Numerical Simulation Analysis of Ground-Penetrating-Radar-Based Advanced Detection Ahead of the Perfect and Irregular Tunnel Face
Abstract
1. Introduction
2. Simulation Method
2.1. FDTD with GPML
2.2. Modeling of Tunnel Face Advanced Detection
3. Numerical Simulation Results
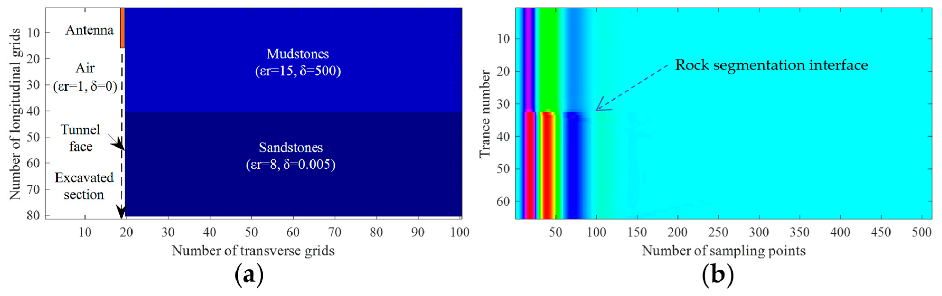
3.1. Horizontal Strata
3.2. Vertical Strata
3.3. Positively Inclined Strata
3.4. Reverse-Inclined Strata
3.5. Geophysical Models for the Other Target Bodies
4. Confirmation of Actual Field Detections
4.1. Advanced Detection Ahead of Irregular Tunnel Face
4.2. Advanced Detection Ahead of Perfect Tunnel Face
4.3. Non-Attaching Tunnel Face for the GPR Antenna
5. Discussion
5.1. Simulation Results for Horizontal Strata
5.2. Simulation Results for Vertical Strata
5.3. Simulation Results for Positively Inclined Strata
5.4. Simulation Results of Reverse-Inclined Strata
5.5. Simulation Results for Other Target Bodies
5.6. Overview of the Discussion
6. Conclusions
Author Contributions
Funding
Data Availability Statement
Acknowledgments
Conflicts of Interest
References
- Li, S.; Liu, B.; Xu, X.; Nie, L.; Liu, Z.; Song, J.; Sun, H.; Chen, L.; Fan, K. An overview of Ahead Geological Prospecting in Tunneling. Tunn. Undergr. Space Technol. 2017, 63, 69–94. [Google Scholar] [CrossRef]
- Ghezzi, A.; Schettino, A.; Pierantoni, P.P.; Conyers, L.; Tassi, L.; Vigliotti, L.; Schettino, E.; Melfi, M.; Gorrini, M.E.; Boila, P. Reconstruction of a Segment of the UNESCO World Heritage Hadrian’s Villa Tunnel Network by Integrated GPR, Magnetic–Paleomagnetic, and Electric Resistivity Prospections. Remote Sens. 2019, 11, 1739. [Google Scholar] [CrossRef]
- Yang, J.; Ma, Q.; Xiao, H.; Wei, X.; Yan, F.; Zhang, W.; Chen, J.; Xiao, Z.; Wang, G. Multi-Means Comprehensive Forecasting Technology for Water Inrush in Long Tunnels. Appl. Sci. 2025, 15, 3332. [Google Scholar] [CrossRef]
- Li, C.; Wang, H.; Wang, Y.; Wang, L.; Yang, X.; Wan, X. Recognition of Tunnel Fracture Zones in Seismic Waves and Ground-Penetrating Radar Data. Appl. Sci. 2024, 14, 1282. [Google Scholar] [CrossRef]
- Li, J.; Cao, D.; Xiao, T.; Wang, C. Utility Tunnel Settlement Monitoring Using Distributed Fiber Optic and Ground Penetrating Radar Technologies. Sensors 2025, 25, 6964. [Google Scholar] [CrossRef] [PubMed]
- Zhang, S.; Zhang, L.; He, W.; Ling, T.; Deng, Z.; Fu, G. Three-Dimensional Quantitative Recognition of Filler Materials Ahead of a Tunnel Face via Time-Energy Density Analysis of Wavelet Transforms. Minerals 2022, 12, 234. [Google Scholar] [CrossRef]
- Lu, G.; Ma, Y.; Zhang, Q.; Wang, J.; Du, L.; Hao, G. Research on Tunnel Boring Machine Tunnel Water Disaster Detection and Radar Echo Signal Processing. Buildings 2024, 14, 1737. [Google Scholar] [CrossRef]
- Huang, C.-F.; Zhang, S.-L.; Wu, S.-C.; Gao, Y.-T. Research and Application of a Comprehensive Forecasting System for Tunnels in Water-Bearing Fault Fracture Zones: A Case Study. Arab. J. Geosci. 2022, 15, 171. [Google Scholar] [CrossRef]
- Zang, C.W.; Huang, H.W.; Zhang, Z.X. Forecasting the Strata Condition of a Long Road Tunnel by Using Fuzzy Synthetic Judgment. Int. J. Rock Mech. Min. Sci. 2004, 41, 267–272. [Google Scholar] [CrossRef]
- Ding, Y.; Yang, B.; Xu, G.; Wang, X. Improved Dempster–Shafer Evidence Theory for Tunnel Water Inrush Risk Analysis Based on Fuzzy Identification Factors of Multi-Source Geophysical Data. Remote. Sens. 2022, 14, 6178. [Google Scholar] [CrossRef]
- Li, S.C.; Zhou, Z.Q.; Ye, Z.H.; Li, L.P.; Zhang, Q.Q.; Xu, Z.H. Comprehensive Geophysical Prediction and Treatment Measures of Karst Caves in Deep Buried Tunnel. J. Appl. Geophys. 2015, 116, 247–257. [Google Scholar] [CrossRef]
- Li, S.; Song, J.; Zhang, J.; Wang, C.; Liu, B.; Liu, F.; Ma, S.; Nie, L. A New Comprehensive Geological Prediction Method Based on Constrained Inversion and Integrated Interpretation for Water-Bearing Tunnel Structures. Eur. J. Environ. Civ. Eng. 2017, 21, 1441–1465. [Google Scholar] [CrossRef]
- Bu, L.; Li, S.; Shi, S.; Li, L.; Zhao, Y.; Zhou, Z.; Nie, L.; Sun, H. Application of the Comprehensive Forecast System for Water-Bearing Structures in A Karst Tunnel: A Case Study. Bull. Eng. Geol. Environ. 2019, 78, 357–373. [Google Scholar] [CrossRef]
- Lan, R.; Liu, Z.; Liu, M.; Guan, Q.; Yan, Y.; Sun, H.; Zhou, D. Detection of Karst Caves During Tunnel Construction Using Ground-Penetrating Radar and Advanced Drilling: A Case Study in Guangxi Province, China. Near Surf. Geophys. 2022, 20, 265–278. [Google Scholar] [CrossRef]
- Cui, F.; Wang, R.; Chen, B.; Zeng, L.; Chen, Y. Application Research of Autoregressive and Moving Average Power Spectrum in Mine Ground-Penetrating Radar Structure Detection Data Analysis. Geophys. Prospect. 2023, 71, 1743–1755. [Google Scholar]
- Liu, M.; Liu, Z.; Zhou, D.; Lan, R.; Wu, H. Recognition Method of Typical Anomalies during Karst Tunnel Construction Using GPR Attributes and Gaussian processes. Arab. J. Geosci. 2020, 13, 1–13. [Google Scholar] [CrossRef]
- Zhang, S.; He, W.; Cao, F.; Hong, L. Time-Frequency Analysis of GPR Simulation Signals for Tunnel Cavern Fillings Based on Short-Time Fourier Transform. In Proceedings of the 17th Biennial International Conference on Engineering, Science, Construction, and Operations in Challenging Environments (Earth and Space), Miami, FL, USA, 19–23 April 2021; pp. 572–581. [Google Scholar]
- He, Y.Y.; Li, B.Q.; Guo, Y.S.; Wang, T.N.; Zhu, Y. An Interpretation Model of GPR Point Data in Tunnel Geological Prediction. In Proceedings of the 8th International Conference on Graphic and Image Processing (ICGIP); SPIE: Bellingham, WA, USA, 2017; pp. 102252J-1–102252J-6. [Google Scholar]
- Yang, T.-W.; Li, J.-H.; Cao, Y.-H.; Xiong, B.; Wei, L.-Y. Deep Learning-based Tunnel Advance Geological Forecast for Polygon Targets via Regional GPR Data. Appl. Geophys. 2025, 22, 973–987,1492. [Google Scholar] [CrossRef]
- Li, C.; Zhang, S.; Li, T.; Yang, G.; Chen, W.; Xiao, H.; Li, S. A Preliminary Study on Intelligent Interpretation of GPR Advance Prediction in Karst Tunnel. In Proceedings of the 3rd International Conference on Geosynthetics and Environmental Engineering, ICGEE; Springer: Berlin/Heidelberg, Germany, 2025; Volume 2026, pp. 347–364. [Google Scholar]
- Li, Z.; Zheng, Z.; Gao, J.; Lian, H.; Yu, S.; Yuan, K. Numerical Simulation of GPR and Application Examples for Tunnel Geological Advanced Prediction. Chin. Zhongzhou Coal 2016, 7, 143–147. [Google Scholar]
- Deng, G.; Wang, Q.; Liao, J.; Zhou, Y. Forward Modeling and Advanced Detection of Radar in Adverse Geological Phenomena Tunnel. Chin. Geophys. Geochem. Explor. 2015, 39, 651–656. [Google Scholar]
- Yang, T.; Li, H.; Zhang, H. Forward Modeling of GPML Absorbing Boundary Conditions in GPR Simulation. Chin. J. Comput. Phys. 2014, 31, 200–206. [Google Scholar]
- Kane, Y. Numerical Solution of Initial Boundary Value Problems Involving Maxwell’s Equations in Isotropic Media. IEEE Trans. Antennas Propag. 1966, 14, 302–307. [Google Scholar] [CrossRef]
- Berenger, J.P. A Perfectly Matched Layer for the Absorption of Electromagnetic Waves. J. Comput. Phys. 1994, 114, 185–200. [Google Scholar] [CrossRef]
- Fang, J.; Wu, Z. Generalized Perfectly Matched Layer-an Extension of Berenger’s Perfectly Matched Layer Boundary Condition. IEEE Microw. Guid. Wave Lett. 1995, 5, 451–453. [Google Scholar] [CrossRef]
- Fang, J.; Wu, Z. Generalized Perfectly Matched Layer for the Absorption of Propagating and Evanescent Waves in Lossless and Lossy Media. IEEE Trans. Microw. Theory Tech. 1996, 44, 2216–2222. [Google Scholar] [CrossRef]
- Zhao, L.; Cangellaris, A.C. GT-PML: Generalized Theory of Perfectly Matched Layers and Its Application to the Reflectionless Truncation of Finite-Difference Time-Domain Grids. IEEE Trans. Microw. Theory Tech. 1996, 44, 2555–2563. [Google Scholar] [CrossRef]
- Zhao, A.P. Generalized-Material-Independent PML Absorbers Used for the FDTD Simulation of Electromagnetic Waves in 3-D Arbitrary Anisotropic Dielectric and Magnetic Media. IEEE Trans. Microw. Theory Tech. 1998, 46, 1511–1513. [Google Scholar] [CrossRef]


































| Number of dx and dy for Mesh | Quadrate Mesh Spacing (m) | Simulated Predicted Length (m) | Simulated Tunnel Face Width (m) | Simulated Area (m2) |
|---|---|---|---|---|
| 80 and 100 | 0.0749 | 7.4948 | 5.9958 | 44.9373 |
| Amplitude (Statistical Value) | Maximum Amplitude | Mean Amplitude |
|---|---|---|
| Antenna touching the tunnel face | 1.849 | 0.067 |
| Antenna not touching the tunnel face | 0.270 | 0.011 |
| Ratio | 6.8520 | 6.281 |
| Geophysical Models | Perfect Tunnel Face | Irregular Tunnel Face | Number of Models |
|---|---|---|---|
| Horizontal strata | 2 | 2 | 4 |
| Vertical strata | 2 | 2 | 4 |
| Positively inclined strata | 2 | 1 | 3 |
| Reverse-inclined strata | 3 | 1 | 4 |
| The other target bodies | 3 | 3 | 6 |
Disclaimer/Publisher’s Note: The statements, opinions and data contained in all publications are solely those of the individual author(s) and contributor(s) and not of MDPI and/or the editor(s). MDPI and/or the editor(s) disclaim responsibility for any injury to people or property resulting from any ideas, methods, instructions or products referred to in the content. |
© 2026 by the authors. Licensee MDPI, Basel, Switzerland. This article is an open access article distributed under the terms and conditions of the Creative Commons Attribution (CC BY) license.
Share and Cite
Li, H.; Wu, Y.; Du, L. Numerical Simulation Analysis of Ground-Penetrating-Radar-Based Advanced Detection Ahead of the Perfect and Irregular Tunnel Face. Geosciences 2026, 16, 99. https://doi.org/10.3390/geosciences16030099
Li H, Wu Y, Du L. Numerical Simulation Analysis of Ground-Penetrating-Radar-Based Advanced Detection Ahead of the Perfect and Irregular Tunnel Face. Geosciences. 2026; 16(3):99. https://doi.org/10.3390/geosciences16030099
Chicago/Turabian StyleLi, Hao, Yanqing Wu, and Liang Du. 2026. "Numerical Simulation Analysis of Ground-Penetrating-Radar-Based Advanced Detection Ahead of the Perfect and Irregular Tunnel Face" Geosciences 16, no. 3: 99. https://doi.org/10.3390/geosciences16030099
APA StyleLi, H., Wu, Y., & Du, L. (2026). Numerical Simulation Analysis of Ground-Penetrating-Radar-Based Advanced Detection Ahead of the Perfect and Irregular Tunnel Face. Geosciences, 16(3), 99. https://doi.org/10.3390/geosciences16030099

