Natural Selection as the Primary Driver of Codon Usage Bias in the Mitochondrial Genomes of Three Medicago Species
Abstract
1. Introduction
2. Materials and Methods
2.1. Acquisition of CDS from Mitochondrial Genomes of Three Medicago Species
2.2. Codon Usage Parameter Analysis
- Nucleotide frequencies at the third codon position: A3s, T3s, C3s, and G3s (frequency of adenine, thymine, cytosine, and guanine at the third synonymous codon position, respectively).
- GC content: GC3s (mean GC content at the third synonymous codon position), ATall/GCall (total AT/GC content), and GC1all/GC2all/GC3all (GC content at codon positions 1, 2, and 3).
- Codon bias indices: ENC (effective number of codons), CAI (codon adaptation index), CBI (codon bias index), RSCU (relative synonymous codon usage), and Fop (frequency of optimal codons).
2.3. Neutrality Plot Analysis
2.4. ENC Plot Analysis
2.5. PR2 Plot Analysis
2.6. Identification of Optimal Codons
2.7. Phylogenetic and RSCU Clustering Analysis
3. Results
3.1. Annotation and Analysis of Protein-Coding Genes
3.2. Analysis of Codon Usage Bias-Related Indices
3.3. Results of Neutrality Plot Analysis
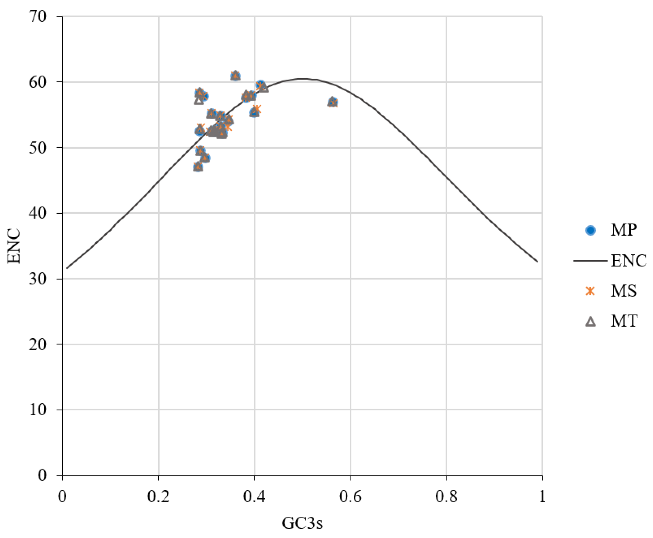
3.4. Results of ENC Plot Analysis
3.5. Results of PR2 Plot Analysis
3.6. Optimal Codons
3.7. Phylogenetic Relationships and RSCU Clustering Patterns
4. Discussion
5. Conclusions
Author Contributions
Funding
Institutional Review Board Statement
Informed Consent Statement
Data Availability Statement
Conflicts of Interest
Abbreviations
| CAI | Codon adaptation index |
| CBI | Codon bias index |
| CDS | Coding sequences |
| CUB | Codon usage bias |
| ENC | Effective number of codons |
| GRAVY | Grand Average of Hydropathicity |
| ML | Maximum likelihood |
| RSCU | Relative synonymous codon usage |
| SCUB | Synonymous codon usage bias |
| MP | Medicago polymorpha |
| MS | Medicago sativa |
| MT | Medicago truncatula |
| GC1 | GC content at codon positions 1 |
| GC2 | GC content at codon positions 2 |
| GC3 | GC content at codon positions 3 |
| GC12 | Average GC1 and GC2 |
| GCall | Total GC content |
References
- Su, L.; Lv, A.; Wen, W.; Fan, N.; Li, J.; Gao, L.; Zhou, P.; An, Y. MsMYB741 is involved in alfalfa resistance to aluminum stress by regulating flavonoid biosynthesis. Plant J. 2022, 112, 756–771. [Google Scholar] [CrossRef] [PubMed]
- Dong, X.; Deng, H.; Ma, W.; Zhou, Q.; Liu, Z. Genome-wide identification of the MADS-box transcription factor family in autotetraploid cultivated alfalfa (Medicago sativa L.) and expression analysis under abiotic stress. BMC Genom. 2021, 22, 603. [Google Scholar] [CrossRef]
- Ma, B.; Liu, C.; Li, Y.; Wet, Z.; Cao, D. Analysis and evaluation on the nutrition components of Huaiyang Medicago polymorpha with different mowing crops. Wei Sheng Yan Jiu J. Hyg. Res. 2015, 44, 532–537. [Google Scholar]
- Liu, X.; Elzenga, J.T.M.; Venema, J.H.; Tiedge, K.J. Thriving in a salty future: Morpho-anatomical, physiological, and molecular adaptations to salt stress in alfalfa (Medicago sativa L.) and other crops. Ann. Bot. 2024, 134, 1113–1130. [Google Scholar] [CrossRef]
- Al-Farsi, S.M.; Nawaz, A.; Anees-Ur-Rehman; Nadaf, S.K.; Al-Sadi, A.M.; Siddique, K.H.M.; Farooq, M. Effects, tolerance mechanisms and management of salt stress in lucerne (Medicago sativa). Crop Pasture Sci. 2020, 71, 411–428. [Google Scholar] [CrossRef]
- Wolabu, T.W.; Park, J.J.; Chen, M.; Cong, L.; Ge, Y.; Jiang, Q.; Debnath, S.; Li, G.; Wen, Z.; Wang, Z. Improving the genome editing efficiency of CRISPR/Cas9 in Arabidopsis and Medicago truncatula. Planta 2020, 252, 15. [Google Scholar] [CrossRef]
- Van der Bliek, A.M.; Sedensky, M.M.; Morgan, P.G. Cell biology of the mitochondrion. Genetics 2017, 207, 843–871. [Google Scholar] [CrossRef] [PubMed]
- Lin, Y.; Ding, Y.; Wu, Y.; Yang, Y.; Liu, Z.; Xiang, L.; Zhang, C. The underestimated role of mitochondria in vitiligo: From oxidative stress to inflammation and cell death. Exp. Dermatol. 2023, 33, e14856. [Google Scholar] [CrossRef] [PubMed]
- Forsthoefel, N.R.; Bohnert, H.J.; Smith, S.E. Discordant inheritance of mitochondrial and plastid DNA in diverse alfalfa genotypes. J. Hered. 1992, 83, 342–345. [Google Scholar] [CrossRef]
- Choi, I.S.; Wojciechowski, M.F.; Steele, K.P.; Hunter, S.G.; Ruhlman, T.A.; Jansen, R.K. Born in the mitochondrion and raised in the nucleus: Evolution of a novel tandem repeat family in Medicago polymorpha (Fabaceae). Plant J. 2022, 110, 389–406. [Google Scholar] [CrossRef]
- He, X.; Zhang, X.; Deng, Y.; Yang, R.; Yu, L.X.; Jia, S.; Zhang, T. Structural reorganization in Two Alfalfa Mitochondrial Genome Assemblies and mitochondrial evolution in Medicago Species. Int. J. Mol. Sci. 2023, 24, 17334. [Google Scholar] [CrossRef] [PubMed]
- Li, Y.; Hu, X.; Xiao, M.; Huang, J.; Lou, Y.; Hu, F.; Fu, X.; Li, Y.; He, H.; Cheng, J. An analysis of codon utilization patterns in the chloroplast genomes of three species of Coffea. BMC Genom. Data 2023, 24, 42. [Google Scholar] [CrossRef]
- Ling, L.; Zhang, S.; Yang, T. Analysis of codon usage bias in chloroplast genomes of Dryas octopetala var. asiatica (Rosaceae). Genes 2024, 15, 899. [Google Scholar] [CrossRef]
- Lobanov, A.V.; Kryukov, G.V.; Hatfield, D.L.; Gladyshev, V.N. Is there a twenty third amino acid in the genetic code? Trends Genet. 2006, 22, 357–360. [Google Scholar] [CrossRef] [PubMed]
- Parvathy, S.T.; Udayasuriyan, V.; Bhadana, V. Codon usage bias. Mol. Biol. Rep. 2022, 49, 539–565. [Google Scholar] [CrossRef] [PubMed]
- Chakraborty, S.; Uddin, A.; Choudhury, N.M. Factors affecting the codon usage bias of SRY gene across mammals. Gene 2017, 630, 13–20. [Google Scholar] [CrossRef]
- Liu, Y. A code within the genetic code: Codon usage regulates co-translational protein folding. Cell Commun. Signal. 2020, 18, 145. [Google Scholar] [CrossRef]
- Lyu, X.; Yang, Q.; Zhao, F.; Liu, Y. Codon usage and protein length-dependent feedback from translation elongation regulates translation initiation and elongation speed. Nucleic Acids Res. 2021, 49, 9404–9423. [Google Scholar] [CrossRef]
- Christofi, M.; Pavlou, A.; Lantzouraki, D.Z.; Tsiaka, T.; Myrtsi, E.; Zoumpoulakis, P.; Haroutounian, S.A.; Mauromoustakos, A.; Biliaderis, C.G.; Manganaris, G.A. Profiling carotenoid and phenolic compounds in fresh and canned fruit of peach cultivars: Impact of genotype and canning on their concentration. J. Food Compost. Anal. 2022, 114, 104734. [Google Scholar] [CrossRef]
- Li, L.; Xu, M.Z.; Liu, Y.R.; Zhang, W.J. Codon Bias Analysis of Medicago Genome. Acta Agrestia Sin. 2024, 23, 2695–2706. [Google Scholar]
- Yang, G.F.; Su, K.L.; Zhao, Y.R.; Song, Z.B.; Sun, J. Analysis of codon usage in the chloroplast genome of Medicago truncatula. Acta Prataculturae Sin. 2015, 24, 171–179. [Google Scholar]
- Yu, F.; Han, M. Analysis of codon usage bias in the chloroplast genome of alfalfa (Medicago sativa). Guihaia 2021, 41, 2069–2076. [Google Scholar]
- Yin, M.; Hu, J.; Li, Y.; Liu, M.; Ouyang, K. Sequence characteristic analyses of the Medicago polymorpha complete chloroplast genome and its codon usage bias. Pratacult. Sci. 2024, 41, 884–902. [Google Scholar]
- Li, T.; Ma, Z.; Ding, T.; Yang, Y.; Wang, F.; Wan, X.; Liang, F.; Chen, X.; Yao, H. Codon usage bias and phylogenetic analysis of chloroplast genome in 36 gracilariaceae species. Funct. Integr. Genom. 2024, 24, 45. [Google Scholar] [CrossRef]
- Zhang, K.; Wang, Y.; Zhang, Y.; Shan, X. Codon usage characterization and phylogenetic analysis of the mitochondrial genome in Hemerocallis citrina. BMC Genom. Data 2024, 25, 6. [Google Scholar] [CrossRef] [PubMed]
- Wang, J.; Lu, X.; Dong, J.; Liu, J.; Guo, B.; Zhang, C.; Liu, J.; Wang, H. Natural Selection Shaped Codon Usage Patterns in Wheat Dwarf Virus in Triticale. Biology 2025, 14, 524. [Google Scholar] [CrossRef]
- Wright, F. The ‘effective number of codons’ used in a gene. Gene 1990, 87, 23–29. [Google Scholar] [CrossRef]
- Yang, M.; Liu, J.; Yang, W.; Li, Z.; Hai, Y.; Duan, B.; Zhang, H.; Yang, X.; Xia, C. Analysis of codon usage patterns in 48 Aconitum species. BMC Genom. 2023, 24, 703. [Google Scholar] [CrossRef]
- Feng, Z.; Jiang, Y.; Zheng, Y.; Xiong, Z.; Che, X.; He, J.; Sha, A.; Gui, M.; Li, Q. Codon use bias analysis of chloroplast genome of Cistanche. Chin. Trad. Herb. Drugs 2023, 5, 1540–1550. [Google Scholar]
- Katoh, K.; Standley, D.M. MAFFT multiple sequence alignment software version 7: Improvements in performance and usability. Mol. Biol. Evol. 2013, 30, 772–780. [Google Scholar] [CrossRef]
- Tamura, K.; Stecher, G.; Kumar, S. EGA11: Molecular evolutionary genetics analysis version 11. Mol. Biol. Evol. 2021, 38, 3022–3027. [Google Scholar] [CrossRef] [PubMed]
- Zhang, Y.; Yang, C.; Wang, J.; Wang, L.; Zhao, Y.; Sun, L.; Sun, W.; Zhu, Y.; Li, J.; Wu, S. BioLadder: A bioinformatic platform primarily focused on proteomic data analysis. iMeta 2024, 3, e215. [Google Scholar] [CrossRef] [PubMed]
- Wu, P.; Xiao, W.; Luo, Y.; Xiong, Z.; Chen, X.; He, J.; Sha, A.; Gui, M.; Li, Q. Comprehensive analysis of codon bias in 13 Ganoderma mitochondrial genomes. Front. Microbiol. 2023, 14, 1170790. [Google Scholar] [CrossRef] [PubMed]
- Wu, Y.F.; Yang, X.L.; Wang, X.; Yan, L.; Zhang, W.P. Characteristics and phylogenetic analysis of chloroplast genome of a new type of fruit Rubus rosaefolius. Chin. J. Biotechnol. 2023, 39, 2939–2953. [Google Scholar]
- Shen, Z.; Liu, Q.; Hao, J.; Bi, S.; Fu, Y.; Zhang, L. The Complete Chloroplast Genome Sequence of the Medicinal Moss Rhodobryum giganteum (Bryaceae, Bryophyta): Comparative Genomics and Phylogenetic Analyses. Genes 2024, 15, 900. [Google Scholar] [CrossRef]
- Li, Z.; Ran, Z.; Xiao, X.; Yan, C.; Xu, J.; Tang, M.; An, M. Comparative analysis of the whole mitochondrial genomes of four species in sect. Chrysantha (Camellia L.), endemic taxa in China. BMC Plant Biol. 2024, 24, 955. [Google Scholar] [CrossRef]
- Chakraborty, S.; Uddin, A.; Mazumder, T.H.; Choudhury, M.N.; Malakar, A.K.; Paul, P.; Halder, B.; Deka, H.; Mazumder, G.A.; Barbhuiya, R.A.; et al. Codon usage and expression level of human mitochondrial 13 protein coding genes across six continents. Mitochondrion 2018, 42, 64–76. [Google Scholar] [CrossRef]
- Gillen, S.L.; Waldron, J.A.; Bushell, M. Codon optimality in cancer. Oncogene 2021, 40, 6309–6320. [Google Scholar] [CrossRef]
- Li, S.; Chang, L.; Zhang, J. Advancing organelle genome transformation and editing for crop improvement. Plant Commun. 2021, 2, 100141. [Google Scholar] [CrossRef]
- Fu, H.; Liang, Y.; Zhong, X.; Pan, Z.; Huang, L.; Zhang, H.; Xu, Y.; Zhou, W.; Liu, Z. Codon optimization with deep learning to enhance protein expression. Sci. Rep. 2020, 10, 17617. [Google Scholar] [CrossRef]
- Hao, J.; Liang, Y.; Wang, T.; Su, Y. Correlations of gene expression, codon usage bias, and evolutionary rates of the mitochondrial genome show tissue differentiation in Ophioglossum vulgatum. BMC Plant Biol. 2025, 25, 134. [Google Scholar] [CrossRef] [PubMed]
- Wang, J.; Zou, Y.; Mower, J.P.; Reeve, W.; Wu, Z. Rethinking the mutation hypotheses of plant organellar DNA. Genom. Commun. 2024, 1, e003. [Google Scholar] [CrossRef]
- Zwonitzer, K.D.; Tressel, L.G.; Wu, Z.; Kan, S.; Broz, A.K.; Mower, J.P.; Ruhlman, T.A.; Jansen, R.K.; Sloan, J.C.; Havird, J.C. Genome copy number predicts extreme evolutionary rate variation in plant mitochondrial DNA. Proc. Natl. Acad. Sci. USA 2024, 121, e2317240121. [Google Scholar] [CrossRef] [PubMed]
- Salim, H.M.W.; Cavalcanti, A.R. Factors influencing codon usage bias in genomes. J. Braz. Chem. Soc. 2008, 19, 257–262. [Google Scholar] [CrossRef]
- Kim, S.O.; Albrecht, E.D.; Pepe, G.J. Estrogen promotes fetal skeletal muscle mitochondrial distribution and ATP synthase activity important for insulin sensitivity in offspring. Endocrine 2024, 85, 417–427. [Google Scholar] [CrossRef]
- Narongkiatikhun, P.; Choi, Y.J.; Hampson, H.; Gotzamanis, J.; Zhang, G.; van Raalte, D.H.; de Boer, I.H.; Nelson, R.G.; Tommerdahl, K.L.; McCown, P.J.; et al. Unraveling diabetic kidney disease: The roles of mitochondrial dysfunction and immunometabolism. Kidney Int. Rep. 2024, 9, 3386–3402. [Google Scholar] [CrossRef]
- Nagaoka, N.; Yamashita, A.; Kurisu, R.; Watari, Y.; Ishizuna, F.; Tsutsumi, N.; Ishizaki, K.; Kohchi, T.; Arimura, S.I. DRP3 and ELM1 are required for mitochondrial fission in the liverwort Marchantia polymorpha. Sci. Rep. 2017, 7, 4600. [Google Scholar] [CrossRef]
- Delegido, E.N.; Elvira, P.T.; Robles, P.; Lozano, A.S.; Espinosa, D.D.; Quesada, V. Mutations in the plant-conserved uL1m mitochondrial ribosomal protein significantly affect development, growth and abiotic stress tolerance in Arabidopsis thaliana. Plant Growth Regul. 2025, 105, 429–448. [Google Scholar] [CrossRef]
- Selinski, J.; Frings, S.; Schippers, R.S. Perception and processing of stress signals by plant mitochondria. Plant J. 2024, 120, 2337–2355. [Google Scholar] [CrossRef]
- Zhang, Y.; Ma, Y.; Yu, H.; Han, Y.; Yu, T. Deciphering Codon Usage Patterns in the Mitochondrial Genome of the Oryza Species. Agronomy 2024, 14, 2722. [Google Scholar] [CrossRef]
- Ciborowski, K.; Szczecińska, M.; Maździarz, M.; Sawicki, J.; Paukszto, Ł. Decoding Evolution of Rubioideae: Plastomes Reveal Sweet Secrets of Codon Usage, Diagnostides, and Superbarcoding. Genes 2024, 15, 562. [Google Scholar] [CrossRef] [PubMed]
- Szövényi, P.; Ullrich, K.K.; Rensing, S.A.; Lang, D.; van Gessel, N.; Stenøien, H.K.; Conti, E.; Reski, R. Selfing in Haploid Plants and Efficacy of Selection: Codon Usage Bias in the Model Moss Physcomitrella patens. Genome Biol. Evol. 2017, 9, 1528–1546. [Google Scholar] [CrossRef] [PubMed]
- Callens, M.; Pradier, L.; Finnegan, M.; Rose, C.; Bedhomme, S. Read between the lines: Diversity of nontranslational selection pressures on local codon usage. Genome Biol. Evol. 2021, 13, evab097. [Google Scholar] [CrossRef]
- Martijn, C.; Celine, S.; Stéphanie, B. Evolutionary responses to codon usage of horizontally transferred genes in Pseudomonas aeruginosa: Gene retention, amelioration and compensatory evolution. Microb. Genom. 2021, 7, 000587. [Google Scholar]
- Zhang, Y.; Wang, L. Advances in basic biology of alfalfa (Medicago sativa L.): A comprehensive overview. Hortic. Res. 2025, 12, uhaf081. [Google Scholar] [CrossRef]
- Hui, S.; Jing, L.; Tao, C.; Zhi-Biao, N. Synonymous codon usage pattern in model legume Medicago truncatula. J. Integr. Agric. 2018, 17, 2074–2081. [Google Scholar]
- Desper, R.; Gascuel, O. Getting a tree fast: Neighbor Joining, FastME, and distance-based methods. Curr. Protoc. Bioinform. 2006, 15, 6.3.1–6.3.28. [Google Scholar] [CrossRef]









| Tribe | Genus | Species | Genbank Accession Number |
|---|---|---|---|
| Phaseoleae | Glycine | Glycine max | OR687435.1 |
| Phaseoleae | Glycine | Glycine soja | MF955859.1 |
| Trifolieae | Medicago | Medicago polymorpha | MW971562.1 |
| Trifolieae | Medicago | Medicago sativa | ON782580.1 |
| Trifolieae | Medicago | Medicago truncatula | KT971339.1 |
| Trifolieae | Trifolium | Trifolium grandiflorum | MT039391.1 |
| Trifolieae | Trifolium | Trifolium aureum | MT039392.1 |
| Trifolieae | Trifolium | Trifolium meduseum | MT039390.1 |
| Trifolieae | Trifolium | Trifolium pratense | MT039389.1 |
| Trifolieae | Trigonella | Trigonella foenum-graecum | OP605625.1 |
| Gene Group | Gene Names |
|---|---|
| ATP synthase | atp1, atp4, atp8 |
| Cytochrome c biogenesis | ccmB, ccmC, ccmFn |
| Ubiquinol cytochrome c reductase | cob |
| Cytochrome c oxidase | cox1 |
| Maturases | matR |
| NADH dehydrogenase | nad2, nad3, nad4, nad5, nad7, nad9 |
| Ribosomal protein large subunit | rpl16, rpl5 |
| Ribosomal protein small subunit | rps12, rps14, rps3, rps4 |
| Genes | M. polymorpha | M. sativa | M. truncatula | |||||||||
|---|---|---|---|---|---|---|---|---|---|---|---|---|
| CAI | CBI | Fop | ENC | CAI | CBI | Fop | ENC | CAI | CBI | Fop | ENC | |
| atp1 | 0.172 | −0.082 | 0.362 | 52.73 | 0.172 | −0.082 | 0.362 | 52.73 | 0.172 | −0.082 | 0.362 | 52.73 |
| atp4 | 0.154 | −0.044 | 0.376 | 61 | 0.154 | −0.044 | 0.376 | 61 | 0.154 | −0.044 | 0.376 | 61 |
| atp8 | 0.158 | 0.006 | 0.425 | 55.47 | 0.157 | 0 | 0.419 | 55.89 | 0.158 | 0.006 | 0.425 | 55.47 |
| ccmB | 0.158 | −0.092 | 0.335 | 55.25 | 0.158 | −0.092 | 0.335 | 55.25 | 0.158 | −0.092 | 0.335 | 55.25 |
| ccmC | 0.145 | −0.048 | 0.356 | 48.53 | 0.145 | −0.048 | 0.356 | 48.53 | 0.145 | −0.048 | 0.356 | 48.53 |
| ccmFn | 0.169 | −0.026 | 0.391 | 57.95 | 0.169 | −0.026 | 0.391 | 58.06 | 0.169 | −0.026 | 0.391 | 57.95 |
| cob | 0.159 | −0.157 | 0.3 | 52.58 | 0.161 | −0.153 | 0.303 | 53.1 | 0.159 | −0.157 | 0.3 | 52.87 |
| cox1 | 0.176 | −0.063 | 0.369 | 54.87 | 0.176 | −0.063 | 0.369 | 54.87 | 0.176 | −0.063 | 0.369 | 54.87 |
| matR | 0.146 | −0.001 | 0.41 | 56.98 | 0.145 | −0.001 | 0.41 | 56.72 | 0.146 | −0.001 | 0.41 | 57.02 |
| nad2 | 0.18 | −0.119 | 0.342 | 52.59 | 0.188 | −0.077 | 0.374 | 52.39 | 0.18 | −0.119 | 0.342 | 52.59 |
| nad3 | 0.18 | −0.129 | 0.321 | 53.28 | 0.18 | −0.129 | 0.321 | 53.28 | 0.18 | −0.129 | 0.321 | 53.28 |
| nad4 | 0.163 | −0.071 | 0.353 | 52.15 | 0.163 | −0.071 | 0.353 | 52.15 | 0.163 | −0.071 | 0.353 | 52.15 |
| nad5 | 0.17 | −0.116 | 0.345 | 52.47 | 0.165 | −0.109 | 0.347 | 53.16 | 0.17 | −0.116 | 0.345 | 52.36 |
| nad7 | 0.185 | −0.102 | 0.359 | 49.55 | 0.185 | −0.102 | 0.359 | 49.55 | 0.185 | −0.102 | 0.359 | 49.55 |
| nad9 | 0.168 | −0.098 | 0.354 | 58.42 | 0.168 | −0.098 | 0.354 | 58.42 | 0.168 | −0.098 | 0.354 | 58.42 |
| rpl16 | 0.16 | −0.094 | 0.372 | 57.92 | 0.16 | −0.094 | 0.372 | 57.92 | 0.16 | −0.096 | 0.376 | 57.33 |
| rpl5 | 0.167 | −0.077 | 0.376 | 57.63 | 0.167 | −0.077 | 0.376 | 57.63 | 0.167 | −0.073 | 0.376 | 58.05 |
| rps12 | 0.137 | −0.098 | 0.355 | 47.11 | 0.137 | −0.098 | 0.355 | 47.11 | 0.137 | −0.098 | 0.355 | 47.11 |
| rps14 | 0.133 | −0.121 | 0.333 | 52.43 | 0.133 | −0.121 | 0.333 | 52.43 | 0.133 | −0.121 | 0.333 | 52.43 |
| rps3 | 0.162 | −0.056 | 0.387 | 59.61 | 0.161 | −0.059 | 0.386 | 59.38 | 0.159 | −0.069 | 0.379 | 59.24 |
| rps4 | 0.127 | −0.047 | 0.379 | 54.08 | 0.127 | −0.047 | 0.379 | 54.33 | 0.127 | −0.047 | 0.379 | 54.33 |
| Amino Acid | M. polymorpha | M. sativa | M. truncatula | |||||||||
|---|---|---|---|---|---|---|---|---|---|---|---|---|
| Codon | RSCU-H | RSCU-L | △RSCU | Codon | RSCU-H | RSCU-L | △RSCU | Codon | RSCU-H | RSCU-L | △RSCU | |
| Ala | GCA | 0.7619 | 1.0256 | −0.2637 | GCA | 0.7619 | 1.0256 | −0.2637 | GCA | 0.7619 | 1.0526 | −0.2907 |
| GCC | 0.1905 | 0.5128 | −0.3223 | GCC | 0.1905 | 0.5128 | −0.3223 | GCC | 0.1905 | 0.5263 | −0.3358 | |
| GCG | 0.5714 | 0.9231 | −0.3517 | GCG | 0.5714 | 0.9231 | −0.3517 | GCG | 0.5714 | 0.9474 | −0.376 | |
| GCU | 2.4762 | 1.5385 | 0.9377 | GCU | 2.4762 | 1.5385 | 0.9377 | GCU | 2.4762 | 1.4737 | 1.0025 | |
| Cys | UGC | 0 | 0.4 | −0.4 | UGC | 0 | 0.4 | −0.4 | UGC | 0 | 0.4 | −0.4 |
| UGU | 2 | 1.6 | 0.4 | UGU | 2 | 1.6 | 0.4 | UGU | 2 | 1.6 | 0.4 | |
| Asp | GAC | 0.2222 | 0.9231 | −0.7009 | GAC | 0.2222 | 0.9231 | −0.7009 | GAC | 0.2222 | 0.9231 | −0.7009 |
| GAU | 1.7778 | 1.0769 | 0.7009 | GAU | 1.7778 | 1.0769 | 0.7009 | GAU | 1.7778 | 1.0769 | 0.7009 | |
| Glu | GAA | 2 | 1.4359 | 0.5641 | GAA | 2 | 1.4359 | 0.5641 | GAA | 2 | 1.4054 | 0.5946 |
| GAG | 0 | 0.5641 | −0.5641 | GAG | 0 | 0.5641 | −0.5641 | GAG | 0 | 0.5946 | −0.5946 | |
| Phe | UUC | 0.4444 | 0.8182 | −0.3738 | UUC | 0.4444 | 0.8182 | −0.3738 | UUC | 0.4444 | 0.8182 | −0.3738 |
| UUU | 1.5556 | 1.1818 | 0.3738 | UUU | 1.5556 | 1.1818 | 0.3738 | UUU | 1.5556 | 1.1818 | 0.3738 | |
| Gly | GGA | 1.5385 | 1.0667 | 0.4718 | GGA | 1.5385 | 1.0667 | 0.4718 | GGA | 1.5385 | 1 | 0.5385 |
| GGC | 0.4615 | 0.8 | −0.3385 | GGC | 0.4615 | 0.8 | −0.3385 | GGC | 0.4615 | 0.8182 | −0.3567 | |
| GGG | 0.4615 | 1.1556 | −0.6941 | GGG | 0.4615 | 1.1556 | −0.6941 | GGG | 0.4615 | 1.1818 | −0.7203 | |
| GGU | 1.5385 | 0.9778 | 0.5607 | GGU | 1.5385 | 0.9778 | 0.5607 | GGU | 1.5385 | 1 | 0.5385 | |
| His | CAC | 0.1818 | 0.4 | −0.2182 | CAC | 0.1818 | 0.4 | −0.2182 | CAC | 0.1818 | 0.4 | −0.2182 |
| CAU | 1.8182 | 1.6 | 0.2182 | CAU | 1.8182 | 1.6 | 0.2182 | CAU | 1.8182 | 1.6 | 0.2182 | |
| Ile | AUA | 1.0645 | 1.1695 | −0.105 | AUA | 1.0645 | 1.1695 | −0.105 | AUA | 1.0645 | 1.1579 | −0.0934 |
| Ile | AUC | 0.5806 | 0.8644 | −0.2838 | AUC | 0.5806 | 0.8644 | −0.2838 | AUC | 0.5806 | 0.8947 | −0.3141 |
| AUU | 1.3548 | 0.9661 | 0.3887 | AUU | 1.3548 | 0.9661 | 0.3887 | AUU | 1.3548 | 0.9474 | 0.4074 | |
| Lys | AAA | 1.2222 | 1.0769 | 0.1616 | AAA | 1.2222 | 1.0606 | 0.1616 | AAA | 1.2222 | 1.0159 | 0.2063 |
| AAG | 0.7778 | 0.9231 | −0.1616 | AAG | 0.7778 | 0.9394 | −0.1616 | AAG | 0.7778 | 0.9841 | −0.2063 | |
| Leu | CUA | 0.3913 | 0.6885 | −0.2972 | CUA | 0.3913 | 0.6885 | −0.2972 | CUA | 0.3913 | 0.6885 | −0.2972 |
| CUC | 0.3913 | 0.9836 | −0.5923 | CUC | 0.3913 | 0.9836 | −0.5923 | CUC | 0.3913 | 0.9836 | −0.5923 | |
| CUG | 0.3913 | 0.5902 | −0.1989 | CUG | 0.3913 | 0.5902 | −0.1989 | CUG | 0.3913 | 0.5902 | −0.1989 | |
| CUU | 1.4348 | 1.082 | 0.3528 | CUU | 1.4348 | 1.082 | 0.3528 | CUU | 1.4348 | 1.082 | 0.3528 | |
| UUA | 1.9565 | 1.4754 | 0.4811 | UUA | 1.9565 | 1.4754 | 0.4811 | UUA | 1.9565 | 1.4754 | 0.4811 | |
| UUG | 1.4348 | 1.1803 | 0.2545 | UUG | 1.4348 | 1.1803 | 0.2545 | UUG | 1.4348 | 1.1803 | 0.2545 | |
| Met | AUG | 1 | 1 | 0 | AUG | 1 | 1 | 0 | AUG | 1 | 1 | 0 |
| Asn | AAC | 0.9091 | 0.7429 | 0.1662 | AAC | 0.9091 | 0.7429 | 0.1662 | AAC | 0.9091 | 0.7429 | 0.1662 |
| AAU | 1.0909 | 1.2571 | −0.1662 | AAU | 1.0909 | 1.2571 | −0.1662 | AAU | 1.0909 | 1.2571 | −0.1662 | |
| Pro | CCA | 0.7143 | 1.2121 | −0.4978 | CCA | 0.7143 | 1.2121 | −0.4978 | CCA | 0.7143 | 1.2121 | −0.4978 |
| CCC | 0.8571 | 0.9697 | −0.1126 | CCC | 0.8571 | 0.9697 | −0.1126 | CCC | 0.8571 | 0.9697 | −0.1126 | |
| CCG | 0.8571 | 1.0909 | −0.2338 | CCG | 0.8571 | 1.0909 | −0.2338 | CCG | 0.8571 | 1.0909 | −0.2338 | |
| CCU | 1.5714 | 0.7273 | 0.8441 | CCU | 1.5714 | 0.7273 | 0.8441 | CCU | 1.5714 | 0.7273 | 0.8441 | |
| Gln | CAA | 1.6364 | 1.2727 | 0.3031 | CAA | 1.6364 | 1.3333 | 0.3031 | CAA | 1.6364 | 1.3333 | 0.3031 |
| CAG | 0.3636 | 0.7273 | −0.3031 | CAG | 0.3636 | 0.6667 | −0.3031 | CAG | 0.3636 | 0.6667 | −0.3031 | |
| Arg | AGA | 1.5429 | 1.7468 | −0.2039 | AGA | 1.5429 | 1.7468 | −0.2039 | AGA | 1.5429 | 1.7692 | −0.2263 |
| AGG | 0.1714 | 0.9873 | −0.8159 | AGG | 0.1714 | 0.9873 | −0.8159 | AGG | 0.1714 | 1 | −0.8286 | |
| CGA | 1.2 | 0.9873 | 0.2127 | CGA | 1.2 | 0.9873 | 0.2127 | CGA | 1.2 | 1 | 0.2 | |
| CGC | 0.5143 | 0.6835 | −0.1692 | CGC | 0.5143 | 0.6835 | −0.1692 | CGC | 0.5143 | 0.6923 | −0.178 | |
| CGG | 0.8571 | 0.6076 | 0.2495 | CGG | 0.8571 | 0.6076 | 0.2495 | CGG | 0.8571 | 0.6154 | 0.2417 | |
| Arg | CGU | 1.7143 | 0.9873 | 0.727 | CGU | 1.7143 | 0.9873 | 0.727 | CGU | 1.7143 | 0.9231 | 0.7912 |
| Ser | AGC | 0.8571 | 0.5373 | 0.3198 | AGC | 0.8571 | 0.5373 | 0.3198 | AGC | 0.8571 | 0.5538 | 0.3033 |
| AGU | 0.5143 | 1.0746 | −0.5603 | AGU | 0.5143 | 1.0746 | −0.5603 | AGU | 0.5143 | 1.0154 | −0.5011 | |
| UCA | 1.3714 | 1.0746 | 0.2968 | UCA | 1.3714 | 1.0746 | 0.2968 | UCA | 1.3714 | 1.1077 | 0.2637 | |
| UCC | 0.5143 | 0.806 | −0.2917 | UCC | 0.5143 | 0.806 | −0.2917 | UCC | 0.5143 | 0.7385 | −0.2242 | |
| UCG | 1.0286 | 0.9851 | 0.0435 | UCG | 1.0286 | 0.9851 | 0.0435 | UCG | 1.0286 | 1.0154 | 0.0132 | |
| UCU | 1.7143 | 1.5224 | 0.1919 | UCU | 1.7143 | 1.5224 | 0.1919 | UCU | 1.7143 | 1.5692 | 0.1451 | |
| Thr | ACA | 1.5238 | 1.2414 | 0.2824 | ACA | 1.5238 | 1.2414 | 0.2824 | ACA | 1.5238 | 1.2857 | 0.2381 |
| ACC | 1.1429 | 1.2414 | −0.0985 | ACC | 1.1429 | 1.2414 | −0.0985 | ACC | 1.1429 | 1.2857 | −0.1428 | |
| ACG | 0.7619 | 0.6897 | 0.0722 | ACG | 0.7619 | 0.6897 | 0.0722 | ACG | 0.7619 | 0.5714 | 0.1905 | |
| ACU | 0.5714 | 0.8276 | −0.2562 | ACU | 0.5714 | 0.8276 | −0.2562 | ACU | 0.5714 | 0.8571 | −0.2857 | |
| Val | GUA | 1.1111 | 1.2683 | −0.1572 | GUA | 1.1111 | 1.2683 | −0.1572 | GUA | 1.1111 | 1.2683 | −0.1572 |
| GUC | 0.8889 | 0.878 | 0.0109 | GUC | 0.8889 | 0.878 | 0.0109 | GUC | 0.8889 | 0.878 | 0.0109 | |
| GUG | 0.4444 | 0.9756 | −0.5312 | GUG | 0.4444 | 0.9756 | −0.5312 | GUG | 0.4444 | 0.9756 | −0.5312 | |
| GUU | 1.5556 | 0.878 | 0.6776 | GUU | 1.5556 | 0.878 | 0.6776 | GUU | 1.5556 | 0.878 | 0.6776 | |
| Trp | UGG | 1 | 1 | 0 | UGG | 1 | 1 | 0 | UGG | 1 | 1 | 0 |
| Tyr | UAC | 0.3333 | 0.7273 | −0.394 | UAC | 0.3333 | 0.7273 | −0.394 | UAC | 0.3333 | 0.6667 | −0.3334 |
| UAU | 1.6667 | 1.2727 | 0.394 | UAU | 1.6667 | 1.2727 | 0.394 | UAU | 1.6667 | 1.3333 | 0.3334 | |
Disclaimer/Publisher’s Note: The statements, opinions and data contained in all publications are solely those of the individual author(s) and contributor(s) and not of MDPI and/or the editor(s). MDPI and/or the editor(s) disclaim responsibility for any injury to people or property resulting from any ideas, methods, instructions or products referred to in the content. |
© 2025 by the authors. Licensee MDPI, Basel, Switzerland. This article is an open access article distributed under the terms and conditions of the Creative Commons Attribution (CC BY) license (https://creativecommons.org/licenses/by/4.0/).
Share and Cite
Shen, Y.; Qi, L.; Yang, L.; Lu, X.; Liu, J.; Wang, J. Natural Selection as the Primary Driver of Codon Usage Bias in the Mitochondrial Genomes of Three Medicago Species. Genes 2025, 16, 673. https://doi.org/10.3390/genes16060673
Shen Y, Qi L, Yang L, Lu X, Liu J, Wang J. Natural Selection as the Primary Driver of Codon Usage Bias in the Mitochondrial Genomes of Three Medicago Species. Genes. 2025; 16(6):673. https://doi.org/10.3390/genes16060673
Chicago/Turabian StyleShen, Yingfang, Leping Qi, Lijuan Yang, Xingxing Lu, Jiaqian Liu, and Jiuli Wang. 2025. "Natural Selection as the Primary Driver of Codon Usage Bias in the Mitochondrial Genomes of Three Medicago Species" Genes 16, no. 6: 673. https://doi.org/10.3390/genes16060673
APA StyleShen, Y., Qi, L., Yang, L., Lu, X., Liu, J., & Wang, J. (2025). Natural Selection as the Primary Driver of Codon Usage Bias in the Mitochondrial Genomes of Three Medicago Species. Genes, 16(6), 673. https://doi.org/10.3390/genes16060673
