Publishing: Bristol, UK, 2021; Volume 647, p. 012148. [Google Scholar]
- Niu, E.X. The Evolutionary and Simulation Research of Green Port Logistics under Government Regulation. Master’s Thesis, Dalian Maritime University, Dalian, China, 2019. [Google Scholar]
- Meng, B.; Zhang, X.; Kuang, H.B.; Niu, E.-X. Study on the Evolutionary Game and Diffusion of Green Smart Port Construction under Government Regulation. Chin. J. Manag. Sci. 2022, 30, 21–35. [Google Scholar]
- Wang, L.; Shao, Y.; Sun, Y.; Wang, Y. Rent-seeking, promotion pressure and green economic efficiency: Evidence from China. Econ. Syst. 2023, 47, 101011. [Google Scholar] [CrossRef]
- Santa, S.L.; Ribeiro, J.M.; Mazon, G.; Schneider, J.; Barcelos, R.L.; de Andrade, J.B. A Green Airport model: Proposition based on social and environmental management systems. Sustain. Cities Soc. 2020, 59, 102160. [Google Scholar] [CrossRef]
- Yin, Y.R.; Li, Y.; Zhang, Y. PEST Analysis and Development Strategy of Green Haikou Port under Low-carbon Economy. Port Sci. Technol. 2021, 11, 13–15, 27. [Google Scholar]
- Niu, X.N. Carbon Emission Trading and Enterprise Green Technology Innovation of China. Master’s Thesis, Qilu University of Technology, Jinan, China, 2023. [Google Scholar]
- Eissele, J.; Lafer, S.; Burbano, C.M.; Schließus, J.; Wiedmann, T.; Mangold, J.; Strohmayer, A. Hydrogen-powered aviation—design of a hybrid-electric regional aircraft for entry into service in 2040. Aerospace 2023, 10, 277. [Google Scholar] [CrossRef]
- Wang, Y.; Fan, R.; Du, K.; Lin, J.; Wang, D.; Wang, Y. Private charger installation game and its incentive mechanism considering prospect theory. Transp. Res. Part D Transp. Environ. 2022, 113, 103508. [Google Scholar] [CrossRef]
- Korba, P.; Koščáková, M.; Főző, L.; Sekelová, I. Current state and possible challenges in the development of green airports. In Proceedings of the 2022 New Trends in Civil Aviation (NTCA), Prague, Czech Republic, 26–27 October 2022; pp. 191–197. [Google Scholar]
- Lin, C.; Xv, N.; Jin, X. Research on Green and Low-carbon Development Path of New Airport Enterprises. Green Build. 2024, 16, 74–79, 141. [Google Scholar]
- Liang, K. Study on Green Airport Evaluation System Based on DPSIR Model. Master’s Thesis, Civil Aviation Flight University of China, Deyang, China, 2020. [Google Scholar]
- Wang, J.H.; Wan, L.L.; Tian, Y. Analysis of Factors Affecting Airport Sustainability Based on PGA-Tobit Model. Aeronaut. Comput. Tech. 2020, 50, 44–48. [Google Scholar]
- Hu, R.; Huang, M.Y.; Zhang, J.F.; Witlox, F. On the Matthew effect in a multi-airport system: Evidence from the viewpoint of airport green efficiency. J. Air Transp. Manag. 2023, 106, 102304. [Google Scholar] [CrossRef]
- Kacar, B.; Turhan, E.; Dalkiran, A.; Karakoc, T.H. Green Airport building certification comparison: A practical approach for Airport Management. Int. J. Green Energy 2023, 20, 602–615. [Google Scholar] [CrossRef]
- Code for the Green Performance Assessment of Four Characteristics Airport [EB/OL]. Available online: https://www.chinaairports.org.cn/u/cms/www/202111/04113506gyap.pdf (accessed on 25 June 2024).
- Green Airport Evaluation Guidelines [EB/OL]. Available online: https://www.caac.gov.cn/big5/www.caac.gov.cn/XXGK/XXGK/BZGF/HYBZ/202306/P020230629536766586378.pdf (accessed on 25 June 2024).
- Gómez Comendador, V.F.; Arnaldo Valdés, R.M.; Lisker, B. A holistic approach to the environmental certification of green airports. Sustainability 2019, 11, 4043. [Google Scholar] [CrossRef]
- Li, M.J.; Li, X.D. Comprehensive Evaluation of Green Development Capability of Civil Aviation Airports Based on the Grey Systems Theory. J. Civ. Aviat. 2019, 3, 11–15. [Google Scholar]
- Wan, L.; Peng, Q.; Wang, J.; Tian, Y.; Xu, C. Evaluation of airport sustainability by the synthetic evaluation method: A case study of Guangzhou Baiyun international airport, China, from 2008 to 2017. Sustainability 2020, 12, 3334. [Google Scholar] [CrossRef]
- Ramakrishnan, J.; Liu, T.; Yu, R.; Seshadri, K.; Gou, Z. Towards greener airports: Development of an assessment framework by leveraging sustainability reports and rating tools. Environ. Impact Assess. Rev. 2022, 93, 106740. [Google Scholar] [CrossRef]
- Falk, M.T.; Hagsten, E. Time for carbon neutrality and other emission reduction measures at European airports. Bus. Strategy Environ. 2020, 29, 1448–1464. [Google Scholar] [CrossRef]
- Jia, X.; Huang, Y.; Cao, B.; Zhu, Y.; Wang, C. Field investigation on thermal comfort of passengers in an airport terminal in the severe cold zone of China. Build. Environ. 2021, 189, 107514. [Google Scholar] [CrossRef]
- Palleja-Cabre, S.; Tester, B.J.; Astley, R.J. Modeling of Over-Tip-Rotor Liners for the Suppression of Fan Noise. AIAA J. 2022, 60, 6361–6373. [Google Scholar] [CrossRef]
- Bao, D.W.; Zhang, X.L.; Gu, J.Y. Evaluation Method For Green Ecological Airports In China Based On Combination Weighting. Promet-Traffic Transp. 2018, 30, 419–428. [Google Scholar] [CrossRef]
- Airport Carbon Accreditation Annual Report 2022-2023 Web Version. [EB/OL]. Available online: https://www.airportcarbonaccreditation.org/wp-content/uploads/2024/03/AIRPORT-CARBON-ACCREDITATION-ANNUAL-REPORT-2022-2023-WEB-VERSION.pdf (accessed on 27 June 2024).
- Tang, Z.; Liu, J.; Shen, H.; Zeng, P.P. Heterogeneous energy storage system scheduling strategy for low carbon airport oriented microgrid. Energy Rep. 2022, 8, 307–314. [Google Scholar] [CrossRef]
- Zhang, Y.L.; Mo, T.Y.; Li, S.T.; Zhang, Y.; Li, Q. A survey of evolutionary game and resource allocation. Chin. J. Eng. 2022, 44, 402–410. [Google Scholar]
- Khoo, T.; Fu, F.; Pauls, S. Spillover modes in multiplex games: Double-edged effects on cooperation and their coevolution. Sci. Rep. 2018, 8, 6922. [Google Scholar] [CrossRef]
- Wang, Q.; He, N.; Chen, X. Replicator dynamics for public goods game with resource allocation in large populations. Appl. Math. Comput. 2018, 328, 162–170. [Google Scholar] [CrossRef]
- Perc, M.; Jordan, J.J.; Rand, D.G.; Wang, Z.; Boccaletti, S.; Szolnoki, A. Statistical physics of human cooperation. Phys. Rep. 2017, 687, 1–51. [Google Scholar] [CrossRef]
- Liu, J.; Meng, H.; Wang, W.; Xie, Z.; Yu, Q. Evolution of cooperation on independent networks: The influence of asymmetric information sharing updating mechanism. Appl. Math. Comput. 2019, 340, 234–241. [Google Scholar] [CrossRef]
- Cheng, D.Z.; Liu, Z.Q. Application of semi-tensor product of matrices to finite games. Control Theory Appl. 2019, 36, 1812–1819. [Google Scholar]
- Hilbe, C.; Šimsa, Š.; Chatterjee, K.; Nowak, M.A. Evolution of cooperation in stochastic games. Nature 2018, 559, 246–249. [Google Scholar] [CrossRef]
- Deng, G.; Chen, J.; Liu, Q. Influence mechanism and evolutionary game of environmental regulation on green port construction. Sustainability 2022, 14, 2930. [Google Scholar] [CrossRef]
- Zhang, P.W.; Ding, R. How to achieve carbon abatement in aviation with hybrid mechanism? A stochastic evolutionary game model. Energy 2023, 285, 129349. [Google Scholar] [CrossRef]
- Zhang, P.; Ding, R.; Wang, Y.; Zhang, Q.; Zhao, L. Emission reduction with hybrid mechanisms in civil aviation: An evolutionary game approach. Front. Environ. Sci. 2023, 11, 1138931. [Google Scholar] [CrossRef]
- Guo, X.; Ma, J.; Feng, Y.; Chen, B. Green Credit Policy and Short-Term Financing for Long-Term Investment: Evidence from China’s Heavily Polluting Enterprises. Sustainability 2023, 15, 16804. [Google Scholar] [CrossRef]
- Liu, Q.Y.; Xv, X.L.; Zhang, C.K. Tripartite Evolutionary Game Analysis Among Government, Enterprises and Third-party Detection Institutions with the Goal of Carbon Peaking and Carbon Neutralization. Ind. Eng. J. 2024, 27, 145–154. [Google Scholar]
- Sheng, J.; Tang, L.; Yang, Z.; Yu, M.; Liu, X. Strategies of stakeholders’ selection of shore-to-ship power in China. Transp. Res. Part D Transp. Environ. 2023, 119, 103729. [Google Scholar] [CrossRef]
- Wang, Q.; Mao, C. Evolutionary Game Analysis of Ecological Governance Strategies in the Yangtze River Delta Region, China. Land 2024, 13, 212. [Google Scholar] [CrossRef]
- Ma, L.; Lin, J.; Li, C.; Teng, Y. Research on Strategy Optimization of Green Agricultural Production Trusteeship to Promote Black Land Protection. Land 2024, 13, 647. [Google Scholar] [CrossRef]
- Wang, W.; Suo, J.T.; Han, L.H.; Ding, L.L.; Zhang, W.S. Evolutionary game analysis of green port development under government regulation. J. Syst. Eng. 2023, 38, 30–45. [Google Scholar]
- Qiao, X.; Lee, H.; Shen, Q.; Li, Y. Research on the Tripartite Evolutionary Game of Zero-Waste City Construction in China. Sustainability 2023, 15, 10507. [Google Scholar] [CrossRef]
- Zhang, Z.; Zhang, G.; Hu, Y.; Jiang, Y.; Zhou, C.; Ma, J. The evolutionary mechanism of haze collaborative governance: Novel evidence from a tripartite evolutionary game model and a case study in China. Humanit. Soc. Sci. Commun. 2023, 10, 69. [Google Scholar] [CrossRef]
Disclaimer/Publisher’s Note: The statements, opinions and data contained in all publications are solely those of the individual author(s) and contributor(s) and not of MDPI and/or the editor(s). MDPI and/or the editor(s) disclaim responsibility for any injury to people or property resulting from any ideas, methods, instructions or products referred to in the content. |
© 2024 by the authors. Licensee MDPI, Basel, Switzerland. This article is an open access article distributed under the terms and conditions of the Creative Commons Attribution (CC BY) license (https://creativecommons.org/licenses/by/4.0/).