Sign in to use this feature.

Years

Between: -

Subjects

remove_circle_outline
remove_circle_outline
remove_circle_outline

Journals

Article Types

Countries / Regions

Search Results (10)

Search Parameters:
Keywords = Fontan-associated liver disease

Order results
Result details
Results per page
Select all
Export citation of selected articles as:
33 pages, 5043 KB  
Review
Ultrasound Evaluation of Fontan-Associated Liver Disease: A State-of-the-Art Review
by Federica Di Natale, Andrea Boccatonda, Marco Musmeci, Alice Brighenti, Luciano Potena, Christoph Frank Dietrich and Carla Serra
Diagnostics 2025, 15(24), 3171; https://doi.org/10.3390/diagnostics15243171 - 12 Dec 2025
Viewed by 1162
Abstract
Background: Fontan-associated liver disease (FALD) is a progressive condition resulting from chronic hepatic venous congestion following the Fontan procedure for univentricular heart defects. As survival improves in these patients, recognition and management of FALD have become increasingly important. Objective: To describe [...] Read more.
Background: Fontan-associated liver disease (FALD) is a progressive condition resulting from chronic hepatic venous congestion following the Fontan procedure for univentricular heart defects. As survival improves in these patients, recognition and management of FALD have become increasingly important. Objective: To describe the pathophysiological mechanisms, imaging findings, and diagnostic approach to FALD, with a focus on the role of ultrasonography, including contrast-enhanced ultrasound (CEUS). Methods: This narrative review explores the evolution of FALD through a multidisciplinary lens, integrating cardiovascular and hepatic imaging data. Particular attention is paid to Doppler ultrasound and CEUS, both in early parenchymal changes and in the differential diagnosis of potential complications such as hepatic nodules. Results: FALD is characterized by progressive fibrosis due to long-standing passive congestion, resulting in a wide spectrum of imaging findings. B-mode ultrasound reveals hepatomegaly, heterogeneous parenchyma, and gallbladder wall thickening. Doppler studies show altered hepatic venous flow patterns, while CEUS provides dynamic vascular evaluation, highlighting areas of altered perfusion. In advanced stages, hypo-vascular areas in the late phase may simulate malignant lesions, emphasizing the need for careful interpretation. The role of liver biopsy, though limited by invasiveness, remains crucial in selected cases. Surveillance strategies are not standardized but require close multidisciplinary follow-up. Conclusions: FALD presents complex diagnostic challenges requiring integrated imaging and clinical assessment. CEUS emerges as a valuable, non-invasive tool in characterizing hepatic congestion and guiding management. Increased awareness and standardized protocols are essential for early detection and tailored care in this growing patient population. Full article
(This article belongs to the Special Issue Recent Progress in Abdominal Ultrasound)
Show Figures

Figure 1

17 pages, 1598 KB  
Article
Revisiting Hepatic Fibrosis Risk in Congenital Heart Disease: Insights from Non-Invasive Markers and Echocardiography
by Fusako Yamazaki, Hiroteru Kamimura, Saori Endo, Suguru Miida, Hiroki Maruyama, Tomoaki Yoshida, Masaru Kumagai, Naruhiro Kimura, Hiroyuki Abe, Akira Sakamaki, Takeshi Yokoo, Masanori Tsukada, Fujito Numano, Akihiko Saitoh, Maya Watanabe, Shuichi Shiraishi, Masanori Tsuchida, Shinya Fujiki, Takeshi Kashimura, Takayuki Inomata, Hirofumi Nonaka, Kenya Kamimura, Atsunori Tsuchiya and Shuji Teraiadd Show full author list remove Hide full author list
Children 2025, 12(9), 1131; https://doi.org/10.3390/children12091131 - 27 Aug 2025
Viewed by 1042
Abstract
Background/Objectives: This study aimed to investigate the prevalence of liver damage and its associated non-invasive markers and echocardiographic risk factors in patients who underwent surgery for congenital heart disease. Methods: This retrospective observational study was conducted at a single tertiary-care university hospital in [...] Read more.
Background/Objectives: This study aimed to investigate the prevalence of liver damage and its associated non-invasive markers and echocardiographic risk factors in patients who underwent surgery for congenital heart disease. Methods: This retrospective observational study was conducted at a single tertiary-care university hospital in Niigata, Japan. Of 142 patients (ventricular septal defect [VSD] n = 47, tetralogy of Fallot [TOF] n = 67, Fontan n = 28), 52.8% were male [median age: 22.7 years; VSD (24.3 years), TOF (24.0 years), and Fontan (12.5 years)]. Pediatric patients with liver diseases unrelated to congestive liver disease, such as viral hepatitis and alcoholic liver disease, were excluded. We compared non-invasive liver fibrosis age-invariant biomarkers, such as the aspartate aminotransferase-to-platelet ratio index (APRI), and various serum markers and echocardiographic parameters to assess the prevalence and predictors of hepatic fibrosis. Results: The Fontan circulation group had the highest APRI, followed by the TOF group, while the VSD group had a low risk of APRI elevation. Postoperative TOF patients required monitoring for cirrhosis progression. Inferior vena cava mobility was associated with echocardiographic parameters and fibrosis severity, along with a loss of respiratory variability. The limitations of other cardiac assessments were highlighted by poor anatomical measurements. Gamma-glutamyl transpeptidase (γ-GTP) demonstrated strong discriminatory ability. The optimal cutoff value was 53.0 U/L, suggesting its use as a clinical marker. Conclusions: Assessing fibrosis is crucial in CHD patients, especially those with late post-TOF repair findings. Non-invasive markers (APRI, γ-GTP, and B-type natriuretic peptide), along with echocardiographic findings, may help detect fibrosis early, enabling timely intervention and improving long-term outcomes. Clinical trial registration: 2020-0199. Full article
(This article belongs to the Special Issue Research Progress of the Pediatric Cardiology: 3rd Edition)
Show Figures

Figure 1

18 pages, 1064 KB  
Review
Role of Vascular Liver Diseases in Hepatocellular Carcinoma Development
by Lucia Giuli, Valeria De Gaetano, Giulia Venturini, Ersilia Arvonio, Marco Murgiano, Antonio Gasbarrini, Francesco Santopaolo and Francesca Romana Ponziani
Cancers 2025, 17(13), 2060; https://doi.org/10.3390/cancers17132060 - 20 Jun 2025
Viewed by 2064
Abstract
Hepatocellular carcinoma (HCC) is a frequent complication of various liver diseases, occurring with or without underlying cirrhosis. While cirrhosis and chronic liver inflammation are well-established major drivers of hepatocarcinogenesis, HCC can also develop in patients with vascular liver diseases (VLDs), highlighting an alternative [...] Read more.
Hepatocellular carcinoma (HCC) is a frequent complication of various liver diseases, occurring with or without underlying cirrhosis. While cirrhosis and chronic liver inflammation are well-established major drivers of hepatocarcinogenesis, HCC can also develop in patients with vascular liver diseases (VLDs), highlighting an alternative pathway of disease progression. Alterations in liver perfusion appear to underlie the process of carcinogenesis. However, the specific molecular mechanisms involved in this process as well as the clinical presentation and imaging features of HCC in the most common VLDs are still a matter of debate. This review aims to evaluate the available literature on the topic to provide a deeper comprehension and analysis of current knowledge about the relation between VLDs and HCC. Specifically, we investigate how HCC affects VLDs such as Budd–Chiari syndrome, Fontan-associated liver disease, congenital portosystemic shunts, cavernous transformation of the portal vein, and porto-sinusoidal vascular disorder. Exploring the pathogenetic mechanisms and diagnostic challenges in HCC related to VLDs may have important therapeutic implications, helping to define targeted treatments for this poorly understood medical entity. Full article
(This article belongs to the Special Issue Molecular Markers and Targeted Therapy for Hepatobiliary Tumors)
Show Figures

Graphical abstract

16 pages, 528 KB  
Article
Heart–Liver Interplay in Patients with Fontan Circulation
by Roberta Biffanti, Jolanda Sabatino, Alice Pozza, Liliana Chemello, Luisa Cavalletto, Andrea Gasperetti, Massimo Padalino and Giovanni Di Salvo
J. Clin. Med. 2025, 14(4), 1114; https://doi.org/10.3390/jcm14041114 - 9 Feb 2025
Viewed by 1502
Abstract
Background: The Fontan procedure has provided pediatric patients suffering from severe congenital heart disease the opportunity to reach adulthood. Increasingly, we encounter the liver repercussions of Fontan circulation, alongside a decline in heart function and exercise performance. This study aims to identify the [...] Read more.
Background: The Fontan procedure has provided pediatric patients suffering from severe congenital heart disease the opportunity to reach adulthood. Increasingly, we encounter the liver repercussions of Fontan circulation, alongside a decline in heart function and exercise performance. This study aims to identify the univentricular heart malformations that are most susceptible to liver dysfunction; assess which markers of liver injury are essential for multidisciplinary clinical follow-up of Fontan patients; determine the optimal approach for evaluating liver function in Fontan patients; and explore how a congenital cardiology team can interpret the data and respond effectively to signs of organ failure. Methods: Cross-sectional clinical study including patients who underwent a Fontan procedure at the University Hospital of Padua between 1982 and 2017. Patients were admitted for elective hospitalization between June 2021 and June 2022 and underwent clinical assessment, laboratory tests, and instrumental examinations. Results: Seventy patients were included in the study. On admission, 48 patients (72%) were in New York Heart Association (NYHA) functional class I, and the cardiopulmonary exercise test was normal for age and gender. At laboratory tests, 56% of patients showed changes in NTproBNP values, most of whom had right-sided ventricular morphology. Liver function tests showed abnormal Gamma-Glutamyl Transferase (GGT) blood levels in 68%. On cardiac imaging, at least moderate atrioventricular valve insufficiency was found in 9% of cases. Fibroscan showed altered hepatic stiffness values in 25% of cases. Statistical analysis showed that systemic atrioventricular valve (SAVV) dysfunction was significantly associated with a reduction of maximum oxygen consumption (VO2 max) and hepatic stiffness. Conclusions: SAVV dysfunction is significantly responsible for worse functional outcomes and the development of hepatic fibrosis due to an increase in venous congestion. Setting up a careful multidisciplinary follow-up in these patients is mandatory for early detection of complications, prompt treatment, and better outcomes. Full article
(This article belongs to the Section Cardiology)
Show Figures

Figure 1

13 pages, 3557 KB  
Article
Histopathological Spectrum and Molecular Characterization of Liver Tumors in the Setting of Fontan-Associated Liver Disease
by Paola Francalanci, Isabella Giovannoni, Chantal Tancredi, Maria Giulia Gagliardi, Rosalinda Palmieri, Gianluca Brancaccio, Marco Spada, Giuseppe Maggiore, Andrea Pietrobattista, Lidia Monti, Aurora Castellano, Maria Cristina Giustiniani, Andrea Onetti Muda and Rita Alaggio
Cancers 2024, 16(2), 307; https://doi.org/10.3390/cancers16020307 - 11 Jan 2024
Cited by 6 | Viewed by 2893
Abstract
Purpose: Univentricular heart is corrected with the Fontan procedure (FP). In the long term, so-called Fontan-associated liver diseases (FALDs) can develop. The aim of this study is to analyze the molecular profile of FALDs. Methods: FALDs between January 1990 and December 2022 were [...] Read more.
Purpose: Univentricular heart is corrected with the Fontan procedure (FP). In the long term, so-called Fontan-associated liver diseases (FALDs) can develop. The aim of this study is to analyze the molecular profile of FALDs. Methods: FALDs between January 1990 and December 2022 were reviewed for histology and immunohistochemistry, laboratory data, and images. Targeted next generation sequencing (NGS), performed on the DNA and RNA of both neoplastic and non-lesional liver tissue, was applied. Results: A total of 31/208 nodules > 1 cm in diameter were identified on imaging, but a liver biopsy was available for five patient demonstrating the following: one hepatocellular adenoma (HA), two hepatocellular carcinomas (HCCs), one fibrolamellar carcinoma (FLC), and one intrahepatic cholangiocarcinoma (ICC). Molecular analysis showed a copy number alteration involving FGFR3 in three cases (two HCCs and one ICC) as well as one HCC with a hotspot mutation on the CTNNB1 and NRAS genes. Tumor mutational burden ranged from low to intermediate. A variant of uncertain significance in GNAS was present in two HCCs and in one ICC. The same molecular profile was observed in a non-lesional liver. A DNAJB1-PRKACA fusion was detected only in one FLC. Conclusions: Neoplastic FALDs show some unusual molecular profiles compared with non-Fontan ones. The presence of the same alterations in non-lesional cardiac cirrhosis could contribute to the development of FALD. Full article
(This article belongs to the Special Issue Pediatric Liver Tumors (Hepatoblastoma and Hepatocellular Carcinoma))
Show Figures

Figure 1

11 pages, 1152 KB  
Article
Mild Acquired von Willebrand Syndrome and Cholestasis in Pediatric and Adult Patients with Fontan Circulation
by Katharina Meinel, Felicitas Korak, Martin Dusleag, Tanja Strini, Daniela Baumgartner, Ante Burmas, Hannes Sallmon, Barbara Zieger, Axel Schlagenhauf and Martin Koestenberger
J. Clin. Med. 2023, 12(3), 1240; https://doi.org/10.3390/jcm12031240 - 3 Feb 2023
Cited by 2 | Viewed by 2180
Abstract
Background: Hemodynamic alterations in Fontan patients (FP) are associated with hemostatic dysbalance and Fontan-associated liver disease. Studies of other hepatopathologies indicate an interplay between cholestasis, tissue factor (TF), and von Willebrand factor (VWF). Hence, we hypothesized a relationship between the accumulation of bile [...] Read more.
Background: Hemodynamic alterations in Fontan patients (FP) are associated with hemostatic dysbalance and Fontan-associated liver disease. Studies of other hepatopathologies indicate an interplay between cholestasis, tissue factor (TF), and von Willebrand factor (VWF). Hence, we hypothesized a relationship between the accumulation of bile acids (BA) and these hemostatic factors in FP. Methods: We included 34 FP (Phenprocoumon n = 15, acetylsalicylic acid (ASA) n = 16). BA were assessed by mass spectrometry. TF activity and VWF antigen (VWF:Ag) were determined by chromogenic assays. VWF collagen-binding activity (VWF:CB) was assessed via ELISA. Results: Cholestasis was observed in 6/34 FP (total BA ≥ 10 µM). BA levels and TF activity did not correlate (p = 0.724). Cholestatic FP had lower platelet counts (p = 0.013) from which 5/6 FP were not treated with ASA. VWF:Ag levels were increased in 9/34 FP and significantly lower in FP receiving ASA (p = 0.044). Acquired von Willebrand syndrome (AVWS) was observed in 10/34-FP, with a higher incidence in cholestatic FP (4/6) (p = 0.048). Conclusions: Cholestasis is unexpectedly infrequent in FP and seems to be less frequent under ASA therapy. Therefore, ASA may reduce the risk of advanced liver fibrosis. FP should be screened for AVWS to avoid bleeding events, especially in cholestatic states. Full article
(This article belongs to the Special Issue Clinical Research Advances in Congenital Heart Disease)
Show Figures

Figure 1

12 pages, 834 KB  
Article
Role of Transient Elastography to Stage Fontan-Associated Liver Disease (FALD) in Adults with Single Ventricle Congenital Heart Disease Correction
by Liliana Chemello, Massimo Padalino, Chiara Zanon, Luisa Benvegnu’, Roberta Biffanti, Daniela Mancuso and Luisa Cavalletto
J. Cardiovasc. Dev. Dis. 2021, 8(10), 117; https://doi.org/10.3390/jcdd8100117 - 23 Sep 2021
Cited by 15 | Viewed by 3741
Abstract
Fontan-associated liver disease (FALD) is an arising clinical entity that can occur long after a successful Fontan operation for correction of single ventricle (SV) congenital heart disease (CHD). Occurrence of FALD is characterized by liver cirrhosis and other hepatic complications, and determinates an [...] Read more.
Fontan-associated liver disease (FALD) is an arising clinical entity that can occur long after a successful Fontan operation for correction of single ventricle (SV) congenital heart disease (CHD). Occurrence of FALD is characterized by liver cirrhosis and other hepatic complications, and determinates an increased morbidity and mortality. Currently, there is no consensus on how to stage FALD. We report here our experience by an observational study in 52 patients with SV-CHD after Fontan operation that were recruited through a period of 36 ± 9.3 months. All cases underwent lab tests and liver and cardiac imaging evaluation, including liver stiffness (LS) measurement by transient elastography (TE) (FibroScan®). According to selective criteria for liver disease, we identified 23/43 (53.5%) cases with advanced FALD that showed: older age (p < 0.05), larger hepatic and cava veins diameter (p < 0.05), worsened NYHA class (p < 0.05), abnormal lymphocytes (p < 0.01), platelet count (p < 0.05), and GGT, prothrombin time (INR), albumin and cystatin C levels (p < 0.05), with respect to cases without advanced FALD. LS values were significantly increased in cases with advanced FALD, at cut-off values higher than 22 kPa (p < 0.001). LS, and its combined score with spleen diameter and platelet count (LSPS) successfully helped to detect 100% of cases with portal hypertension (p < 0.001). In conclusion, LS can be effective to stage FALD and to uncover cases with severe risk of complications, avoiding higher morbidity and mortality related to advanced FALD. Full article
Show Figures

Graphical abstract

9 pages, 1403 KB  
Case Report
Prognostic Value of Liver and Spleen Stiffness in Patients with Fontan Associated Liver Disease (FALD): A Case Series with Histopathologic Comparison
by Massimo A. Padalino, Liliana Chemello, Luisa Cavalletto, Annalisa Angelini and Marny Fedrigo
J. Cardiovasc. Dev. Dis. 2021, 8(3), 30; https://doi.org/10.3390/jcdd8030030 - 16 Mar 2021
Cited by 12 | Viewed by 3837
Abstract
The Fontan operation is the current surgical procedure to treat single-ventricle congenital heart disease, by splitting the systemic and pulmonary circulations and thus permitting lifespan to adulthood for the majority of newborns. However, emerging data are showing that Fontan-associated liver disease (FALD) is [...] Read more.
The Fontan operation is the current surgical procedure to treat single-ventricle congenital heart disease, by splitting the systemic and pulmonary circulations and thus permitting lifespan to adulthood for the majority of newborns. However, emerging data are showing that Fontan-associated liver disease (FALD) is an increasing related cause of morbidity and mortality in patients with the Fontan circuit. We described the clinical, laboratory, and transient elastography (TE) findings in a case series of adults with the Fontan circuit, and also correlated data with post-mortem histological features, aimed to define the prognostic value of TE in the staging of FALD. All patients presented signs of a long-standing Fontan failure, characterized by reoperation need, systemic ventricle dysfunction, and FALD stigmata (liver and spleen enlargement, portal vein and inferior vena cava dilation, and abnormal liver function tests). Liver and spleen stiffness (LS and SS) values were indicative of significant liver fibrosis/cirrhosis and the presence of suggestive portal hypertension (LS mean 35.9; range 27.3–44.7 kPa; SS mean 42.1, range 32.2–54.5 kPa). Post-mortem evaluations confirmed a gross hepatic architecture distortion in all cases. All patients died from severe complications related to liver dysfunction and bleeding. TE correlated well with pathological findings and FALD severity. We propose this validated and harmless technique to monitor liver fibrosis extension and portal hypertension over time in Fontan patients, and to identify the optimal timing for surgical reoperations or orthotopic-heart transplantation (OHT), avoiding a higher risk of morbidity and mortality in cases with severe FALD. Full article
Show Figures

Figure 1

12 pages, 2437 KB  
Article
Risk of Liver Cirrhosis and Hepatocellular Carcinoma after Fontan Operation: A Need for Surveillance
by Jun Sik Yoon, Dong Ho Lee, Eun Ju Cho, Mi Kyoung Song, Young Hun Choi, Gi Beom Kim, Yun Bin Lee, Jeong-Hoon Lee, Su Jong Yu, Haeryoung Kim, Yoon Jun Kim, Jung-Hwan Yoon and Eun Jung Bae
Cancers 2020, 12(7), 1805; https://doi.org/10.3390/cancers12071805 - 6 Jul 2020
Cited by 31 | Viewed by 3889
Abstract
Liver cirrhosis and hepatocellular carcinoma (HCC) are serious late complications that can occur after the Fontan procedure. This study aimed to investigate the cumulative incidence of cirrhosis and HCC and to identify specific features distinguishing HCC from benign arterial-phase hyperenhancing (APHE) nodules that [...] Read more.
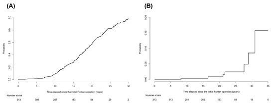
Liver cirrhosis and hepatocellular carcinoma (HCC) are serious late complications that can occur after the Fontan procedure. This study aimed to investigate the cumulative incidence of cirrhosis and HCC and to identify specific features distinguishing HCC from benign arterial-phase hyperenhancing (APHE) nodules that developed after the Fontan operation. We retrospectively enrolled 313 post-Fontan patients who had been followed for more than 5 years and had undergone ultrasound or computed tomography (CT) of the liver between January 2000 and August 2018. Cirrhosis was diagnosed radiologically. The estimated cumulative incidence rates of cirrhosis at 5, 10, 20, and 30 years after the Fontan operation were 1.3%, 9.2%, 56.6%, and 97.9%, respectively. Multiphasic CT revealed that 18 patients had APHE nodules that were ≥1 cm in size and showed washout in the portal venous phase (PVP)/delayed phase, which met current noninvasive HCC diagnosis criteria. Among them, only seven patients (38.9%, 7/18) were diagnosed with HCC. After cirrhosis developed, the annual incidence of HCC was 1.04%. The appearance of washout in the PVP (p = 0.006), long time elapsed since the initial Fontan operation (p = 0.04), large nodule size (p = 0.03), and elevated serum α-fetoprotein (AFP) level (p < 0.001) were significantly associated with HCC. In conclusion, cirrhosis is a frequent late complication after Fontan operation, especially after 10 years, and HCC is not a rare complication after cirrhosis development. Diagnosis of HCC should not be based solely on the current imaging criteria, and washout on PVP and clinical features might be helpful to differentiate HCC nodules from benign APHE nodules. Full article
(This article belongs to the Section Cancer Causes, Screening and Diagnosis)
Show Figures

Figure 1

12 pages, 1608 KB  
Article
Thromboembolic Events Are Independently Associated with Liver Stiffness in Patients with Fontan Circulation
by Tarek Alsaied, Mathias Possner, Adam M. Lubert, Andrew T. Trout, Janvi P. Gandhi, BreAnn Garr, Joseph S. Palumbo, Joseph J. Palermo, Angela Lorts, Gruschen R. Veldtman, Stuart L. Goldstein, Alexander Opotowsky and Jonathan R. Dillman
J. Clin. Med. 2020, 9(2), 418; https://doi.org/10.3390/jcm9020418 - 4 Feb 2020
Cited by 10 | Viewed by 4578
Abstract
Background: Thromboembolism (TE) and Fontan-associated liver disease (FALD) are common and lead to significant morbidity in Fontan circulations. Risk factors for TE and the potential link between TE and FALD are not well understood. The objective of this study was to evaluate the [...] Read more.
Background: Thromboembolism (TE) and Fontan-associated liver disease (FALD) are common and lead to significant morbidity in Fontan circulations. Risk factors for TE and the potential link between TE and FALD are not well understood. The objective of this study was to evaluate the association between TE and the severity of FALD based on radiologic liver stiffness. Methods: Using a retrospective cohort study design, 85 Fontan patients (aged 27.7 ± 8.2 years) who had liver stiffness measurement were included. Multivariable logistic regression was used to determine independent associations with TE. Results: Sixteen patients (19%) had a history of TE after the Fontan procedure at a mean age of 21.4 ± 15.0 years. Patients with TE were significantly older at the time of the last evaluation (33.8 ± 11.7 vs. 26.3 ± 6.5 years, p = 0.03). Liver stiffness by MRI and ultrasound was higher in the TE group (5.1 ± 1.4 vs. 4.3 ± 1.2 kPa, p = 0.04 and 2.8 ± 0.4 vs. 2.4 ± 0.5 m/s, p = 0.04, respectively). On multivariable analysis, higher liver stiffness (odds ratio (OR): 2.12, p = 0.03) and older age (OR: 1.11, p = 0.03) were associated with TE. Conclusions: This study found an association between TE, age, and radiologic liver stiffness. Full article
(This article belongs to the Section Cardiology)
Show Figures

Figure 1

Back to TopTop