Revisiting Hepatic Fibrosis Risk in Congenital Heart Disease: Insights from Non-Invasive Markers and Echocardiography
Abstract
Highlights
- The prevalence of liver fibrosis increased stepwise across CHD subtypes, with APRI > 0.5 observed in 12.7% of VSD, 43.3% of TOF, and 67.9% of Fontan patients.
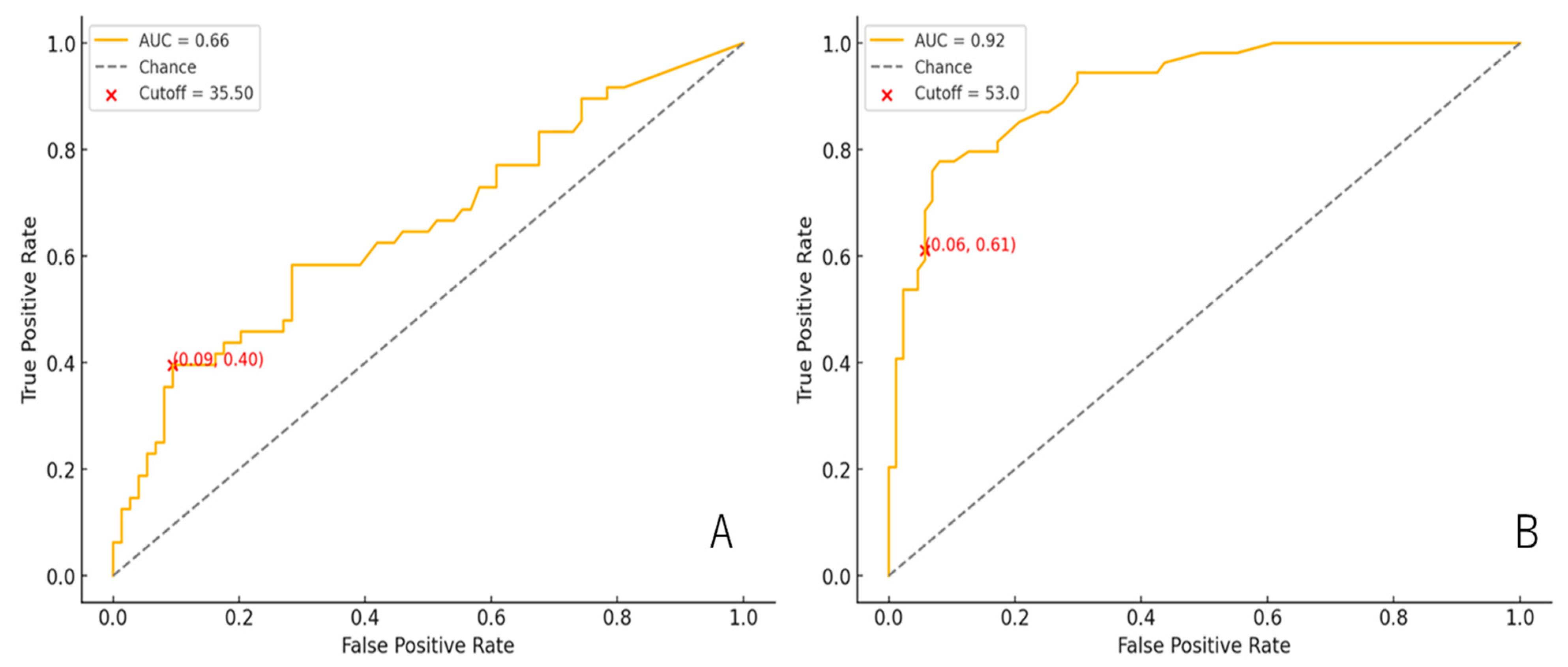
- Non-invasive markers including γ-GTP ≥ 53 U/L and BNP ≥ 35.5 pg/mL showed high specificity in identifying patients at risk of liver fibrosis.
- APRI, γ-GTP, and BNP, combined with echocardiographic findings such as absence of IVC respiratory variation, may serve as a practical triad for early detection of subclinical liver fibrosis in CHD survivors.
- These simple, routinely available indicators can facilitate timely hepatology referral and interdisciplinary care planning across pediatric and adult services.
Abstract
1. Introduction
2. Materials and Methods
2.1. Study Design and Patients
2.2. Chest Radiography
2.3. Echocardiography
2.4. Abdominal Computed Tomography (CT)
2.5. Liver Biopsy
2.6. Blood Tests
2.7. Statistical Analysis and Data Visualization
2.7.1. Data Presentation and Analysis
2.7.2. Visualization
2.7.3. Statistical Tools
2.8. Ethics Declarations
3. Results
3.1. Patient Demographics and Group Characteristics
3.2. Serum Biomarkers
3.3. Echocardiographic Parameters
3.4. APRI Stratification and Early Fibrosis Risk
3.5. ROC Curve Analysis
3.6. Analysis Limited to the TOF Population
3.7. Representative Patient Exhibiting Typical Clinical Features Observed in the Study Cohort
4. Discussion
- Step-wise APRI elevation:
- High-specificity blood markers:
- Echocardiographic correlation:
- TOF-specific myocardial–hepatic links:
5. Conclusions
Author Contributions
Funding
Institutional Review Board Statement
Informed Consent Statement
Data Availability Statement
Acknowledgments
Conflicts of Interest
Abbreviations
| APRI | Aspartate aminotransferase-to-platelet ratio index |
| CHD | Congenital heart disease |
| IVC | Inferior vena cava |
| n.s. | Not significant |
| VSD | Ventricular septal defect |
| TOF | Tetralogy of Fallot |
| BNP | B-type natriuretic peptide |
| γ-GTP | Gamma-glutamyl transferase |
| Fib-4 | Fibrosis-4 |
| AST | Aspartate transaminase |
| ALT | Alanine aminotransferase |
| ALP | Alkaline phosphatase |
| Alb | Albumin |
| Plt | Platelet |
| RA | Right atrium |
| RV | Right ventricle |
| LA | Left atrium |
| LV | Left ventricle |
| PA | Pulmonary artery |
| AO | Aorta |
| CTR | Cardiothoracic ratio |
| EF | Ejection fraction |
| ROC | Receiver operating characteristic |
| AUC | Area under the curve |
| E/A ratio | Ratio of early to late mitral inflow velocities |
| TAPSE | Tricuspid annular plane systolic excursion |
| TR | Tricuspid regurgitation |
| CT | Computed tomography |
| H&E | Hematoxylin and eosin |
References
- Warnes, C.A.; Liberthson, R.; Danielson, G.K.; Dore, A.; Harris, L.; Hoffman, J.I.; Somerville, J.; Williams, R.G.; Webb, G.D. Task force 1: The changing profile of congenital heart disease in adult life. J. Am. Coll. Cardiol. 2001, 37, 1170–1175. [Google Scholar] [CrossRef]
- Liu, Y.; Chen, S.; Zühlke, L.; Black, G.C.; Choy, M.K.; Li, N.; Keavney, B.D. Global birth prevalence of congenital heart defects 1970–2017: Updated systematic review and meta-analysis of 260 studies. Int. J. Epidemiol. 2019, 48, 455–463. [Google Scholar] [CrossRef] [PubMed]
- Shiina, Y.; Toyoda, T.; Kawasoe, Y.; Tateno, S.; Shirai, T.; Wakisaka, Y.; Matsuo, K.; Mizuno, Y.; Terai, M.; Hamada, H.; et al. Prevalence of adult patients with congenital heart disease in Japan. Int. J. Cardiol. 2011, 146, 13–16. [Google Scholar] [CrossRef] [PubMed]
- Fontan, F.; Baudet, E. Surgical repair of tricuspid atresia. Thorax 1971, 26, 240–248. [Google Scholar] [CrossRef] [PubMed]
- Stanton, R.E.; Lurie, P.R.; Lindesmith, G.G.; Meyer, B.W. The Fontan procedure for tricuspid atresia. Circulation 1981, 64, II140–II146. [Google Scholar]
- Asrani, S.K.; Warnes, C.A.; Kamath, P.S. Hepatocellular carcinoma after the Fontan procedure. N. Engl. J. Med. 2013, 368, 1756–1757. [Google Scholar] [CrossRef]
- Kawai, H.; Osawa, Y.; Matsuda, M.; Tsunoda, T.; Yanagida, K.; Hishikawa, D.; Okawara, M.; Sakamoto, Y.; Shimagaki, T.; Tsutsui, Y.; et al. Sphingosine-1-phosphate promotes tumor development and liver fibrosis in mouse model of congestive hepatopathy. Hepatology 2022, 76, 112–125. [Google Scholar] [CrossRef]
- Téllez, L.; Payancé, A.; Tjwa, E.; Del Cerro, M.J.; Idorn, L.; Ovroutski, S.; De Bruyne, R.; Verkade, H.J.; De Rita, F.; de Lange, C.; et al. EASL-ERN position paper on liver involvement in patients with Fontan-type circulation. J. Hepatol. 2023, 79, 1270–1301. [Google Scholar] [CrossRef]
- Thomas, H. LSEC stretch promotes fibrosis during hepatic vascular congestion. Nat. Rev. Gastroenterol. Hepatol. 2019, 16, 262–263. [Google Scholar] [CrossRef]
- Gordon-Walker, T.T.; Bove, K.; Veldtman, G. Fontan-associated liver disease: A review. J. Cardiol. 2019, 74, 223–232. [Google Scholar] [CrossRef]
- Procelewska, M.; Kolcz, J.; Januszewska, K.; Mroczek, T.; Malec, E. Coagulation abnormalities and liver function after hemi-Fontan and Fontan procedures—The importance of hemodynamics in the early postoperative period. Eur. J. Cardiothorac. Surg. 2007, 31, 866–872. [Google Scholar] [CrossRef]
- Jeong, J.; Tanaka, M.; Iwakiri, Y. Hepatic lymphatic vascular system in health and disease. J. Hepatol. 2022, 77, 206–218. [Google Scholar] [CrossRef] [PubMed]
- Rodríguez de Santiago, E.; Téllez, L.; Garrido-Lestache Rodríguez-Monte, E.; Garrido-Gómez, E.; Aguilera-Castro, L.; Álvarez-Fuente, M.; Del Cerro, M.J.; Albillos, A. Fontan protein-losing enteropathy is associated with advanced liver disease and a proinflammatory intestinal and systemic state. Liver. Int. 2020, 40, 638–645. [Google Scholar] [CrossRef]
- Rychik, J.; Veldtman, G.; Rand, E.; Russo, P.; Rome, J.J.; Krok, K.; Goldberg, D.J.; Cahill, A.M.; Wells, R.G. The precarious state of the liver after a Fontan operation: Summary of a multidisciplinary symposium. Pediatr. Cardiol. 2012, 33, 1001–1012. [Google Scholar] [CrossRef]
- Rychik, J.; Atz, A.M.; Celermajer, D.S.; Deal, B.J.; Gatzoulis, M.A.; Gewillig, M.H.; Hsia, T.Y.; Hsu, D.T.; Kovacs, A.H.; McCrindle, B.W.; et al. Evaluation and management of the child and adult with Fontan circulation: A scientific statement from the American Heart Association. Circulation 2019, 140, e234–e284. [Google Scholar] [CrossRef]
- Augustyn, A.; Peng, L.; Singal, A.G.; Yopp, A.C. Surveillance for hepatocellular carcinoma secondary to cardiogenic cirrhosis in patients with congenital heart disease. Clin. Res. Cardiol. 2015, 104, 446–449. [Google Scholar] [CrossRef] [PubMed]
- van der Ven, J.P.G.; van den Bosch, E.; Bogers, A.J.C.C.; Helbing, W.A. Current outcomes and treatment of tetralogy of Fallot. F1000Res 2019, 8, F1000 Faculty Rev-1530. [Google Scholar] [CrossRef]
- Zaidi, A.N. Tetralogy of Fallot: Management of residual hemodynamic and electrophysiological abnormalities. Heart 2022, 108, 1408–1414. [Google Scholar] [CrossRef]
- Hyun Sung, J.; Sakamori, R.; Yamada, R.; Yoshioka, T.; Sakane, S.; Tahata, Y.; Shigekawa, M.; Kodama, T.; Hikita, H.; Tatsumi, T.; et al. Hepatocellular carcinoma in a patient with tetralogy of Fallot: A case report and literature review. Intern. Med. 2022, 61, 1361–1365. [Google Scholar] [CrossRef]
- Mitchell, C.; Rahko, P.S.; Blauwet, L.A.; Canaday, B.; Finstuen, J.A.; Foster, M.C.; Horton, K.; Ogunyankin, K.O.; Palma, R.A.; Velazquez, E.J. Guidelines for performing a comprehensive transthoracic echocardiographic examination in adults: Recommendations from the American Society of Echocardiography. J. Am. Soc. Echocardiogr. 2019, 32, 1–64. [Google Scholar] [CrossRef] [PubMed]
- Loaeza-del-Castillo, A.; Paz-Pineda, F.; Oviedo-Cárdenas, E.; Sánchez-Avila, F.; Vargas-Vorácková, F. AST to platelet ratio index (APRI) for the noninvasive evaluation of liver fibrosis. Ann. Hepatol. 2008, 7, 350–357. [Google Scholar] [CrossRef]
- Mollova, M.; Bersell, K.; Walsh, S.; Savla, J.; Das, L.T.; Park, S.Y.; Silberstein, L.E.; Dos Remedios, C.G.; Graham, D.; Colan, S.; et al. Cardiomyocyte proliferation contributes to heart growth in young humans. Proc. Natl. Acad. Sci. USA 2013, 110, 1446–1451. [Google Scholar] [CrossRef]
- Kogiso, T.; Sagawa, T.; Taniai, M.; Shimada, E.; Inai, K.; Shinohara, T.; Tokushige, K. Risk factors for Fontan-associated hepatocellular carcinoma. PLoS ONE 2022, 17, e0270230. [Google Scholar] [CrossRef]
- Ohuchi, H.; Hayama, Y.; Nakajima, K.; Kurosaki, K.; Shiraishi, I.; Nakai, M. Incidence, predictors, and mortality in patients with liver cancer after Fontan operation. J. Am. Heart Assoc. 2021, 10, e016617. [Google Scholar] [CrossRef]
- Yoon, J.S.; Lee, D.H.; Cho, E.J.; Song, M.K.; Choi, Y.H.; Kim, G.B.; Lee, Y.B.; Lee, J.H.; Yu, S.J.; Kim, H.; et al. Risk of liver cirrhosis and hepatocellular carcinoma after Fontan operation: A need for surveillance. Cancers 2020, 12, 1805. [Google Scholar] [CrossRef] [PubMed]
- Asbeutah, A.A.A.; Jefferies, J.L. Meta-analysis of the incidence of liver cirrhosis among patients with a Fontan circulation. Am. J. Cardiol. 2022, 177, 166–167. [Google Scholar] [CrossRef] [PubMed]
- Shinebourne, E.A.; Babu-Narayan, S.V.; Carvalho, J.S. Tetralogy of Fallot: From fetus to adult. Heart 2006, 92, 1353–1359. [Google Scholar] [CrossRef]
- Fallot, E.A. Contribution à l’anatomie pathologique de la maladie bleue (cyanose cardiaque). Marseilles. Med. 1888, 25, 77–93. [Google Scholar]
- Van Praagh, R. The first Stella van Praagh memorial lecture: The history and anatomy of tetralogy of Fallot. Semin. Thorac. Cardiovasc. Surg. Pediatr. Card. Surg. Annu. 2009, 12, 19–38. [Google Scholar] [CrossRef] [PubMed]
- Apitz, C.; Webb, G.D.; Redington, A.N. Tetralogy of Fallot. Lancet 2009, 374, 1462–1471. [Google Scholar] [CrossRef]
- Dłużniewska, N.; Podolec, P.; Skubera, M.; Smaś-Suska, M.; Pająk, J.; Urbańczyk-Zawadzka, M.; Płazak, W.; Olszowska, M.; Tomkiewicz-Pająk, L. Long-term follow-up in adults after tetralogy of Fallot repair. Cardiovasc. Ultrasound. 2018, 16, 28. [Google Scholar] [CrossRef]
- Ravndal, M.E.H.; Borgwardt, L.; Juul, K.; Nielsen, J.; Borgwardt, L.; Henriksen, B.M.; Willemoe, G.L.; Jensen, A.S.; Christensen, V.B.; Kjær, M.S. Liver fibrosis in patients with tetralogy of Fallot, an unrecognised complication? Cardiol. Young 2021, 31, 1796–1806. [Google Scholar] [CrossRef]
- McCabe, N.; Farris, A.B.; Hon, H.; Ford, R.; Book, W.M. Hepatocellular carcinoma in an adult with repaired tetralogy of Fallot. Congenit. Heart Dis. 2013, 8, E139–E144. [Google Scholar] [CrossRef]
- Yamamura, K.; Sakamoto, I.; Morihana, E.; Hirata, Y.; Nagata, H.; Yamasaki, Y.; Okumura, Y.; Kohashi, K.; Koto, K.; Tsutsui, H.; et al. Elevated non-invasive liver fibrosis markers and risk of liver carcinoma in adult patients after repair of tetralogy of Fallot. Int. J. Cardiol. 2019, 287, 121–126. [Google Scholar] [CrossRef]
- Wai, C.T.; Greenson, J.K.; Fontana, R.J.; Kalbfleisch, J.D.; Marrero, J.A.; Conjeevaram, H.S.; Lok, A.S.F. A simple noninvasive index can predict both significant fibrosis and cirrhosis in patients with chronic hepatitis C. Hepatology 2003, 38, 518–526. [Google Scholar] [CrossRef] [PubMed]
- Liguori, A.; Zoncapè, M.; Casazza, G.; Easterbrook, P.; Tsochatzis, E.A. Staging liver fibrosis and cirrhosis using non-invasive tests in people with chronic hepatitis B to inform WHO 2024 guidelines: A systematic review and meta-analysis. Lancet Gastroenterol. Hepatol. 2025, 10, 332–349. [Google Scholar] [CrossRef] [PubMed]
- Sterling, R.K.; Lissen, E.; Clumeck, N.; Sola, R.; Correa, M.C.; Montaner, J.; S Sulkowski, M.; Torriani, F.J.; Dieterich, D.T.; Thomas, D.L.; et al. Development of a simple noninvasive index to predict significant fibrosis in patients with HIV/HCV coinfection. Hepatology 2006, 43, 1317–1325. [Google Scholar] [CrossRef] [PubMed]
- Alkhouri, N.; Mansoor, S.; Giammaria, P.; Liccardo, D.; Lopez, R.; Nobili, V. The development of the pediatric NAFLD fibrosis score (PNFS) to predict the presence of advanced fibrosis in children with nonalcoholic fatty liver disease. PLoS ONE 2014, 9, e104558. [Google Scholar] [CrossRef]
- Li, R.; Hu, C.; Xu, F.; Zhang, Q.; Zhou, F.; Zheng, C.; Gao, Y.; Tang, Y.; Chen, J. Combi-elasto evaluation of the degree of liver fibrosis in children with cholestatic liver disease. Diagnostics 2023, 13, 3229. [Google Scholar] [CrossRef]
- Lin, Z.H.; Xin, Y.N.; Dong, Q.J.; Wang, Q.; Jiang, X.J.; Zhan, S.H.; Sun, Y.; Xuan, S.Y. Performance of the aspartate aminotransferase-to-platelet ratio index for the staging of hepatitis C-related fibrosis: An updated meta-analysis. Hepatology 2011, 53, 726–736. [Google Scholar] [CrossRef]
- Moosavy, S.H.; Eftekhar, E.; Davoodian, P.; Nejatizadeh, A.; Shadman, M.; Zare, S.; Nazarnezhad, M.A. AST/ALT ratio, Apri, and FIB-4 compared to FibroScan for the assessment of liver fibrosis in patients with chronic hepatitis B in Bandar Abbas, Hormozgan, Iran. BMC Gastroenterol. 2023, 23, 145. [Google Scholar] [CrossRef]
- Kutty, S.S.; Peng, Q.; Danford, D.A.; Fletcher, S.E.; Perry, D.; Talmon, G.A.; Scott, C.; Kugler, J.D.; Duncan, K.F.; Quiros-Tejeira, R.E.; et al. Increased hepatic stiffness as consequence of high hepatic afterload in the Fontan circulation: A vascular Doppler and elastography study. Hepatology 2014, 59, 251–260. [Google Scholar] [CrossRef] [PubMed]
- Poterucha, J.T.; Johnson, J.N.; Qureshi, M.Y.; O’Leary, P.W.; Kamath, P.S.; Lennon, R.J.; Bonnichsen, C.R.; Young, P.M.; Venkatesh, S.K.; Ehman, R.L.; et al. Magnetic resonance elastography: A novel technique for the detection of hepatic fibrosis and hepatocellular carcinoma after the Fontan operation. Mayo Clin. Proc. 2015, 90, 882–894. [Google Scholar] [CrossRef] [PubMed]
- Wu, F.M.; Earing, M.G.; Aboulhosn, J.A.; Johncilla, M.E.; Singh, M.N.; Odze, R.D.; Ukomadu, C.; Gauvreau, K.; Landzberg, M.J.; Valente, A.M.; et al. Predictive value of biomarkers of hepatic fibrosis in adult Fontan patients. J. Heart Lung. Transpl. 2017, 36, 211–219. [Google Scholar] [CrossRef] [PubMed]





| Parameter | Total (n = 142) | Postoperative VSD (n = 47) | Postoperative TOF (n = 67) | Postoperative Fontan (n = 28) | VSD vs. TOF | VSD vs. Fontan | TOF vs. Fontan |
|---|---|---|---|---|---|---|---|
| Male (%) | 52.8% (75/142) | 46.8% (22/47) | 56.7% (38/67) | 53.5% (15/28) | n.s. | n.s. | n.s. |
| Year after operation (years) | 28.0 (1–58) | 37.0 (25–56) | 25.0 (1–58) | 10.0 (1–40) | n.s. | n.s. | n.s. |
| Age (years) | 22.7 (0–77) | 24.3 (0–60) | 24.0 (1–77) | 12.5 (0–47) | n.s. | n.s. | * |
| Cardiothoracic Ratio (%) | 50.8 (33–80) | 46.1 (41–50) | 54.2 (44–68) | 48.0 (33–80) | *** | n.s. | n.s. |
| BNP (pg/mL) | 15.0 (5.8–472.8) | 11.2 (5.8–16.1) | 17.3 (5.8–398.0) | 27.8 (5.8–472.8) | ** | *** | *** |
| APRI Score | 0.39 (0.13–2.14) | 0.36 (0.13–2.14) | 0.40 (0.17–1.31) | 0.55 (0.21–1.38) | n.s. | ** | * |
| APRI > 0.5 (%) | 38.1% (54/142) | 12.7% (6/47) | 43.3% (29/67) | 67.9% (19/28) | *** | *** | ** |
| Fib4 Index | 0.7 (0.0–16.9) | 1.20 (0.0–8.39) | 1.21 (0.05–16.9) | 1.56 (0.00–8.84) | n.s. | n.s. | n.s. |
| Platelet count (×104/μL) | 20.0 (6.5–63.1) | 21.0 (6.5–63.1) | 18.9 (9.9–45.3) | 19.0 (8.0–40.8) | n.s. | n.s. | n.s. |
| Albumin (g/dL) | 4.5 (2.7–5.4) | 4.3 (2.7–4.8) | 4.5 (3.8–5.4) | 4.5 (3.6–5.0) | n.s. | n.s. | n.s. |
| AST (U/L) | 26.3 (13–63) | 23.5 (13–60) | 26.0 (15–43) | 33.5 (20–63) | n.s. | n.s. | ** |
| ALT (U/L) | 18.0 (5–95) | 16.0 (5–95) | 17.0 (9–58) | 21.0 (8–49) | n.s. | n.s. | n.s. |
| ALP (U/L) | 105.4 (21.4–1229.7) | 67.0 (22–340) | 80.0 (21.4–645) | 209.8 (51.1–1229.7) | n.s. | n.s. | n.s. |
| γ-GTP (U/L) | 26.0 (9–327) | 35.0 (11–157) | 42.0 (9–316) | 50.0 (13–327) | ** | ** | ** |
| Ejection Fraction (%) | 64.2 (23.6–88.9) | 63.3 (45.1–70.0) | 64.7 (32.3–83.5) | 64.5 (23.6–88.9) | n.s. | n.s. | n.s. |
| Absence of IVC respiratory variability (%) | 13.3% (18/135) | 5.0% (2/40) | 7.5% (5/67) | 39.3% (11/28) | ** | ** | ** |
| Hepatocellular Carcinoma (%) | 2.0% (2/142) | 0% (0/47) | 0% (0/67) | 7.1% (2/28) | n.s. | n.s. | n.s. |
| Parameters | APRI < 0.5 (n = 88) | APRI > 0.5 (n = 54) | p-Value |
|---|---|---|---|
| Postoperative (VSD/TOF/Fontan) | 41/38/9 | 6/29/19 | <0.001 |
| Male (%) | 48.9% (43/88) | 57.4% (31/54) | 0.372 |
| Years after operation (years) | 28.0 (1–58) | 37.0 (25–56) | 0.749 |
| Age (years) | 21.2 (0–67) | 27.0 (0–77) | 0.117 |
| Cardiothoracic Ratio (%) | 49.9 (33–63) | 46.1 (41–80) | 0.542 |
| BNP (pg/mL) | 13.8 (5.8–129.7) | 19.8 (5.8–472.8) | 0.017 |
| APRI score | 0.33 (0.13–0.48) | 0.61 (0.43–2.14) | <0.001 |
| Fib4 Index | 0.33 (0.13–0.48) | 0.61 (0.43–2.14) | <0.001 |
| Platelet count (×104/μL) | 23.2 (13.3–63.1) | 16.0 (6.5–27.0) | <0.001 |
| Albumin (g/dL) | 4.5 (2.7–5.0) | 4.5 (3.6–5.4) | 0.321 |
| AST (U/L) | 22.0 (13–57) | 32.0 (19–63) | <0.001 |
| ALT (U/L) | 15.5 (5–95) | 23.5 (10–75) | <0.001 |
| ALP (U/L) | 81.6 (40–1229.7) | 114.1 (21.4–1218.4) | 0.797 |
| γ-GTP (U/L) | 18.0 (9–129) | 50.0 (12–327) | <0.001 |
| Ejection Fraction (%) | 64.2 (23.6–88.9) | 63.3 (45.1–70.0) | 0.335 |
| Absence of IVC respiratory variability (%) | 2.3% (2/88) | 29.6% (16/54) | <0.05 |
| Parameters | Total (n = 49) | APRI < 0.5 (n = 24) | APRI > 0.5 (n = 25) | p-Value |
|---|---|---|---|---|
| Sex, Male (%) | 59% (29/49) | 58.3% (14/24) | 60% (15/25) | 0.264 |
| Years after operation (years) | 30.5 (3–58) | 28.5 (19–58) | 31 (3–56) | 0.545 |
| Age (years) | 31 (15–77) | 26.5 (15–67) | 34.5 (16–77) | 0.059 |
| Cardiothoracic Ratio (%) | 54 (44–68) | 52.5 (44–61) | 55 (48–68) | 0.019 |
| BNP (pg/mL) | 16.6 (5.8–398) | 16.2 (5.8–81.2) | 18.65 (5.8–398) | 0.942 |
| APRI Score | 0.4195 (0.17–1.04) | 0.3255 (0.17–0.41) | 0.589 (0.43–1.04) | <0.001 |
| Fib4 Index | 0.8005 (0.25–5.23) | 0.6135 (0.25–1.82) | 1.1685 (0.42–5.23) | <0.001 |
| Platelet Count (×104/μL) | 17.85 (9.9–38.6) | 18.2 (15.2–38.6) | 16.1 (9.9–23.1) | <0.01 |
| Albumin (g/dL) | 4.5 (3.8–5.4) | 4.5 (4.0–4.9) | 4.5 (3.8–5.4) | 0.983 |
| AST (U/L) | 23 (15–42) | 18 (15–39) | 28.5 (19–42) | <0.001 |
| ALT (U/L) | 21 (9–58) | 16.5 (9–37) | 27.5 (14–58) | <0.001 |
| ALP (U/L) | 63.9 (21.4–286) | 59.9 (40–134.4) | 77 (21.4–286) | 0.002 |
| γ-GTP (U/L) | 27 (11–316) | 23 (11–129) | 45 (12–316) | 0.015 |
| Ejection Fraction (%) | 64.1 (40.4–81.4) | 63.9 (40.4–81.4) | 64.2 (45.1–80.3) | 0.550 |
| E/A Ratio | 1.55 (0.6–3.14) | 1.55 (0.79–3.14) | 1.49 (0.6–2.69) | 0.408 |
| e′ velocity (cm/s) | 8.05 (3.9–16.9) | 8.05 (3.9–15) | 8.1 (4.4–16.9) | 0.488 |
| LV Internal Diameter diastole (mm) | 45.1 (37.5–64.6) | 43.8 (38.3–64.6) | 46.15 (37.5–56) | 0.139 |
| LV Internal Diameter systole (mm) | 30.4 (21.8–45.5) | 29.6 (21.8–45.5) | 30.6 (22.8–37.9) | 0.060 |
| Interventricular Septal Thickness (mm) | 8.7 (4.2–13.9) | 8.7 (5.6–10.4) | 9.05 (4.2–13.9) | 0.274 |
| Posterior Wall Thickness in diastole (mm) | 8.6 (3.8–11.2) | 8.4 (3.8–10.7) | 8.9 (5.2–11.2) | <0.05 |
| Left Ventricular Mass Index (g/m2) | 78.6 (52.1–170) | 71.3 (52.1–151.9) | 92 (62.1–170) | <0.05 |
| TAPSE (mm) | 16.7 (1.8–28.5) | 16.8 (1.8–28.5) | 16.65 (7.8–25) | 0.991 |
| Right Ventricular Diameter (mm) | 41.3 (19.1–58.1) | 39.5 (19.1–58.1) | 43.2 (19.2–53.2) | 0.419 |
| Left Atrial Diameter (mm) | 36.2 (23.4–50.4) | 32.55 (23.4–45.4) | 36.6 (24.2–50.4) | 0.716 |
| Left Atrial Volume Index (mL/m2) | 23.3 (12.1–86.6) | 19.8 (12.1–41.2) | 25.8 (12.8–86.6) | 0.477 |
| Right Atrial Diameter (mm) | 29.8 (5–61) | 29.8 (14.9–54) | 31.45 (5–61) | 0.942 |
| Tricuspid Regurgitation (%) | 24/46 (52.2%) | 8/23 (34.8%) | 16/23 (69.6%) | <0.01 |
| Pulmonary Regurgitation (%) | 21/47 (44.7%) | 10/26 (38.5%) | 11/21 (52.4%) | 0.630 |
| Tricuspid Regurgitation Pressure Gradient (mmHg) | 26 (14.4–74) | 27 (15.7–74) | 25 (14.4–65.5) | 0.903 |
| Inferior Vena Cava Diameter (mm) | 15 (8.7–24) | 14.75 (8.7–17.5) | 15.3 (10.4–24) | 0.341 |
| Absence of IVC respiratory variability (%) | 5/25 (20.0%) | 0/24 (0%) | 5/25 (20.0%) | <0.01 |
Disclaimer/Publisher’s Note: The statements, opinions and data contained in all publications are solely those of the individual author(s) and contributor(s) and not of MDPI and/or the editor(s). MDPI and/or the editor(s) disclaim responsibility for any injury to people or property resulting from any ideas, methods, instructions or products referred to in the content. |
© 2025 by the authors. Licensee MDPI, Basel, Switzerland. This article is an open access article distributed under the terms and conditions of the Creative Commons Attribution (CC BY) license (https://creativecommons.org/licenses/by/4.0/).
Share and Cite
Yamazaki, F.; Kamimura, H.; Endo, S.; Miida, S.; Maruyama, H.; Yoshida, T.; Kumagai, M.; Kimura, N.; Abe, H.; Sakamaki, A.; et al. Revisiting Hepatic Fibrosis Risk in Congenital Heart Disease: Insights from Non-Invasive Markers and Echocardiography. Children 2025, 12, 1131. https://doi.org/10.3390/children12091131
Yamazaki F, Kamimura H, Endo S, Miida S, Maruyama H, Yoshida T, Kumagai M, Kimura N, Abe H, Sakamaki A, et al. Revisiting Hepatic Fibrosis Risk in Congenital Heart Disease: Insights from Non-Invasive Markers and Echocardiography. Children. 2025; 12(9):1131. https://doi.org/10.3390/children12091131
Chicago/Turabian StyleYamazaki, Fusako, Hiroteru Kamimura, Saori Endo, Suguru Miida, Hiroki Maruyama, Tomoaki Yoshida, Masaru Kumagai, Naruhiro Kimura, Hiroyuki Abe, Akira Sakamaki, and et al. 2025. "Revisiting Hepatic Fibrosis Risk in Congenital Heart Disease: Insights from Non-Invasive Markers and Echocardiography" Children 12, no. 9: 1131. https://doi.org/10.3390/children12091131
APA StyleYamazaki, F., Kamimura, H., Endo, S., Miida, S., Maruyama, H., Yoshida, T., Kumagai, M., Kimura, N., Abe, H., Sakamaki, A., Yokoo, T., Tsukada, M., Numano, F., Saitoh, A., Watanabe, M., Shiraishi, S., Tsuchida, M., Fujiki, S., Kashimura, T., ... Terai, S. (2025). Revisiting Hepatic Fibrosis Risk in Congenital Heart Disease: Insights from Non-Invasive Markers and Echocardiography. Children, 12(9), 1131. https://doi.org/10.3390/children12091131

