Next Article in Journal
A Hybrid-Driven Fault Diagnosis Method for Railway Freight Car Braking System
Next Article in Special Issue
Design and Analysis of Dual-Frequency Energy–Frequency Composite Selective Surface with Dual-Period Nested Cross Fractals
Previous Article in Journal
Revisiting SMS Spam Detection: The Impact of Feature Representation on Classical Machine Learning Models
Previous Article in Special Issue
Compact S- and C-Band Single-/Dual-Band Bandpass Filters with Multiple Transmission Zeros Using Spoof Surface Plasmon Polaritons and Half-Mode Substrate Integrated Waveguide
 
 
Font Type:
Arial Georgia Verdana
Font Size:
Aa Aa Aa
Line Spacing:
Column Width:
Background:
Article

A Coherent Difference Imaging Method for Antenna Decoupling in Ground-Penetrating Radar

1
Aerospace Information Research Institute, Chinese Academy of Sciences, Beijing 100190, China
2
Key Laboratory of Electromagnetic Radiation and Sensing Technology, Chinese Academy of Sciences, Beijing 100190, China
3
School of Electronic, Electrical and Communication Engineering, University of Chinese Academy of Sciences, Beijing 100049, China
4
Key Laboratory of Life Search and Rescue Technology for Earthquake and Geological Disaster, Ministry of Emergency Management, Beijing 100049, China
5
Key Laboratory of Application Innovation in Emergency Command Communication Technology, Ministry of Emergency Management, Beijing 100876, China
*
Author to whom correspondence should be addressed.
Electronics 2026, 15(4), 893; https://doi.org/10.3390/electronics15040893
Submission received: 27 January 2026 / Revised: 17 February 2026 / Accepted: 19 February 2026 / Published: 21 February 2026

Abstract

Ground-penetrating radar (GPR) is a key non-destructive technique for subsurface reconstruction, widely valued for its ability to image buried structures without disruption. Among its various implementations, vehicle-mounted GPR has emerged as particularly suitable for highway tunnel assessment due to its rapid non-contact operation. However, current systems are often constrained by closely spaced antennas that generate strong direct coupling and consequently limit detection depth. To mitigate this issue, this paper proposes an antenna decoupling method based on coherent difference imaging. A differential decoupling model is first established to characterize the relationship between conventional transceiver signals and the derived differential signals, explicitly accounting for parameters such as antenna height and target depth. Furthermore, a coherent difference imaging algorithm is developed, employing a sliding-window coherence process to resolve dual-peak artifacts and restore focused target images. Simulations validate consistent performance across varying antenna heights, while experiments demonstrate over 37.2 dB isolation in the 1–3 GHz band and markedly improved imaging focus compared to conventional configurations, thereby enhancing buried target detection and supporting reliable data interpretation.

1. Introduction

Ground-penetrating radar (GPR) is a highly efficient non-destructive testing technology. It offers centimeter-level resolution and real-time detection capabilities. These advantages make it irreplaceable in infrastructure assessment, road inspection, and underground anomaly identification [1,2,3]. By transmitting high-frequency electromagnetic pulses into the subsurface and capturing the reflected echoes, GPR can reliably detect internal defects in complex media, buried pipes, concealed voids or landmines. In two-dimensional B-scan images, these targets typically appear as hyperbolic signatures. To improve imaging quality, the Back Propagation (BP) algorithm is widely employed. This algorithm processes the received echo signals through time-delay superposition and focusing. Consequently, it accurately reconstructs both the spatial location and geometry of subsurface targets [4,5,6,7]. Furthermore, in GPR systems, the antenna serves as a core component whose performance determines the efficiency of electromagnetic wave transmission and reception. This directly impacts the detection depth and resolution of the system [8,9,10,11,12]. To reliably detect targets or improve their discernibility, practical detection systems employ various signal processing techniques. These include background removal and clutter suppression, which help to mitigate clutter and enhance the distinguishability of the target signal. It should be noted that post-processing algorithms, such as mean subtraction and SVD, can mitigate antenna direct coupling [13,14,15,16,17]. However, they do not address the fundamental issue of limited antenna isolation. Due to current hardware limitations, these algorithms can only be applied during post-processing. Therefore, there is an urgent need for a real-time decoupling method.
The applicability of traditional ground-coupled GPR is becoming limited, while vehicle-mounted and UAV-based systems have advanced rapidly due to their operational efficiency [18,19,20,21,22]. Compared to ground-based GPR, vehicle-mounted GPR requires greater penetration depth, which involves increasing the energy of the received signal as much as possible. In this case, antenna isolation becomes one of the key factors affecting detection performance [23,24,25]. At present, decoupling for vehicle-mounted GPR antennas faces numerous challenges. For instance, compact layouts result in insufficient isolation for traditional antennas, while the ultra-wideband characteristics of GPR systems pose even more severe challenges for achieving effective decoupling across broad frequency bands. Consequently, researching decoupling for vehicle-mounted GPR antennas is one of the key elements driving the advancement of vehicle-mounted GPR technology.
In recent years, scholars have proposed numerous methods to enhance the isolation of radar antennas. These approaches can be broadly categorized into three types: modifying the antenna structure around the envelope, creating additional decoupling structures between antennas, and utilizing channel characteristics such as antenna polarization for decoupling.
The first approach focuses on the antenna radiator to minimize impact on overall dimensions. Zhuo et al. [26] adopted a choke structure on the dipole radiating arm, creating partial open-circuit and short-circuit configurations. This effectively suppressed mutual coupling of the antenna, achieving isolation exceeding 20 dB within the 3.25–3.61 GHz range. Although this method is simple to implement, it provides narrow decoupling bandwidth. Laxmikant et al. [27] designed a choke-loaded horn antenna for UAV detection. By formulating an aperture equation with a gradually varying slope, they positioned the choke at the zero point of a Bessel function distribution. Finally, a level of almost perfect decoupling of the transmitting and receiving antennas is achieved.
The second method is the most common decoupling method. It involves placing additional structures between antennas. One involves directly shielding the mutual coupling between antenna units, such as the electromagnetic band gap structure (EBG) designed by Hossein et al. [28]. The results confirm that a two-layer EBG structure reduces antenna mutual coupling by 11 dB, while a three-layer EBG achieves a 14 dB reduction. Zhu et al. [29] designed a frequency-selective surface (FSS) by shaping FSS units to achieve an artificial reflective interface. This reflects a portion of the electromagnetic wave energy, ultimately achieving an antenna isolation exceeding 25 dB. However, the performance of such artificial electromagnetic materials (AEMs) is often narrowband, which hinders their compatibility with the ultra-wideband requirements of GPR. Additionally, the inherent dielectric loss of AEMs could reduce antenna radiation efficiency. Seyed et al. [30] placed a metal cavity behind the antenna to ensure unidirectional radiation and narrow the beamwidth, thereby effectively suppressing coupling between antennas. It achieved antenna isolation exceeding 20 dB across an ultra-wideband range of 0.17–1.74 GHz. However, this approach inevitably increases the size and weight of the radar system. Werner [31] demonstrated the decoupling effectiveness of absorptive materials, typically resistive coatings, in GPR systems. When electromagnetic waves pass through, they are partially absorbed, reducing mutual coupling and achieving isolation exceeding 40 dB within the 0.7–4 GHz band. However, this method reduces the radiated power, thereby compromising the detection depth.
Another approach is to introduce a new coupling path to neutralize the existing coupling between antenna elements. Zhang [32] implemented this with a broadband neutralization line that diverts the strong coupling field to a decoupling path, achieving isolation better than 22 dB isolation within 3.12–5 GHz. While this method extends the decoupling bandwidth, it is only effective for specific microstrip patch antennas. A different solution from Li et al. [33] uses a custom dielectric block attached to the antenna, lowering its profile. The block establishes a permittivity gradient from the antenna to free space, enabling the control of space-wave coupling to cancel surface waves. Finally, antenna isolation greater than 20 dB is achieved within a relative bandwidth of 27%.
Polarization diversity represents a third approach to improving isolation. Liu et al. [34] demonstrated this with a hybrid dual-polarized GPR system using a spiral transmitter and orthogonal Vivaldi receivers. Their measurements showed markedly suppressed direct coupling and successful target detection. However, this method significantly increases the complexity and cost of the system. In [35], a method utilizing a receive–transmit–receive configuration to improve antenna isolation has been proposed, but more in-depth work has not been explored.
This paper proposes a universal GPR antenna decoupling method. This approach is independent of specific antenna structures, offering greater implementation flexibility. Moreover, decoupling can be achieved during radar acquisition, ensuring the potential for enhanced sensitivity of the radar receiver. This paper first verifies that improving isolation for conventional antennas becomes challenging at relatively compact distances. While maintaining the overall antenna dimensions, an additional antenna is introduced between the two antennas to form a 1-transmit-2-receive configuration. This configuration theoretically enables perfect decoupling. Distinct from previous approaches, this method addresses the bimodal response of the target under decoupled configuration and achieves superior reconstruction of the target imaging results; a BP imaging method based on coherent differential is proposed. Finally, the antenna isolation exceeds 37.2 dB, and the method achieves well-focused imaging results for the target.
The rest of this paper is organized as follows: Section 2 shows the analysis of the antenna differential decoupling model. The mechanism of coherent differential BP imaging algorithm is presented in Section 3. The simulation and test results are displayed in Section 4 and Section 5, respectively. The conclusions are discussed in Section 6.

2. Antenna Differential Decoupling Model

The conventional GPR antenna configuration is typically a single transmitter–single receiver setup, as shown in Figure 1a. The antenna isolation in Configuration A (Config. A) is affected by the antenna distance. To achieve antenna decoupling while maintaining the overall antenna dimensions, this paper proposes a differential decoupling method, as shown in Configuration B (Config. B) in Figure 1b. In Config. B, the total antenna length remains the same as Config. A, which is still 2d. Compared to Config. A, Config. B adopts a 1-transmit-2-receive antenna configuration. The central antenna is the transmitter, and the two side antennas are receivers. The feed directions of the two receiving antennas are kept consistent, meaning that both antennas initially receive signals with the same phase. These two receiving antennas are then connected to an inverse power synthesizer, performing a differential operation on the two signals. This capability theoretically allows for the complete elimination of antenna direct coupling. Please note that Config. B includes an additional amplifier at the receiver end compared to Config. A. This does not constitute unfairness. Rather, Config. B achieves better isolation, allowing for greater receiver gain to enhance the dynamic range of the system. This will be verified in Section 5 at the end of this paper.
To better understand the differences in target detection between the two configurations, Figure 2 presents a modeling analysis of both setups. Figure 2a corresponds to the traditional Config. A shown in Figure 1. The direct coupling wave from the transmit antenna to the receive antenna is denoted as Sc, while the electromagnetic wave reflected off the ground surface is represented as Sg. The signal scattered by the target and subsequently reaching the receive antenna is labeled as Sr. Furthermore, Figure 2b corresponds to the novel Config. B introduced in Figure 1. The direct coupling waves from the two sides receiving antennas to the central transmitting antenna are denoted as Sc1 and Sc2, while the ground surface reflection waves are represented as Sg1 and Sg2. The received signals from the target scattering waves at the two receiving antennas are denoted as Sr1 and Sr2, respectively. It follows that Sc1 = Sc2. Furthermore, when the ground surface is ideal and flat, Sg1 = Sg2 is also satisfied. The advantage of Config. B is that, after performing differential processing, it can completely eliminate both the direct wave from the antenna and reflections from the medium surface. Therefore, compared to traditional Config. A, Config. B can theoretically achieve better target detection results. It should be noted that, when the target is directly below the transmit antenna, Sr1 = Sr2, meaning that the target echo is also eliminated. Therefore, to comprehensively evaluate the target echo characteristics of both configurations, the relationship between the signals will be derived as below.
In Figure 2a, the distance between the transmitter antenna and the receiver antenna is 2d. Let the transmitted signal from the transmitter antenna be s(t). This signal reaches the target after time t1 and the scattered wave then reaches the receiver antenna after time t2. The signal received at the receiving antenna can then be expressed as sA(t) = s(tt1t2). Its corresponding Fourier transform is denoted as SA(w) and can be represented as
S A ( w ) = S ( w ) exp [ j w ( t 1 + t 2 ) ]
where S(w) is the Fourier transform of s(t).
In Figure 2b, let the transmitted signal remain s(t), arriving at the target after time t0. The scattered waves arrive at receiving antenna 1 (RX1) and receiving antenna 2 (RX2) after times t1′ and t2′, respectively. Thus, the signal at the RX1 channel is s(tt0t1′) and the signal in the RX2 channel is s(tt0t2′), assuming the target has uniform reflectivity. The difference between these two received signals is denoted as sB(t) = s(tt0t1′) − s(tt0t2′). Its corresponding Fourier transform is denoted as SB(w) and can be expressed as
S B ( w ) = S ( w ) [ exp ( j w ( t 0 + t 1 ) ) exp ( j w ( t 0 + t 2 ) ) ] = S ( w ) exp ( j w t 0 ) [ exp ( j w ( t 1 + t 2 ) 2 ) ( 2 j sin ( w ( t 1 t 2 ) 2 ) ) ]
From Equation (1), it can be seen that the signal amplitude S A ( w ) remains constant across different angular frequencies. Equation (2) indicates that the amplitude S B ( w ) varies for signals with different angular frequencies. Since ground-penetrating radar transmits an ultra-wideband signal, the energy of both signal configurations is calculated to measure the overall intensity of the ultra-wideband signal. According to Parseval’s theorem,
E A = + s A ( t ) 2 d t = 1 2 π w L w H S A ( w ) 2 d w = 1 2 π w L w H S ( w ) 2 e j w ( t 1 + t 2 ) 2 d w = 1 2 π w L w H S ( w ) 2 d w
E B = + s B ( t ) 2 d t = 1 2 π w L w H S B ( w ) 2 d w = 1 2 π w L w H S ( w ) 2 4 sin 2 ( w ( t 1 t 2 ) 2 ) d w
From Equations (3) and (4), it can be seen that EA is independent of target delays t1 and t2. Meanwhile, EB depends on target delays t1′ and t2′. Therefore, the primary distinction between EA and EB lies in the s i n 2 ( w ( t 1   t 2 ) 2 ) term. Both t1′ and t2′ are related to both antenna position and target position. To establish the relationship between these parameters, the following can be calculated from Figure 2b:
t 1 = x 1 2 + h 2 c + ε 1 ( x x 1 ) 2 + y 2 c
t 2 = x 2 2 + h 2 c + ε 1 ( 2 d x x 2 ) 2 + y 2 c
where x1 denotes the horizontal distance from refraction point P1 to RX1 and x2 denotes the horizontal distance from refraction point P2 to RX2. The variable h denotes the distance between the antenna and the ground surface; y represents the burial depth of the target. The variable ε1 denotes the relative permittivity of the medium containing the target. The parameter c is the speed of light in a vacuum. To solve the refraction points x1 and x2, the conventional approach involves applying the law of refraction and then solving a quartic equation. However, this method is computationally inefficient [36]. Based on a calculation method provided in [37], an approximate solution can be obtained as follows:
x 1 = x + ε 0 ε 1 ( x h h + y x )
x 2 = 2 d x + ε 0 ε 1 ( 2 d x ) h h + y ( 2 d x )
Substitute the calculated values of x1 and x2 into Equations (5) and (6) to obtain t1′ and t2′. Finally, substitute these values into Equation (4) to determine the signal energy for Config. B.
We obtained the signal energy for Config. A and Config. B at a specific antenna position. However, in GPR applications, as the antenna moves, the target echoes vary accordingly. Therefore, to enhance the reliability of the proposed algorithm, the influence of the antenna radiation pattern is incorporated here. For the sake of simplicity, we adopt the classical cosine-power approximation model, expressed as F ( θ ) = c o s q ( θ i ) [38]. Here, q denotes the beamwidth factor, and its relationship with the half-power beamwidth (HPBW) is given as follows:
q = 0.693 ln ( cos ( H P B W 2 ) )
When the antenna exhibits an omnidirectional radiation pattern, the factor q = 0. For other specific antenna designs, the corresponding value of q can be determined by substituting the given HPBW. Consequently, the integrated energy along the entire survey line can be expressed as
E Atotal = i = 1 n E A ( x i ) cos 2 q ( θ i )
E Btotal = i = 1 n E B ( x i ) cos 2 q ( θ i )
Here, c o s 2 q ( θ i ) accounts for both the transmitting and receiving antenna patterns, assuming that the two patterns are identical. To quantitatively compare the energy strengths of the two configurations, we define the energy coefficient k = EBtotal/EAtotal. By combining Equations (3)–(11) and substituting the corresponding parameters, the value of k can be calculated. If k is greater than 1, it indicates that Config. B exhibits superior echo energy compared to Config. A. If k is less than 1, it indicates that Config. B exhibits less echo energy than Config. A.
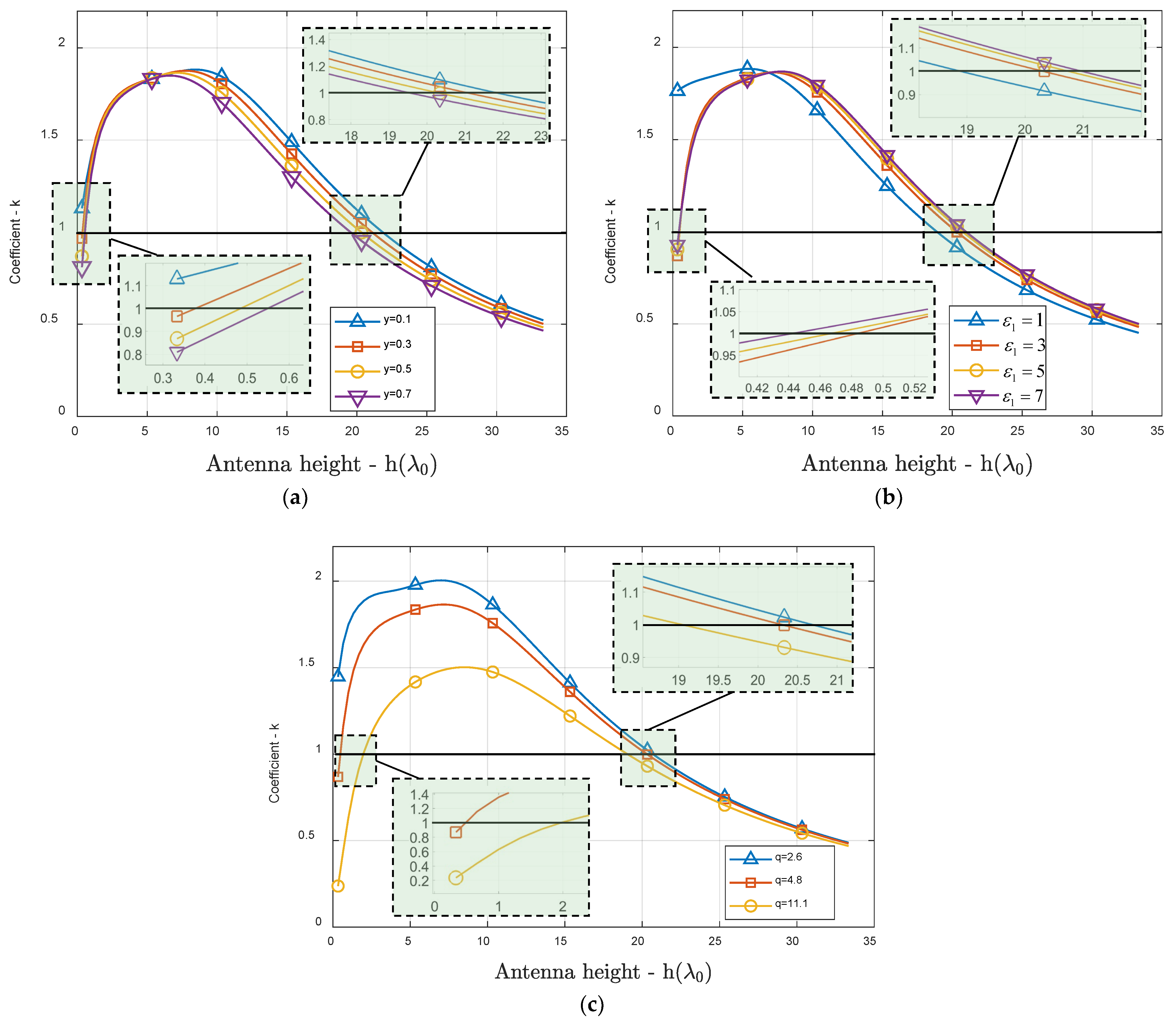
To validate the effectiveness of Config. B, we focus on the antenna height range corresponding to an energy coefficient k greater than 1. Therefore, we plot the curve with antenna height h as the independent variable and coefficient k as the dependent variable. Based on the actual radar system conditions, we set wL and wH to 2π × 1 × 109 and 2π × 3 × 109, respectively, meaning that the antenna bandwidth is 1–3 GHz. The antenna spacing d is set to 0.13 m. Furthermore, we investigated different scenarios with radiation pattern factors q = 2.6, 4.8, and 11.1. These values correspond to the typical beamwidths of the Bow-tie antenna, Vivaldi antenna, and double-ridged horn antenna commonly used in GPR at their respective center frequencies, as calculated by Equation (9). Next, we examine the influence of target depth y, relative permittivity ε1, and the pattern factor q on the kh curve, respectively.
In the first case, when q = 4.8 and ε1 = 3, we studied the kh curves corresponding to different target depths y, as shown in Figure 3a. The analysis leads to two conclusions:
(1)
When 0 . 6 λ 0 < h < 19 λ 0 , the kh curves for different y are all greater than 1, indicating that the proposed method outperforms the traditional one within this range.
(2)
When h < 0 . 6 λ 0 or h > 19 λ 0 , the value of k begins to fall below 1. Furthermore, k decreases as the target depth y increases, indicating that, within this antenna height range, the performance of the proposed method degrades with increasing target depth.
In the second case, setting q = 4.8, y = 0.5   m , we examined the kh curves corresponding to different ε1, as shown in Figure 3b. The results can be summarized as follows:
(1)
When 0 . 5 λ 0 < h < 19 λ 0 , the kh curves for different ε1 all remain above 1, indicating that the proposed method outperforms the traditional one within this antenna height range.
(2)
When h   < 0 . 5 λ 0 , the condition k > 1 still holds for ε1 = 1. For higher permittivity values, k increases as ε1 rises. This suggests that, for subsurface media detection, the effectiveness of the proposed method improves with higher dielectric constants.
(3)
When h > 19 λ 0 , a larger ε1 leads to a higher k value, further confirming that the proposed method is more advantageous in media with higher permittivity.
In the third case, when y = 0.5 m and ε1 = 3, we investigated the kh curves for different q values, as shown in Figure 3c. The conclusions are as follows:
(1)
When 2 λ 0 < h < 19 λ 0 , the kh curves for different q factors remain consistently above 1, indicating that the proposed method outperforms the traditional one within this antenna height range.
(2)
When h   < 2 λ 0 or h   > 19 λ 0 , cases where k < 1 begin to emerge. In these instances, a larger q value leads to a smaller k, suggesting that, within this height range, a narrower antenna beamwidth results in degraded performance of the proposed method.
In summary, provided that the antenna height h is selected within an appropriate range, the proposed method consistently outperforms the traditional approach, even across varying target depths y and relative permittivities ε1. According to [39], to ensure the antenna operates within the proper transition zone or far-field region, the height of air-coupled GPR antennas typically ranges between λ 0 and 3 λ 0 . This further demonstrates that the proposed method covers the vast majority of practical application scenarios.
For extreme cases—such as using a narrow-beam antenna at a very low clearance (e.g., h   < λ 0 )—where k ≤ 0.6, indicating a decline in the effectiveness of the method. However, a decrease in k does not necessarily imply that the proposed method is inapplicable; rather, it must be evaluated in conjunction with the actual signal-to-clutter ratio (SCR) of the target. This will be further validated using subsequent simulations and experimental measurements.

3. Coherent Differential BP Imaging Algorithm

The traditional Back Propagation (BP) algorithm employed in GPR is a time-domain imaging method. Numerous optimized BP algorithms have since emerged. For instance, the local BP algorithm targeting higher-order moments can enhance imaging accuracy [40]. This paper addresses the dual-peak response issue encountered during B-scan configuration. In this section, we propose a BP imaging algorithm procedure based on coherent differential processing, as illustrated in Figure 4.
In Step A, the time-zero correction refers to calibrating the time origin to the starting point of the feedline. Specifically for Config. B described herein, an inverse power synthesizer and additional coaxial cable are employed. To ensure accurate display during subsequent data processing, compensation for the length of this cable segment is required to align its timing with that of Config. A. Removing the direct current eliminates DC signals to prevent weak signals from being masked by strong DC interference. Step B employs the image entropy-based SVD clutter suppression method [41] (SVD-IE). GPR data involves various types of clutter, necessitating the selection of the most suitable clutter processing method for different scenarios. SVD-IE not only suppresses surface reflection waves, but also mitigates certain noise components, significantly enhancing the signal-to-clutter ratio (SCR) of radar images and facilitating target identification. Step C involves BP imaging of the target, where the coherent differential processing constitutes the proposed method in this paper. The algorithmic steps are outlined below.
First, define a sliding search window:
W s e a r c h = ( x , y ) x x 0 x s e a r c h 2 , y y 0 y s e a r c h 2
x s e a r c h = d + Δ x = d + λ 0 ( h + y ) 4 d
y s e a r c h = Δ y = c 2 B ε 1
where (x0, y0) represents the center coordinates of the window and x s e a r c h is the width of the search window. It is related to antenna spacing and radar horizontal resolution Δ x . Among them, h and y are the antenna height and target depth, respectively, as indicated in Figure 2b. y s e a r c h is the height of the search window. Its value is taken as the distance rate of the radar Δ y . c is the speed of light in vacuum, B is the radar bandwidth, and ε 1 is the relative dielectric constant of the medium. For different radar systems and target information, substitute the corresponding values.
The data matrix is then processed through the search window to locate the target matrix IBP(x,y). This matrix represents the data after BP imaging. Peak detection is used to locate the target region:
( x m , y m ) = ( x , y ) Ω I B P ( x , y ) = max ( u , v ) Ω I B P ( u , v )
where Ω denotes the imaging region. The target region extracted from this is denoted as
I t arg e t ( x , y ) = I B P ( x , y ) ( x , y ) W s e a r c h ( x m , y m )
Since the signal will produce a symmetrical double-peak response under Config. B, we apply sliding coherent differential processing to the target area:
I l e f t ( x , y ) = I t arg e t ( x + d 2 , y )
I r i g h t ( x , y ) = I t arg e t ( x d 2 , y )
I c o h e r e n t ( x , y ) = 1 2 ( I l e f t ( x , y ) + I r i g h t ( x , y ) )
The resulting Icoherent(x,y) retains some original response on both sides of the imaging point, which is generated during the leftward and rightward movements of Itarget(x,y). To address this issue, spatial filters are applied to suppress the original response, yielding the final target imaging result:
I f i n a l ( x , y ) = G ( I c o h e r e n t ( x , y ) )
where G(x,y) represents a two-dimensional Gaussian filter function. Please refer to Formulas (21)–(23) for specific calculations. We have chosen the ± 3 σ here, and, according to statistical knowledge, within this range, Gaussian functions can already cover the vast majority of energy.
G ( x , y ) = 1 2 π σ x σ y exp [ 1 2 ( ( x x 0 ) 2 σ 2 x + ( y y 0 ) 2 σ 2 y ) ]
1 2 π x s e a r c h 6 y s e a r c h 6 exp [ 1 2 ( ( x x 0 ) 2 ( x s e a r c h 6 ) 2 + ( y y 0 ) 2 ( y s e a r c h 6 ) 2 ) ]
= 18 π x s e a r c h y s e a r c h exp [ 18 ( ( x x 0 ) 2 x 2 s e a r c h + ( y y 0 ) 2 y 2 s e a r c h ) ]

4. Simulation Results

In Section 2, we demonstrated the kh variation curve relationship under different target depths and dielectric constants of various media. This section will simulate a set of target parameters commonly encountered in practical radar detection. We also investigate the imaging effects of configurations A and B at three different heights. A detailed introduction follows below.
Simulation of the target was performed using the electromagnetic simulation software gprMax (v3.1.7) with the simulation area set to 1.86 m × 1.7 m in length and width, as shown in Figure 5. The dielectric constant ε 1 of the medium was set to 3 and the conductivity σ was set to 10−4 S/m. A metal cylinder with a radius of 4 cm was placed at a burial depth of y = 0.5   m . The transmitted signal was a Ricker wavelet with a center frequency of 2 GHz and a signal amplitude of 1V. For simplicity, a dipole antenna was used for simulation. The antenna spacing was set to d = 0.13   m . Considering practical vehicle-mounted GPR applications, the simulations were primarily conducted at three antenna heights: h = 0.3   m (2 λ 0 ), 0.5 m (3.3 λ 0 ), and 0.7 m (4.7 λ 0 ).
Config. A was set up in the simulation as a single transmitter and single receiver antenna configuration. Config. B was set as a transmit-one-receive-two configuration, with inverted superposition of signals from two receiving antennas. Both configurations were simulated under identical parameters. To simulate real-world conditions, we added some noise and set the surface of the medium to contain sinusoidal undulations. The simulation results were then processed according to the flowchart shown in Figure 4. Note that the simulation employed a relatively ideal scenario, so the jitter suppression process in Step B was omitted. Jitter suppression will be applied in the subsequent experimental section.
In the following section, we analyze the distinct results obtained at three different heights. First, for h = 0.3 m, the original simulation results for Configs. A and B are shown in Figure 6a and Figure 6b, respectively. It is evident that Config. A clearly displays both the direct coupling wave from the target and the reflected wave from the medium surface. Under the same contrast view, due to the undulations on the simulated medium surface, Config. B left behind the reflected waves on the medium surface and the target hyperbola. This phenomenon was already demonstrated in the preceding theoretical analysis. Due to the strong direct coupling wave of the original data antenna, it is difficult to observe the target characteristics. And similar results have also been observed at other heights, so we will not list them one by one here.
In the following section, we focus on analyzing the results after preprocessing, as shown in Figure 7. The figure compares the results of two configurations at three different heights. It should be noted that, in the simulation, we do not use a clutter suppression algorithm, but rather employ mean subtraction.
It can be observed that the direct coupling wave from the antenna can be eliminated due to the absence of relative motion between them. A quantitative comparison of three heights will be provided in the following text. Note that a zero point appears at the peak of the hyperbola in Config. B. This aligns with the theoretical prediction in Section 2. We will present a solution during subsequent imaging process.
Figure 8 presents the results of BP imaging processing for two configurations. The results indicate that the target image in Config. A is focused. The target position aligns well with the simulation settings, with errors primarily stemming from simulation boundary conditions and excitation signal configurations. In contrast, Config. B yields two imaging points. This occurs because, when the target is directly beneath the antenna, it lies symmetrically between the two receiving antennas of Config. B, resulting in cancelation. During focusing, the target appears split into left and right components.
In order to quantitatively compare the results of the two configurations, we used peak amplitude (PA), target signal-to-clutter ratio (SCR), and Full Width at Half Maximum (FWHM) to evaluate. Among them, the calculation rules for PA and target SCR are shown in Formulas (24) and (25). Among them, I B P ( x , y ) is the BP imaging matrix of the target echo. R T is the region where the target is located in the matrix. S i is the amplitude of the target signal and C i is the amplitude of the signal other than the target in the BP imaging matrix.
P A = max ( x , y ) R T [ I B P ( x , y ) ]
S C R = 10 l g ( P s i g n a l P c l u t t e r ) = 10 l g ( m i = 1 n S 2 i n i = 1 m C 2 i )
FWHM represents the spatial distance corresponding to a 3 dB decrease in the peak energy of the target BP imaging point, which can actually be taken as the average of the longitudinal and transverse spatial distances [42]. It can be seen that the peak amplitude describes the peak value of the target BP imaging point. According to the BP imaging theory, the imaging point is the superposition of echoes corresponding to different frame rates, which is essentially the same as Formulas (10) and (11). Therefore, the energy coefficient k can also be expressed as the peak amplitude ratio of Config. B to Config. A.
The results calculated according to Formulas (24) and (25) are shown in Table 1. The results indicate that, as the antenna height increases, the k value also increases, which is consistent with the pattern in Figure 3. Moreover, both the PA and SCR of Config. B are superior to Config. A, with a maximum improvement of 0.9 dB for SCR. However, the FWHM of Config. B is wider than that of Config. A, which means that the resolution performance is slightly worse. However, since the focus of this article is to address the bimodal response of a single objective, Config. B is effective overall.
After simulating multiple antenna heights, we observed that the separation between these two distinct imaging points consistently remained around 0.13 m at these heights. This precisely corresponds to the antenna spacing value d. To restore accurate imaging results, we applied the coherent differential processing method described in Equations (11)–(18). The processed result can also be seen in Figure 8, where the imaging results of the target have been effectively restored. In summary, compared to Config. A, Config. B achieves comparable target imaging performance while simultaneously realizing antenna decoupling. These simulation results provide sufficient basis for subsequent practical testing.

5. Experimental Results

To validate the practical effectiveness of the proposed method, we constructed a radar experimental setup as illustrated in Figure 9. The radar and antennas were mounted on a rail platform to emulate the operational environment of an in-vehicle GPR. The rail height was adjustable to test scenarios with varying antenna heights. The detection medium was volcanic ash with a dielectric constant of approximately 3. It should be noted that, due to construction activities, the tested medium contained numerous interferences. The target was a 4 cm diameter metal pipe buried 0.5 m beneath the volcanic ash layer. The antenna polarization was aligned along the direction of the metal tube and perpendicular to the direction of the survey line. This configuration aligns with practical applications [43].
The radar transmits a frequency-stepped signal range of 1–3 GHz. The antenna adopts the HD-1060DRHA10N standard horn antenna produced by Hengda Company (Xi’an, China), with a bandwidth of 1–6 GHz [44]. The inverse power synthesizer used in this work is the SYPJ-2-33+ model from Mini-Circuits. In Config. A, as shown in Figure 9, the spacing between two antennas is 0.26 m. In Config. B, the spacing between each pair of antennas is 0.13 m, while the total spacing remains 0.26 m. This spacing is chosen to ensure the antennas are as compact as possible, meeting the dimensional requirements of the designed radar.
The antenna isolation test results are shown in Figure 10. To ensure sufficient radar detection depth without exceeding the receiver’s dynamic range, the antenna isolation must meet specific criteria [45,46]. In the radar designed in this article, the maximum unsaturation of the receiver corresponds to an antenna isolation of 15 dB. This indicates that the isolation of Config. A (corresponding to an isolation level of |S21| = 16.8 dB) nearly reaches the maximum unsaturation point. In contrast, Config. B achieves over 37.2 dB of isolation across the entire frequency band, maintaining a 22.2 dB margin relative to the maximum unsaturation point. It should be noted that, due to phase errors in the feedline, perfect antenna symmetry cannot be achieved, resulting in the isolation of Config. B not reaching the ideal level.
We summarize the isolation results of the two configurations in Table 2. The results indicate that Config. B can achieve a better level of isolation. Therefore, the gain at the receiving end allows for further improvement, and this result will provide guidance for subsequent experiments.
Subsequently, we employed the aforementioned radar system to test buried targets within volcanic ash. The acquired echo data is processed according to the workflow depicted in Figure 4. Below are the comparative results for antenna heights h = 0.3 m (2 λ 0 ), 0.5 m (3.3 λ 0 ), and 0.7 m (4.7 λ 0 ). First, Figure 11 presents the test results for Config. A and Config. B at h = 0.3 m. Both sets of results are processed using the same Step A and Step B as in Figure 4. The results indicate that both configurations can successfully detect the target at this altitude. Furthermore, as shown in Figure 11d, Config. B exhibits a bimodal response. To restore the target imaging results, Figure 11e employs coherent differential processing. However, Config. B demonstrates slightly better target focusing performance compared to Config. A. This result is consistent with the pattern obtained from the simulations in Figure 7 and Figure 8.
We continued to increase the antenna height. When h = 0.5 m, the test results for the two configurations are shown in Figure 12. As the antenna height increases, the attenuation of electromagnetic waves also increases. At this point, Figure 12a,c indicates that neither configuration can detect the target. The target has been obscured by clutter and noise. Consequently, neither Figure 12b nor Figure 12d obtain the imaging results of target focus, and some clutter acts as false targets, seriously affecting the actual detection of targets. According to the noise Formula (26) of the cascaded system, increasing the first-stage gain G1 can reduce the noise coefficient F t o t a l , which is beneficial for extracting weak targets. However, according to the test results in Figure 10, further increasing the receiver gain in Config. A leads to signal saturation. In contrast, Config. B allows for the continued enhancement of receiver gain.
F total = F 1 + F 2 1 G 1 + F 3 1 G 1 G 2 + + F n 1 G 1 G 2 G n 1
Consequently, we further adjusted the amplifier in the receiver of Config. B. When the amplifier was set to 10 dB, as shown in Figure 12e, the target trajectory became clearly visible. Furthermore, through the coherent differential processing method proposed in this paper, satisfactory target focusing results are ultimately achieved, as shown in Figure 12g. The target depth is located at approximately 1 m (antenna height 0.5 m plus target depth 0.5 m), and the horizontal position is around 0.6 m, closely matching the actual location.
Finally, when h = 0.7 m, the measured results for both configurations are compared as shown in Figure 13. Similar to the analysis for h = 0.5 m, the clutter energy is now stronger. As shown in Figure 13b,d, both configurations produce numerous clutter images instead of the true target location. Config. A is constrained by isolation limitations and cannot further increase receiver gain. Config. B, however, can continue adjusting the amplifier. With the amplifier gain set to 10 dB, the results in Figure 13e show that it successfully detected the target. After coherent differential processing, Figure 13g shows a satisfactory focusing result. The target was located at a depth of 1.2 m and a horizontal position of 0.6 m, which is in good agreement with the actual results.
Finally, we will organize the results as shown in Table 3. The symbol “-” in the table shows that the target has not been detected. When h = 0.3 m, the target can be detected. At this point, the PA and SCR of Config. B are both higher than Config. A, and SCR can be improved by 1.9 dB. However, the FWHM of Config. B is slightly worse than Config. A. When h = 0.5 m and h = 0.7 m, both Config. A and Config. B cannot effectively detect targets, while Config. B, which allows for an increase of 10 dB, can effectively detect targets and maintained a considerable SCR value.
Furthermore, to assess the practicality of the proposed configuration, Table 4 presents a comparison between the proposed method and other methods reported in the literature. Among these, the isolation improvement value indicates the enhancement at the peak isolation point. Extra size indicates whether the antenna dimensions will be increased. It can be observed that the proposed method achieves higher isolation improvement and wider decoupling bandwidth without increasing the physical dimensions of the antenna.

6. Conclusions

This study proposes a coherent difference imaging method for antenna decoupling in GPR. The technique suppresses direct coupling during data acquisition, enabling a subsequent increase in receiver gain. Compared to traditional methods, it significantly enhances antenna isolation without increasing antenna size or adding receiver channels. Simulation and experimental results validate the effectiveness of the method, achieving over 37.2 dB isolation within 1–3 GHz and demonstrating robust detection of deeply buried targets. The approach is well-suited for vehicle-mounted GPR systems, addressing the issue of receiver sensitivity limitations caused by insufficient antenna isolation. As a result, it provides a reliable solution for enhancing detection depth in air-coupled radar electronic systems, such as those mounted on vehicles, and offers a valuable reference for future research.

Author Contributions

Conceptualization, Z.W. and S.Y.; methodology, Z.W. and S.Y.; software, Z.W. and S.Y.; validation, Z.W., M.Z. and Y.X.; formal analysis, Z.W. and X.L.; investigation, G.F. and X.L.; resources, G.F. and S.Y.; data curation, G.F. and S.Y.; writing—original draft preparation, Z.W.; writing—review and editing, S.Y. and Y.J.; visualization, X.L.; supervision, G.F.; project administration, X.L. and S.Y.; funding acquisition, S.Y., G.F. and Y.F. All authors have read and agreed to the published version of the manuscript.

Funding

This research was funded by the Strategic Priority Research Program of the Chinese Academy of Sciences, grant number XDA28050302.

Data Availability Statement

The original contributions presented in this study are included in the article. Further inquiries can be directed to the corresponding author. Data are contained within the article.

Conflicts of Interest

The authors declare no conflicts of interest.

References

  1. Ren, Q.; Wang, Y.; Xu, J. A Two-Stage Hyperbola Localization Method in GPR Images Based on Frequency-Domain Feature Aggregation. IEEE Trans. Geosci. Remote Sens. 2025, 63, 5108217. [Google Scholar] [CrossRef]
  2. Song, X.; Xiang, D.; Zhou, K.; Su, Y. Improving RPCA-Based Clutter Suppression in GPR Detection of Antipersonnel Mines. IEEE Geosci. Remote Sens. Lett. 2017, 14, 1338–1342. [Google Scholar] [CrossRef]
  3. Akiyama, N.; Morooka, T.; Suzuki, K.; Kidera, S. Anomaly Detection Method With Rebar Response Suppression for Microwave Ground Penetrating Radar Pavement Inspection. IEEE J. Sel. Topics Appl. Earth Observ. Remote Sens. 2024, 17, 12945–12958. [Google Scholar] [CrossRef]
  4. Lan, T.; Wang, J.; Liao, J.; Gong, J.; Yang, X. A Layered Cross Correlation Back-Projection Algorithm Based on Ray-Theory for Electromagnetic Imaging in Stratified Medium. IEEE Trans. Geosci. Remote Sens. 2025, 63, 5102710. [Google Scholar] [CrossRef]
  5. Li, Y.; Dai, Q.; Tang, C.; Sun, Q. Artifact Suppression of Back-Projection Algorithm Under Multiple Buried Objects. IEEE Sens. J. 2023, 23, 7253–7265. [Google Scholar] [CrossRef]
  6. Liu, M.; Xiao, P.; Liu, L.; Sui, X.; Yuan, C. Tomographic Imaging for Orbital Radar Sounding of Earth’s Ice Sheets. IEEE J. Sel. Topics Appl. Earth Observ. Remote Sens. 2023, 16, 598–608. [Google Scholar] [CrossRef]
  7. Wu, Y.; Shen, F.; Zhang, M.; Wan, T.; Miao, Y.; Xu, D.; Lu, B.; Song, S. A Noncontact 3-D Back-Projection Measurement Method Based on CFAR Extraction and SFCW-GPR System. IEEE Trans. Geosci. Remote Sens. 2024, 62, 1001916. [Google Scholar] [CrossRef]
  8. Tong, J.; Guo, Y.; Ji, C.; Chai, X.; Zhao, Q. A Compact Wideband Semi-Elliptical Dipole Antenna for Boat-Borne GPR. IEEE Trans. Antennas Propag. 2022, 70, 11496–11504. [Google Scholar] [CrossRef]
  9. Li, Y.; Chen, J. Design of Miniaturized High Gain Bow-Tie Antenna. IEEE Trans. Antennas Propag. 2022, 70, 738–743. [Google Scholar] [CrossRef]
  10. Yektakhah, B.; Chiu, J.; Alsallum, F.; Sarabandi, K. Low-Profile, Low-Frequency, UWB Antenna for Imaging of Deeply Buried Targets. IEEE Geosci. Remote Sens. Lett. 2020, 17, 1168–1172. [Google Scholar] [CrossRef]
  11. Tong, J.; Huo, J.; Luo, J.; Guo, C.; Zhao, Q.; Guo, Y.-X. A Modified Compact UWB Directional Bow-Tie Antenna for Underwater GPR. IEEE Antennas Wireless Propag. Lett. 2025, 24, 943–947. [Google Scholar] [CrossRef]
  12. Stadler, S.; Igel, J. Developing Realistic FDTD GPR Antenna Surrogates by Means of Particle Swarm Optimization. IEEE Trans. Antennas Propag. 2022, 70, 4259–4272. [Google Scholar] [CrossRef]
  13. Wang, J.; Lin, Y.; Ma, D.; Wang, Y.; Ye, S. CycleGAN-Based Clutter Suppression and Pipeline Positioning Method for GPR Image. IEEE Geosci. Remote Sens. Lett. 2025, 22, 3500105. [Google Scholar] [CrossRef]
  14. Ni, Z.-K.; Ye, S.; Shi, C.; Li, C.; Fang, G. Clutter Suppression in GPR B-Scan Images Using Robust Autoencoder. IEEE Geosci. Remote Sens. Lett. 2022, 19, 3500705. [Google Scholar] [CrossRef]
  15. Wang, X.; Liu, H.; Zheng, M. A clutter suppression method of ground penetrating radar for detecting shallow surface target. In IET International Radar Conference 2015; Institution of Engineering and Technology: Hertfordshire, UK, 2015; pp. 1–4. [Google Scholar]
  16. Yang, J.; Jin, T.; Huang, X.; Thompson, J.; Zhou, Z. Sparse MIMO Array Forward-Looking GPR Imaging Based on Compressed Sensing in Clutter Environment. IEEE Trans. Geosci. Remote Sens. 2014, 52, 4480–4494. [Google Scholar] [CrossRef]
  17. Zhao, Y.; Chai, Z.; Xu, Z.; Hou, M.; Hu, J. Improved pix2pix Method for Clutter Removal From Complex Real Ground-Penetrating Radar Images. IEEE Sens. J. 2025, 25, 26767–26785. [Google Scholar] [CrossRef]
  18. Özkan, E.; Yıldırım, M.; Dinçtürk, M.; Mert, O.; Çuğalır, E.; Akgöz, A.; Paksoy, M.A.; Nazlı, H.; Özbudak, D.V.; Özkan, E. Development of UGV Mounted Multi-Channel Dual Sensor System Including EMI and GPR for Mine/IED Detection. In IGARSS 2024—2024 IEEE International Geoscience and Remote Sensing Symposium; IEEE: New York, NY, USA, 2024; pp. 4169–4172. [Google Scholar]
  19. Gowda, S.N.; Ullas Bharadwaj, D.R.; Abilash, S.; Sridhara, S.N.; Singh, V. Effect of ground undulation and mounted vehicle velocity variation on stepped frequency continuous wave GPR data. Explor. Geophys. 2018, 49, 81–88. [Google Scholar] [CrossRef]
  20. Jin, T.; Lou, J.; Zhou, Z. Extraction of Landmine Features Using a Forward-Looking Ground-Penetrating Radar With MIMO Array. IEEE Trans. Geosci. Remote Sens. 2012, 50, 4135–4144. [Google Scholar] [CrossRef]
  21. Kim, N.; Kim, K.; An, Y.K.; Lee, H.J.; Lee, J.J. Deep learning-based underground object detection for urban road pavement. Intern. J. Pavement Eng. 2018, 21, 1638–1650. [Google Scholar] [CrossRef]
  22. Feng, X.; Sato, M.; Zhang, Y.; Liu, C.; Shi, F.; Zhao, Y. CMP Antenna Array GPR and Signal-to-Clutter Ratio Improvement. IEEE Geosci. Remote Sens. Lett. 2009, 6, 23–27. [Google Scholar] [CrossRef]
  23. Comite, D.; Galli, A.; Catapano, I.; Soldovieri, F. The Role of the Antenna Radiation Pattern in the Performance of a Microwave Tomographic Approach for GPR Imaging. IEEE J. Sel. Topics Appl. Earth Observ. Remote Sens. 2017, 10, 4337–4347. [Google Scholar] [CrossRef]
  24. Gao, X.; Podd, F.J.W.; Van Verre, W.; Daniels, D.J.; Peyton, A.J. Investigating the Performance of Bi-Static GPR Antennas for Near-Surface Object Detection. Sensors 2019, 19, 170. [Google Scholar] [CrossRef] [PubMed]
  25. Sato, M.; Iizuka, Y. Cross bow-tie antenna for multistatic ground penetrating radar. In 2016 International Symposium on Antennas and Propagation (ISAP); IEEE: New York, NY, USA, 2016; pp. 1092–1093. [Google Scholar]
  26. Zhuo, X.-Q.; Pang, Z.-Y.; Ma, X.-Y.; Wang, C.-Y.; You, S.-S.; Huang, G.-L. Planar Choked Cross-Dipole Antenna for Hybrid Antenna System Application. In 2021 IEEE International Workshop on Electromagnetics: Applications and Student Innovation Competition (iWEM); IEEE: New York, NY, USA, 2021; pp. 1–2. [Google Scholar]
  27. Minz, L.; Kang, H.-S.; Azim, M.T.; Aziz, R.S.; Park, S.-O. Wide-beam Choke Horn Antenna for Small Drone Detection. In 2018 International Symposium on Antennas and Propagation (ISAP); IEEE: New York, NY, USA, 2018; pp. 1–2. [Google Scholar]
  28. Farahani, H.S.; Veysi, M.; Kamyab, M.; Tadjalli, A. Mutual Coupling Reduction in Patch Antenna Arrays Using a UC-EBG Superstrate. IEEE Antennas Wireless Propag. Lett. 2010, 9, 57–59. [Google Scholar] [CrossRef]
  29. Zhu, Y.; Chen, Y.; Yang, S. Decoupling and Low-Profile Design of Dual-Band Dual-Polarized Base Station Antennas Using Frequency-Selective Surface. IEEE Trans. Antennas Propag. 2019, 67, 5272–5281. [Google Scholar] [CrossRef]
  30. Mousavi, S.M.H.; Moosazadeh, M.; Guo, L.; Abbosh, A.M. Compact Dual-Polarized Cavity-Backed Antenna With Wideband Performance for Deep Torso Imaging. IEEE Trans. Antennas Propag. 2024, 72, 2217–2227. [Google Scholar] [CrossRef]
  31. Steyn, W. Ultra-Wideband Modified Bow-Tie Antenna for FMCW GPR Applications. In 2023 17th European Conference on Antennas and Propagation (EuCAP); IEEE: New York, NY, USA, 2023; pp. 1–5. [Google Scholar]
  32. Zhang, S.; Pedersen, G.F. Mutual Coupling Reduction for UWB MIMO Antennas With a Wideband Neutralization Line. IEEE Antennas Wireless Propag. Lett. 2016, 15, 166–169. [Google Scholar] [CrossRef]
  33. Li, M.; Jamal, M.Y.; Jiang, L.; Yeung, K.L. Isolation Enhancement for MIMO Patch Antennas Sharing a Common Thick Substrate: Using a Dielectric Block to Control Space-Wave Coupling to Cancel Surface-Wave Coupling. IEEE Trans. Antennas Propag. 2021, 69, 1853–1863. [Google Scholar] [CrossRef]
  34. Liu, H.; Zhao, J.; Sato, M. A Hybrid Dual-Polarization GPR System for Detection of Linear Objects. IEEE Antennas Wireless Propag. Lett. 2015, 14, 317–320. [Google Scholar] [CrossRef]
  35. Gurel, L.; Oguz, U. Transmitter-receiver-transmitter configurations of ground-penetrating radar. Radio Sci. 2002, 37, 51–57. [Google Scholar] [CrossRef]
  36. Li, X.; Ye, S.; Kong, Q.; Song, C.; Liu, X.; Fang, G. A Real-Time Permittivity Estimation Method for Stepped-Frequency Ground-Penetrating Radar by Full-Waveform Inversion. Remote Sens. 2023, 15, 5188. [Google Scholar] [CrossRef]
  37. Panda, S.L.; Maiti, S.; Sahoo, U.K. Subsurface Propagation Velocity Estimation Methods in Ground-Penetrating Radar: A review. IEEE Geosci. Remote Sens. Magz. 2022, 10, 70–89. [Google Scholar] [CrossRef]
  38. Balanis, C.A. Antenna Theory: Analysis and Design; John Wiley & Sons: Hoboken, NJ, USA, 2016. [Google Scholar]
  39. Pérez-Gracia, V.; González-Drigo, R.; Di Capua, D. Horizontal resolution in a non-destructive shallow GPR survey: An experimental evaluation. NDT & E Int. 2008, 41, 611–620. [Google Scholar]
  40. Xu, Z.; Li, H.; Jin, X.; Su, F.; Xu, G.; Lambot, S. A Synergistic GPR Approach of Back Projection Algorithm and Full-Wave Inversion for Reconstruction in Unknown Multilayered Environments. IEEE Trans. Geosci. Remote Sens. 2024, 62, 5935918. [Google Scholar] [CrossRef]
  41. Chen, S.; Lin, Y.; Yuan, Y.; Li, X.; Hou, L.; Zhang, S. Suppressive Interference Suppression for Airborne SAR Using BSS for Singular Value and Eigenvalue Decomposition Based on Information Entropy. IEEE Trans. Geosci. Remote Sens. 2023, 61, 5205611. [Google Scholar] [CrossRef]
  42. Smogavec, P.; Pongrac, B.; Sarjaš, A.; Kafedziski, V.; Dončov, N.; Gleich, D. Comparative Study of GPR Acquisition Methods for Shallow Buried Object Detection. Remote Sens. 2024, 16, 3931. [Google Scholar] [CrossRef]
  43. Liu, H.; Chen, J.; Zhang, X.; Dai, D.; Cui, J.; Spencer, B.F. Collaborative Imaging of Subsurface Cavities Using Ground-Pipeline Penetrating Radar. IEEE Geosci. Remote Sens. Lett. 2024, 21, 3002205. [Google Scholar] [CrossRef]
  44. Ultra Wideband Dual Ridge Horn Antenn, Xi’an HD Microwave Co., Ltd. Available online: https://www.hdmicrowave.com/products_listing.php?product_category=238&parent=211 (accessed on 24 November 2025).
  45. Martínez, H.J.; Alvarez, S.; Yarlequé, M.A. Assessing the performance of three type of UWB antennas for FMCW GPR imaging. In 2018 International Conference on Electromagnetics in Advanced Applications (ICEAA); IEEE: New York, NY, USA, 2018; pp. 620–622. [Google Scholar]
  46. Raha, K.; Ray, K.P. FMCW GPR Model to Ascertain Pre-processing Filter Parameters and Isolation between Antennas. In 2021 IEEE Indian Conference on Antennas and Propagation (InCAP); IEEE: New York, NY, USA, 2021; pp. 478–481. [Google Scholar]
Figure 1. Schematic diagrams of two configurations: (a) Conventional GPR configuration (Config. A). (b) The proposed Configuration (Config. B).
Figure 1. Schematic diagrams of two configurations: (a) Conventional GPR configuration (Config. A). (b) The proposed Configuration (Config. B).
Electronics 15 00893 g001
Figure 2. Two target detection diagrams with different configurations: (a) Config. A. (b) Config. B.
Figure 2. Two target detection diagrams with different configurations: (a) Config. A. (b) Config. B.
Electronics 15 00893 g002
Figure 3. The variation curve of energy coefficient k with antenna height h: (a) kh curves at different target depths y (m). (b) The kh curve under different dielectric constant ε1. (c) kh curve for different beam width factors q.
Figure 3. The variation curve of energy coefficient k with antenna height h: (a) kh curves at different target depths y (m). (b) The kh curve under different dielectric constant ε1. (c) kh curve for different beam width factors q.
Electronics 15 00893 g003
Figure 4. Flowchart of the proposed method.
Figure 4. Flowchart of the proposed method.
Electronics 15 00893 g004
Figure 5. Simulation model diagram.
Figure 5. Simulation model diagram.
Electronics 15 00893 g005
Figure 6. Comparison of raw data simulation at h = 0.3 m: (a) Config. A. (b) Config. B.
Figure 6. Comparison of raw data simulation at h = 0.3 m: (a) Config. A. (b) Config. B.
Electronics 15 00893 g006
Figure 7. Comparison of preprocessed simulation data at different antenna heights.
Figure 7. Comparison of preprocessed simulation data at different antenna heights.
Electronics 15 00893 g007
Figure 8. Comparison of BP imaging simulation at different antenna heights.
Figure 8. Comparison of BP imaging simulation at different antenna heights.
Electronics 15 00893 g008
Figure 9. The experimental setup.
Figure 9. The experimental setup.
Electronics 15 00893 g009
Figure 10. Comparison of antenna isolation test results.
Figure 10. Comparison of antenna isolation test results.
Electronics 15 00893 g010
Figure 11. Comparison of test results at h = 0.3 m: (a) Scan results for Config. A. (b) Imaging results of Config. A. (c) Scan results for Config. B. (d) Imaging results of Config. B. (e) Recovery imaging results of Config. B after coherent differential processing.
Figure 11. Comparison of test results at h = 0.3 m: (a) Scan results for Config. A. (b) Imaging results of Config. A. (c) Scan results for Config. B. (d) Imaging results of Config. B. (e) Recovery imaging results of Config. B after coherent differential processing.
Electronics 15 00893 g011
Figure 12. Comparison of test results at h = 0.5 m: (a) Scan results for Config. A. (b) Imaging results of Config. A. (c) Scan results for Config. B. (d) Imaging results of Config. B. (e) Scan results for Config. B with amplifier. (f) Imaging results of Config. B with amplifier. (g) Recovery imaging results of Config. B with amplifier after coherent differential processing.
Figure 12. Comparison of test results at h = 0.5 m: (a) Scan results for Config. A. (b) Imaging results of Config. A. (c) Scan results for Config. B. (d) Imaging results of Config. B. (e) Scan results for Config. B with amplifier. (f) Imaging results of Config. B with amplifier. (g) Recovery imaging results of Config. B with amplifier after coherent differential processing.
Electronics 15 00893 g012
Figure 13. Comparison of test results at h = 0.7 m: (a) Scan results for Config. A. (b) Imaging results of Config. A. (c) Scan results for Config. B. (d) Imaging results of Config. B. (e) Scan results for Config. B with amplifier. (f) Imaging results of Config. B with amplifier. (g) Recovery imaging results of Config. B with amplifier after coherent differential processing.
Figure 13. Comparison of test results at h = 0.7 m: (a) Scan results for Config. A. (b) Imaging results of Config. A. (c) Scan results for Config. B. (d) Imaging results of Config. B. (e) Scan results for Config. B with amplifier. (f) Imaging results of Config. B with amplifier. (g) Recovery imaging results of Config. B with amplifier after coherent differential processing.
Electronics 15 00893 g013
Table 1. Comparison of simulation results.
Table 1. Comparison of simulation results.
HeightConfigurationPA ( × 10 3 V)kSCR (dB)FWHM (cm)
h = 0.3 mConfig. A 3.41 1.0324.31.21
Config. B 3.50 25.21.65
h = 0.5 mConfig. A 2.67 1.0523.91.56
Config. B 2.81 24.71.58
h = 0.7 mConfig. A 2.09 1.0723.11.66
Config. B 2.23 23.71.94
Table 2. Comparison of isolation and potential gain enhancement.
Table 2. Comparison of isolation and potential gain enhancement.
ConfigurationIsolation Range
(dB)
Potential Gain
Enhancement
(dB)
Config. A16.8–37.9<1.8
Config. B37.2–54.2 < 22.2
Table 3. Comparison of test results.
Table 3. Comparison of test results.
HeightConfigurationPA (V)SCR (dB)FWHM (cm)
h = 0.3 mConfig. A 6.7 × 10 4 9.33.13
Config. B 7.1 × 10 4 11.24.24
h = 0.5 mConfig. A---
Config. B---
Config. B
(10 dB gain)
3.2 × 10 3 11.44.38
h = 0.7 mConfig. A---
Config. B---
Config. B
(10 dB gain)
2.2 × 10 3 10.14.20
Table 4. Comparison of proposed methods.
Table 4. Comparison of proposed methods.
Ref.ApproachIsolation Improvement Value (dB)Decoupling BandwidthExtra Size
[28]Three-layer EBG metamaterial255.5–6 GHz
(8.7%)
Required
[29]FSS metamaterial9/100.69–0.96 GHz (32.7%)
/3.5–4.9 GHz (33.3%)
Required
[32]Neutral Line103.1–5 GHz
(46.9%)
None
This workDifferential configuration+
coherent imaging
20.41–3 GHz
(100%)
None
Disclaimer/Publisher’s Note: The statements, opinions and data contained in all publications are solely those of the individual author(s) and contributor(s) and not of MDPI and/or the editor(s). MDPI and/or the editor(s) disclaim responsibility for any injury to people or property resulting from any ideas, methods, instructions or products referred to in the content.

Share and Cite

MDPI and ACS Style

Wang, Z.; Ye, S.; Xu, Y.; Zhu, M.; Ji, Y.; Liu, X.; Fang, G.; Fang, Y. A Coherent Difference Imaging Method for Antenna Decoupling in Ground-Penetrating Radar. Electronics 2026, 15, 893. https://doi.org/10.3390/electronics15040893

AMA Style

Wang Z, Ye S, Xu Y, Zhu M, Ji Y, Liu X, Fang G, Fang Y. A Coherent Difference Imaging Method for Antenna Decoupling in Ground-Penetrating Radar. Electronics. 2026; 15(4):893. https://doi.org/10.3390/electronics15040893

Chicago/Turabian Style

Wang, Zihao, Shengbo Ye, Yang Xu, Menghao Zhu, Yicai Ji, Xiaojun Liu, Guangyou Fang, and Yudong Fang. 2026. "A Coherent Difference Imaging Method for Antenna Decoupling in Ground-Penetrating Radar" Electronics 15, no. 4: 893. https://doi.org/10.3390/electronics15040893

APA Style

Wang, Z., Ye, S., Xu, Y., Zhu, M., Ji, Y., Liu, X., Fang, G., & Fang, Y. (2026). A Coherent Difference Imaging Method for Antenna Decoupling in Ground-Penetrating Radar. Electronics, 15(4), 893. https://doi.org/10.3390/electronics15040893

Note that from the first issue of 2016, this journal uses article numbers instead of page numbers. See further details here.

Article Metrics

Back to TopTop