Sign in to use this feature.

Years

Between: -

Subjects

remove_circle_outline
remove_circle_outline
remove_circle_outline
remove_circle_outline
remove_circle_outline
remove_circle_outline
remove_circle_outline
remove_circle_outline

Journals

Article Types

Countries / Regions

Search Results (31)

Search Parameters:
Keywords = Fenwei Plain

Order results
Result details
Results per page
Select all
Export citation of selected articles as:
25 pages, 7246 KB  
Article
Research on the Distribution Characteristics and Health Effects of O3 in the Fenwei Plain
by Qianqian Wang, Chunhui Yang, Man Liu and Ruifeng Yan
Atmosphere 2025, 16(10), 1219; https://doi.org/10.3390/atmos16101219 - 21 Oct 2025
Viewed by 361
Abstract
In recent years, coal-combustion-related air pollution has declined markedly, whereas tropospheric ozone (O3) pollution has emerged as a growing environmental concern. Long-term exposure to O3 can severely impact human health and ecosystems, constraining socioeconomic development. The Fenwei Plain has complex [...] Read more.
In recent years, coal-combustion-related air pollution has declined markedly, whereas tropospheric ozone (O3) pollution has emerged as a growing environmental concern. Long-term exposure to O3 can severely impact human health and ecosystems, constraining socioeconomic development. The Fenwei Plain has complex topographical conditions and a relatively simple industrial structure, and at present, O3 is one of the main pollutants affecting air quality in this region. Therefore, studying the distribution of O3 pollution in the Fenwei Plain can provide a reference for developing plans to control O3 pollution in the area, which is important for safeguarding local public health and economic development. Currently, the number of pollutant monitoring stations in China is limited, spatially discontinuous, and significantly affected by environmental factors, making it difficult to obtain high-precision, large-scale observational data. Satellite-based remote sensing provides broad spatial coverage and is free from topographic constraints, thereby serving as an effective complement to ground-based monitoring networks. This provides important technical support for studying the distribution characteristics of O3 pollution and its associated health risks. This study focuses on the Fenwei Plain, utilizing machine learning models to estimate continuous O3 concentrations from 2015 to 2022 and analyze the spatiotemporal distribution of O3. Based on this, an assessment and analysis of the health risks associated with near-surface O3 exposure in the study area will be conducted, incorporating the population exposed in the Fenwei Plain and individuals with chronic obstructive pulmonary disease (COPD). Full article
(This article belongs to the Section Air Quality and Health)
Show Figures

Figure 1

19 pages, 7660 KB  
Article
The Impact of Photochemical Loss on the Source Apportionment of Ambient Volatile Organic Compounds (VOCs) and Their Ozone Formation Potential in the Fenwei Plain, Northern China
by Yanan Tao, Qi Xiong, Yawei Dong, Jiayin Zhang, Lei Cao, Min Zhu, Qiaoqiao Wang and Jianwei Gu
Atmosphere 2025, 16(8), 970; https://doi.org/10.3390/atmos16080970 - 15 Aug 2025
Viewed by 1049
Abstract
The Fenwei Plain (FWP), one of China’s most polluted regions, has experienced severe ozone (O3) pollution in recent years. Volatile organic compounds (VOCs), key O3 precursors, undergo significant photochemical degradation, yet their loss and the implications for source apportionment and [...] Read more.
The Fenwei Plain (FWP), one of China’s most polluted regions, has experienced severe ozone (O3) pollution in recent years. Volatile organic compounds (VOCs), key O3 precursors, undergo significant photochemical degradation, yet their loss and the implications for source apportionment and ozone formation potential (OFP) in this region remain unclear. This study conducted summertime VOC measurements in two industrial cities in the FWP, Hancheng (HC) and Xingping (XP), to quantify photochemical losses of VOCs and assessed their impact on source attribution and OFP with photochemical age-based parameterization methods. Significant VOC photochemical losses were observed, averaging 3.6 ppbv (7.1% of initial concentrations) in HC and 1.9 ppbv (5.6%) in XP, with alkenes experiencing the highest depletion (22–30%). Source apportionment based on both initial (corrected) and observed concentrations revealed that industrial sources (e.g., coking, coal washing, and rubber manufacturing) dominated ambient VOCs. Ignoring photochemical losses underestimated contributions from natural gas combustion and biogenic sources, while it overestimated the secondary source. OFP calculated with lost VOCs (OFPloss) reached 34 ppbv in HC and 15 ppbv in XP, representing 20% and 25% of OFP based on observed concentrations, respectively, with reactive alkenes accounting for over 90% of OFPloss. The results highlight the importance of accounting for VOC photochemical losses for accurate source identification and developing effective O3 control strategies in the FWP. Full article
(This article belongs to the Section Air Quality)
Show Figures

Figure 1

18 pages, 2395 KB  
Article
Unveiling the Synergies and Conflicts Between Vegetation Dynamic and Water Resources in China’s Yellow River Basin
by Zuqiao Gao and Xiaolei Ju
Land 2025, 14(7), 1396; https://doi.org/10.3390/land14071396 - 3 Jul 2025
Viewed by 577
Abstract
Understanding the relationship between regional vegetation dynamics and water resources is essential for improving integrated vegetation–water management, enhancing ecosystem services, and advancing the sustainable development of ecological–economic–social systems. As China’s second largest river basin, the Yellow River Basin (YRB) is ecologically fragile and [...] Read more.
Understanding the relationship between regional vegetation dynamics and water resources is essential for improving integrated vegetation–water management, enhancing ecosystem services, and advancing the sustainable development of ecological–economic–social systems. As China’s second largest river basin, the Yellow River Basin (YRB) is ecologically fragile and experiences severe water scarcity. Vegetation changes further intensify conflicts between water supply and demand. To investigate the evolution and interaction mechanisms between vegetation and water resources in the YRB, this study uses the InVEST model to simulate annual water yield (Wyield) from 1982 to 2020 and applies the Dimidiate Pixel Model (DPM) to estimate fractional vegetation cover (FVC). The Theil–Sen method is applied to quantify the spatiotemporal trends of Wyield and FVC. A pixel-based second-order partial correlation analysis is performed to clarify the intrinsic relationship between FVC and Wyield at the grid scale. The main conclusions are as follows: (1) During the statistical period (1982–2020), the multi-year average annual Wyield in the YRB was 73.15 mm. Interannual Wyield showed a clear fluctuating trend, with an initial decline followed by a subsequent increase. Wyield showed marked spatial heterogeneity, with high values in the southern upper reaches and low values in the Longzhong Loess Plateau and Hetao Plain. During the same period, about 68.74% of the basin experienced increasing Wyield, while declines were concentrated in the upper reaches. (2) The average FVC across the basin was 0.51, showing a significant increasing trend during the statistical period. The long-term average FVC showed significant spatial heterogeneity, with high values in the Fenwei Plain, Shanxi Basin, and Taihang Mountains, and low values in the Loess Plateau and Hetao Plain. Spatially, 68.74% of the basin exhibited significant increases in FVC, mainly in the middle and lower reaches, while decreases were mostly in the upper reaches. (3) Areas with significant FVC–Wyield correlations covered a small portion of the basin: trade-off regions made up 10.35% (mainly in the southern upper reaches), and synergistic areas accounted for 5.26% (mostly in the Hetao Plain and central Loess Plateau), both dominated by grasslands and croplands. Mechanistic analysis revealed spatiotemporal heterogeneity in FVC–Wyield relationships across the basin, influenced by both natural drivers and anthropogenic activities. This study systematically explores the patterns and interaction mechanisms of FVC and Wyield in the YRB, offering a theoretical basis for regional water management, ecological protection, and sustainable development. Full article
(This article belongs to the Special Issue Integrating Climate, Land, and Water Systems)
Show Figures

Figure 1

18 pages, 9625 KB  
Article
Tracking Long-Term Ozone Pollution Dynamics in Chinese Cities with Meteorological and Emission Attribution
by Hongrui Li, Xiaoyong Liu, Zijian Liu, Mengyang Li, Tong Wu, Peicheng Li and Peng Zhou
Atmosphere 2025, 16(7), 768; https://doi.org/10.3390/atmos16070768 - 23 Jun 2025
Viewed by 779
Abstract
Although China has achieved substantial reductions in particulate matter pollution, continually rising ground-level ozone now constitutes the primary challenge to further air-quality improvements. A systematic assessment of the long-term spatiotemporal behavior of ozone (O3) and its links to meteorology and emissions [...] Read more.
Although China has achieved substantial reductions in particulate matter pollution, continually rising ground-level ozone now constitutes the primary challenge to further air-quality improvements. A systematic assessment of the long-term spatiotemporal behavior of ozone (O3) and its links to meteorology and emissions is still lacking. Here, we develop a novel framework that couples Kolmogorov–Zurbenko (KZ) filtering with an optimized random forest (RF) regression model to examine daily maximum 8 h average ozone (O3-8h) in 372 Chinese cities from 2013 to 2023. The approach quantitatively disentangles meteorological and emission contributions at the national scale, overcoming the limitations of traditional linear methods in capturing non-linear processes. Long-term components explain, in general, <40% of total O3 variance. In eastern urban agglomerations, long-term meteorological factors—particularly temperature and surface ultraviolet radiation—account for up to 80% of the trend, whereas long-term emission contributions remain modest (≈5–6%), with pronounced signals in the Beijing–Tianjin–Hebei and Fenwei Plain regions. Empirical orthogonal function analysis further reveals distinct spatial patterns of emission influence: long-term O3 trends in mega-cities such as Beijing, Tianjin, and Shanghai are driven mainly by local emissions (1.5–3% contribution), while key transport hubs including Xi’an, Tangshan, and Langfang are markedly affected by traffic-related emissions (>2%). These findings clarify the heterogeneous mechanisms governing O3 formation across China and provide a scientific basis for designing and implementing the next phase of region-specific, joint prevention-and-control policies. Full article
(This article belongs to the Special Issue Air Pollution: Emission Characteristics and Formation Mechanisms)
Show Figures

Figure 1

21 pages, 6948 KB  
Article
Causes and Transmission Characteristics of the Regional PM2.5 Heavy Pollution Process in the Urban Agglomerations of the Central Taihang Mountains
by Luoqi Yang, Guangjie Wang, Yegui Wang, Yongjing Ma and Xi Zhang
Atmosphere 2025, 16(2), 205; https://doi.org/10.3390/atmos16020205 - 11 Feb 2025
Cited by 4 | Viewed by 877
Abstract
The Taihang Mountains serve as a critical geographical barrier in northern China, delineating two major 2.5-micrometer particulate matter (PM2.5) pollution hotspots in the Beijing–Tianjin–Hebei region and the Fenwei Plain. This study examines the underlying mechanisms and interregional dynamic transport pathways of [...] Read more.
The Taihang Mountains serve as a critical geographical barrier in northern China, delineating two major 2.5-micrometer particulate matter (PM2.5) pollution hotspots in the Beijing–Tianjin–Hebei region and the Fenwei Plain. This study examines the underlying mechanisms and interregional dynamic transport pathways of a severe PM2.5 pollution event that occurred in the urban agglomerations of the Central Taihang Mountains (CTHM) from 8–13 December 2021. The WRF-HYSPLIT simulation was employed to analyze a broader range of potential pollution sources and transport pathways. Additionally, a new river network analysis module was developed and integrated with the Atmospheric Pollutant Transport Quantification Model (APTQM). This module is capable of identifying localized, small-scale (interplot) pollution transport processes, thereby enabling more accurate identification of potential source areas and transport routes. The findings indicate that the persistence of low temperatures, high humidity, and stagnant atmospheric conditions facilitated both the local accumulation and cross-regional transport of PM2.5. The eastern urban agglomerations, such as Shijiazhuang and Xingtai, were predominantly influenced by northwesterly air masses originating from Inner Mongolia and Shanxi, with pollution levels intensified due to topographic blocking and subsidence effects east of the Taihang Mountains. In contrast, western urban centers, including Taiyuan and Yangquan, experienced pollution primarily from short-range transport within the Fen River Basin, central Inner Mongolia, and Shaanxi, compounded by basin-induced stagnation. Three principal transport pathways were identified: (1) a northwestern pathway from Inner Mongolia to Hebei, (2) a southwestern pathway following the Fen River Basin, and (3) a southward inflow from Henan. The trajectory analysis revealed that approximately 68% of PM2.5 in eastern receptor cities was transported through topographic channels within the Taihang Transverse Valleys, whereas 43% of pollution in the western regions originated from intra-basin emissions and basin-capture circulation. Furthermore, APTQM-PM2.5 identified major pollution source regions, including Ordos and Chifeng in Inner Mongolia, as well as Taiyuan and the Fen River Basin. This study underscores the synergistic effects of basin topography, regional circulation, and anthropogenic emissions in shaping pollution distribution patterns. The findings provide a scientific basis for formulating targeted, regionally coordinated air pollution mitigation strategies in complex terrain areas. Full article
Show Figures

Figure 1

22 pages, 7364 KB  
Article
Characterization and Source Apportionment Analysis of PM2.5 and Ozone Pollution over Fenwei Plain, China: Insights from PM2.5 Component and VOC Observations
by Litian Xu, Bo Wang, Ying Wang, Huipeng Zhang, Danni Xu, Yibing Zhao and Kaihui Zhao
Toxics 2025, 13(2), 123; https://doi.org/10.3390/toxics13020123 - 6 Feb 2025
Cited by 4 | Viewed by 1571
Abstract
PM2.5 and volatile organic compounds (VOCs) have been identified as the primary air pollutants affecting the Fenwei Plain (FWP), necessitating urgent measures to improve its air quality. To gain a deeper understanding of the formation mechanisms of these pollutants, this study employed [...] Read more.
PM2.5 and volatile organic compounds (VOCs) have been identified as the primary air pollutants affecting the Fenwei Plain (FWP), necessitating urgent measures to improve its air quality. To gain a deeper understanding of the formation mechanisms of these pollutants, this study employed various methods such as HYSPLIT, PCT, and PMF for analysis. Our results indicate that the FWP is primarily impacted by PM2.5 from the southern Shaanxi air mass and the northwestern air mass during winter. In contrast, during summer, it is mainly influenced by O3 originating from the southern air mass. Specifically, high-pressure fronts are the dominant weather pattern affecting PM2.5 pollution in the FWP, while high-pressure backs predominately O3 pollution. Regarding the sources of PM2.5, secondary nitrates, vehicle exhausts, and secondary sulfates are major contributors. As for volatile organic compounds, liquefied petroleum gas sources, vehicle exhausts, solvent usage, and industrial emissions are the primary sources. This study holds crucial scientific significance in enhancing the regional joint prevention and control mechanism for PM2.5 and O3 pollution, and it provides scientific support for formulating effective strategies for air pollution prevention and control. Full article
Show Figures

Graphical abstract

11 pages, 4079 KB  
Communication
Study on Ozone and Its Critical Influencing Factors in Key Regions of China
by Zhenhai Wu, Dandan Zhang, Yanqin Ren, Fang Bi, Rui Gao, Xuezhong Wang, Hong Li and Jikang Wang
Atmosphere 2024, 15(12), 1430; https://doi.org/10.3390/atmos15121430 - 27 Nov 2024
Viewed by 1020
Abstract
Solar radiation is the fundamental energy source of climate change, which has a significant impact on the generations of secondary fine particulate matter (PM2.5) and ozone (O3) in the atmosphere. Additionally, surface solar radiation is also affected by the [...] Read more.
Solar radiation is the fundamental energy source of climate change, which has a significant impact on the generations of secondary fine particulate matter (PM2.5) and ozone (O3) in the atmosphere. Additionally, surface solar radiation is also affected by the concentration of PM2.5, which in turn affects the generation of O3. To clarify the relationships among the O3, PM2.5 and the total radiation intensity, this study analyzes their temporal and spatial variation trends from 2017 to 2019. Meanwhile, as a common precursor of O3 and PM2.5, concentration variations in nitrogen dioxide (NO2) are discussed as well in this study. The results showed the following: (1) There are significant positive correlations between the O3-8 h concentrations and the total radiation intensities in critical regions, especially in the “2 + 26” cities, Fen-Wei Plain and Yangtze River Delta. (2) The decrease in PM2.5 concentrations is in good agreement with the trend of NO2 concentrations, while the response of O3 concentration to the NO2 concentration variation differs in different regions, except in the Pearl River Delta. (3) In addition to the meteorological factors, changes in the concentrations and ratios of precursors such as NO2 and volatile organic compounds (VOCs) likely contribute to the observed fluctuations in O3 concentrations in recent years. Full article
(This article belongs to the Special Issue Air Pollution in China (3rd Edition))
Show Figures

Figure 1

23 pages, 6376 KB  
Article
Decoupling Analysis between Socio-Economic Growth and Air Pollution in Key Regions of China
by Manru Wei, Xiaoming Chuai, Yisai Li, Jingwen Han and Chunxia Zhang
Sustainability 2024, 16(17), 7571; https://doi.org/10.3390/su16177571 - 1 Sep 2024
Cited by 1 | Viewed by 2409
Abstract
The coordinated development of atmospheric pollution and socio-economic growth plays a core role in the sustainable development of cities and regions. The relationship between socio-economic growth and air pollution can be described using decoupling analysis. The seven key regions of China (168 cities), [...] Read more.
The coordinated development of atmospheric pollution and socio-economic growth plays a core role in the sustainable development of cities and regions. The relationship between socio-economic growth and air pollution can be described using decoupling analysis. The seven key regions of China (168 cities), including Beijing–Tianjin–Hebei and its surrounding areas (BTHSR), the Yangtze River Delta region (YRDR), the Fen-Wei Plain (FWP), the Chengdu–Chongqing region (CCR), the urban agglomeration of the middle reaches of the Yangtze River (MLRYR), the Pearl River Delta region (PRDR), and other provincial capitals and municipalities with specialized plans (OPCCSP) were taken as targets to investigate the spatiotemporal evolution characteristics of AQI values and PM2.5 concentrations from 2014 to 2022. Then, the decoupling relationship between the AQI/PM2.5 and the socio-economic growth index (SEGI) in these key regions was deeply researched by the Tapio decoupling model. The main results were as follows: (1) Although the continuous improvement in air quality was observed in these seven key regions in China, the PM2.5 concentration in the BTHSR and FWP was still higher than 35 μg·m−3. The AQI showed a spatial pattern of high in the north and low in the south, and the distribution of PM2.5 in China was high in the east and low in the west. (2) The decoupling degree between air pollution and socio-economic growth was relatively high in the PRDR and YRDR. In contrast, the degree of decoupling was poor in the FWP and OPCCSP. The decoupling states were primarily influenced by industrial structure, energy consumption, and urbanization. (3) The decoupling of air pollution from socio-economic growth was in a strong decoupling state throughout the majority of the study period, achieving a comparatively ideal decoupling state in 2018. However, the overall decoupling states of the seven regions were not sustainable, and the decoupling stability was relatively poor. During the research period, the decoupling state between socio-economic growth and air pollution changed and was unstable. Full article
(This article belongs to the Section Environmental Sustainability and Applications)
Show Figures

Figure 1

18 pages, 22255 KB  
Article
Characterization of Spatial and Temporal Variations in Air Pollutants and Identification of Health Risks in Xi’an, a Heavily Polluted City in China
by Li Han and Yongjie Qi
Atmosphere 2024, 15(6), 716; https://doi.org/10.3390/atmos15060716 - 14 Jun 2024
Cited by 2 | Viewed by 1384
Abstract
The study of the temporal and spatial characteristics of air pollutants in heavily polluted cities is extremely important for analyzing the causes of pollution and achieving a viable means of control. Such characteristics in the case of Xi’an, a typical heavily polluted city [...] Read more.
The study of the temporal and spatial characteristics of air pollutants in heavily polluted cities is extremely important for analyzing the causes of pollution and achieving a viable means of control. Such characteristics in the case of Xi’an, a typical heavily polluted city in Fenwei Plain, China, have remained unclear due to limitations in data accuracy and research methods. The monthly, daily, and hourly patterns of O3 and particulate matter (PM2.5 and PM10) are analyzed in this study using on-site data provided by an urban air quality monitoring network. The analysis of variance (ANOVA) method was used to compare differences in pollutant concentrations during different seasons and time periods. The spatial distributions of O3, PM2.5, and PM10 at different time points following interpolation of the air quality monitoring sites have been analyzed. The results show that the O3 concentration from 12 p.m. to 3 p.m. was significantly higher than that in the morning and evening, and the concentrations of PM2.5 and PM10 from 7 p.m. to 10 p.m. were significantly higher than those in the morning and afternoon. The number of qualified days for PM2.5 was less than 30 and unqualified days for O3 was more than 100 in 2019. There is a potential risk of exposure to pollution with associated health risks. Even on the same day, the spatial pollutant distributions at different time points can differ significantly. This study provides a scientific basis for reducing O3 and particulate matter exposure. Outdoor activities in the morning in summer are more beneficial to reduce O3 exposure, and outdoor activities should be curtailed in the evening in winter to reduce particulate exposure. This study provides a scientific basis for the government to formulate public health policies to reduce pollution exposure from outdoor activities. Full article
(This article belongs to the Section Air Quality and Health)
Show Figures

Figure 1

24 pages, 7888 KB  
Article
Analyses and Simulations of PM2.5 Pollution Characteristics under the Influence of the New Year’s Day Effects in China
by Qiao Shi, Tangyan Hou, Chengli Wang, Zhe Song, Ningning Yao, Yuhai Sun, Boqiong Jiang, Pengfei Li, Zhibin Wang and Shaocai Yu
Atmosphere 2024, 15(5), 568; https://doi.org/10.3390/atmos15050568 - 3 May 2024
Viewed by 2345
Abstract
Regional haze often occurs after the New Year holiday. To explore the characteristics of PM2.5 pollutions under the influence of the New Year’s Day effect, this study analyzed the spatiotemporal changes relating to PM2.5 during and around the New Year’s Day [...] Read more.
Regional haze often occurs after the New Year holiday. To explore the characteristics of PM2.5 pollutions under the influence of the New Year’s Day effect, this study analyzed the spatiotemporal changes relating to PM2.5 during and around the New Year’s Day holiday in China from 2015 to 2022, and used the Weather Research and Forecasting-Community Multiscale Air Quality (WRF-CMAQ) model to study the effects of human activities and meteorological factors on PM2.5 pollutions, as well as the differences in the contributions of different industries to PM2.5 pollutions. The results show that for the entire study period (i.e., before, during, and after the New Year’s Day holiday) from 2015 to 2022, the average concentrations of PM2.5 in China decreased by 41.9% overall. In 2019~2022, the New Year’s Day effect was significant, meaning that the average concentrations of PM2.5 increased by 18.9~46.8 μg/m3 from before to after the New Year’s Day holiday, with its peak occurring (64.3~74.9 μg/m3) after the holiday. In terms of spatial differences, the average concentrations of PM2.5 were higher in the Beijing–Tianjin–Hebei region, the Yangtze River Delta, and central China. Moreover, the Beijing–Tianjin–Hebei region and its surrounding areas, the Chengdu–Chongqing region, the Fenwei Plain, and the middle reaches of the Yangtze River region were greatly affected by the New Year’s Day effect. Human activities led to higher increases in PM2.5 in Henan, Hubei, Hebei, and Anhui on 3 and 4 January 2022. If the haze was accompanied by cloudy days or weak precipitation, the accumulation of surface water vapor and atmospheric aerosols further increased the possibility of heavy pollution. It was found that, for the entire study period, PM2.5 generated by residential sources contributed the vast majority (60~100 μg/m3) of PM2.5 concentrations, and that the main industry sources that caused changes in time distributions were industrial and transportation sources. Full article
(This article belongs to the Section Air Quality)
Show Figures

Figure 1

26 pages, 20736 KB  
Article
Estimation of Soil-Related Parameters Using Airborne-Based Hyperspectral Imagery and Ground Data in the Fenwei Plain, China
by Chenchen Jiang, Huazhong Ren, Zian Wang, Hui Zeng, Yuanjian Teng, Hongqin Zhang, Xixuan Liu, Dingjian Jin, Mengran Wang, Rongyuan Liu, Baozhen Wang and Jinshun Zhu
Remote Sens. 2024, 16(7), 1129; https://doi.org/10.3390/rs16071129 - 23 Mar 2024
Cited by 1 | Viewed by 2224
Abstract
Hyperspectral remote sensing technology is an advanced and powerful tool that enables fine identification of the numerous soil reflectance spectrum characteristics. Heavy metal(loid)s (HMs) are the primary pollutants affecting the soil biodiversity and ecosystem services. Estimating HMs’ concentrations in soils using hyperspectral data [...] Read more.
Hyperspectral remote sensing technology is an advanced and powerful tool that enables fine identification of the numerous soil reflectance spectrum characteristics. Heavy metal(loid)s (HMs) are the primary pollutants affecting the soil biodiversity and ecosystem services. Estimating HMs’ concentrations in soils using hyperspectral data is an effective method but is challenging due to the effects of varied soil properties and measurement-related errors inflicted by atmospheric effects. This study focused on typical mining areas in the Fenwei Plain (FWP), China. Soil-related data were collected by leveraging airborne- and ground-based integrated remote sensing observations. The concentrations of eight HMs, namely copper (Cu), lead (Pb), zinc (Zn), nickel (Ni), chromium (Cr), cadmium (Cd), arsenic (As), and mercury (Hg), were measured by laboratory analysis from 100 in situ soil samples. Soil reflectance spectra were processed based on resampling and envelope methods. The combination datasets of the concentrations and optimal soil reflectance spectra were used to build the soil-related parameter retrieval models using three machine learning (ML) methods, and the feasibility of applying the high-performance retrieval model to estimate the HM concentrations in mining areas was evaluated and explored. Spectral analysis results show that four hundred and twenty-eight bands of five wavelength ranges are of high quality and obviously demonstrate the spectral characteristics selected to build the soil-related parameter models. The evaluation results of eight combination data subsets and three methods show that the preprocessing of spectral data (ground- and airborne-based reflectance) and soil samples with the random forest (RF) method can obtain higher accuracy than support vector machine (SVM) and partial least squares (PLS) methods, denoted as the AER-ACS-RF and GER-GCS-RF models (the average RMSE values of eight HMs were 2.61 and 2.53 mg/kg, respectively). The highest R2 values were observed in Cd and As, with an equal value of 0.98, followed by that of Pb (R2 = 0.97). The relative prediction deviation (RPD) values of Cu and AS were greater than 1.9. Moreover, the airborne-based AER-ACS-RF model presents a good mapping effect about the concentrations (mg/kg) of eight HMs in mining areas, ranging from 21.65 to 31.25 (Cu), 16.38 to 30.45 (Pb), 62.02 to 109.48 (Zn), 23.33 to 32.47 (Ni), 49.81 to 66.56 (Cr), 0.09 to 0.23 (Cd), 7.31 to 12.24 (As), and 0.03 to 0.17 (Hg), respectively. Full article
Show Figures

Figure 1

15 pages, 4134 KB  
Article
An Assessment Framework for Mapping the Air Purification Service of Vegetation at the Regional Scale
by Yu Liu, Wudong Zhao, Liwei Zhang, Xupu Li, Lixian Peng, Zhuangzhuang Wang, Yongyong Song, Lei Jiao and Hao Wang
Forests 2024, 15(2), 391; https://doi.org/10.3390/f15020391 - 19 Feb 2024
Cited by 7 | Viewed by 1993
Abstract
Efficiently mitigating the severe air pollution resulting from rapid progress is crucial for the sustainable development of the socio-ecological system. Recently, concerns about nature-based solutions have emerged in the research on the treatment of air pollution. Studies on the purification of PM2.5 [...] Read more.
Efficiently mitigating the severe air pollution resulting from rapid progress is crucial for the sustainable development of the socio-ecological system. Recently, concerns about nature-based solutions have emerged in the research on the treatment of air pollution. Studies on the purification of PM2.5 using vegetation currently concentrate on the individual scale of tree species or urban vegetation, ignoring the regional scale, which could better assist ecological governance. Therefore, taking the Fenwei Plain of China as the study area, an assessment framework of the air purification service’s spatial distribution reflecting regional vegetation was constructed. The dry deposition model and GeoDetector were used to quantify the spatial-temporal pattern and explore natural driving factors on the removal of PM2.5. The results showed that (1) the PM2.5 purification services offered by various types of vegetation exhibit notable variations. The average removal rates of PM2.5 by vegetation were 0.186%, 0.243%, and 0.435% in 2000, 2010, and 2021, respectively. (2) Meanwhile, a wide range of spatial mismatch exists between the PM2.5 concentration and PM2.5 removal. Insufficient supply regions of PM2.5 purification services account for 50% of the Fenwei Plain. (3) PM2.5 removal was strongly influenced by the types of vegetation and the Normalized Vegetation Index (NDVI), followed by the Digital Elevation Model (DEM), and less affected by meteorological factors; a strong joint effect was shown among the factors. The findings in this research provide a new perspective on regional air pollution management at the regional scale. Full article
(This article belongs to the Special Issue Urban Forests and Human Health)
Show Figures

Figure 1

21 pages, 10108 KB  
Article
Change Trend and Attribution Analysis of Reference Evapotranspiration under Climate Change in the Northern China
by Daxin Guo, Jørgen Eivind Olesen, Kiril Manevski, Johannes W. M. Pullens, Aoxiang Li and Enke Liu
Agronomy 2023, 13(12), 3036; https://doi.org/10.3390/agronomy13123036 - 11 Dec 2023
Cited by 5 | Viewed by 2017
Abstract
Reference evapotranspiration (ET0), an essential variable used to estimate crop evapotranspiration, is expected to change significantly under climate change. Detecting and attributing the change trend in ET0 to underlying drivers is therefore important to the adoption of agricultural water management [...] Read more.
Reference evapotranspiration (ET0), an essential variable used to estimate crop evapotranspiration, is expected to change significantly under climate change. Detecting and attributing the change trend in ET0 to underlying drivers is therefore important to the adoption of agricultural water management under climate change. In this study, we focus on a typical agricultural region of the Fenwei Plain in northern China and use the Mann–Kendall test and contribution rate to detect the change and trend in ET0 at annual and seasonal scales and determine the major contribution factors to ET0 change for the baseline period (1985–2015) and the future period (2030–2060) based on high-resolution gridded data and climatic data from the Coupled Model Intercomparison Project Phase 6 (CMIP6). The results indicate that the annual ET0 of the Fenwei Plain showed a significant decreasing trend in the baseline period but insignificant and significant increasing trends in the future period under the SSP245 and SSP585 scenarios, respectively. The annual ET0 of the plain under the SSP245 and SSP585 scenarios increase by 4.6% and 3.0%, respectively, compared to the baseline period. The change and trend in ET0 between the four seasons are different in the baseline and future periods. Winter and autumn show clear increases in ET0. VPD is the major contribution factor to the ET0 change in the plain. The change in ET0 is mainly driven by the climatic variables that change the most rather than by the climatic variables that are the most sensitive to the ET0 change. The change and trend in ET0 in the plain showed clear spatial differences, especially between the eastern and western area of the plain. To adapt to the impact of climate change on ET0, the irrigation schedule of the crops cultivated in the plain, the cropping system and management of the irrigation district in the plain need to be adjusted according to the change characteristics of spatial and temporal ET0 in the future. These results contribute to understanding the impacts of climate change on evapotranspiration in the study region and provide spatial and temporal references for adaptation in managing agricultural water use and crop cultivation under climate change. Full article
Show Figures

Figure 1

20 pages, 6788 KB  
Article
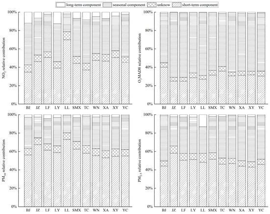
Analysis of the Trend Characteristics of Air Pollutants in the Fenwei Plain Based on the KZ Filter
by Xuhui Xia, Tianzhen Ju, Bingnan Li, Cheng Huang, Jiaming Zhang, Shengtong Lei and Xiaowen Niu
Atmosphere 2023, 14(12), 1785; https://doi.org/10.3390/atmos14121785 - 3 Dec 2023
Cited by 1 | Viewed by 1932
Abstract
In order to improve air quality, China has implemented a series of the most stringent control measures ever in recent years. Quantitatively analyzing the contribution of emissions to the trend change in air pollutants is an essential scientific basis for verifying the effectiveness [...] Read more.
In order to improve air quality, China has implemented a series of the most stringent control measures ever in recent years. Quantitatively analyzing the contribution of emissions to the trend change in air pollutants is an essential scientific basis for verifying the effectiveness of air pollution control. We based our study on the air quality online monitoring data and meteorological element data of 11 cities in the Fenwei Plain from 2018 to 2022. We quantitatively investigated the changing patterns of NO2, O3, PM10, and PM2.5 and their influencing factors in the major cities of the Fenwei Plain by using the KZ filtering and MLR modeling analysis methods. The results show the following: (1) The long-term fractions of NO2, PM10, and PM2.5 in the Fenwei Plain decreased by 10.5, 33.1, and 17.1 μg·m−3, with decreases of 25.8%, 29%, and 28.8%, respectively, from 2018 to 2022. The long-term fractions of O3 showed the characteristics of decreasing and then increasing, with 2020 as the dividing line. (2) The short-term components of NO2, PM10, and PM2.5 contributed the most to the total variance, with the proportion of short-term components ranging from 34.7% to 69.8%, 53% to 73%, and 43% to 58%, respectively. The seasonal components of O3 contributed the most to the total variance, with the proportion of short-term components ranging from 54% to 70.7%. (3) Most cities in the Fenwei Plain had unfavorable meteorological conditions with regard to NO2, PM10, and PM2.5 in 2018–2020 and favorable meteorological conditions in terms of NO2, PM10, and PM2.5 in 2020–2022. O3 showed different characteristics from the other three pollutants. Most cities in the Fenwei Plain had meteorological conditions in 2018–2019 that were unfavorable for improving O3 levels. In 2019–2021, meteorological conditions were favorable for improving O3 levels, while in 2021–2022, meteorological conditions were unfavorable for improving O3 levels. Full article
(This article belongs to the Section Air Quality)
Show Figures

Figure 1

21 pages, 1783 KB  
Article
Spatial Characteristics and Influencing Factors of Green Development Progress Level of Private Enterprises in China: Based on Large Collection Surveys
by Bing Rong, Chentao Zhang, Shuhao Yang, Tongyi Liu and Chengjun Chu
Sustainability 2023, 15(15), 11734; https://doi.org/10.3390/su151511734 - 30 Jul 2023
Cited by 2 | Viewed by 1699
Abstract
As the market subject of China’s economic development, private enterprises play an important role in fighting against pollution and solving ecological and environmental problems. It is especially important to evaluate the green development progress of Chinese private enterprises in the epidemic era. This [...] Read more.
As the market subject of China’s economic development, private enterprises play an important role in fighting against pollution and solving ecological and environmental problems. It is especially important to evaluate the green development progress of Chinese private enterprises in the epidemic era. This paper conducts a questionnaire survey on 10,623 private enterprises in 31 provinces of China, and based on 6223 industrial survey results, it focuses on the production and operation status of private enterprises in terms of pollution reduction performance, energy saving, and carbon reduction intensity in order to construct a green development progress index. The spatial Moran index test and the spatial Durbin model are used to analyze the regional correlations and influencing factors of green development progress in China. The results show that the green development of enterprises with a main business income of more than 100 million CNY and key areas such as Fenwei Plain have improved significantly in 2021, especially with the increase in a private enterprise scale, the carbon reduction regime, the pollution abatement regime, and the pollution control manner, and because the investment, profitability, and pollution discharge of private enterprises is more significant. The indexes of the provinces in the southeast coastal area and the northeastern region of China are the highest and lowest, respectively, in terms of pollution, which is demonstrated by the spatial aggregation effect on the surrounding areas by Moran local index analysis. The urbanization level and government financial support for environmental protection are just two of the negative factors regarding this issue, while the economic development level and industrial structure are positive factors that have a spatial spillover effect. Full article
Show Figures

Graphical abstract

Back to TopTop