Sign in to use this feature.

Years

Between: -

Subjects

remove_circle_outline
remove_circle_outline
remove_circle_outline
remove_circle_outline
remove_circle_outline

Journals

Article Types

Countries / Regions

Search Results (10)

Search Parameters:
Keywords = FDSOI MOSFETs

Order results
Result details
Results per page
Select all
Export citation of selected articles as:
15 pages, 4087 KB  
Article
A 0.4 V CMOS Current-Controlled Tunable Ring Oscillator for Low-Power IoT and Biomedical Applications
by Md Anas Abdullah, Mohamed B. Elamien and M. Jamal Deen
Electronics 2025, 14(11), 2209; https://doi.org/10.3390/electronics14112209 - 29 May 2025
Cited by 2 | Viewed by 3308
Abstract
This work presents a current-controlled CMOS ring oscillator (CCRO) optimized for ultra-low-voltage applications in next-generation energy-constrained systems. Leveraging bulk voltage tuning in 22 nm FDSOI differential inverter stages, the topology enables frequency adjustment while operating MOSFETs in the subthreshold region—critical for minimizing power [...] Read more.
This work presents a current-controlled CMOS ring oscillator (CCRO) optimized for ultra-low-voltage applications in next-generation energy-constrained systems. Leveraging bulk voltage tuning in 22 nm FDSOI differential inverter stages, the topology enables frequency adjustment while operating MOSFETs in the subthreshold region—critical for minimizing power in sub-1 V environments. Simulations at 0.4 V supply demonstrate robust performance: a three-stage oscillator achieves a 537–800 MHz tuning range with bias current (IBIAS) modulation from 30–130 nA, while a four-stage configuration spans 388–587 MHz. At 70 nA IBIAS, the three-stage design delivers a nominal frequency of 666.8 MHz with just 10.23 µW power dissipation, underscoring its suitability for ultra-low-power IoT and biomedical applications. The oscillator’s linear frequency sensitivity (2.63 MHz/nA) allows precise, dynamic control over performance–power tradeoffs. To address diverse application needs, the design integrates three tunability mechanisms: programmable capacitor arrays for coarse frequency adjustments, configurable stage counts (three- or four-stage topologies), and supply voltage scaling. This multi-modal approach extends the operational range to 1 MHz–1 GHz, ensuring compatibility with low-speed sensor interfaces and high-speed edge-computing tasks. The CCRO’s subthreshold operation at 0.4 V—coupled with nanoampere-level current consumption—makes it uniquely suited for battery-less systems, wearable health monitors, and implantable medical devices where energy efficiency and adaptive clocking are paramount. By eliminating traditional voltage-controlled oscillators’ complexity, this topology offers a compact, scalable solution for emerging ultra-low-power technologies. Full article
Show Figures

Figure 1

16 pages, 14263 KB  
Article
The Planar Core–Shell Junctionless MOSFET
by Cunhua Dou, Weijia Song, Yu Yan, Xuan Zhang, Zhiyu Tang, Xing Zhao, Fanyu Liu, Shujian Xue, Huabin Sun, Jing Wan, Binhong Li, Yun Wang, Tianchun Ye, Yong Xu and Sorin Cristoloveanu
Micromachines 2025, 16(4), 418; https://doi.org/10.3390/mi16040418 - 31 Mar 2025
Cited by 3 | Viewed by 1271
Abstract
The core–shell junctionless MOSFET (CS-JL FET) meets the process requirements of FD-SOI technology. The transistor body comprises a heavily doped ultrathin layer (core linking the source and the drain), located underneath an undoped layer (shell). Drain current, transconductance, and capacitance characteristics demonstrate striking [...] Read more.
The core–shell junctionless MOSFET (CS-JL FET) meets the process requirements of FD-SOI technology. The transistor body comprises a heavily doped ultrathin layer (core linking the source and the drain), located underneath an undoped layer (shell). Drain current, transconductance, and capacitance characteristics demonstrate striking performance improvement compared with conventional junctionless MOSFETs. The addition of the shell results in one order of magnitude higher mobility (peak value), transconductance, and drive current. The doping and thickness of the core can be engineered to achieve a positive threshold voltage for normally-off operation. The CS-JL FET is compatible with back-biasing and downscaling schemes. The physical mechanisms are revealed by emphasizing the roles of the main device parameters. Full article
(This article belongs to the Section D1: Semiconductor Devices)
Show Figures

Figure 1

13 pages, 11751 KB  
Article
Research on the Coupling Effect of NBTI and TID for FDSOI pMOSFETs
by Hao Wei, Hongxia Liu, Shulong Wang, Shupeng Chen, Chenyv Yin, Yaolin Chen and Tianzhi Gao
Micromachines 2024, 15(6), 702; https://doi.org/10.3390/mi15060702 - 25 May 2024
Cited by 3 | Viewed by 1459
Abstract
The coupling effect of negative bias temperature instability (NBTI) and total ionizing dose (TID) was investigated by simulation based on the fully depleted silicon on insulator (FDSOI) PMOS. After simulating the situation of irradiation after NBT stress, it was found that the NBTI [...] Read more.
The coupling effect of negative bias temperature instability (NBTI) and total ionizing dose (TID) was investigated by simulation based on the fully depleted silicon on insulator (FDSOI) PMOS. After simulating the situation of irradiation after NBT stress, it was found that the NBTI effect weakens the threshold degradation of FDSOI PMOS under irradiation. Afterward, NBT stress was decomposed into high gate voltage stress and high-temperature stress, which was applied to the device simultaneously with irradiation. The devices under high gate voltage exhibited more severe threshold voltage degradation after irradiation compared to those under low gate voltage. Devices at high temperatures also exhibit more severe threshold degradation after irradiation compared to devices under low temperatures. Finally, the simultaneous effect of high gate voltage, high temperature, and irradiation on the device was investigated, which fully demonstrated the impact of the NBT stress on the TID effect, resulting in far more severe threshold voltage degradation. Full article
(This article belongs to the Section D1: Semiconductor Devices)
Show Figures

Figure 1

14 pages, 4088 KB  
Article
Mechanism of Random Telegraph Noise in 22-nm FDSOI-Based MOSFET at Cryogenic Temperatures
by Yue Ma, Jinshun Bi, Hanbin Wang, Linjie Fan, Biyao Zhao, Lizhi Shen and Mengxin Liu
Nanomaterials 2022, 12(23), 4344; https://doi.org/10.3390/nano12234344 - 6 Dec 2022
Cited by 10 | Viewed by 3870
Abstract
In the emerging process-based transistors, random telegraph noise (RTN) has become a critical reliability problem. However, the conventional method to analyze RTN properties may not be suitable for the advanced silicon-on-insulator (SOI)-based transistors, such as the fully depleted SOI (FDSOI)-based transistors. In this [...] Read more.
In the emerging process-based transistors, random telegraph noise (RTN) has become a critical reliability problem. However, the conventional method to analyze RTN properties may not be suitable for the advanced silicon-on-insulator (SOI)-based transistors, such as the fully depleted SOI (FDSOI)-based transistors. In this paper, the mechanism of RTN in a 22-nm FDSOI-based metal–oxide–semiconductor field-effect transistor (MOSFET) is discussed, and an improved approach to analyzing the relationship between the RTN time constants, the trap energy, and the trap depth of the device at cryogenic temperatures is proposed. The cryogenic measurements of RTN in a 22-nm FDSOI-based MOSFET were carried out and analyzed using the improved approach. In this approach, the quantum mechanical effects and diffuse scattering of electrons at the oxide–silicon interface are considered, and the slope of the trap potential determined by the gate voltage relation is assumed to decrease proportionally with temperature as a result of the electron distribution inside the top silicon, per the technology computer-aided design (TCAD) simulations. The fitted results of the improved approach have good consistency with the measured curves at cryogenic temperatures from 10 K to 100 K. The fitted trap depth was 0.13 nm, and the decrease in the fitted correction coefficient of the electron distribution proportionally with temperature is consistent with the aforementioned assumption. Full article
Show Figures

Figure 1

11 pages, 1703 KB  
Article
A Compact Model for Single-Event Transient in Fully Depleted Silicon on Insulator MOSFET Considering the Back-Gate Voltage Based on Time-Domain Components
by Kewei Wang, Xinyi Zhang, Bo Li, Duoli Li, Fazhan Zhao, Jianhui Bu and Zhengsheng Han
Electronics 2022, 11(23), 4022; https://doi.org/10.3390/electronics11234022 - 4 Dec 2022
Cited by 3 | Viewed by 2061
Abstract
FDSOI (Fully Depleted Silicon On Insulator) devices have a good performance in anti-single-event circuits. However, the bipolar amplification effect becomes a severe problem due to the buried oxide. The previous models for Single Event Transient (SET) of FDSOI did not fully consider the [...] Read more.
FDSOI (Fully Depleted Silicon On Insulator) devices have a good performance in anti-single-event circuits. However, the bipolar amplification effect becomes a severe problem due to the buried oxide. The previous models for Single Event Transient (SET) of FDSOI did not fully consider the current of all components. Most importantly, they did not take the influence of the back-gate voltage into account. Thus, this paper presents a modeling method for the SET current in FDSOI MOSFET where all three components are modeled individually. The prompt current and diffusion current are modeled with a current source respectively. The Berkeley Short-channel IGFET Model for Silicon-on-Insulator (BSIMSOI) model is integrated into this model to calculate the bipolar amplification current. Compared to using the bipolar transistor model, this method avoids additional current input from the base electrode. It is more consistent with the mechanism of bipolar amplification effect for FDSOI devices without body contact. Instantaneously, an improved model is proposed that considers the influence of the back-gate voltage on the SET of the FDSOI devices. All models are validated through Technology Computer Aided Design (TCAD)simulation results. Full article
(This article belongs to the Section Microelectronics)
Show Figures

Figure 1

19 pages, 23653 KB  
Article
A Computationally Efficient Model for FDSOI MOSFETs and Its Application for Delay Variability Analysis
by Zhiyi Mao, Yuping Wu, Lan Chen and Xuelian Zhang
Appl. Sci. 2022, 12(10), 5167; https://doi.org/10.3390/app12105167 - 20 May 2022
Cited by 5 | Viewed by 2934
Abstract
This paper proposes a compact, physics-based current model for fully depleted silicon-on-insulator (FDSOI) MOSFETs and applies it to delay variability analysis. An analytical method is applied to avoid the numerical iterations required in the evaluation of surface potential, which directly improves the computational [...] Read more.
This paper proposes a compact, physics-based current model for fully depleted silicon-on-insulator (FDSOI) MOSFETs and applies it to delay variability analysis. An analytical method is applied to avoid the numerical iterations required in the evaluation of surface potential, which directly improves the computational efficiency. The accuracy of the explicit surface potential approximation is 190.3 nV, which allows for fast convergence. Surface potential and current calculations achieve 1.8× and 1.4× acceleration compared with BSIM-IMG, respectively. To establish the relationship between delay and underlying process parameters, we introduce the effective current and propose a process variation-aware delay prediction model. Higher-order derivatives are calculated to compensate the nonlinearity of delay variations with respect to process parameters. Experiments show a significant improvement in the prediction accuracy with higher-order derivatives, which are proved to be able to handle nonlinearity under process variations. The front gate work function contributes the most to the nonlinearity of the delay variation and the accuracy of the third-order prediction is 4.07%. Under the variation in the channel length and width, front and back gate oxide thickness and body thickness, delay variations have similar characteristics and the second-order prediction is found to be sufficient to model the nonlinearity with a maximum relative error of 1.22%. The delay prediction model only requires a single-point HSPICE DC or transient simulation and is universal for different voltages and different cells. Compared with the Monte Carlo (MC) simulation, the accuracy of the first-order prediction in the above-threshold region (0.8 V) is 0.94%. In the sub-threshold region (0.3 V), a prediction accuracy of 2.01% can be obtained while achieving a 21× reduction in computational time. Full article
(This article belongs to the Special Issue Device Modeling for TCAD and Circuit Simulation)
Show Figures

Figure 1

16 pages, 538 KB  
Article
An Electron Waveguide Model for FDSOI Transistors
by Ulrich Wulf
Solids 2022, 3(2), 203-218; https://doi.org/10.3390/solids3020014 - 15 Apr 2022
Cited by 3 | Viewed by 3011
Abstract
We extend our previous semi-empirical model for quantum transport in a conventional nano-MOSFET to FDSOI transistors. In ultra-thin-body and -BOX (UTBB) FDSOI transistors, the electron channel can be treated as an electron waveguide. In the abrupt transition approximation, it is possible to derive [...] Read more.
We extend our previous semi-empirical model for quantum transport in a conventional nano-MOSFET to FDSOI transistors. In ultra-thin-body and -BOX (UTBB) FDSOI transistors, the electron channel can be treated as an electron waveguide. In the abrupt transition approximation, it is possible to derive an analytical approximation for the potential seen by the charge carriers. With these approximations we calculate the threshold voltage and the transfer characteristics, finding remarkably good agreement with experiments in the OFF-state given the relative simplicity of our model. In the ON-state, our theory fails because Coulomb interaction between the free charge carriers and the device heating is neglected in our approach. Full article
(This article belongs to the Special Issue Solids in Europe)
Show Figures

Figure 1

15 pages, 2008 KB  
Article
A Feasible Alternative to FDSOI and FinFET: Optimization of W/La2O3/Si Planar PMOS with 14 nm Gate-Length
by Siew Kien Mah, Pin Jern Ker, Ibrahim Ahmad, Noor Faizah Zainul Abidin and Mansur Mohammed Ali Gamel
Materials 2021, 14(19), 5721; https://doi.org/10.3390/ma14195721 - 30 Sep 2021
Cited by 14 | Viewed by 4338
Abstract
At the 90-nm node, the rate of transistor miniaturization slows down due to challenges in overcoming the increased leakage current (Ioff). The invention of high-k/metal gate technology at the 45-nm technology node was an enormous step forward in extending Moore’s [...] Read more.
At the 90-nm node, the rate of transistor miniaturization slows down due to challenges in overcoming the increased leakage current (Ioff). The invention of high-k/metal gate technology at the 45-nm technology node was an enormous step forward in extending Moore’s Law. The need to satisfy performance requirements and to overcome the limitations of planar bulk transistor to scales below 22 nm led to the development of fully depleted silicon-on-insulator (FDSOI) and fin field-effect transistor (FinFET) technologies. The 28-nm wafer planar process is the most cost-effective, and scaling towards the sub-10 nm technology node involves the complex integration of new materials (Ge, III-V, graphene) and new device architectures. To date, planar transistors still command >50% of the transistor market and applications. This work aims to downscale a planar PMOS to a 14-nm gate length using La2O3 as the high-k dielectric material. The device was virtually fabricated and electrically characterized using SILVACO. Taguchi L9 and L27 were employed to study the process parameters’ variability and interaction effects to optimize the process parameters to achieve the required output. The results obtained from simulation using the SILVACO tool show good agreement with the nominal values of PMOS threshold voltage (Vth) of −0.289 V ± 12.7% and Ioff of less than 10−7 A/µm, as projected by the International Technology Roadmap for Semiconductors (ITRS). Careful control of SiO2 formation at the Si interface and rapid annealing processing are required to achieve La2O3 thermal stability at the target equivalent oxide thickness (EOT). The effects of process variations on Vth, Ion and Ioff were investigated. The improved voltage scaling resulting from the lower Vth value is associated with the increased Ioff due to the improved drain-induced barrier lowering as the gate length decreases. The performance of the 14-nm planar bulk PMOS is comparable to the performance of the FDSOI and FinFET technologies at the same gate length. The comparisons made with ITRS, the International Roadmap for Devices and Systems (IRDS), and the simulated and experimental data show good agreement and thus prove the validity of the developed model for PMOSs. Based on the results demonstrated, planar PMOSs could be a feasible alternative to FDSOI and FinFET in balancing the trade-off between performance and cost in the 14-nm process. Full article
(This article belongs to the Special Issue Electronic and Optical Properties of Heterostructures)
Show Figures

Figure 1

9 pages, 2007 KB  
Article
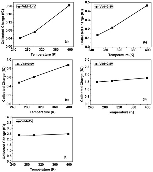
Supply Voltage and Temperature Dependence of Single-Event Transient in 28-nm FDSOI MOSFETs
by Jingyan Xu, Yang Guo, Ruiqiang Song, Bin Liang and Yaqing Chi
Symmetry 2019, 11(6), 793; https://doi.org/10.3390/sym11060793 - 14 Jun 2019
Cited by 10 | Viewed by 4217
Abstract
Based on three-dimensional (3D) technology computer aided design (TCAD) simulations, the supply voltage and temperature dependence of single-event transient (SET) pulse width in 28-nm fully-depleted silicon-on-insulator (FDSOI) metal-oxide-semiconductor field-effect transistors (MOSFETs) is investigated. FDSOI MOSFETs are symmetry devices with a superior control of [...] Read more.
Based on three-dimensional (3D) technology computer aided design (TCAD) simulations, the supply voltage and temperature dependence of single-event transient (SET) pulse width in 28-nm fully-depleted silicon-on-insulator (FDSOI) metal-oxide-semiconductor field-effect transistors (MOSFETs) is investigated. FDSOI MOSFETs are symmetry devices with a superior control of the short channel effects (SCEs) and single-event effects (SEEs). Previous studies have suggested that the SET width is invariant when the temperature changes in FDSOI devices. Simulation results show that the SET pulse width increases as the supply voltage decreases. When the supply voltage is below 0.6 V, the SET pulse width increases sharply with the decrease of the supply voltage. The SET pulse width is not sensitive to temperature when the supply voltage is 1 V. However, when the supply voltage is 0.6 V or less, the SET pulse width exhibits an anti-temperature effect, and the anti-temperature effect is significantly enhanced as the supply voltage drops. Besides, the mechanism is analyzed from the aspects of saturation current and charge collection. Full article
Show Figures

Figure 1

13 pages, 1253 KB  
Article
0.5 µW Sub-Threshold Operational Transconductance Amplifiers Using 0.15 µm Fully Depleted Silicon-on-Insulator (FDSOI) Process
by Piotr Olejarz, Kyoungchul Park, Samuel MacNaughton, Mehmet R. Dokmeci and Sameer Sonkusale
J. Low Power Electron. Appl. 2012, 2(2), 155-167; https://doi.org/10.3390/jlpea2020155 - 18 May 2012
Cited by 4 | Viewed by 12280
Abstract
We present a low voltage, low power operational transconductance amplifier (OTA) designed using a Fully Depleted Silicon-on-Insulator (FDSOI) process. For very low voltage application down to 0.5 V, two-stage miller-compensated OTAs with both p-channel MOSFET (PMOS) and n-channel MOSFET (NMOS) differential input have [...] Read more.
We present a low voltage, low power operational transconductance amplifier (OTA) designed using a Fully Depleted Silicon-on-Insulator (FDSOI) process. For very low voltage application down to 0.5 V, two-stage miller-compensated OTAs with both p-channel MOSFET (PMOS) and n-channel MOSFET (NMOS) differential input have been investigated in a FDSOI complementary metal oxide semiconductor (CMOS) 150 nm process, using 0.5 V threshold transistors. Both differential input OTAs have been designed to operate from the standard 1.5 V down to 0.5 V with appropriate trade-offs in gain and bandwidth. The NMOS input OTA has a simulated gain/3 dB-bandwidth/power metric of 9.6 dB/39.6 KHz/0.48 µW at 0.6 V and 46.6 dB/45.01 KHz/10.8 µW at 1.5 V. The PMOS input OTA has a simulated metric of 19.7 dB/18.3 KHz/0.42 µW at 0.4 V and 53 dB/1.4 KHz/1.6 µW at 1.5 V with a bias current of 125 nA. The fabricated OTAs have been tested and verified with unity-gain configuration down to a 0.5 V supply voltage. Comparison with bulk process, namely the IBM 180 nm node is provided and with relevant discussion on the use of FDSOI process for low voltage analog design. Full article
(This article belongs to the Special Issue Selected Papers from SubVt 2011 Conference)
Show Figures

Figure 1

Back to TopTop