Sign in to use this feature.

Years

Between: -

Subjects

remove_circle_outline
remove_circle_outline
remove_circle_outline
remove_circle_outline
remove_circle_outline
remove_circle_outline
remove_circle_outline
remove_circle_outline
remove_circle_outline

Journals

remove_circle_outline
remove_circle_outline
remove_circle_outline
remove_circle_outline
remove_circle_outline
remove_circle_outline
remove_circle_outline
remove_circle_outline
remove_circle_outline
remove_circle_outline
remove_circle_outline
remove_circle_outline
remove_circle_outline

Article Types

Countries / Regions

remove_circle_outline
remove_circle_outline
remove_circle_outline
remove_circle_outline
remove_circle_outline
remove_circle_outline

Search Results (666)

Search Parameters:
Keywords = Full Factorial Design

Order results
Result details
Results per page
Select all
Export citation of selected articles as:
21 pages, 1735 KB  
Article
Optimization of Mechanical Properties Using Fused Deposition Manufacturing Technique: A Systematic Investigation of Polycarbonate and Polylactic Acid Specimens
by Faisal Khaled Aldawood, Hussain F. Abualkhair, Muhammed Anaz Khan and Mohammed Alquraish
Polymers 2025, 17(19), 2659; https://doi.org/10.3390/polym17192659 - 1 Oct 2025
Abstract
This exploratory study investigates preliminary trends in the optimization of mechanical properties in 3D-printed components produced via Fused Deposition Modeling (FDM) using polycarbonate (PC) and polylactic acid (PLA). Through a systematic full factorial experimental design, three critical parameters were examined: material types (PC [...] Read more.
This exploratory study investigates preliminary trends in the optimization of mechanical properties in 3D-printed components produced via Fused Deposition Modeling (FDM) using polycarbonate (PC) and polylactic acid (PLA). Through a systematic full factorial experimental design, three critical parameters were examined: material types (PC and PLA), layer thickness (0.2 mm and 0.4 mm), and build orientation (horizontal and vertical). Preliminary trends suggest that vertically oriented specimens showed up to 64.7% higher tensile strength compared to horizontal builds, though with significantly reduced ductility. Contributing to growing evidence regarding layer thickness effects, thicker layers (0.4 mm) showed improved ultimate strength by up to 36.2% while simultaneously reducing production time by 50%. However, statistical power analysis revealed insufficient sample size (n = 1 per condition) to establish significance for orientation effects, despite large practical differences observed. PC specimens demonstrated superior strength (maximum 67.5 MPa) and fracture energy, while PLA offered better ductility (up to 22.4% strain). These exploratory findings provide promising directions for future adequately powered investigations for tailored parameter selection according to specific application requirements. Full article
(This article belongs to the Special Issue Polymeric Materials for 3D Printing)
Show Figures

Figure 1

24 pages, 3861 KB  
Article
Mechanical and Anti-Icing Properties of Polyurethane/Carbon Fiber-Reinforced Polymer Composites with Carbonized Coffee Grounds
by Seong Baek Yang, Min Ji Woo, Donghyeon Lee, Jong-Hyun Kim, Sang Yong Nam and Dong-Jun Kwon
Materials 2025, 18(19), 4533; https://doi.org/10.3390/ma18194533 - 29 Sep 2025
Abstract
Spent coffee grounds represent an abundant waste resource with potential for sustainable material applications. This study investigates the use of carbonized spent coffee grounds (CSCG) as fillers in polyurethane (PU) coatings for carbon fiber-reinforced polymer (CFRP) substrates to enhance mechanical durability and anti-icing [...] Read more.
Spent coffee grounds represent an abundant waste resource with potential for sustainable material applications. This study investigates the use of carbonized spent coffee grounds (CSCG) as fillers in polyurethane (PU) coatings for carbon fiber-reinforced polymer (CFRP) substrates to enhance mechanical durability and anti-icing performance. SCGs were dried, sieved (<100 µm), and oxidatively carbonized in air at 100–300 °C for 60–120 min, then incorporated into PU at 1 or 5 wt.% and applied by spray-coating. A full-factorial design was employed to evaluate the effects of carbonization temperature, particle size, and filler loading. The optimized formulation (300 °C, 100 µm, 5 wt.%) showed the highest water contact angle (103.5°), lowest work of adhesion (55.8 mJ/m2), and improved thermal stability with 60% char yield. Mechanical testing revealed increased tensile modulus with reduced strain, and differential scanning calorimetry indicated an upward shift in glass-transition temperature, suggesting restricted chain mobility. Ice formation at 0 °C was sparse and discontinuous, attributed to lowered polar surface energy, rough surface texture, and porous carbon morphology. These results demonstrate that CSCGs are effective sustainable fillers for PU coatings, offering combined improvements in mechanical, thermal, and anti-icing properties suitable for aerospace, wind power, and other icing-prone applications. Full article
(This article belongs to the Special Issue Carbon Fiber Reinforced Polymers (3rd Edition))
Show Figures

Figure 1

17 pages, 3221 KB  
Article
Synthesis and Characterization of Phosphorylated Cellulose Nanocrystals: Exploring Factors for Enhanced Thermal and Colloidal Stability
by Diego López, María Graciela Aguayo, Mario Núñez-Decap, Pablo Reyes-Contreras, Regis Teixeira Mendonça, Isidora Reyes-González, Benjamín Opazo and Fabiola Valdebenito
Polymers 2025, 17(19), 2581; https://doi.org/10.3390/polym17192581 - 24 Sep 2025
Viewed by 74
Abstract
Phosphorylated cellulose nanocrystals (P-CNCs) are a superior alternative to conventional sulfuric acid-derived CNCs because of their enhanced thermal and colloidal stability. However, further research is needed to understand the factors influencing their synthesis and properties for advanced material applications. In this study, P-CNCs [...] Read more.
Phosphorylated cellulose nanocrystals (P-CNCs) are a superior alternative to conventional sulfuric acid-derived CNCs because of their enhanced thermal and colloidal stability. However, further research is needed to understand the factors influencing their synthesis and properties for advanced material applications. In this study, P-CNCs were synthesized from bleached hardwood kraft pulp (BEKP) using a controlled hydrolysis method involving pretreatment with H3PO4 followed by reaction with metaphosphoric acid (HPO3) and urea. To optimize the process, a full factorial design was employed to evaluate the effects of reaction time (60–90 min) and HPO3 concentration (3–4 M). The P-CNCs were characterized using physicochemical, morphological, and thermal analyses. Surface charge densities ranged from 757 to 1993 mmol/kg, with exceptional colloidal stability, as evidenced by zeta potentials ranging from −30.17 to −67.40 mV. Statistical analysis showed that reaction time had a significant main effect on surface charge (p-value = 0.0022) and zeta potential (p-value = 0.0448), while a significant interaction between reaction time and HPO3 concentration was observed when analyzing the surface charge (p-value = 0.0097), suggesting a combined effect of these factors on the surface modification of CNC. Crystallinity indices ranged from 63.6% to 71.3%, and the thermal stability exceeded that of the raw material. These findings contribute to a better understanding of the surface modification and stability of P-CNCs and support efforts to sustainably produce functional CNCs for advanced composite applications. Full article
(This article belongs to the Special Issue Advances in Cellulose and Wood-Based Composites)
Show Figures

Graphical abstract

20 pages, 1835 KB  
Article
Regression Modeling and Optimization of CNC Milling Parameters for FDM-Printed TPU 95A Components
by Kaan Emre Engin and Zihni Alp Cevik
Micromachines 2025, 16(10), 1078; https://doi.org/10.3390/mi16101078 - 24 Sep 2025
Viewed by 87
Abstract
Additively manufactured thermoplastic polyurethane (TPU 95A) is widely used in engineering, yet its machining behavior remains insufficiently explored. This study investigates the post-processing machinability of FDM-fabricated TPU 95A using CNC milling, with a particular focus on material removal rate (MRR) and surface roughness [...] Read more.
Additively manufactured thermoplastic polyurethane (TPU 95A) is widely used in engineering, yet its machining behavior remains insufficiently explored. This study investigates the post-processing machinability of FDM-fabricated TPU 95A using CNC milling, with a particular focus on material removal rate (MRR) and surface roughness (Ra). A full factorial design of experiments (81 runs) is conducted, considering four input parameters such as spindle speed (N; 2000, 4000, 6000 rpm) and feed rate (F; 100, 200, 300 mm/min) on the CNC vertical machining center, together with infill density (ϕ; 33%, 66%, 100%) and layer thickness (LT; 1.0, 1.5, 2.0 mm). MRR is modeled and optimized across all densities, achieving strong fit (R2 = 0.94; Adj-R2 = 0.93). The optimum conditions are found to be MRR ≈ 1251 mm3/min at F = 300 mm/min, ϕ = 100%, N ≈ 3500 rpm and LT ≈ 1.05 mm. Ra can only be measured for 100% infill specimens, as lower infill surfaces violate profile measurement requirements. Its regression model shows weak explanatory power (R2 = 0.14; Adj-R2 = 0.03) and is excluded from optimization. Instead, Ra is reported descriptively: milling reduced roughness from ≈25–30 μm (as-printed) to ≈13.8 μm under favorable conditions. Overall, the study highlights machining’s role in the hybrid manufacturing practice. Full article
(This article belongs to the Section D:Materials and Processing)
Show Figures

Figure 1

20 pages, 7762 KB  
Article
Optimizing Friction Stir Spot Welding Parameters for Enhanced Mechanical, Thermal, and Microstructural Properties of PA6
by Ayşe Danış Bekdemir and İdris Karagöz
Polymers 2025, 17(18), 2508; https://doi.org/10.3390/polym17182508 - 17 Sep 2025
Viewed by 239
Abstract
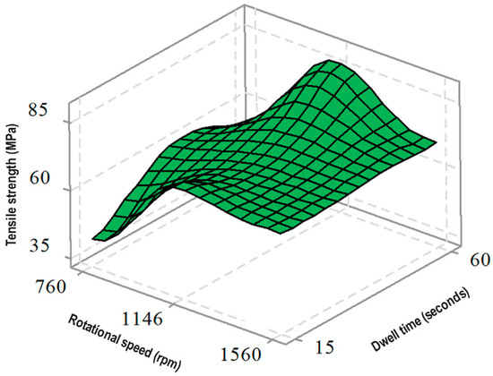
The objective of this study is to systematically investigate the effects of friction stir spot welding (FSSW) parameters—rotational speed, dwell time, and pin diameter—on the mechanical, thermal, and microstructural properties of PA6. PA6 plates (5 mm thick, 30 mm wide, 150 mm long) [...] Read more.
The objective of this study is to systematically investigate the effects of friction stir spot welding (FSSW) parameters—rotational speed, dwell time, and pin diameter—on the mechanical, thermal, and microstructural properties of PA6. PA6 plates (5 mm thick, 30 mm wide, 150 mm long) were welded using an Optimum BF20L milling machine, examining key parameters: rotational speed (762, 1146, 1560 rpm), pin diameter (M10, M12), and dwell time (15 s, 60 s). A full factorial design was employed to analyze their effects. Rotational speed emerged as the most significant factor influencing tensile strength, with an optimal speed of 1146 rpm yielding 72.4 MPa. Dwell time also played a major role, improving flexural strength by 56.5% as it increased from 15 to 60 s (40.6 MPa to 63.6 MPa). Although pin diameter had limited influence on tensile performance, larger pins (M12) promoted higher crystallinity (up to 33.37%) and better thermal distribution. The degree of crystallinity and crystalline lamella thickness (λ) varied, indicating that thermal and structural properties can be tailored through parameter optimization. These findings highlight the potential of FSSW to enhance PA6’s performance characteristics, making it a viable joining method for high-performance applications in the automotive, aerospace, and electronics industries. Further research is encouraged to deepen the understanding of the relationship between welding parameters and microstructural evolution, particularly in relation to crystallization behavior. Full article
(This article belongs to the Section Polymer Analysis and Characterization)
Show Figures

Figure 1

26 pages, 6337 KB  
Article
Multi-Response Optimization of Milling Parameters of AISI D2 Steel Using Response Surface Methodology and Desirability Function
by Luis W. Hernández, Yassmin Seid Ahmed, Dagnier A. Curra and Roberto Pérez
J. Manuf. Mater. Process. 2025, 9(9), 314; https://doi.org/10.3390/jmmp9090314 - 13 Sep 2025
Viewed by 423
Abstract
This study investigates multi-objective optimization of end-milling parameters for AISI D2 cold-worked tool steel using GC1130-coated carbide inserts under wet machining, focusing on cutting speed and feed rate per tooth values beyond manufacturer recommendations. The objective was to identify parameter settings that minimize [...] Read more.
This study investigates multi-objective optimization of end-milling parameters for AISI D2 cold-worked tool steel using GC1130-coated carbide inserts under wet machining, focusing on cutting speed and feed rate per tooth values beyond manufacturer recommendations. The objective was to identify parameter settings that minimize surface roughness while maximizing cutting tool life—two performance criteria that often conflict in practice. A full-factorial design of experiments was implemented, varying the cutting speed (220–310 m/min) and feed rate (0.06–0.25 mm/tooth). Response Surface Methodology (RSM) was used to develop predictive models, and a desirability function approach (DFA) was applied to perform multi-response optimization under three weighting schemes. The statistical models showed strong reliability, with R2 values of 81.09% for surface roughness and 95.02% for tool life. The optimal settings—220 m/min cutting speed and 0.25 mm/tooth feed—resulted in a tool life of 11.03 min and surface roughness of 0.587 µm. This yielded the highest desirability index (D = 0.8706) under tool-life-prioritized weighting, outperforming other cases by up to 10.69%. These findings offer a practical balance between quality and durability, especially for applications where tool wear is a limiting factor. Full article
Show Figures

Figure 1

11 pages, 3838 KB  
Article
ZIF-8 as a Drug Delivery System (DDS) for Hesperidin: Synthesis, Characterization, and In Vitro Release Profile
by Pedro Sá, Nathália Souza, Pedrita Sampaio, James Silva and Larissa Rolim
Ceramics 2025, 8(3), 113; https://doi.org/10.3390/ceramics8030113 - 11 Sep 2025
Viewed by 322
Abstract
Metal–organic frameworks (MOFs) are promising materials for drug delivery due to their structural tunability and high surface area. This work reports on the synthesis of ZIF-8 for the in situ encapsulation of hesperidin, a flavonoid with poor water solubility used in the treatment [...] Read more.
Metal–organic frameworks (MOFs) are promising materials for drug delivery due to their structural tunability and high surface area. This work reports on the synthesis of ZIF-8 for the in situ encapsulation of hesperidin, a flavonoid with poor water solubility used in the treatment of circulatory system disorders, as a gastric-targeted drug delivery system (DDS). A 23 full factorial design was used to optimize drug loading, investigating the effects of DMSO concentration, 2-MIm/Zn2+ molar ratio, and final solution volume (water content). The materials were characterized by ATR-FT-IR, TG, XRD, and SEM analyses, confirming successful ZIF-8 synthesis and partial hesperidin encapsulation. Drug release kinetics were evaluated at pH 1.0 and 6.86. The system showed a faster and more pronounced release at pH 1.0, driven by MOF degradation, demonstrating its potential as a gastric-targeted DDS. This study confirms the feasibility of ZIF-8 to improve hesperidin solubility and bioavailability, highlighting a novel strategy for its therapeutic application. Full article
(This article belongs to the Special Issue Ceramics Containing Active Molecules for Biomedical Applications)
Show Figures

Figure 1

24 pages, 7178 KB  
Article
Experimental and Numerical Analysis of Thinning in Single Point Incremental Sheet Forming (SPIF) of an Aluminum Alloy (AA3003-H14)
by Md Tahjib Rafat, Karl R. Haapala and Zhaoyan Fan
J. Manuf. Mater. Process. 2025, 9(9), 307; https://doi.org/10.3390/jmmp9090307 - 8 Sep 2025
Viewed by 391
Abstract
This study examines the thinning behavior of AA3003-H14 aluminum alloy during single point incremental sheet forming (SPIF) through a combination of experimental trials and finite element analysis (FEA) using LS-DYNA. A full factorial experimental design was implemented to assess the effects of wall [...] Read more.
This study examines the thinning behavior of AA3003-H14 aluminum alloy during single point incremental sheet forming (SPIF) through a combination of experimental trials and finite element analysis (FEA) using LS-DYNA. A full factorial experimental design was implemented to assess the effects of wall angle (45°, 55°, 65°) and step size (0.25 mm, 0.50 mm, 0.75 mm) on sheet thinning at various forming depths. Thickness measurements were analyzed using a two-way analysis of variance to determine the significance of process parameters and their interactions. Numerical simulations predicted thickness reduction, effective plastic strain, and von Mises stress distributions, with deviations from experimental results generally remaining below 10%. The findings indicate that wall angle has a dominant influence on thinning, while step size exhibits a moderate effect. The validated FEA model accurately captures localized deformation behavior, offering a predictive tool for optimizing SPIF parameters. This work enhances the understanding of AA3003 thinning mechanisms and supports process improvements for broader industrial adoption of SPIF. Full article
Show Figures

Figure 1

18 pages, 1379 KB  
Article
Rapid and Efficient Magnetic Nanoparticle-Based Method for Cd Determination in Brazilian Cachaça Using Flame Atomic Absorption Spectrometry
by Saulo Alves de Souza, Cristiane dos Reis Feliciano, Grazielle Cabral de Lima, Ítalo Agnis da Silva Gomes, Nathália Carvalho Costa, Bruno Alves Rocha and Mariane Gonçalves Santos
Analytica 2025, 6(3), 33; https://doi.org/10.3390/analytica6030033 - 8 Sep 2025
Viewed by 359
Abstract
The contamination of food and beverages with heavy metals, such as Cd, presents significant health risks, underscoring the need for reliable and sensitive analytical methods. This study introduces the development of a rapid, cost-effective, and environmentally friendly method for Cd determination in cachaça, [...] Read more.
The contamination of food and beverages with heavy metals, such as Cd, presents significant health risks, underscoring the need for reliable and sensitive analytical methods. This study introduces the development of a rapid, cost-effective, and environmentally friendly method for Cd determination in cachaça, a traditional Brazilian sugarcane spirit. Magnetic nanoparticles (Fe3O4) functionalized with tetraethyl orthosilicate are synthesized and employed as adsorbents in a dispersive magnetic solid-phase extraction procedure. The extracted Cd is quantified using flame atomic absorption spectrometry. A full factorial experimental design is used to optimize key parameters, including the sorbent mass, adsorption time, desorption time, and acid concentration. The method demonstrates excellent analytical performance, with a linear calibration range (R2 = 0.99), detection limit of 0.0046 mg L−1, and quantification limit of 0.0200 mg L−1. Moreover, validation results show high precision (coefficient of variation < 9.10%) and accuracy (recovery rates between 92.00% and 120.00%). When analyzing commercial cachaça samples, cadmium was detected in all five specimens. Notably, in one sample the cadmium concentration exceeded Brazil’s maximum permissible limit of 0.0200 mg kg−1, underscoring the importance of this work for ensuring food safety. The proposed method offers a sensitive, reproducible, and sustainable approach for analysis of potentially toxic trace metals in alcoholic beverages, reinforcing its potential for routine monitoring and regulatory compliance. Full article
(This article belongs to the Special Issue Feature Papers in Analytica)
Show Figures

Figure 1

21 pages, 7205 KB  
Article
Optimized Auxin and Cytokinin Interactions Enable Direct Somatic Embryogenesis in the Peach Rootstock ‘Guardian®’ from Immature Cotyledons
by Sonika Kumar, Rabia El-Hawaz, Zhigang Li, John Lawson, Stephen Parris, Foster Kangben, Lauren Carneal, Jeff Hopkins, Jacqueline Naylor-Adelberg, Jeffrey Adelberg, Gregory Reighard, Ksenija Gasic, Chalmers Carr and Christopher A. Saski
Int. J. Mol. Sci. 2025, 26(17), 8698; https://doi.org/10.3390/ijms26178698 - 6 Sep 2025
Viewed by 1083
Abstract
Fruit tree rootstock breeding is prolonged by extended juvenile phases, high heterozygosity, limited germplasm diversity, and hybrid incompatibilities, often requiring four decades to release new cultivars. Direct somatic embryogenesis (DSE) in established peach rootstocks presents a promising avenue for rapid genetic transformation and [...] Read more.
Fruit tree rootstock breeding is prolonged by extended juvenile phases, high heterozygosity, limited germplasm diversity, and hybrid incompatibilities, often requiring four decades to release new cultivars. Direct somatic embryogenesis (DSE) in established peach rootstocks presents a promising avenue for rapid genetic transformation and breeding. However, peach is highly recalcitrant to in vitro regeneration, posing major challenges for organogenesis and somatic embryogenesis (SE). This study evaluated the effects of 2,4-dichlorophenoxyacetic acid (2,4-D) and Kinetin (KIN) on SE %, SE productivity, and callus % rate in the widely used Guardian® peach rootstock. A 5 × 3 full factorial completely randomized design was used to test 15 different combinations of 2,4-D and KIN on immature cotyledons, classified as upper or lower based on their position on the preculture medium. Media formulation containing a higher concentration (3.2 µM) of 2,4-D and KIN induced SE in ~50% of lower and ~85% of upper cotyledons. Optimal SE productivity occurred with higher KIN (3.2 µM) and reduced 2,4-D (2.6 µM). Callus formation peaked with 1.8 µM 2,4-D and 3.2 µM KIN. This highly reproducible research establishes a robust whole plant regeneration system via DSE in Guardian® peach rootstock using immature cotyledons, providing a foundation for expedited trait manipulation through biotechnological approaches. Full article
Show Figures

Figure 1

22 pages, 7805 KB  
Article
Chloride Diffusion and Corrosion Assessment in Cracked Marine Concrete Bridges Using Extracted Crack Morphologies
by Xixi Wang, Pingming Huang, Yangguang Yuan, Di Wang, Yulong Yang and Xing Liu
Buildings 2025, 15(17), 3214; https://doi.org/10.3390/buildings15173214 - 5 Sep 2025
Viewed by 300
Abstract
Chloride-induced reinforcement corrosion primarily contributes to the deterioration of concrete structures. Cracks provide natural pathways for chloride ions, which accelerate the corrosion process and shorten the service life of structures. In this study, the morphologies of flexural cracks in the pure bending section [...] Read more.
Chloride-induced reinforcement corrosion primarily contributes to the deterioration of concrete structures. Cracks provide natural pathways for chloride ions, which accelerate the corrosion process and shorten the service life of structures. In this study, the morphologies of flexural cracks in the pure bending section are extracted through destructive testing, and a crack database containing 51 samples is established. These samples are defined as four crack morphologies as follows: equal-width, wedge-shaped, two-step, and three-step cracks. Subsequently, cracked concrete models were constructed, followed by a full factorial design containing 144 operating conditions to investigate the effects of crack morphology, width, depth, and their interactions on chloride diffusion. The results show that crack morphology significantly affects chloride diffusion behavior. The equal-width crack model exhibits the highest chloride diffusion rate, whereas the wedge-shaped crack model exhibits the lowest. At a crack width of 0.15 mm and a depth of 35 mm, the maximum relative error in chloride concentration between the two models is 94.5%. As the crack depth increases, the effect of crack morphology on chloride diffusion becomes increasingly significant, whereas increasing crack width tends to diminish this effect. Additionally, a rebar corrosion initiation assessment method based on the guarantee rate is proposed, and the effect of crack morphology on the corrosion initiation time is analyzed via a case study. Full article
(This article belongs to the Section Building Structures)
Show Figures

Figure 1

19 pages, 1888 KB  
Article
Adsorption of Phenol from Aqueous Solution Utilizing Activated Carbon Prepared from Catha edulis Stem
by Meseret Dawit Teweldebrihan, Mikiyas Abewaa Gnaro and Megersa Olumana Dinka
Environments 2025, 12(9), 314; https://doi.org/10.3390/environments12090314 - 5 Sep 2025
Viewed by 798
Abstract
Phenol and its derivatives in water and wastewater are highly toxic and challenging to degrade, posing serious environmental and health risks. Therefore, this research focuses on the removal of phenol from aqueous solutions using activated carbon made from Catha edulis stems. The activation [...] Read more.
Phenol and its derivatives in water and wastewater are highly toxic and challenging to degrade, posing serious environmental and health risks. Therefore, this research focuses on the removal of phenol from aqueous solutions using activated carbon made from Catha edulis stems. The activation process involved impregnating the Catha edulis stems with phosphoric acid followed by thermal treatment at 500 °C for 2 h. The resulting adsorbent was extensively characterized using various techniques, including Scanning Electron Microscopy (SEM), Fourier Transform Infrared Spectroscopy (FTIR), Brunauer–Emmett–Teller (BET) surface area analysis, and proximate analysis. Batch adsorption experiments were designed using a full factorial approach with four factors at two levels, resulting in 16 different experimental conditions. The characterization results showed that the activated carbon has a high surface area of 1323 m2/g, a porous and heterogeneous structure, and an amorphous surface with multiple functional groups. Under optimal conditions of pH 2, a contact time of 60 min, an adsorbent dosage of 0.1 g/100 mL, and an initial phenol concentration of 100 mg/L, the adsorbent achieved a phenol removal efficiency of 99.9%. Isotherm and kinetics analyses revealed that phenol adsorption fits the Langmuir model and pseudo-second-order kinetics, indicating a uniform interaction and chemisorptive process. This study highlights the effectiveness of Catha edulis stem-based activated carbon as a promising material for phenol removal in water treatment applications. Full article
(This article belongs to the Special Issue Advanced Technologies of Water and Wastewater Treatment (2nd Edition))
Show Figures

Figure 1

16 pages, 3270 KB  
Article
Mass Impact of a Mounted Sprayer on the Operational Balance of an Agricultural Tractor
by Bruno Passador Lombardi, Alex Portelinha, Igor Cristian de Oliveira Vieira, Breno Santos-Silva, Samir Paulo Jasper, Rouverson Pereira da Silva and Tiago Rodrigo Francetto
AgriEngineering 2025, 7(9), 289; https://doi.org/10.3390/agriengineering7090289 - 4 Sep 2025
Viewed by 491
Abstract
The operational stability of agricultural tractors is directly influenced by the mass distribution between axles, particularly when using mounted implements with variable loads. This study aimed to evaluate how different masses of a mounted sprayer (550 kg, 850 kg, and 1150 kg) and [...] Read more.
The operational stability of agricultural tractors is directly influenced by the mass distribution between axles, particularly when using mounted implements with variable loads. This study aimed to evaluate how different masses of a mounted sprayer (550 kg, 850 kg, and 1150 kg) and tire inflation pressures (151.7–193.1 kPa) affect the load distribution between axles, tire contact area, center of gravity (CG) displacement, and tractor lead ratio. A 3 × 4 factorial design was adopted with a statistical analysis of key parameters across 12 experimental combinations. The results demonstrated that increasing implement mass significantly shifted the load toward the rear axle, reducing the front axle load by up to 46% and displacing the CG rearward by more than 11 cm, thereby compromising stability. Tire pressure, as well as the interaction between mass and pressure, also exhibited statistically significant influence on load distribution and CG positioning while modulating the tire contact area. The lead ratio increased linearly with mass, exceeding the recommended 5% threshold when the sprayer was at full capacity. These findings indicate that while the implement mass exerts a dominant effect, tire pressure management represents a statistically relevant factor for stability, requiring integrated management that considers the interaction between ballasting and tire inflation to mitigate operational risks. Full article
(This article belongs to the Collection Research Progress of Agricultural Machinery Testing)
Show Figures

Figure 1

33 pages, 411 KB  
Article
The SRAQ-HP: Development and Initial Validation of a Tool to Assess Perceived Resource Adequacy Among Healthcare Professionals
by Olga Cerela-Boltunova, Inga Millere and Ingrida Trups-Kalne
Int. J. Environ. Res. Public Health 2025, 22(9), 1380; https://doi.org/10.3390/ijerph22091380 - 3 Sep 2025
Viewed by 1035
Abstract
Healthcare systems worldwide face growing challenges related to staff shortages, excessive workload, and deteriorating working conditions, which compromise both staff well-being and care quality. Despite these issues, there is a lack of validated tools that capture healthcare professionals’ subjective perceptions of resource adequacy. [...] Read more.
Healthcare systems worldwide face growing challenges related to staff shortages, excessive workload, and deteriorating working conditions, which compromise both staff well-being and care quality. Despite these issues, there is a lack of validated tools that capture healthcare professionals’ subjective perceptions of resource adequacy. This study presents the development and initial validation of the Staff Resource Adequacy Questionnaire for Healthcare Professionals (SRAQ-HP), a multidimensional tool designed to assess staffing adequacy and workload, quality of care, and working conditions and support. The development process followed a mixed-methods design, incorporating theoretical foundations from Kanter’s empowerment theory, role enactment models, and professional competence frameworks. The initial item pool of 32 statements was reduced to 26 through expert reviews, focus groups, and pilot testing (n = 35). Content validity index (CVI = 0.931) and face validity index (FVI = 0.976) demonstrated high content relevance and clarity. Cronbach’s alpha for the full scale was 0.841, confirming internal consistency. Expert re-review confirmed strong content (S-CVI/Ave = 0.931) and face validity (FVI = 0.976) for the final 26-item version. Three core dimensions were retained: Staffing Adequacy and Workload, Quality of Care, and Working Conditions and Support. The SRAQ-HP provides a novel, evidence-based approach to systematically assess workforce sufficiency and support structures in clinical settings. It can guide decision-making in healthcare institutions and inform national workforce policies. Further research with larger and more diverse samples is needed to confirm its factorial validity and practical applicability. Full article
24 pages, 11780 KB  
Article
Additive Manufacturing of Carbon Fiber Cores for Sandwich Structures: Optimization of Infill Patterns and Fiber Orientation for Improved Impact Resistance
by Claudio Tosto, Lorena Saitta, Ignazio Blanco, Gabriele Fichera, Mattia Evangelista, Jerin Jose, Alessia Pantaleoni and Irene Bavasso
J. Manuf. Mater. Process. 2025, 9(9), 299; https://doi.org/10.3390/jmmp9090299 - 1 Sep 2025
Viewed by 776
Abstract
Carbon fiber-reinforced composites (CFRCs) are widely used in aerospace, automotive, and defense applications due to their high strength-to-weight ratio and excellent mechanical performance. In this study, cores and sandwich panels were fabricated via fused filament fabrication (FFF) using co-polyester filaments reinforced with 20 [...] Read more.
Carbon fiber-reinforced composites (CFRCs) are widely used in aerospace, automotive, and defense applications due to their high strength-to-weight ratio and excellent mechanical performance. In this study, cores and sandwich panels were fabricated via fused filament fabrication (FFF) using co-polyester filaments reinforced with 20 wt.% short carbon fibers. The mechanical response of the structures was evaluated under low-velocity impact (LVI) conditions using instrumented drop weight testing at energy levels ranging from 2 to 20 J. A three-factor, three-level full factorial experimental design was employed, considering build orientation (flat vs. upright), infill pattern (trihexagonal vs. triangular), and impact energy as factors. The maximum contact force was selected as the primary response variable. The results revealed that upright-printed specimens exhibited significantly improved impact resistance compared to flat-printed ones, with increases in peak force of up to 28% for cores and over 68% for sandwich structures. Among the tested infill geometries, the triangular pattern outperformed the trihexagonal one across all configurations and energy levels. The combination of upright orientation and triangular infill proved to be the most effective, providing enhanced energy absorption and reduced rear-side damage, especially under higher impact energies. These findings offer valuable insights into the design of lightweight, impact-resistant structures produced by additive manufacturing, with direct implications for structural components in demanding engineering environments. Full article
Show Figures

Graphical abstract

Back to TopTop