Research on the Coupling Effect of NBTI and TID for FDSOI pMOSFETs
Abstract
1. Introduction
2. Simulation Details
2.1. Device Model and Electrical Parameter Extraction
2.2. Physical Model for Simulating NBTI Effect
2.3. Physical Model for Simulating TID Effect
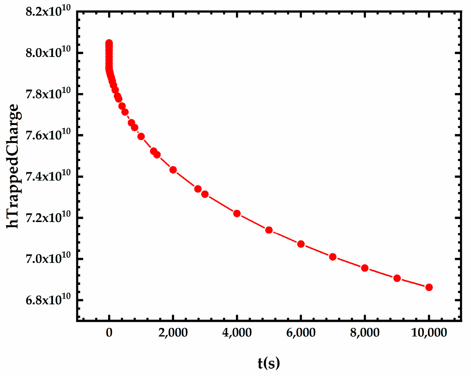
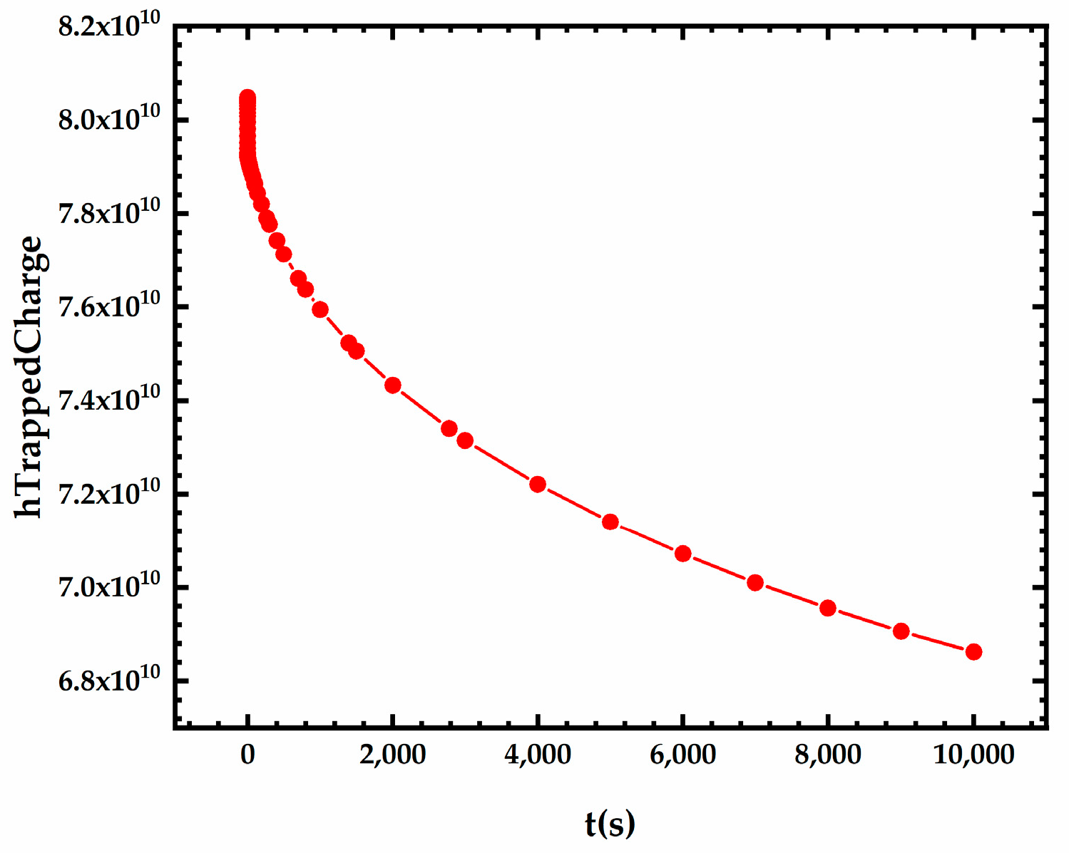
3. Results and Discussion
3.1. NBTI after TID
3.2. Simultaneous Effect of NBTI and TID
4. Conclusions
Author Contributions
Funding
Data Availability Statement
Conflicts of Interest
References
- Barnaby, H.J. Total-Ionizing-Dose Effects in Modern CMOS Technologies. IEEE Trans. Nucl. Sci. 2006, 53, 3103–3121. [Google Scholar] [CrossRef]
- Rathod, S.S.; Saxena, A.K.; Dasgupta, S. Alpha-Particle-Induced Effects in Partially Depleted Silicon on Insulator Device: With and without Body Contact. IET Circuits Devices Syst. 2011, 5, 52–58. [Google Scholar] [CrossRef]
- Mookerjea, S. Band-to-Band Tunneling Field Effect Transistor for Low Power Logic and Memory Applications: Design, Fabrication and Characterization. Ph.D. Thesis, The Pennsylvania State University, State College, PA, USA, 2010. [Google Scholar]
- Bi, J.-S.; Liu, G.; Luo, J.-J.; Han, Z.-S. Numerical Simulation of Single-Event-Transient Effects on Ultra-Thin-Body Fully-Depleted Silicon-on-Insulator Transistor Based on 22 Nm Process Node. Acta Phys. Sin. 2013, 62, 208501. [Google Scholar]
- Bi, J.; Reed, R.A.; Schrimpf, R.D.; Fleetwood, D.M.; Han, Z. Neutron-Induced Single-Event-Transient Effects in Ultrathin-Body Fully-Depleted-Silicon-on-Insulator MOSFETs. In Proceedings of the 2013 IEEE International Reliability Physics Symposium (IRPS), Monterey, CA, USA, 14–18 April 2013. [Google Scholar]
- Choudhury, N.; Parihar, N.; Mahapatra, S. Analysis of the Hole Trapping Detrapping Component of NBTI over Extended Temperature Range. In Proceedings of the 2020 IEEE International Reliability Physics Symposium (IRPS), Dallas, TX, USA, 28 April–30 May 2020. [Google Scholar]
- Angot, D.; Rideau, D.; Bravaix, A.; Monsieur, F.; Randriamihaja, Y.M.; Huard, V. New Insights into NBTI Reliability in UTBOX-FDSOI PMOS Transistors. In Proceedings of the 2012 IEEE International Integrated Reliability Workshop Final Report, South Lake Tahoe, CA, USA, 14–18 October 2012. [Google Scholar]
- Yan, G.; Bi, J.; Xu, G.; Xi, K.; Li, B.; Fan, L.; Yin, H. Simulation of Total Ionizing Dose (TID) Effects Mitigation Technique for 22 nm Fully-Depleted-Silicon-on-Insulator (FDSOI) Transistor. IEEE Access 2020, 8, 154898–154905. [Google Scholar] [CrossRef]
- Hughes, H.; McMarr, P.; Alles, M.; Zhang, E.; Arutt, C.; Doris, B.; Liu, D.; Southwick, R.; Oldiges, P. Total Ionizing Dose Radiation Effects on 14 nm FinFET and SOI UTBB Technologies. In Proceedings of the 2015 IEEE Radiation Effects Data Workshop (REDW), Boston, MA, USA, 13–17 July 2015. [Google Scholar]
- Chatzikyriakou, E.; Morgan, K.; de Groot, C.H.K. Total Ionizing Dose Hardened and Mitigation Strategies in Deep Submicrometer CMOS and Beyond. IEEE Trans. Electron Devices 2018, 65, 808–819. [Google Scholar] [CrossRef]
- Mishra, R.; Ioannou, D.E.; Mitra, S.; Gauthier, R. Effect of Floating-Body and Stress Bias on NBTI and HCI on 65-Nm SOI pMOSFETs. IEEE Electron Device Lett. 2008, 29, 262–264. [Google Scholar] [CrossRef]
- Cheng, B.; Brown, A.R.; Roy, S.; Asenov, A. PBTI/NBTI-Related Variability in TB-SOI and DG MOSFETs. IEEE Electron Device Lett. 2010, 31, 408–410. [Google Scholar] [CrossRef][Green Version]
- Simoen, E.; Gaillardin, M.; Paillet, P.; Reed, R.A.; Schrimpf, R.D.; Alles, M.L.; El-Mamouni, F.; Fleetwood, D.M.; Griffoni, A.; Claeys, C. Radiation Effects in Advanced Multiple Gate and Silicon-on-Insulator Transistors. IEEE Trans. Nucl. Sci. 2013, 60, 1970–1991. [Google Scholar] [CrossRef]
- Wang, J.; Wang, W.; Huang, D.; Xue, S.; Wang, S.; Liu, W.; Huang, R. The Combined Impact of Total Ionizing Dose Effect and Negative Bias Temperature Stress on Deep Sub-Micron pMOSFETs. ECS Trans. 2010, 14, 61–66. [Google Scholar] [CrossRef]
- Peng, C.; En, Y.; Lei, Z.; Gao, R.; Zhang, Z.; He, Y.; Chen, Y.; Huang, Y. Influence of Buried Oxide Si+ Implantation on TID and NBTI Effects for PDSOI MOSFETs. IEEE Trans. Nucl. Sci. 2021, 68, 156–164. [Google Scholar] [CrossRef]
- Peng, C.; Gao, R.; Lei, Z.; Zhang, Z.; Chen, Y.; En, Y.F.; Huang, Y. Research on Negative Bias Temperature Instability Effects under the Coupling of Total Ionizing Dose Irradiation for PDSOI MOSFETs. IEEE Access 2021, 9, 22587–22594. [Google Scholar] [CrossRef]
- Liu, C.; Xiao, Z.; Ma, S.; Bi, D.; Hu, Z.; Zhang, Z.; Zou, S. Analysis of DC Characteristics in PDSOI pMOSFETs under the Combined Effect of NBTI and TID. IEEE Trans. Nucl. Sci. 2022, 69, 1148–1156. [Google Scholar] [CrossRef]
- Wang, Y.; Wang, C.; Chen, T.; Liu, H.; Kuo, C.; Zhou, K.; Yin, B.; Chen, L.; Sun, Q.Q. Front-Plane and Back-Plane Bias Temperature Instability of 22 nm Gate-Last FDSOI MOSFETs. In Proceedings of the 2020 IEEE International Reliability Physics Symposium (IRPS), Dallas, TX, USA, 28 April–30 May 2020. [Google Scholar]
- Alam, M.A.; Mahapatra, S. A Comprehensive Model of Pmos NBTI Degradation. Microelectron. Reliab. 2005, 45, 71–81. [Google Scholar] [CrossRef]
- Paillet, P.; Touron, J.L.; Leray, J.L.; Cirba, C.; Michez, A. Simulation of Multi-Level Radiation-Induced Charge Trapping and Thermally Activated Phenomena in SiO2. IEEE Trans. Nucl. Sci. 1998, 45, 1379–1384. [Google Scholar] [CrossRef]
- Sentaurus Device User Guide; Synopsys, Inc.: Sunnyvale, CA, USA, 2018.
- Wang, J.; Li, B.; Huang, Y.; Zhao, K.; Yu, F.; Zheng, Q.; Guo, Q.; Xu, L.; Gao, J.; Cai, X.; et al. The Total Ionizing Dose Response of Leading-Edge FDSOI MOSFETs. Microelectron. Reliab. 2018, 88–90, 979–983. [Google Scholar] [CrossRef]













| source drain gaussian doping peak value (cm−3) | 1 × 1020 |
| source drain gaussian doping minimum value (cm−3) | 4 × 1017 |
| LDD gaussian doping peak value (cm−3) | 5 × 1017 |
| LDD gaussian doping minimum value (cm−3) | 1 × 1016 |
| channel doping (cm−3) | 1 × 1015 |
| P type backplane doping (cm−3) | 1 × 1018 |
| work function (eV) | 4.71 |
| Parameters | Value |
|---|---|
| (cm2/s) | 5 × 10−13 |
| (eV) | 0.37 |
| (cm−3) | 1 × 10−15 |
| (s−1) | 5 × 10−12 |
| (cm−3) | 2 × 107 |
| (cm−3) | 5 × 1013 |
| 0.33 | |
| (eV∙cmρ/Vρ) | −3.8 × 10−3 |
| (cm/V) | −5 × 10−8 |
| Parameters | Value |
|---|---|
| (cm−3) | 8 × 1017 |
| (rad−1∙cm−3) | 1 × 1013 |
| (V/cm) | 0.1 |
| (V/cm) | 1.35 × 106 |
| 0.9 | |
| (cm2) | 5 × 10−14 |
| (cm2) | 5.1 × 10−14 |
| (cm/V) | 1.9 × 10−4 |
| (cm/V) | 1.2 × 1015 |
| −1 | |
| 0.55 | |
| 1 |
| Bias State | VG | VD | VS | VB |
|---|---|---|---|---|
| OFF | 0 V | −0.9 V | 0 V | 0 V |
| ON | −0.9 V | 0 V | 0 V | 0 V |
| TG | 0 V | −0.9 V | −0.9 V | 0 V |
| Stress Condition | ∆Vth |
|---|---|
| Irradiation with Dose = 300 Krad, Vg = −0.9 V, T = 25 °C | 11.47 mV |
| Irradiation with Dose=300 Krad, Vg = −1.8 V, T = 25 °C | 29.46 mV |
| Irradiation with Dose = 300 Krad, Vg = −0.9 V, T = 125 °C | 35.16 mV |
| Irradiation with Dose = 300 Krad, Vg = −1.8 V, T = 125 °C | 109.23 mV |
Disclaimer/Publisher’s Note: The statements, opinions and data contained in all publications are solely those of the individual author(s) and contributor(s) and not of MDPI and/or the editor(s). MDPI and/or the editor(s) disclaim responsibility for any injury to people or property resulting from any ideas, methods, instructions or products referred to in the content. |
© 2024 by the authors. Licensee MDPI, Basel, Switzerland. This article is an open access article distributed under the terms and conditions of the Creative Commons Attribution (CC BY) license (https://creativecommons.org/licenses/by/4.0/).
Share and Cite
Wei, H.; Liu, H.; Wang, S.; Chen, S.; Yin, C.; Chen, Y.; Gao, T. Research on the Coupling Effect of NBTI and TID for FDSOI pMOSFETs. Micromachines 2024, 15, 702. https://doi.org/10.3390/mi15060702
Wei H, Liu H, Wang S, Chen S, Yin C, Chen Y, Gao T. Research on the Coupling Effect of NBTI and TID for FDSOI pMOSFETs. Micromachines. 2024; 15(6):702. https://doi.org/10.3390/mi15060702
Chicago/Turabian StyleWei, Hao, Hongxia Liu, Shulong Wang, Shupeng Chen, Chenyv Yin, Yaolin Chen, and Tianzhi Gao. 2024. "Research on the Coupling Effect of NBTI and TID for FDSOI pMOSFETs" Micromachines 15, no. 6: 702. https://doi.org/10.3390/mi15060702
APA StyleWei, H., Liu, H., Wang, S., Chen, S., Yin, C., Chen, Y., & Gao, T. (2024). Research on the Coupling Effect of NBTI and TID for FDSOI pMOSFETs. Micromachines, 15(6), 702. https://doi.org/10.3390/mi15060702

