Sign in to use this feature.

Years

Between: -

Subjects

remove_circle_outline
remove_circle_outline
remove_circle_outline
remove_circle_outline
remove_circle_outline
remove_circle_outline
remove_circle_outline
remove_circle_outline
remove_circle_outline

Journals

Article Types

Countries / Regions

Search Results (159)

Search Parameters:
Keywords = FOP

Order results
Result details
Results per page
Select all
Export citation of selected articles as:
31 pages, 12036 KB  
Article
Lavandula angustifolia Essential Oil as a Developmental Inhibitor of Candida Species and Biofilms
by Vanessa Bassinello, Marcelo Fabiano Gomes Boriollo, Janaina Priscila Barbosa, Wagner Luís de Carvalho Bernardo, Mateus Cardoso Oliveira, Carlos Tadeu dos Santos Dias and Cristina Paiva de Sousa
Antibiotics 2026, 15(1), 41; https://doi.org/10.3390/antibiotics15010041 - 1 Jan 2026
Viewed by 326
Abstract
Background: This research aimed to investigate the antifungal and antibiofilm action of Lavandula angustifolia essential oil (LaEO) against certain Candida species and its toxicity on human keratinocytes. Methods: The minimum inhibitory concentration (MIC) and sessile minimum inhibitory concentration (SMIC) of LaEO were both [...] Read more.
Background: This research aimed to investigate the antifungal and antibiofilm action of Lavandula angustifolia essential oil (LaEO) against certain Candida species and its toxicity on human keratinocytes. Methods: The minimum inhibitory concentration (MIC) and sessile minimum inhibitory concentration (SMIC) of LaEO were both determined by broth microdilution assays. The influence of LaEO treatment on the ultrastructural morphology of the biofilm and germ tubes was evaluated by scanning electron microscopy (SEM) and light microscopy. In vitro cytotoxicity studies were conducted using human HaCaT epidermal keratinocytes. Results: LaEO showed fungicidal action for all Candida species (125–4000 μg/mL). The SMIC>90 (C. albicans) ranged between 10,000 and 20,000 μg/mL and resulted in quantitative and qualitative cellular changes. LaEO also inhibited the developmental germ tube kinetics of C. albicans. The 50% cytotoxic concentration (CI50) for HaCaT cells was estimated at 420 μg/mL of LaEO, resulting in a selectivity index (SI) of 0.376 to 5.753 for planktonic cells and 0.056 to 0.321 for biofilm phases. Conclusions: LaEO was found to have antifungal action against Candida species and inhibited the pathogenic morphology of C. albicans. Its antibiofilm effects are comparable to the antifungal agent nystatin, and it can become an important component for the development of natural products applicable to alternative and complementary medicine and dentistry. Full article
(This article belongs to the Section Plant-Derived Antibiotics)
Show Figures

Figure 1

28 pages, 765 KB  
Systematic Review
Radiomic-Based Machine Learning Classifiers for HPV Status Prediction in Oropharyngeal Cancer: A Systematic Review and Meta-Analysis
by Anna Luíza Damaceno Araújo, Luiz Paulo Kowalski, Alan Roger Santos-Silva, Brendo Vinícius Rodrigues Louredo, Cristina Saldivia-Siracusa, Otávio Augusto A. M. de Melo, Deivid Cabral, Andrés Coca-Pelaz, Orlando Guntinas-Lichius, Remco de Bree, Pawel Golusinski, Karthik N. Rao, Robert P. Takes, Nabil F. Saba and Alfio Ferlito
Diagnostics 2026, 16(1), 68; https://doi.org/10.3390/diagnostics16010068 - 24 Dec 2025
Viewed by 438
Abstract
Background: The aim of the present systematic review (SR) is to compile evidence regarding the use of radiomic-based machine learning (ML) models for predicting human papillomavirus (HPV) status in oropharyngeal squamous cell carcinoma (OPSCC) patients and to assess their reliability, methodological frameworks, and [...] Read more.
Background: The aim of the present systematic review (SR) is to compile evidence regarding the use of radiomic-based machine learning (ML) models for predicting human papillomavirus (HPV) status in oropharyngeal squamous cell carcinoma (OPSCC) patients and to assess their reliability, methodological frameworks, and clinical applicability. The SR was conducted following PRISMA 2020 guidelines and registered in PROSPERO (CRD42025640065). Methods: Using the PICOS framework, the review question was defined as follows: “Can radiomic-based ML models accurately predict HPV status in OPSCC?” Electronic databases (Cochrane, Embase, IEEE Xplore, BVS, PubMed, Scopus, Web of Science) and gray literature (arXiv, Google Scholar and ProQuest) were searched. Retrospective cohort studies assessing radiomics for HPV prediction were included. Risk of bias (RoB) was evaluated using Prediction model Risk Of Bias ASsessment Tool (PROBAST), and data were synthesized based on imaging modality, architecture type/learning modalities, and the presence of external validation. Meta-analysis was performed for externally validated models using MetaBayesDTA and RStudio. Results: Twenty-four studies including 8627 patients were analyzed. Imaging modalities included computed tomography (CT), magnetic resonance imaging (MRI), contrast-enhanced computed tomography (CE-CT), and 18F-fluorodeoxyglucose positron emission tomography (18F-FDG PET). Logistic regression, random forest, eXtreme Gradient Boosting (XGBoost), and convolutional neural networks (CNNs) were commonly used. Most datasets were imbalanced with a predominance of HPV+ cases. Only eight studies reported external validation results. AUROC values ranged between 0.59 and 0.87 in the internal validation and between 0.48 and 0.91 in the external validation results. RoB was high in most studies, mainly due to reliance on p16-only HPV testing, insufficient events, or inadequate handling of class imbalance. Deep Learning (DL) models achieved moderate performance with considerable heterogeneity (sensitivity: 0.61; specificity: 0.65). In contrast, traditional models provided higher, more consistent performance (sensitivity: 0.72; specificity: 0.77). Conclusions: Radiomic-based ML models show potential for HPV status prediction in OPSCC, but methodological heterogeneity and a high RoB limit current clinical applicability. Full article
(This article belongs to the Special Issue Clinical Diagnosis of Otorhinolaryngology)
Show Figures

Figure 1

15 pages, 1575 KB  
Article
Compound KTI-2338 Inhibits ACVR1 Receptor Signaling in Fibrodysplasia Ossificans Progressiva
by Neeltje M. Rosenberg, Lidiia Zhytnik, Lisanne E. Wisse, Esmée Botman, Jennifer L. Lachey, E. Marelise W. Eekhoff and Dimitra Micha
Pharmaceutics 2025, 17(12), 1590; https://doi.org/10.3390/pharmaceutics17121590 - 10 Dec 2025
Viewed by 441
Abstract
Background/Objectives: Fibrodysplasia Ossificans Progressiva (FOP) is a rare genetic bone disorder, leading to progressive immobilization through the formation of bone in muscles, tendons, and ligaments. A variant in the ACVR1 gene results in a constitutively overactive ALK2 receptor, leading to the aberrant activation [...] Read more.
Background/Objectives: Fibrodysplasia Ossificans Progressiva (FOP) is a rare genetic bone disorder, leading to progressive immobilization through the formation of bone in muscles, tendons, and ligaments. A variant in the ACVR1 gene results in a constitutively overactive ALK2 receptor, leading to the aberrant activation of the SMAD1/5/9 pathway. This activation occurs not only in response to Activin A, which does not normally activate this pathway, but also through heightened sensitivity to BMP ligands and even in the absence of ligand binding. This dysregulated signaling ultimately drives the formation of heterotopic ossification. The inhibition of the altered ALK2 receptor holds promise as a potential treatment strategy that is currently being investigated in several trials. In this study, we performed an in vitro characterization of novel kinase inhibitor KTI-2338 with high selectivity for the ALK2 receptor. Methods: Dermal human FOP and control fibroblasts were cultured in osteogenic medium with and without the inhibitor to assess the effect on transdifferentiation into osteoblast-like cells. Results: Compound KTI-2338 elicited effects consistent with inhibiting aberrant Activin A signaling and receptor sensitization, through reductions in osteogenic markers and pSMAD1/5/9 expression levels. In line with this, a pattern of reduced Alizarin Red staining was observed following treatment with the compound, indicating reduced mineralization. Conclusions: These findings indicate that kinase inhibitor KTI-2338 disrupts the pathological processes underlying FOP and may offer a new therapeutic option for this devastating disease. Full article
(This article belongs to the Special Issue Small-Molecule Inhibitors for Novel Therapeutics)
Show Figures

Figure 1

21 pages, 4090 KB  
Article
Directive vs. Reductive Front-of-Pack Labels: Differences in Italian Consumers’ Responses to the Nutri-Score and the NutrInform Battery
by Nazarena Cela, Federica Quintiero, Cinzia Ferraris and Luisa Torri
Foods 2025, 14(23), 4033; https://doi.org/10.3390/foods14234033 - 25 Nov 2025
Viewed by 480
Abstract
There is no clear consensus regarding which Front-of-Pack (FoP) label is more effective in promoting healthier food choices. This study explored consumers’ healthiness perception (HP) and willingness to buy (WTB) foods labelled with two different FoP labels: Nutri-Score (NS) and NutrInform Battery (NIB). [...] Read more.
There is no clear consensus regarding which Front-of-Pack (FoP) label is more effective in promoting healthier food choices. This study explored consumers’ healthiness perception (HP) and willingness to buy (WTB) foods labelled with two different FoP labels: Nutri-Score (NS) and NutrInform Battery (NIB). The role of individual characteristics, such as sociodemographic variables, purchasing behaviors, orthorexia nervosa tendency, and cognitive abilities, in predicting consumers’ responses was also examined. Through an online survey, Italian consumers (n = 436; 71% female; average age: 38.9 ± 14.7) evaluated the HP and WTB of yoghurt and fruit jam, with three different nutritional qualities (high, medium, low) and labelled with both NS and NIB. The results showed significant differences between NS and NIB, with effects varying across product categories and nutritional profiles. Age, frequency of nutrition label reading, and role in buying decisions emerged as significant predictors of consumers’ responses, particularly for products with high nutritional quality. Conversely, orthorexia nervosa tendencies and cognitive abilities did not significantly predict differences in HP and WTB between FoP labels. These findings expand the understanding of the complexity involved in selecting an appropriate FoP labelling system and offer valuable insights to effectively guide healthier food choices while accommodating diverse consumers’ profiles. Full article
(This article belongs to the Special Issue Consumer Behavior and Food Choice—4th Edition)
Show Figures

Graphical abstract

20 pages, 1474 KB  
Review
Apis mellifera Honey Varieties in Kenya: Legislation, Production, Processing, and Labeling
by Victoria Atieno Kimindu, Hongmin Choi and Soonok Woo
Agriculture 2025, 15(22), 2400; https://doi.org/10.3390/agriculture15222400 - 20 Nov 2025
Viewed by 1298
Abstract
Domestic demand for honey in Kenya consistently exceeds national production, resulting in periodic reliance on imports. Kenyan honey is typically branded and marketed according to its geographical origin, whereas information regarding botanical origin is rarely communicated. This study was undertaken in two phases: [...] Read more.
Domestic demand for honey in Kenya consistently exceeds national production, resulting in periodic reliance on imports. Kenyan honey is typically branded and marketed according to its geographical origin, whereas information regarding botanical origin is rarely communicated. This study was undertaken in two phases: a systematic review of the literature on honey varieties in Kenya—with an emphasis on legislation, production, and processing—and an online survey assessing front-of-pack (FoP) labeling descriptions. Legislatively, Kenyan honey varieties are categorized based on (i) the bee species producing the honey (honeybee or stingless bee), (ii) the intended use (direct human consumption or industrial application), and (iii) the presence of added flavoring agents. The results from the FoP labeling survey indicated that all domestic honey samples (n = 24) failed to comply with labeling requirements, instead emphasizing descriptors such as “natural” and “pure.” Only 40% of imported honey brands (n = 10) declared the botanical origin and processing method. Mellisopalynological studies showed that honey produced in the Acacia woodlands of Baringo, West Pokot, and Kitui can legitimately be marketed as Acacia honey. In contrast, honey from the Eastern Mau forest can be characterized as monofloral Eucalyptus, Croton, Albizia, or Cordia spp. honeys, with numerous bifloral and multifloral combinations. Sisal and mangrove honeys were also identifiable in landscapes dominated by these plant species. The lack of legislative classification for Kenyan monofloral honeys appears to contribute to widespread non-compliance in industry labeling practices. Although Kenyan honey remains competitive, inadequate product differentiation and weak labeling hinder access to niche domestic and international markets. To strengthen competitiveness, Kenyan honey legislation should incorporate provisions for characterizing monofloral honey types, processing standards, and mellisopalynological authentication. Such measures will enhance producer awareness, promote adoption of good processing practices, strengthen compliance with trade regulations, and support the development of a robust national honey value chain. Full article
(This article belongs to the Section Farm Animal Production)
Show Figures

Figure 1

14 pages, 303 KB  
Article
Clinical-Functional Vulnerability of Older Adults in Primary Care in a Brazilian Municipality: Associated Factors
by Cleomar Ana de Souza Valentim, André Silva Valentim, Maria da Luz Rosário de Sousa and Marília Jesus Batista
Int. J. Environ. Res. Public Health 2025, 22(10), 1583; https://doi.org/10.3390/ijerph22101583 - 18 Oct 2025
Viewed by 816
Abstract
Objective: The objective of this study was to assess clinical-functional vulnerability (CFV) and associated factors in community-dwelling older adults treated in primary care. Methods: A cross-sectional study was conducted with non-institutionalized elderly individuals ≥60 years randomly selected from five Health Units in Jundiaí/SP, [...] Read more.
Objective: The objective of this study was to assess clinical-functional vulnerability (CFV) and associated factors in community-dwelling older adults treated in primary care. Methods: A cross-sectional study was conducted with non-institutionalized elderly individuals ≥60 years randomly selected from five Health Units in Jundiaí/SP, Brazil, in 2023. Sociodemographic data, health behaviors, and data on oral health (number of teeth; chewing: good/fair/poor), cognitive function (10-CS), nutritional status (MNA), health literacy (HLS-14), sarcopenia (SARC-F+CC) and frailty (IVCF-20) were collected. Descriptive and bivariate analyses between the outcome (CFV) and the independent variables were performed using the chi-squared test and binary logistic regression models (p < 0.05). Results: A total of 211 older adults participated in this study; 72% were female and the mean age was 70.41 years (±7.45). Regarding CFV, a high risk was identified in 9.5% of the participants (n = 19), a moderate risk in 34.6% (n = 73), and a low risk in 55.9% (n = 118). After adjusting the regression model, the following variables were associated with CFV: lower income (OR = 1.90; 95%CI: 1.02–3.55), poor (OR = 5.18; 95%CI: 2.13–12.63) and fair (OR = 2.36; 95%CI: 1.10–5.05) chewing, risk of malnutrition or malnourished (OR = 2.36; 95%CI: 1.23–5.52), and low literacy (OR = 1.86; 95%CI: 1.09–3.45). Conclusion: Socioeconomic factors, nutritional status (underweight or malnourished), poor or fair chewing, and low health literacy were associated with CFV among older people. Strengthening primary health care through targeted interventions may help prevent frailty or delay its progression. Understanding the predictors of frailty can guide health professionals, managers, and researchers in designing preventive and health promotion strategies, as well as public policies within Primary Health Care. Full article
(This article belongs to the Section Health Care Sciences)
17 pages, 2234 KB  
Article
Coffee Extracts and Chlorogenic Acid Inhibit the Proliferation of HepG2 Cells and c-Myc Expression Without Significant Modulation of Wnt/β-Catenin Signaling
by Manuel Moreno-Ceballos, Fabian M. Cortes-Mancera, Han Moshage and Johanna C. Arroyave-Ospina
Livers 2025, 5(4), 49; https://doi.org/10.3390/livers5040049 - 15 Oct 2025
Viewed by 1429
Abstract
Background: Hepatocellular carcinoma (HCC) is the most common type of liver cancer and is associated with poor clinical prognosis and high mortality, despite the advances related to therapeutic options for HCC. Therefore, exploring alternative therapeutic options and their associated mechanisms is relevant and [...] Read more.
Background: Hepatocellular carcinoma (HCC) is the most common type of liver cancer and is associated with poor clinical prognosis and high mortality, despite the advances related to therapeutic options for HCC. Therefore, exploring alternative therapeutic options and their associated mechanisms is relevant and urgently needed. Natural products may be an important source of novel anti-cancer compounds. Coffee consumption is associated with protective effects against liver diseases, but the molecular mechanisms underlying these benefits remain poorly understood. Objectives: In this study, we evaluated the in vitro effects of green (GC) and roasted coffee (RC) extracts, alongside chlorogenic acid (CGA), on the proliferation of HepG2 hepatocellular carcinoma cells. Results: Both coffee extracts and CGAs significantly reduced HepG2 cell viability and cell proliferation in a dose-dependent manner. GC at 500 µg/mL and CGA at 400 and 800 µM significantly induced caspase-3 activity. In addition, HepG2 cells treated with coffee extracts (500 and 1000 µg/mL) resulted in dose-dependent membrane permeabilization, leading to an increased number of necrotic cells. Despite these anti-proliferative effects, TOP/FOP luciferase assays revealed minimal activation of the Wnt/β-catenin signaling pathway. Among canonical Wnt target genes, only c-Myc expression was notably downregulated after treatment. Moreover, β-catenin protein levels and subcellular localization remained largely unchanged. Conclusions: These findings suggest that coffee extracts and chlorogenic acids inhibit HepG2 cell proliferation, highlighting their hepatoprotective properties, even in cells containing mutations that constitutively activate Wnt signaling. Full article
(This article belongs to the Topic Signaling Pathways in Liver Disease 2nd Edition)
Show Figures

Figure 1

11 pages, 5563 KB  
Article
Preliminary Assessment of a Hybrid Implant Design Submitted to Immediate Placement with Abutment Exposure: A Pilot Study in One Dog Model
by Carlos Araujo, Maria Angelica Araujo, César Augusto Magalhães Benfatti, Anderson Camargo Moreira, Celso Peres Fernandes and Roberta Michels
Dent. J. 2025, 13(10), 463; https://doi.org/10.3390/dj13100463 - 10 Oct 2025
Viewed by 818
Abstract
Background: Dental implants are widely used to replace missing teeth, particularly in aesthetically sensitive areas. The implant’s macrogeometry is crucial for ensuring primary stability and successful osseointegration. Internal conical connections and reactive surfaces on implants have shown positive outcomes in tissue and bone [...] Read more.
Background: Dental implants are widely used to replace missing teeth, particularly in aesthetically sensitive areas. The implant’s macrogeometry is crucial for ensuring primary stability and successful osseointegration. Internal conical connections and reactive surfaces on implants have shown positive outcomes in tissue and bone stability. In response, a hybrid conical dental implant was designed to address a variety of clinical scenarios. Materials and Methods: This pilot study evaluated the performance of the hybrid conical implant using histological and micro-CT analysis in a preclinical model with immediate loading. Five implants were placed in a mongrel dog, and histomorphometric and micro-CT assessments were performed after 60 days of healing. Results: Analysis showed a high degree of osseointegration, with BIC at 61.56% and BT/TV at 77%. Micro-CT confirmed these findings, with nBIC at 82.20%. Vertical measurements indicated stable crestal bone. Peri-implant tissue displayed organized supracrestal connective tissue, without signs of inflammation or bone saucerization. Polarized light microscopy revealed collagen fibers in perpendicular and oblique orientations around the abutment, suggesting mechanical integration and biological sealing despite the absence of a prosthetic crown. Conclusions: Within the limitations of this exploratory study with one animal study, the hybrid conical implant showed favorable biological and structural responses under immediate loading. These preliminary findings provide useful insights for the refinement of implant design, although further investigations in larger preclinical and clinical studies are required before clinical applicability can be confirmed. Full article
(This article belongs to the Section Dental Materials)
Show Figures

Graphical abstract

17 pages, 7540 KB  
Article
Genome-Wide Analysis of the Thiamine Biosynthesis Gene Families in Common Bean Reveals Their Crucial Roles Conferring Resistance to Fusarium Wilt
by Ming Feng, Yu Liu, Yang Zhao, Tao Li, Jian Chen, Yuning Huang, Weide Ge, Chao Zhong and Renfeng Xue
Biology 2025, 14(10), 1366; https://doi.org/10.3390/biology14101366 - 6 Oct 2025
Viewed by 840
Abstract
Fusarium wilt, caused by Fusarium oxysporum f. sp. phaseoli (Fop), is a major constraint to global common bean (Phaseolus vulgaris L.) production. Thiamine (vitamin B1), an essential coenzyme in plant metabolism, has recently emerged as a potential regulatory factor in plant defense. [...] Read more.
Fusarium wilt, caused by Fusarium oxysporum f. sp. phaseoli (Fop), is a major constraint to global common bean (Phaseolus vulgaris L.) production. Thiamine (vitamin B1), an essential coenzyme in plant metabolism, has recently emerged as a potential regulatory factor in plant defense. Here, we performed a comprehensive genome-wide analysis of thiamine biosynthesis-related genes in common bean and elucidated their roles in resistance to Fusarium wilt. Five key thiamine biosynthetic genes were identified and characterized, showing conserved functional domains and evolutionary conservation across species. Expression profiling revealed tissue-specific patterns, with PvTHI1-1 and PvTHIC being highly expressed in reproductive and photosynthetic organs, with their relative expression levels 0.28–0.57 higher than other members in the same tissue, while PvTPK maintained a basal expression level in the roots. Upon Fop infection, resistant genotypes exhibited significantly higher expression of thiamine biosynthetic genes and greater accumulation of endogenous thiamine and its derivatives than susceptible ones. Functional analysis using Agrobacterium rhizogenes-mediated transformation demonstrated that overexpression of PvTPK enhanced thiamine metabolism and conferred resistance in susceptible genotypes. Similarly, exogenous application of thiamine upregulated biosynthetic genes and improved disease resistance. Together, these results reveal that thiamine biosynthesis is intricately linked to Fusarium wilt resistance and that both genetic and biochemical manipulation of thiamine pathways can enhance disease tolerance. This study provides new insights into thiamine-mediated plant immunity and establishes a foundation for its application in the control of Fusarium wilt in common bean. Full article
Show Figures

Figure 1

11 pages, 1301 KB  
Article
A Complete Picture of the CYP2D6 Heterogeneity in Northeastern Italian Genetic Isolates
by Paola Tesolin, Giuseppe Giovanni Nardone, Aurora Santin, Alessandro Pecori, Romina Ruberto, Maria Pina Concas, Stefania Zampieri and Giorgia Girotto
Int. J. Mol. Sci. 2025, 26(19), 9445; https://doi.org/10.3390/ijms26199445 - 26 Sep 2025
Viewed by 675
Abstract
The CYP2D6 gene is a highly polymorphic pharmacogene involved in the metabolism of 25% of commonly used drugs. We aim to assess the feasibility of extracting relevant pharmacogenomic information from Whole Genome Sequencing (WGS) data and to highlight any difference in CYP2D6 allele [...] Read more.
The CYP2D6 gene is a highly polymorphic pharmacogene involved in the metabolism of 25% of commonly used drugs. We aim to assess the feasibility of extracting relevant pharmacogenomic information from Whole Genome Sequencing (WGS) data and to highlight any difference in CYP2D6 allele frequencies between the northeastern Italian and European populations. To achieve this aim, WGS was performed on two cohorts: 664 individuals from six different isolated communities (FIC) and 123 outbred Italian individuals (FOP). In silico CYP2D6 genotyping was performed and allele frequencies from the FIC cohort were compared to those of FOP and European individuals from 1000 Genomes. Interestingly, 18 alleles identified in FIC were absent in the control cohorts. In particular, 13 individuals carried the extremely rare CYP2D6*28x2 allele, whose activity is unknown. Moreover, we identified a carrier of the CYP2D6*34x2 allele, which has never been described before. The population structure and genetic differentiation of the cohorts were investigated, revealing that the genetic isolates differ only slightly from the outbred and the European populations, but still offer new insight into CYP2D6 heterogeneity. The findings described here will be relevant to tailoring the treatments in the northeastern Italian population. Full article
(This article belongs to the Special Issue Advancements in Diagnostic and Preventive Pharmacogenomics)
Show Figures

Figure 1

16 pages, 861 KB  
Article
Health Consciousness, Sensory Appeal, and Perception of Front-of-Package Food Labels as Predictors of Purchase Intention for Unhealthy Foods in Peruvian University Students
by Jacksaint Saintila, Rafael Orlando Florián-Castro, Eufemio Magno Macedo-Barrera, Raquel Patricia Pérez-Facundo and Yaquelin E. Calizaya-Milla
Nutrients 2025, 17(11), 1921; https://doi.org/10.3390/nu17111921 - 3 Jun 2025
Cited by 2 | Viewed by 3525
Abstract
Background: Health consciousness refers to an individual’s level of knowledge and concern regarding the impact of food on personal health; sensory appeal to the influence of attributes such as taste, aroma, appearance, and texture on food preference; and perception of front-of-package (FOP) labels [...] Read more.
Background: Health consciousness refers to an individual’s level of knowledge and concern regarding the impact of food on personal health; sensory appeal to the influence of attributes such as taste, aroma, appearance, and texture on food preference; and perception of front-of-package (FOP) labels refers to how the presentation of nutritional information on the package affects product choice. Given the increasing concerns about unhealthy food consumption among university students and the role of FOP labels in guiding food choices, it is essential to understand how these factors influence purchase intentions. Objective: This study was to examine the relationship between health consciousness, sensory appeal, and perception of FOP labels with purchase intentions for unhealthy foods in university students. Methods: A cross-sectional predictive study involved 361 students from public and private universities using a non-probability purpose-sampling approach. Data were collected through a previously validated questionnaire and analyzed using multiple linear regression. Results: The results revealed a significant positive association between sensory appeal and purchase intentions for unhealthy foods (β = 0.339; p < 0.001). In contrast, health consciousness (β = −0.296; p < 0.001) and perception of FOP labels (β = −0.237; p < 0.001) were inversely related to purchase intentions. Conclusion: These findings suggest that promoting health consciousness, improving perceptions of FOP labels, and addressing sensory appeal could effectively encourage healthier eating habits and prevent diet-related diseases among university students. Full article
(This article belongs to the Section Nutrition and Public Health)
Show Figures

Graphical abstract

16 pages, 1927 KB  
Article
Natural Selection as the Primary Driver of Codon Usage Bias in the Mitochondrial Genomes of Three Medicago Species
by Yingfang Shen, Leping Qi, Lijuan Yang, Xingxing Lu, Jiaqian Liu and Jiuli Wang
Genes 2025, 16(6), 673; https://doi.org/10.3390/genes16060673 - 30 May 2025
Cited by 2 | Viewed by 1301
Abstract
Objectives: Codon usage bias is a fundamental feature of gene expression that can influence evolutionary processes and genetic diversity. This study aimed to investigate the mitochondrial codon usage characteristics and their driving forces in three Medicago species: Medicago polymorpha, Medicago sativa, [...] Read more.
Objectives: Codon usage bias is a fundamental feature of gene expression that can influence evolutionary processes and genetic diversity. This study aimed to investigate the mitochondrial codon usage characteristics and their driving forces in three Medicago species: Medicago polymorpha, Medicago sativa, and Medicago truncatula. Methods: The complete mitochondrial genome sequences of the three species were downloaded from GenBank, and 21 shared coding sequences were screened. Codon usage patterns were analyzed using CodonW 1.4.2 and CUSP software. Key parameters, including the relative synonymous codon usage (RSCU), effective number of codons (ENC), codon adaptation index (CAI), codon bias index (CBI), and frequency of optimal codons (Fop), were calculated. Phylogenetic trees and RSCU clustering maps were constructed to explore evolutionary relationships. Results: The GC contents of the mitochondrial genomes followed the order of GC1 > GC2 > GC3. ENC values averaged above 35, while CAI, CBI, and Fop values ranged from 0.160 to 0.161, −0.078 to −0.076, and 0.362 to 0.363, respectively, indicating a weak preference for codons ending with A/U. Correlation and neutrality analyses suggested that codon usage bias was influenced by both mutation pressure and natural selection, with natural selection being the dominant factor. Fifteen optimal codons, predominantly ending with A/U, were identified. Phylogenetic analysis confirmed the close relationship among the three Medicago species, consistent with traditional taxonomy, whereas the RSCU clustering did not align with the phylogenetic relationships. Conclusions: This study provides insights into the mitochondrial codon usage patterns and their evolutionary determinants in Medicago species, highlighting the predominant role of natural selection in shaping codon usage bias. The findings offer a foundation for comparative genomic studies and evolutionary analyses and may be beneficial for improving genetic engineering and breeding programs of Medicago species. Full article
(This article belongs to the Section Plant Genetics and Genomics)
Show Figures

Figure 1

9 pages, 588 KB  
Article
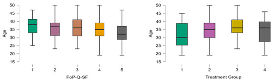
Impact of Therapeutic Interventions on Fear of Progression in Patients with Endometriosis
by Mircea Adrian Focsa
J. Clin. Med. 2025, 14(10), 3324; https://doi.org/10.3390/jcm14103324 - 9 May 2025
Cited by 1 | Viewed by 946
Abstract
Background/Objectives: Endometriosis is a chronic disease associated with pain, infertility, and increased risk of mental disorders (anxiety, depression). One of these manifestations is the fear of progression, recently documented in patients with endometriosis, which can affect their quality of life. Our study [...] Read more.
Background/Objectives: Endometriosis is a chronic disease associated with pain, infertility, and increased risk of mental disorders (anxiety, depression). One of these manifestations is the fear of progression, recently documented in patients with endometriosis, which can affect their quality of life. Our study aims to evaluate the relationship between the fear of progression and the type of treatment in endometriosis. Methods: We conducted a prospective survey of 298 patients with endometriosis, divided into four treatment groups (hormonal therapy without or with surgical indication, surgical intervention, phytotherapy). Fear of progression (FoP) was evaluated through the Fear of Progression Questionnaire—Short Form (FoP-Q-SF). Scores were compared between groups using the Kruskal–Wallis test with Dunn’s post hoc analysis and adjusted for age (ANCOVA). Results: FoP was generally high. Significant differences between groups were observed (p = 0.021), with the highest FoP-Q-SF scores being in patients undergoing exclusive hormonal treatment, higher than in the surgical groups (p < 0.01). Younger age correlated with increased fear (p < 0.01). Conclusions: Treatment type influences anxiety regarding disease progression. Exclusive hormonal therapy was associated with the greatest fear of progression, while the differences observed between hormonal therapy with surgical indication and primary surgical treatment may partly be due to methodological or informational factors rather than purely clinical differences. A multidisciplinary approach, including psychological support, is essential to alleviate patient fears and improve their quality of life. Full article
(This article belongs to the Section Obstetrics & Gynecology)
Show Figures

Figure 1

5 pages, 164 KB  
Editorial
FOP: From Biomolecules to Hope
by Frederick S. Kaplan and Robert J. Pignolo
Biomolecules 2025, 15(3), 328; https://doi.org/10.3390/biom15030328 - 24 Feb 2025
Viewed by 1298
Abstract
In the introduction to his 1970 textbook BIOCHEMISTRY, Albert Lehninger wrote “Living things are composed of lifeless molecules [...] Full article
22 pages, 13096 KB  
Article
EIF4A3-Mediated circ_0008126 Inhibits the Progression and Metastasis of Gastric Cancer by Modulating the APC/β-Catenin Pathway
by Zeen Wang, Wenxing Chen, Ziwei Wang and Xinglong Dai
Cancers 2025, 17(2), 253; https://doi.org/10.3390/cancers17020253 - 14 Jan 2025
Cited by 2 | Viewed by 1742
Abstract
Background: Mounting evidence exhibits circRNAs as critical regulators in the progression of many tumors. The regulatory function and potential mechanism by which circ_0008126 in gastric cancer (GC) is unknown. Methods: To validate and analyze the expression levels and clinical values of circ_0008126 in [...] Read more.
Background: Mounting evidence exhibits circRNAs as critical regulators in the progression of many tumors. The regulatory function and potential mechanism by which circ_0008126 in gastric cancer (GC) is unknown. Methods: To validate and analyze the expression levels and clinical values of circ_0008126 in GC patients, the biological phenotypes of circ_0008126 in GC were investigated in vitro and in vivo. The roles and effects of circ_0008126 on miR-502-5p, EIF4A3, and APC in GC cells were explored using rescue experiment, RNA stability assay, RNA pull-down, dual-luciferase reporter, RNA immunoprecipitation (RIP), RNA FISH, immunofluorescence (IF), and TOP/Flash and FOP/Flash assays. Results: Circ_0008126 expression levels were prominently down-regulated in GC tissues and cells. Importantly, low expression of circ_0008126 was relevant to the more lymphatic metastasis, advanced TNM stage, and poor survival period in patients with GC. Functionally, circ_0008126 inhibited GC cell proliferative activity, metastatic ability, and epithelial-mesenchymal transition (EMT) in vitro and vivo. Mechanistically, we verified that EIF4A3 can mediate the formation of circ_0008126, and circ_0008126 could competitively bind miR-502-5p and alleviate its role and effect on APC, thus inactivating the β-catenin pathway in GC. Additionally, circ_0008126 was determined to increase the stability of APC mRNA by interacting with cytoplasmic EIF4A3 protein and then enhancing the APC expression. Conclusions: These data demonstrate that EIF4A3-mediated circ_0008126 could regulate the APC expression and inactivate the β-catenin pathway partly by binding to miR-502-5p and EIF4A3, thus inhibiting the tumorigenesis and development of GC. Full article
(This article belongs to the Section Cancer Metastasis)
Show Figures

Figure 1

Back to TopTop