Analysis of the Trend Characteristics of Air Pollutants in the Fenwei Plain Based on the KZ Filter
Abstract
:1. Introduction
2. Overview of the Study Area
3. Data Sources
4. Research Methods
4.1. Kolmogorov–Zurbenko Filter
4.2. Multiple Linear Regression
5. Results and Discussion
5.1. Trend Changes in the Original Series, Short-Term Components, Long-Term Components, and Seasonal Components
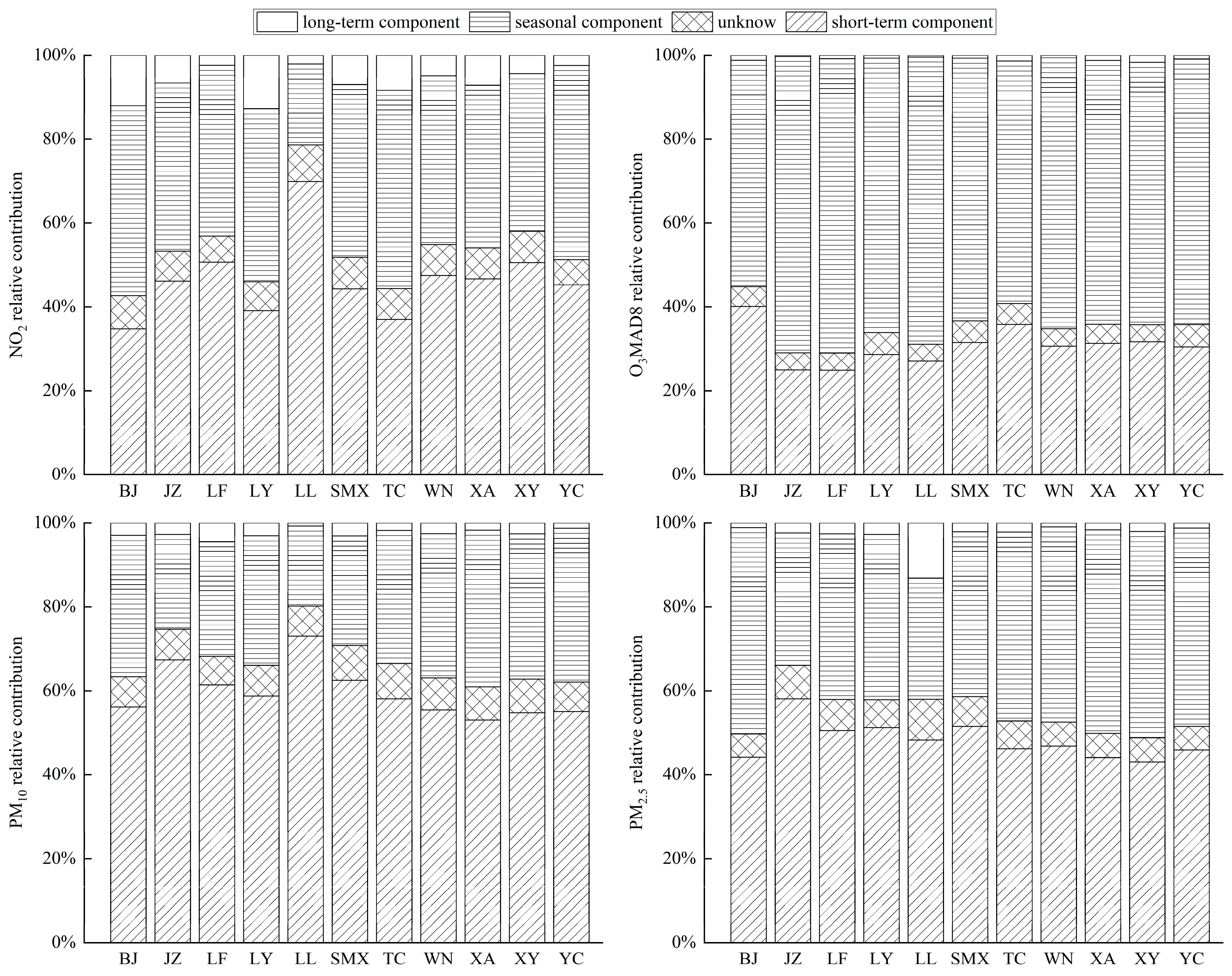
5.2. Relative Contribution of Long-Term, Short-Term, Seasonal, and Unknown Components of the Pollutants
5.3. Trend of NO2 Concentration Change, Meteorological Effect, and Anthropogenic Discharge Contribution
5.4. Trend of O3 Concentration Change, Meteorological Effect, and Anthropogenic Discharge Contribution
5.5. Trend of PM10 Concentration Change, Meteorological Effect, and Anthropogenic Discharge Contribution
5.6. Trend of PM2.5 Concentration Change, Meteorological Effect, and Anthropogenic Discharge Contribution
6. Conclusions
Author Contributions
Funding
Institutional Review Board Statement
Informed Consent Statement
Data Availability Statement
Acknowledgments
Conflicts of Interest
References
- Sheng, L.; Miao, Y.; Xu, Q.; Yang, W. Dialogue with Huang Shunxiang: Approaching China’s air pollution prevention and control. Chin. Sci. Bull. 2018, 63, 1515–1518. Available online: https://kns.cnki.net/kcms2/article/abstract?v=tYqgYjzYKsDOWn-yhEDEYQJrQuG8xNM3sm_KCttgKtSmDGuTaSJvq1_M_JtEx43-wlkBdspgD90yIY9MwOlO7eTvUn-qncQWhShOpI7DowOTbWrjMMvIiuIuv3fYRFXvUxfpXZaKS0Wp0gb6amzdtA==&uniplatform=NZKPT&language=CHS (accessed on 28 October 2023).
- Zheng, B.; Tong, D.; Li, M.; Liu, F.; Hong, C.; Geng, G.; Li, H.; Li, X.; Peng, L.; Qi, J.; et al. Trends in China’s anthropogenic emissions since 2010 as the consequence of Clean Air Actions. Atmos. Chem. Phys. 2018, 18, 14095–14111. [Google Scholar] [CrossRef]
- Chen, Z.; Xie, X.; Cai, J.; Chen, D.; Gao, B.; He, B.; Cheng, N.; Xu, B. Understanding meteorological influences on PM2.5 concentrations across China: A temporal and spatial perspective. Atmos. Chem. Phys. 2018, 18, 5343–5358. [Google Scholar] [CrossRef]
- Zhong, Q.; Ma, J.; Shen, G.; Shen, H.; Zhu, X.; Yun, X.; Meng, W.; Cheng, H.; Liu, J.; Li, B.; et al. Distinguishing emission-associated ambient air PM2.5 concentrations and meteorological factor-induced fluctuations. Environ. Sci. Technol. 2018, 52, 10416–10425. [Google Scholar] [CrossRef] [PubMed]
- Cheng, J.; Su, J.; Cui, T.; Li, X.; Dong, X.; Sun, F.; Yang, Y.; Tong, D.; Zheng, Y.; Li, Y.; et al. Dominant role of emission reduction in PM2.5 Air Quality Improvement in Beijing during 2013–2017: A model-based decomposition analysis. Atmos. Chem. Phys. 2019, 19, 6125–6146. [Google Scholar] [CrossRef]
- Ding, A.; Huang, X.; Nie, W.; Chi, X.; Xu, Z.; Zheng, L.; Xu, Z.; Xie, Y.; Qi, X.; Shen, Y.; et al. Significant reduction of PM2.5 in eastern China due to regional-scale emission control: Evidence from SORPES in 2011–2018. Atmos. Chem. Phys. 2019, 19, 11791–11801. [Google Scholar] [CrossRef]
- Zhan, Q.; Zhang, Y.; Chen, H.; Zhang, K.; Ge, X. Trend Analysis of Atmospheric Particulate Matter over the Beijing-Tianjin-Hebei Region During 2015–2021 Using the KZ Filtering Approach. J. Ecol. Rural Environ. 2023, 39, 1133–1143. Available online: https://kns.cnki.net/kcms2/article/abstract?v=3uoqIhG8C44YLTlOAiTRKu87-SJxoEJu6LL9TJzd50k4bCTS-hFwN6YJ_IaCQ7jyu73Jzo922-l8p_fjrVytQIQNCmeFsPWz&uniplatform=NZKPT (accessed on 28 October 2023).
- Zhai, S.; Jacob, D.J.; Wang, X.; Shen, L.; Li, K.; Zhang, Y.; Gui, K.; Zhao, T.; Liao, H. Fine particulate matter (PM2.5) trends in China, 2013–2018: Separating contributions from Anthropogenic Emissions and Meteorology. Atmos. Chem. Phys. 2019, 19, 11031–11041. [Google Scholar] [CrossRef]
- Fang, C.; Qiu, J.; Li, J.; Wang, J. Analysis of the meteorological impact on PM2.5 pollution in Changchun based on KZ filter and WRF-CMAQ. Atmos. Environ. 2021, 271, 118924. [Google Scholar] [CrossRef]
- Chen, H.; Zhang, Y.; Zhan, Q.; Zhang, K.; Gai, X. Characterization of atmospheric particulate matter trends in the Yangtze River Delta from 2015 to 2021 based on KZ filtering approach analysis. Acta Sci. Circumstantiae 2023, 43, 102–110. Available online: https://kns.cnki.net/kcms2/article/abstract?v=3uoqIhG8C44YLTlOAiTRKibYlV5Vjs7ioT0BO4yQ4m_mOgeS2ml3UECALXHTRoFZr3ZmDdQ7cJIRBjrl6duOPIDxqeDeNEPb&uniplatform=NZKPT (accessed on 28 October 2023).
- Xu, D.; Wang, J.; Yuan, Z.; Huang, J.; Zhao, K.; Zhao, Y. Temporal-spatial variations, source apportionment, and formation mechanisms of PM2.5 pollution over Fenwei Plain, China. Acta Sci. Circumstantiae 2021, 41, 1184–1198. Available online: https://kns.cnki.net/kcms2/article/abstract?v=3uoqIhG8C44YLTlOAiTRKibYlV5Vjs7iy_Rpms2pqwbFRRUtoUImHaNWtKoGg2tLlEWTxBQb-ge-m5ixrSS1fyXySrn91A6y&uniplatform=NZKPT (accessed on 28 October 2023).
- Cao, J.J.; Cui, L. Current status, characteristics and causes of particulate air pollution in the Fenwei Plain, China: A Review. J. Geophys. Res. Atmos. 2021, 126, e2020jd034472. [Google Scholar] [CrossRef]
- Huang, X.-G.; Zhao, J.-B.; Sun, C.-J.; Tang, H.-L.; Liang, X.-Q. Orographic Influences on the Spatial Distribution of PM2.5 on the Fen-Wei Plain. Huan Jing ke Xue Huanjing Kexue 2021, 42, 4582–4592. Available online: https://kns.cnki.net/kcms2/article/abstract?v=3uoqIhG8C44YLTlOAiTRKibYlV5Vjs7iy_Rpms2pqwbFRRUtoUImHcoCqFf3jhsIZ1pcBvI219TUFgylbz_spqPFP_UD6GSS&uniplatform=NZKPT (accessed on 28 October 2023). [CrossRef] [PubMed]
- Zhao, Y.; Yang, T.; Wang, Z.; He, L.; Wu, L.; Cui, Y. Effectiveness of Air Pollution Control Efforts in Beijing–Tianjin–Hebei Region during 2013–2018 Based on the Kolmogorov–Zurbenko Filter. Clim. Environ. Res. 2020, 25, 499–509. Available online: https://kns.cnki.net/kcms2/article/abstract?v=3uoqIhG8C44YLTlOAiTRKibYlV5Vjs7i8oRR1PAr7RxjuAJk4dHXogtAEVH7LBKt5I_vt-tAQ0qU6fgtWMQqQPUjHL213qlL&uniplatform=NZKPT (accessed on 28 October 2023).
- Rao, S.T.; Zurbenko, I.G. Detecting and tracking changes in Ozone Air Quality. Air Waste 1994, 44, 1089–1092. [Google Scholar] [CrossRef]
- Kumari, S.; Jayaraman, G.; Ghosh, C. Analysis of long-term ozone trend over Delhi and its meteorological adjustment. Int. J. Environ. Sci. Technol. 2013, 10, 1325–1336. [Google Scholar] [CrossRef]
- Seo, J.; Youn, D.; Kim, J.Y.; Lee, H. Extensive spatiotemporal analyses of surface ozone and related meteorological variables in South Korea for the period 1999–2010. Atmos. Chem. Phys. 2014, 14, 6395–6415. [Google Scholar] [CrossRef]
- Seo, J.; Park, D.-S.R.; Kim, J.Y.; Youn, D.; Bin Lim, Y.; Kim, Y. Effects of meteorology and emissions on Urban Air Quality: A quantitative statistical approach to long-term records (1999–2016) in Seoul, South Korea. Atmos. Chem. Phys. 2018, 18, 16121–16137. [Google Scholar] [CrossRef]
- Milanchus, M.L.; Rao, S.T.; Zurbenko, I.G. Evaluating the effectiveness of ozone management efforts in the presence of meteorological variability. J. Air Waste Manag. Assoc. 1998, 48, 201–215. [Google Scholar] [CrossRef]
- Rao, S.T.; Zurbenko, I.G.; Neagu, R.; Porter, P.S.; Ku, J.Y.; Henry, R.F. Space and time scales in ambient ozone data. Bull. Am. Meteorol. Soc. 1997, 78, 2153–2166. [Google Scholar] [CrossRef]
- Sá, E.; Tchepel, O.; Carvalho, A.; Borrego, C. Meteorological driven changes on air quality over Portugal: A KZ filter application. Atmospheric Pollut. Res. 2015, 6, 979–989. [Google Scholar] [CrossRef]
- Tsakiri, K.G.; Zurbenko, I.G. Prediction of ozone concentrations using atmospheric variables. Air Qual. Atmosphere Health 2010, 4, 111–120. [Google Scholar] [CrossRef]
- Wang, T.; Xue, L.; Brimblecombe, P.; Lam, Y.F.; Li, L.; Zhang, L. Ozone pollution in China: A review of concentrations, meteorological influences, chemical precursors, and effects. Sci. Total. Environ. 2017, 575, 1582–1596. [Google Scholar] [CrossRef]
- Flaum, J.B.; Rao, S.T.; Zurbenko, I.G. Moderating the influence of meteorological conditions on ambient ozone concentrations. J. Air Waste Manag. Assoc. 1996, 46, 35–46. [Google Scholar] [CrossRef] [PubMed]
- Wise, E.K.; Comrie, A.C. Extending the kolmogorov–zurbenko filter: Application to ozone, particulate matter, and meteorological trends. J. Air Waste Manag. Assoc. 2005, 55, 1208–1216. [Google Scholar] [CrossRef] [PubMed]
- Ye, Q.; Zheng, X.; Zhao, S. Monitoring and transport path analysis of an intense dust weather process in2021. Natl. Remote Sens. Bull. 2023, 27, 1821–1833. Available online: https://kns.cnki.net/kcms2/article/abstract?v=3uoqIhG8C44YLTlOAiTRKu87-SJxoEJu6LL9TJzd50nPGuu_o6kNAei8vnHrsslRZySnAUsrjKOP8dcHo267Q-5P7dDYCC4E&uniplatform=NZKPT (accessed on 28 October 2023).
- Zhang, Y.-L.; Cao, F. Fine particulate matter (PM2.5) in China at a city level. Sci. Rep. 2015, 5, 14884. [Google Scholar] [CrossRef]
- Bai, H.; Shi, H.; Gao, Q.; Li, X.C.; Di, R.Q.; Wu, Y.H. Re-Ordination of Air Pollution Indices of Some Typical Cities in Beijing-Tianjin-Hebei Region Based on Meteoro-logical Adjustment. J. Ecol. Rural Environ. 2015, 31, 44–49. Available online: https://kns.cnki.net/kcms2/article/abstract?v=3uoqIhG8C44YLTlOAiTRKibYlV5Vjs7ir5D84hng_y4D11vwp0rrtT5bDLA779dDLkhHgb6Uspa6OuUs2FenvSUxwcAz_WoS&uniplatform=NZKPT (accessed on 28 October 2023).
- Gao, J.; Zhu, B.; Wang, D.; Wang, F. The variation of air pollutants and the impact of long-range transport in the northern suburb of Nanjing. Acta Sci. Circumstantiae 2012, 32, 1149–1159. Available online: https://kns.cnki.net/kcms2/article/abstract?v=3uoqIhG8C44YLTlOAiTRKgchrJ08w1e7fm4X_1ttJAm1zXj_NJIsHgaGt3b36IMyy_jNKhuk0GTn_gZo9WHmkH30o0DZgOyC&uniplatform=NZKPT (accessed on 28 October 2023).
- Gao, X.; Pei, K.; Wang, S.; Yan, S.; Wang, Y.; Jiang, Y. Analysis on the potential source and transmission channel of particulate matter in Lüliang City, Fenwei Plain. China Environ. Sci. 2022, 42, 2988–2999. Available online: https://kns.cnki.net/kcms2/article/abstract?v=Pk5Eu7LuuI54IZ4mcuXrTjO2GLh16g4I-zCCOtvhuayLtlrftZSh927C4e2k3Jqy-in_Y75VuKNvcvqFQyPAR4sryhPY0NaqJoVK0R7CiZR-kb0o3KnTy_LTy2raArk3msET2sacetxRoUyzGybIig==&uniplatform=NZKPT&language=CHS (accessed on 28 October 2023).
- Monks, P.S. A review of the observations and origins of the Spring Ozone Maximum. Atmos. Environ. 2000, 34, 3545–3561. [Google Scholar] [CrossRef]
- Hu, L.; Cheng, L.; Wang, Q.; Hu, S.; Lin, Y. Analysis of ozone concentration characteristics and key meteorological factors in Xi’an. J. Arid. Land Resour. Environ. 2021, 35, 102–109. Available online: https://kns.cnki.net/kcms2/article/abstract?v=Jk1LZv7y6P1fmgJ3wRLdh0SN6FlRIj03pgBwdXsvxUHtWsoWTJr8TmZ_0uRakLMibdlDb8AOH3PRR9wiSI5Ma3pwC-k3zn1egCxXtEikIsstkuk87nd9H0iYoOogmqTHgcDlvF5n0fywG0fXUiNZBg==&uniplatform=NZKPT&language=CHS (accessed on 28 October 2023).
- Zheng, H.; Kong, S.; Zheng, M.; Yan, Y.; Yao, L.; Zheng, S.; Yan, Q.; Wu, J.; Cheng, Y.; Chen, N.; et al. A 5.5-year observations of Black Carbon Aerosol at a megacity in central China: Levels, sources, and variation trends. Atmos. Environ. 2020, 232, 117581. [Google Scholar] [CrossRef]
- Ma, Z.; Xu, J.; Quan, W.; Zhang, Z.; Lin, W.; Xu, X. Significant increase of surface ozone at a rural site, north of Eastern China. Atmos. Chem. Phys. 2016, 16, 3969–3977. [Google Scholar] [CrossRef]
- Zhang, J.; Guo, Y.; Xiao, S.; Du, T.; Zheng, H.; Liu, H.; Wang, L.; He, Y. The temporal and spatial characteristics of ambient air guality in Shaanxi. J. Desert Res. 2023, 43, 36–46. Available online: https://kns.cnki.net/kcms2/article/abstract?v=Jk1LZv7y6P0ugAFWUxopSUkWZi81dhHXHNv6qK4eN8OZn_oni1H1PXeeVZMyzo8rEI0_5auDfaLE-OLnvWAdBoebDChfSIvzgsyZwWYUBPnTemXj8PE9q2GZ76n2uGmq7kldAK5ER3Huev_KfW_aRQ==&uniplatform=NZKPT&language=CHS (accessed on 28 October 2023).
- Cai, S.; Wang, Y.; Zhao, B.; Wang, S.; Chang, X.; Hao, J. The impact of the “Air Pollution Prevention and Control Action Plan” on PM2.5 concentrations in Jing-jin-ji region during 2012–2020. Sci. Total Environ. 2017, 580, 197–209. [Google Scholar] [CrossRef] [PubMed]
- Yu, Y.; Meng, X.; Wang, Z.; Zhou, W.; Yu, H.X. Driving Factors of the Significant Increase in Surface Ozone in the BeijingTianjin-Hebei Region, China, During 2013–2018. Environ. Sci. 2020, 41, 106–114. Available online: https://kns.cnki.net/kcms2/article/abstract?v=3uoqIhG8C44YLTlOAiTRKibYlV5Vjs7i8oRR1PAr7RxjuAJk4dHXot2dUe_qs-OAgXq5p_cFNrNkFyc1-JaYxQ8fwD_6nlrn&uniplatform=NZKPT (accessed on 28 October 2023).
- Qin, R.; Zhang, J.; Wang, Y.; Mao, J.; Zhang, H.; Sun, Y.; Chen, L.; Gao, S. Study on different time scales of PM2.5 and O3 concentrations in Hebei Province based on KZ filter. Acta Sci. Circumstantiae 2019, 39, 821–831. Available online: https://kns.cnki.net/kcms2/article/abstract?v=3uoqIhG8C44YLTlOAiTRKibYlV5Vjs7iLik5jEcCI09uHa3oBxtWoBWpHMNPzZR6HOwAoubvlizFTqnG2zJfGKpFUj8JbSzu&uniplatform=NZKPT (accessed on 28 October 2023).







| City | NO2 in 2018 | NO2 in 2022 | NO2 Decrease Rate | Adjusted NO2 in 2018 | Adjusted NO2 in 2022 | Adjusted NO2 Decrease Rate | Relative Impact of Meteorological Variations (%) | Relative Impact of Emission Reduction (%) | Long-Term Decline Rate of NO2 Concentration |
|---|---|---|---|---|---|---|---|---|---|
| LL | 43.43 | 38.79 | 4.64 | 43.46 | 38.58 | 4.88 | −5.15% | 105.15% | 10.68% |
| JZ | 41.39 | 31.78 | 9.61 | 42.30 | 32.19 | 10.11 | −5.23% | 105.23% | 23.22% |
| LF | 38.26 | 31.57 | 6.70 | 38.53 | 32.21 | 6.32 | 5.65% | 94.35% | 17.51% |
| YC | 28.44 | 20.58 | 7.86 | 29.47 | 22.14 | 7.32 | 6.83% | 93.17% | 27.64% |
| BJ | 38.93 | 27.47 | 11.46 | 38.57 | 28.31 | 10.25 | 10.54% | 89.46% | 29.44% |
| TC | 33.89 | 25.31 | 8.58 | 33.56 | 27.19 | 6.37 | 25.72% | 74.28% | 25.32% |
| XY | 47.39 | 35.47 | 11.92 | 45.96 | 38.04 | 7.92 | 33.56% | 66.44% | 25.15% |
| WN | 46.95 | 35.08 | 11.88 | 46.89 | 36.12 | 10.77 | 9.34% | 90.66% | 25.30% |
| SMX | 36.41 | 24.07 | 12.34 | 36.45 | 25.87 | 10.57 | 14.29% | 85.71% | 33.89% |
| LY | 40.08 | 25.24 | 14.84 | 40.73 | 26.40 | 14.33 | 3.41% | 96.59% | 37.03% |
| XA | 52.40 | 37.27 | 15.13 | 52.23 | 39.22 | 13.02 | 13.99% | 86.01% | 28.87% |
| City | O3 in 2018 | O3 in 2022 | O3 Decrease Rate | Adjusted O3 in 2018 | Adjusted O3 in 2022 | Adjusted O3 Decrease Rate | Relative Impact of Meteorological Variations (%) | Relative Impact of Emission Reduction (%) | Long-Term Decline Rate of O3 Concentration |
|---|---|---|---|---|---|---|---|---|---|
| LL | 101.92 | 92.78 | 9.14 | 98.30 | 90.22 | 8.08 | 11.57% | 88.43% | 8.97% |
| JZ | 115.69 | 113.72 | 1.97 | 110.24 | 111.61 | −1.37 | 169.49% | −69.49% | 1.70% |
| LF | 128.90 | 113.96 | 14.94 | 123.77 | 109.32 | 14.45 | 3.29% | 96.71% | 11.59% |
| YC | 128.29 | 117.69 | 10.61 | 122.37 | 113.97 | 8.40 | 20.78% | 79.22% | 8.27% |
| BJ | 99.42 | 98.11 | 1.32 | 94.92 | 94.29 | 0.64 | 51.66% | 48.34% | 1.33% |
| TC | 114.51 | 107.46 | 7.05 | 109.75 | 102.28 | 7.47 | −5.93% | 105.93% | 6.16% |
| XY | 113.31 | 107.23 | 6.07 | 107.99 | 100.27 | 7.72 | −27.09% | 127.09% | 5.36% |
| WN | 104.02 | 107.87 | −3.85 | 102.66 | 102.30 | 0.36 | 109.36% | −9.36% | −3.70% |
| SMX | 113.26 | 111.30 | 1.96 | 113.36 | 105.22 | 8.13 | −314.22% | 414.22% | 1.73% |
| LY | 115.49 | 113.44 | 2.05 | 114.86 | 107.81 | 7.05 | −243.54% | 343.54% | 1.78% |
| XA | 104.91 | 104.42 | 0.49 | 99.19 | 99.20 | −0.01 | 102.81% | −2.81% | 0.47% |
| City | PM10 in 2018 | PM10 in 2022 | PM10 Decrease Rate | Adjusted PM10 in 2018 | Adjusted PM10 in 2022 | Adjusted PM10 Decrease Rate | Relative Impact of Meteorological Variations (%) | Relative Impact of Emission Reduction (%) | Long-Term Decline Rate of PM10 Concentration |
|---|---|---|---|---|---|---|---|---|---|
| LL | 102.34 | 83.96 | 18.38 | 99.04 | 90.19 | 8.85 | 51.84% | 48.16% | 17.96% |
| JZ | 112.94 | 80.41 | 32.53 | 109.46 | 85.30 | 24.16 | 25.75% | 74.25% | 28.80% |
| LF | 122.10 | 73.78 | 48.33 | 118.09 | 79.37 | 38.72 | 19.89% | 80.11% | 39.58% |
| YC | 112.18 | 85.30 | 26.88 | 111.47 | 92.13 | 19.33 | 28.08% | 71.92% | 23.96% |
| BJ | 102.51 | 69.97 | 32.55 | 96.97 | 77.04 | 19.93 | 38.77% | 61.23% | 31.75% |
| TC | 95.95 | 70.80 | 25.15 | 92.60 | 75.23 | 17.37 | 30.94% | 69.06% | 26.21% |
| XY | 132.19 | 96.52 | 35.67 | 126.35 | 104.27 | 22.08 | 38.09% | 61.91% | 26.98% |
| WN | 131.06 | 90.29 | 40.77 | 127.74 | 97.45 | 30.29 | 25.70% | 74.30% | 31.11% |
| SMX | 111.77 | 74.93 | 36.84 | 113.96 | 78.25 | 35.71 | 3.07% | 96.93% | 32.96% |
| LY | 115.27 | 78.74 | 36.53 | 115.37 | 83.73 | 31.64 | 13.38% | 86.62% | 31.69% |
| XA | 117.77 | 87.80 | 29.97 | 112.17 | 96.58 | 15.59 | 47.98% | 52.02% | 25.45% |
| City | PM2.5 in 2018 | PM2.5 in 2022 | PM2.5 Decrease Rate | Adjusted PM2.5 in 2018 | Adjusted PM2.5 in 2022 | Adjusted PM2.5 Decrease Rate | Relative Impact of Meteorological Variations (%) | Relative Impact of Emission Reduction (%) | Long-Term Decline Rate of PM2.5 Concentration |
|---|---|---|---|---|---|---|---|---|---|
| LL | 52.58 | 23.21 | 29.37 | 51.43 | 24.98 | 26.45 | 9.92% | 90.08% | 55.86% |
| JZ | 54.41 | 42.11 | 12.30 | 54.99 | 42.07 | 12.92 | −5.05% | 105.05% | 22.61% |
| LF | 70.37 | 45.31 | 25.07 | 69.55 | 48.27 | 21.27 | 15.12% | 84.88% | 35.63% |
| YC | 61.33 | 47.24 | 14.09 | 64.74 | 50.28 | 14.46 | −2.66% | 102.66% | 22.97% |
| BJ | 52.80 | 41.23 | 11.56 | 50.79 | 46.80 | 3.98 | 65.56% | 34.44% | 21.89% |
| TC | 49.64 | 34.95 | 14.69 | 49.33 | 39.82 | 9.51 | 35.22% | 64.78% | 29.59% |
| XY | 68.99 | 50.17 | 18.82 | 67.00 | 59.07 | 7.93 | 57.85% | 42.15% | 27.28% |
| WN | 59.65 | 48.86 | 10.79 | 57.98 | 54.18 | 3.80 | 64.75% | 35.25% | 18.09% |
| SMX | 59.06 | 42.18 | 16.88 | 61.46 | 43.95 | 17.51 | −3.77% | 103.77% | 28.58% |
| LY | 61.35 | 42.82 | 18.52 | 61.19 | 45.59 | 15.59 | 15.83% | 84.17% | 30.19% |
| XA | 61.62 | 45.72 | 15.90 | 60.20 | 52.42 | 7.78 | 51.08% | 48.92% | 25.80% |
Disclaimer/Publisher’s Note: The statements, opinions and data contained in all publications are solely those of the individual author(s) and contributor(s) and not of MDPI and/or the editor(s). MDPI and/or the editor(s) disclaim responsibility for any injury to people or property resulting from any ideas, methods, instructions or products referred to in the content. |
© 2023 by the authors. Licensee MDPI, Basel, Switzerland. This article is an open access article distributed under the terms and conditions of the Creative Commons Attribution (CC BY) license (https://creativecommons.org/licenses/by/4.0/).
Share and Cite
Xia, X.; Ju, T.; Li, B.; Huang, C.; Zhang, J.; Lei, S.; Niu, X. Analysis of the Trend Characteristics of Air Pollutants in the Fenwei Plain Based on the KZ Filter. Atmosphere 2023, 14, 1785. https://doi.org/10.3390/atmos14121785
Xia X, Ju T, Li B, Huang C, Zhang J, Lei S, Niu X. Analysis of the Trend Characteristics of Air Pollutants in the Fenwei Plain Based on the KZ Filter. Atmosphere. 2023; 14(12):1785. https://doi.org/10.3390/atmos14121785
Chicago/Turabian StyleXia, Xuhui, Tianzhen Ju, Bingnan Li, Cheng Huang, Jiaming Zhang, Shengtong Lei, and Xiaowen Niu. 2023. "Analysis of the Trend Characteristics of Air Pollutants in the Fenwei Plain Based on the KZ Filter" Atmosphere 14, no. 12: 1785. https://doi.org/10.3390/atmos14121785
APA StyleXia, X., Ju, T., Li, B., Huang, C., Zhang, J., Lei, S., & Niu, X. (2023). Analysis of the Trend Characteristics of Air Pollutants in the Fenwei Plain Based on the KZ Filter. Atmosphere, 14(12), 1785. https://doi.org/10.3390/atmos14121785

