Sign in to use this feature.

Years

Between: -

Subjects

remove_circle_outline
remove_circle_outline
remove_circle_outline
remove_circle_outline
remove_circle_outline
remove_circle_outline
remove_circle_outline
remove_circle_outline
remove_circle_outline

Journals

remove_circle_outline
remove_circle_outline
remove_circle_outline
remove_circle_outline
remove_circle_outline
remove_circle_outline
remove_circle_outline
remove_circle_outline
remove_circle_outline
remove_circle_outline
remove_circle_outline
remove_circle_outline
remove_circle_outline
remove_circle_outline
remove_circle_outline
remove_circle_outline
remove_circle_outline
remove_circle_outline
remove_circle_outline
remove_circle_outline
remove_circle_outline
remove_circle_outline

Article Types

Countries / Regions

remove_circle_outline
remove_circle_outline
remove_circle_outline
remove_circle_outline
remove_circle_outline
remove_circle_outline
remove_circle_outline
remove_circle_outline

Search Results (2,224)

Search Parameters:
Keywords = GPR84

Order results
Result details
Results per page
Select all
Export citation of selected articles as:
23 pages, 10640 KB  
Article
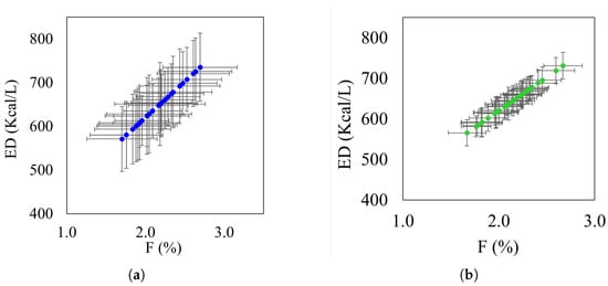
Machine Learning-Driven Computer Vision System for Automated Fat and Energy Quantification in Human Milk Microcapillaries
by Lujan E. Huamanga-Chumbes, Erwin J. Sacoto-Cabrera, Jaime Lloret, Vinie Lee Silva-Alvarado, Alfz Huicho-Mendigure and Edison Moreno-Cardenas
Sensors 2026, 26(6), 1756; https://doi.org/10.3390/s26061756 - 10 Mar 2026
Abstract
Neonatal health requires precise lipid quantification in human milk to ensure proper nutritional development. Traditional manual methods, such as the creamatocrit, are limited by human-induced bias and significant measurement uncertainty. This study presents a low-cost Computer Vision System acting as an automated optical [...] Read more.
Neonatal health requires precise lipid quantification in human milk to ensure proper nutritional development. Traditional manual methods, such as the creamatocrit, are limited by human-induced bias and significant measurement uncertainty. This study presents a low-cost Computer Vision System acting as an automated optical sensing modality for estimate the cream fraction (c) using advanced Machine Learning regression, which is subsequently used to derive fat and energy quantification through established analytical equations. The system is optimized for the Gold-LED spectrum, which enhances the dynamic range to 226 a.u. for robust feature extraction. We evaluated 28 distinct ML regression models across three feature spaces (Gray Scale, RGB, and Combined). The results, based on 6400 samples, demonstrate that the Rational Quadratic GPR model achieved the highest predictive stability with a coefficient of determination of R2=0.867. This computational framework achieved a 57.5% reduction in relative error compared to manual benchmarks. SHAP analysis indicates that the model selectively attributes higher importance to Red channel intensities and Blue contrast gradients, which correspond to the optical scattering characteristics of lipid globules. These findings validate the system as a stable sensing modality for non-invasive quantification. The proposed architecture integrates cost-effective hardware with high-precision analytical modeling, offering a reagent-free and operationally feasible alternative for standardized nutritional assessment in neonatal intensive care units and milk banks. Full article
(This article belongs to the Section Sensing and Imaging)
Show Figures

Figure 1

20 pages, 3087 KB  
Article
Classification and Prediction of Average Current in High-Power Semiconductor Devices: A Machine Learning Framework
by Fawad Ahmad, Luis Vaccaro, Armel Asongu Nkembi, Mario Marchesoni and Federico Portesine
Electronics 2026, 15(6), 1149; https://doi.org/10.3390/electronics15061149 - 10 Mar 2026
Abstract
The applications of machine learning (ML) in power electronics are expanding with time, providing effective tools that reduce design complexity and enhance predictive accuracy. In high-power semiconductor devices, such as thyristors and high-power diodes, electrical parameters may directly influence electro-thermal behavior, reliability, and [...] Read more.
The applications of machine learning (ML) in power electronics are expanding with time, providing effective tools that reduce design complexity and enhance predictive accuracy. In high-power semiconductor devices, such as thyristors and high-power diodes, electrical parameters may directly influence electro-thermal behavior, reliability, and overall device performance. Consequently, accurate prediction and classification of average current are critical to ensure optimal device selection, optimize design, and assess performance. In this article, a comprehensive dataset based on data from industrial thyristors capturing electrical and structural parameters relevant to current handling capability is utilized to classify and predict the average current of devices. Additionally, Shapley additive explanation (SHAP) analysis has been performed, highlighting the importance of crucial parameters and identifying the impact of each parameter on model output. Moreover, several ML models, including artificial neural networks (ANNs), support vector machines (SVMs), ensembles, and Gaussian process regression (GPR) are implemented and then compared to assess their performance. The proposed methodology provides manufacturers and designers with data-driven design tools that enhance reliability assessments and facilitate optimized device selection for high-power applications. Full article
(This article belongs to the Section Semiconductor Devices)
Show Figures

Figure 1

20 pages, 1983 KB  
Article
Subsoil Geological Structure Associations with Yield and Wine Attributes of Merlot Grapevines
by Reuven Simhayov, Sergey Gurianov, Nimrod Inbar, Ziv Moreno and Yishai Netzer
Agriculture 2026, 16(5), 630; https://doi.org/10.3390/agriculture16050630 - 9 Mar 2026
Abstract
This study investigated the relationship between Subsoil Geological Structure (SSGS) and the yield, berry composition, and wine attributes of Merlot grapevines in a mountainous region. The research found significant differences in vine physiology, yield, and berry chemistry of grapevines between five adjacent rows, [...] Read more.
This study investigated the relationship between Subsoil Geological Structure (SSGS) and the yield, berry composition, and wine attributes of Merlot grapevines in a mountainous region. The research found significant differences in vine physiology, yield, and berry chemistry of grapevines between five adjacent rows, which corresponded with the underlying SSGS. The middle row, planted over filling material and a karst layer, had the highest yield (1.96 kg·vine−1), consistent with better water availability, but produced berries and wine with the lowest concentrations of anthocyanins, phenolics, and soluble solids, resulting in the lowest wine quality score (82.33 points). In contrast, the northernmost row planted over bedrock had the lowest yield (0.12 kg·vine−1), consistent with limited water availability, but produced highly concentrated berries, though extreme stress compromised overall wine balance. The southern row, positioned over filling material on bedrock with moderate water stress (stem water potential −1.4 MPa), achieved an optimal balance between yield and quality, producing wine with the highest sensory score (88.78 points) and favorable chemical composition. Geophysical methods, including electric resistivity tomography (ERT) and ground-penetrating radar (GPR), identified the subsurface structure, revealing the karst layer beneath high-yielding rows and consolidated bedrock beneath severely stressed rows. Chemical analyses of berries and wine confirmed the dilution effect of higher water availability on quality-determining compounds, providing mechanistic evidence linking SSGS to wine quality. This study demonstrates the utility of integrating geophysical, physiological, and enological approaches for understanding terroir effects and optimizing vineyard management in complex geological settings. Full article
Show Figures

Figure 1

17 pages, 2179 KB  
Article
Machine Learning-Assisted Analysis of Fracture Energy in Externally Bonded Reinforcement on Groove Bond Strength Prediction
by Bahareh Mehdizadeh, Pouyan Fakharian, Younes Nouri, Mohammad Afrazi and Bijan Samali
Buildings 2026, 16(5), 1070; https://doi.org/10.3390/buildings16051070 - 8 Mar 2026
Viewed by 93
Abstract
The tensile capacity of a connection is predicted through the use of established models, among which the bond behavior between CFRP layers and concrete is always considered. In structures reinforced with CFRP, the prediction of the bond force between concrete and CFRP is [...] Read more.
The tensile capacity of a connection is predicted through the use of established models, among which the bond behavior between CFRP layers and concrete is always considered. In structures reinforced with CFRP, the prediction of the bond force between concrete and CFRP is essential, as the connection must be designed to withstand the required tensile capacity. An underestimation can lead to inefficient design, while an overestimation risks premature debonding failure, potentially compromising structural safety and serviceability. In recent applications, the bond force between concrete and CFRP has been increased through the use of the Externally Bonded Reinforcement on Groove (EBROG) method. However, due to the structural complexity introduced by the grooved interface, accurate prediction of its bond strength remains challenging, and conventional analytical models may not fully capture the underlying nonlinear interactions. In this technique, CFRP layers are placed into grooves to enhance the interaction among the adhesive, concrete, and CFRP. However, due to the structural complexity of this connection, accurate prediction of its bond force is challenging and requires the application of artificial intelligence methods. This study develops a machine learning (ML) framework to predict the bond strength of the EBROG technique. Four ML models, Support Vector Machine (SVM), Gaussian Process Regression (GPR), Decision Tree, and XGBoost, were implemented, and their hyperparameters were optimized via Bayesian optimization. The models were evaluated using multiple statistical metrics, with the XGBoost algorithm demonstrating superior predictive performance, achieving an R2 of 0.987 and an RMSE of 0.522 kN. This represents an improvement of approximately 5.6% in R2 and a reduction of over 53% in RMSE compared to the existing analytical model. SHAP analysis provided interpretable, data-driven insights, revealing that fracture energy is the predominant factor governing bond strength and elucidating nonlinear interactions between key design parameters. This ML-fracture mechanics framework not only offers superior prediction but also advances the mechanistic understanding of the EBROG bond behavior. Full article
(This article belongs to the Section Building Structures)
Show Figures

Figure 1

20 pages, 10871 KB  
Article
Wide-Angle Beam-Scanning Antenna Array for Extending the Lateral Detection Range of GPR
by Qifei Zhang, Zirui Zheng, Jiahui Wu, Yongqing Wang and Linyan Guo
Mathematics 2026, 14(5), 824; https://doi.org/10.3390/math14050824 - 28 Feb 2026
Viewed by 215
Abstract
This study presents a novel beam-scanning ground-penetrating radar (BS-GPR) system based on a wide-angle beam-scanning antenna array, aimed at extending the lateral detection range and improving the imaging fidelity without increasing the size of the transceiver antennas. The BS-GPR comprises a signal transceiver, [...] Read more.
This study presents a novel beam-scanning ground-penetrating radar (BS-GPR) system based on a wide-angle beam-scanning antenna array, aimed at extending the lateral detection range and improving the imaging fidelity without increasing the size of the transceiver antennas. The BS-GPR comprises a signal transceiver, a wide-angle beam-scanning antenna array for transmission and a bowtie antenna for reception. Unlike conventional commercial ground-penetrating radar (GPR), the transmitting signal of the wide-angle beam-scanning antenna array designed in this study can cover a fan-shaped region of ±90°, enabling the detection of abnormal targets outside the rectangular region directly below it. In field tests on air and sand, the BS-GPR proposed in this study can detect anomalous targets in the 55° and 30° directions, respectively. In brief, this study confirms the effectiveness of the wide-angle beam-scanning antenna array for extending the lateral detection range of GPR. Full article
(This article belongs to the Special Issue Advances in Control Systems and Automatic Control, 2nd Edition)
Show Figures

Figure 1

13 pages, 2158 KB  
Article
A Gaussian Process Regression Model for Estimating Pore Volume in the Longmaxi Shale Formation
by Sirong Zhu, Ning Li, Zhiwen Huang, Mingze Sun, Jie Zeng and Wenxi Ren
Processes 2026, 14(5), 798; https://doi.org/10.3390/pr14050798 - 28 Feb 2026
Viewed by 190
Abstract
Shale pore volume is a critical parameter for reservoir evaluation. Accurate and rapid determination of this parameter is essential for identifying sweet spots and performing reliable reserve estimations. Currently, laboratory experiments remain the standard for determining pore volume; however, these methods are typically [...] Read more.
Shale pore volume is a critical parameter for reservoir evaluation. Accurate and rapid determination of this parameter is essential for identifying sweet spots and performing reliable reserve estimations. Currently, laboratory experiments remain the standard for determining pore volume; however, these methods are typically time-consuming, costly, and labor-intensive. To complement traditional experimental approaches, we developed a Gaussian Process Regression (GPR) model to estimate shale pore volume based on mineralogical compositions. The model is specifically tailored for the Longmaxi shale, utilizing six input features: the contents of Total Organic Carbon (TOC), clay, quartz, feldspar, carbonate, and pyrite. The GPR model achieved a mean absolute percentage error (MAPE) of 9.97% on the testing dataset, while it yielded an MAPE of 17.66% when applied to an additional independent validation set. Finally, a sensitivity analysis using the Shapley additive explanations was conducted to elucidate the influence of mineralogical constituents on shale pore volume. Full article
Show Figures

Figure 1

25 pages, 12794 KB  
Article
Numerical Simulation Analysis of Ground-Penetrating-Radar-Based Advanced Detection Ahead of the Perfect and Irregular Tunnel Face
by Hao Li, Yanqing Wu and Liang Du
Geosciences 2026, 16(3), 99; https://doi.org/10.3390/geosciences16030099 - 27 Feb 2026
Viewed by 261
Abstract
When examining ground-penetrating radar (GPR)-based advanced detection ahead of the tunnel face for tunnel constructions, existing numerical forward simulations have not effectively accounted for the actual orientation of the strata and the conditions, limiting their theoretical guidance. In this study, we classify tunnel [...] Read more.
When examining ground-penetrating radar (GPR)-based advanced detection ahead of the tunnel face for tunnel constructions, existing numerical forward simulations have not effectively accounted for the actual orientation of the strata and the conditions, limiting their theoretical guidance. In this study, we classify tunnel boring through strata attitudes into horizontal, vertical, positively inclined, reverse inclined, and other anomalous structures. We also consider tunnel faces with different planarity (perfectly smooth or irregular). Using the finite-difference time-domain method with a generalized perfectly matched layer, we simulated 21 forward models for GPR-based advanced detection ahead of the tunnel face. The comparative simulation results indicate that the superposition of reflections from different directions at irregular tunnel faces, lithological interfaces, complicated numerical forward models of typical target geological bodies, making it difficult to distinguish the reflection signals of target geological bodies, and the signal strength in numerical forward modeling profiles with antenna touch with tunnel face is significantly stronger than those without such touch. The flatness of the tunnel face and the close proximity between the antenna and tunnel face are the keys to obtain high-quality original data. These research findings will contribute to improving instruments, data processing, and geologic interpretation in future. Full article
Show Figures

Figure 1

18 pages, 3765 KB  
Article
Prediction of Specific Energy Consumption in Sustainable Milling of Ti-6Al-4V with Different Machine Learning Models
by Djordje Cica, Sasa Tesic, Branislav Sredanovic, Dejan Vujasin, Milan Zeljkovic, Franci Pusavec and Davorin Kramar
Metals 2026, 16(3), 266; https://doi.org/10.3390/met16030266 - 27 Feb 2026
Viewed by 165
Abstract
Research on eco-friendly and energy-efficient machining processes has gained significant importance within the domain of sustainable production. This study is focused on enhancing the energy performance and sustainability of the milling process. Four machine learning (ML) models, namely, multiple linear regression (MLR), support [...] Read more.
Research on eco-friendly and energy-efficient machining processes has gained significant importance within the domain of sustainable production. This study is focused on enhancing the energy performance and sustainability of the milling process. Four machine learning (ML) models, namely, multiple linear regression (MLR), support vector regression (SVR), Gaussian process regression (GPR), and adaptive network-based fuzzy inference system (ANFIS), were proposed to estimate specific energy consumption (SEC) in the milling of Ti6-Al4-V under two eco-benign cooling conditions: cryogenic and minimum quantity lubrication (MQL). Several statistical metrics, including normalized mean absolute error (nMAE), mean absolute percentage error (MAPE), normalized root mean square error (nRMSE), maximum absolute percentage error (maxAPE), coefficient of determination (R2), and Willmott’s index of agreement (IA), were employed to validate the performances of the ML models. A high level of agreement between the predicted and experimental SEC data for both the training and test datasets supports the reliability of the proposed ML models. Although the MLR model performed well, the results revealed that the other ML models demonstrated better overall performance. According to the statistical metrics, the models’ predictive performance improved in the following sequence: MLR, SVR, GPR, and finally ANFIS, which demonstrated the highest predictive capability. Full article
(This article belongs to the Special Issue Application of Machine Learning in Metallic Materials)
Show Figures

Figure 1

24 pages, 8654 KB  
Article
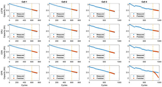
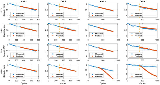
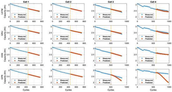
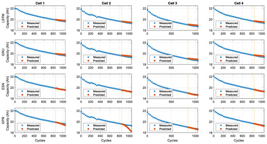
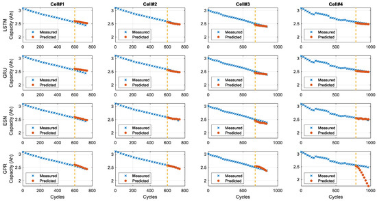
Machine Learning-Based Lifetime Prediction of Lithium Batteries: A Comparative Assessment for Electric Vehicle Applications
by Abdelilah Hammou, Raffaele Petrone, Demba Diallo, Boubekeur Tala-Ighil, Philippe Makany Boussiengue, Hicham Chaoui and Hamid Gualous
Energies 2026, 19(5), 1203; https://doi.org/10.3390/en19051203 - 27 Feb 2026
Viewed by 238
Abstract
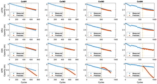
This paper evaluates and compares four data-driven methods (Gaussian Process Regression (GPR), echo state network (ESN), gated recurrent unit (GRU), and long short-term memory (LSTM)) for lithium-ion capacity prognostics adapted to electric vehicle conditions. This comparison aims to find the most efficient prognosis [...] Read more.
This paper evaluates and compares four data-driven methods (Gaussian Process Regression (GPR), echo state network (ESN), gated recurrent unit (GRU), and long short-term memory (LSTM)) for lithium-ion capacity prognostics adapted to electric vehicle conditions. This comparison aims to find the most efficient prognosis method considering two constraints: the limitation of computational power and the unavailability of on-board capacity measurement that requires full charge and discharge conditions. The machine learning models are trained using capacity values estimated under vehicle conditions. The ageing data is collected from cycling tests of two battery chemistries, Lithium Fer Phosphate (LFP) and Nickel Manganese Cobalt (NMC), with different ageing trends. The prognosis algorithms are tuned with three different percentages of the data, allowing for the evaluation of the methods at different ageing stages. The comparison and analysis of the results show that ESN outperforms other methods; it has the lowest prediction error (mean absolute percentage error less than 1.4% at initial ageing of the cells) and the shortest training time, making it the most appropriate method for automotive applications. Full article
Show Figures

Figure 1

21 pages, 4733 KB  
Article
Kynurenic Acid/GPR35 Signaling Protects the Infarcted Heart by Suppressing Macrophage mtDNA-Triggered cGAS-STING Activation
by Yuyuan Mao, Jiao Jiao, Xinyu Zhu, Wenhu Liu, Shujie He, Nana Li, Haoyi Yang, Jingyong Li, Tingting Tang, Ni Xia and Xiang Cheng
Antioxidants 2026, 15(3), 300; https://doi.org/10.3390/antiox15030300 - 27 Feb 2026
Viewed by 287
Abstract
Kynurenic acid (KynA), a tryptophan metabolite that regulates immune homeostasis via G protein-coupled receptor 35 (GPR35), has an undefined role in post-myocardial infarction (MI) immune responses. To clarify this role, we established a murine MI model and administered KynA intraperitoneally to evaluate cardiac [...] Read more.
Kynurenic acid (KynA), a tryptophan metabolite that regulates immune homeostasis via G protein-coupled receptor 35 (GPR35), has an undefined role in post-myocardial infarction (MI) immune responses. To clarify this role, we established a murine MI model and administered KynA intraperitoneally to evaluate cardiac function and ventricular remodeling. Macrophage infiltration was assessed, and macrophages were depleted via clodronate liposomes to confirm their contribution to KynA-mediated cardioprotection. In bone marrow-derived macrophages (BMDMs), GPR35-targeted siRNA verified the receptor-dependent action of KynA. KynA improved cardiac function, reduced infarct scarring and fibrosis, and suppressed pro-inflammatory macrophage infiltration in MI mice, with these cardioprotective effects abrogated by macrophage depletion. Mechanistically, KynA inhibited voltage-dependent anion channel 1 oligomerization, prevented mitochondrial DNA leakage, and downregulated the cGAS/STING/TBK1/IκBα/P65 pathway in macrophages, while exogenous mitochondrial DNA counteracted this inhibition. Collectively, the KynA/GPR35 axis exerts cardioprotective effects against MI by attenuating macrophage pro-inflammatory responses, highlighting its potential as a novel therapeutic target. Full article
Show Figures

Figure 1

2 pages, 469 KB  
Correction
Correction: Grant et al. Low pH, High Stakes: A Narrative Review Exploring the Acid-Sensing GPR65 Pathway as a Novel Approach in Renal Cell Carcinoma. Cancers 2025, 17, 3883
by Michael Grant, Barbara Cipriani, Alastair Corbin, David Miller, Alan Naylor, Stuart Hughes, Tom McCarthy, Sumeet Ambarkhane, Danish Memon, Michael Millward, Sumanta Pal and Ignacio Melero
Cancers 2026, 18(5), 760; https://doi.org/10.3390/cancers18050760 - 27 Feb 2026
Viewed by 129
Abstract
Figure/Legend [...] Full article
Show Figures

Figure 6

18 pages, 4009 KB  
Article
The Effect of the Equivalent Permittivity Model in Contactless MIMO-GPR Imaging
by Gianluca Gennarelli, Ilaria Catapano and Francesco Soldovieri
Sensors 2026, 26(5), 1463; https://doi.org/10.3390/s26051463 - 26 Feb 2026
Viewed by 154
Abstract
Multiple-Input–Multiple-Output Ground-Penetrating Radar (MIMO-GPR), collecting multiview–multistatic data, is now becoming an assessed diagnostic tool, enabling enhanced reconstruction accuracy and subsurface target detection due to the exploitation of multiple Tx/Rx channels. In this context, the present work deals with a 2D radar imaging approach [...] Read more.
Multiple-Input–Multiple-Output Ground-Penetrating Radar (MIMO-GPR), collecting multiview–multistatic data, is now becoming an assessed diagnostic tool, enabling enhanced reconstruction accuracy and subsurface target detection due to the exploitation of multiple Tx/Rx channels. In this context, the present work deals with a 2D radar imaging approach for contactless MIMO GPR based on the equivalent permittivity concept. The imaging problem is formulated as a linearized inverse scattering problem under Born approximation, and a ray propagation model, based on equivalent permittivity spatially varying along depth, is adopted to account for the wave propagation through the air–soil interface. The resulting linear inverse problem is solved by means of an adjoint inversion, enabling reliable target reconstruction. Despite the approximation introduced by the present formulation, numerical simulations show that the proposed imaging strategy is sufficiently accurate from an engineering viewpoint and is computationally efficient. Full article
(This article belongs to the Special Issue Advances in Multichannel Radar Systems)
Show Figures

Figure 1

19 pages, 3168 KB  
Article
Research on GPR-MPC Intelligent Control System for Paddy Rice Drying in Cross-Flow Circulating Grain Dryer
by Qi Song, Yongjie Zhang, Weihong Sun, Dongdong Du, Shaochen Zhang, Anzhe Wang, Wenming Chen and Xinhua Wei
Agriculture 2026, 16(5), 510; https://doi.org/10.3390/agriculture16050510 - 26 Feb 2026
Viewed by 215
Abstract
In order to improve the control accuracy and adaptability of drying control systems in complex paddy rice drying processes, the Gaussian process regression model predictive (GPR-MPC) drying process control strategy is designed. The strategy integrates the advantages of drying mathematical models and artificial [...] Read more.
In order to improve the control accuracy and adaptability of drying control systems in complex paddy rice drying processes, the Gaussian process regression model predictive (GPR-MPC) drying process control strategy is designed. The strategy integrates the advantages of drying mathematical models and artificial intelligence algorithms. Firstly, based on the predicted moisture content of the drying mathematical model and the moisture content detection value, the Gaussian process regression is used to establish the model of moisture content prediction error. Secondly, the GPR-MPC control system is designed and simulation experiments are conducted to verify its effectiveness. Finally, the GPR-MPC intelligent control system of a grain dryer is designed and drying experiments are conducted with the grain dryer. The GPR-MPC intelligent control system testing experiment is conducted using a 15-ton cross-flow batch type recirculating grain dryer. The experimental result shows that the maximum, average, and variance of the grain moisture content control error are 0.4%, 0.165% and 0.114%, respectively. Compared to the MPC control system, the designed GPR-MPC intelligent control system has high prediction accuracy, small moisture content control error, and stable control system operation. The integration of drying mathematical models and artificial intelligence algorithms can effectively improve the drying effect and reduce dependence on data volume. This research is of great significance for promoting the development of intelligent drying technology. Full article
(This article belongs to the Section Agricultural Technology)
Show Figures

Figure 1

23 pages, 37102 KB  
Article
Structural Insights from Non-Destructive Surveys: Moisture, Roof Structure and Subsoil Variability in Santa Maria del Pi
by Vega Perez-Gracia, Oriol Caselles, Jose Ramón Gonzalez Drigo, Viviana Sossa and Jaume Clapes
Geosciences 2026, 16(3), 95; https://doi.org/10.3390/geosciences16030095 - 25 Feb 2026
Viewed by 201
Abstract
Preventive conservation of historic buildings is crucial to avoid extensive damage, yet assessments are often reactive. Following mortar detachment at the Basilica of Santa María del Pi, this paper presents a diagnosis using Non-Destructive Testing (NDT). The study employed Horizontal-to-Vertical Spectral Ratio (HVSR) [...] Read more.
Preventive conservation of historic buildings is crucial to avoid extensive damage, yet assessments are often reactive. Following mortar detachment at the Basilica of Santa María del Pi, this paper presents a diagnosis using Non-Destructive Testing (NDT). The study employed Horizontal-to-Vertical Spectral Ratio (HVSR) for subsoil analysis and Ground Penetrating Radar (GPR) for superstructure inspection. HVSR analysis differentiated fill material from compacted ground, revealing that most of the basilica rests on infilled soil, except the northern corner, suggesting differential settlement risks. Concurrently, GPR survey of vaults and roofs identified internal structures, specifically zones lightened with hollow ceramics, and mapped high-moisture anomalies via wave amplitude and velocity analysis. The study concludes that these methods are complementary, addressing distinct spatial domains. Integrating subsoil characterization with superstructure analysis provided a comprehensive diagnosis essential for long-term maintenance and preservation. Full article
Show Figures

Figure 1

22 pages, 4902 KB  
Article
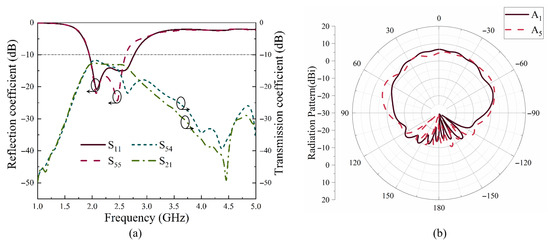
A Coherent Difference Imaging Method for Antenna Decoupling in Ground-Penetrating Radar
by Zihao Wang, Shengbo Ye, Yang Xu, Menghao Zhu, Yicai Ji, Xiaojun Liu, Guangyou Fang and Yudong Fang
Electronics 2026, 15(4), 893; https://doi.org/10.3390/electronics15040893 - 21 Feb 2026
Viewed by 254
Abstract
Ground-penetrating radar (GPR) is a key non-destructive technique for subsurface reconstruction, widely valued for its ability to image buried structures without disruption. Among its various implementations, vehicle-mounted GPR has emerged as particularly suitable for highway tunnel assessment due to its rapid non-contact operation. [...] Read more.
Ground-penetrating radar (GPR) is a key non-destructive technique for subsurface reconstruction, widely valued for its ability to image buried structures without disruption. Among its various implementations, vehicle-mounted GPR has emerged as particularly suitable for highway tunnel assessment due to its rapid non-contact operation. However, current systems are often constrained by closely spaced antennas that generate strong direct coupling and consequently limit detection depth. To mitigate this issue, this paper proposes an antenna decoupling method based on coherent difference imaging. A differential decoupling model is first established to characterize the relationship between conventional transceiver signals and the derived differential signals, explicitly accounting for parameters such as antenna height and target depth. Furthermore, a coherent difference imaging algorithm is developed, employing a sliding-window coherence process to resolve dual-peak artifacts and restore focused target images. Simulations validate consistent performance across varying antenna heights, while experiments demonstrate over 37.2 dB isolation in the 1–3 GHz band and markedly improved imaging focus compared to conventional configurations, thereby enhancing buried target detection and supporting reliable data interpretation. Full article
Show Figures

Figure 1

Back to TopTop