Sign in to use this feature.

Years

Between: -

Subjects

remove_circle_outline
remove_circle_outline
remove_circle_outline
remove_circle_outline

Journals

Article Types

Countries / Regions

Search Results (14)

Search Parameters:
Keywords = F-actin filament length

Order results
Result details
Results per page
Select all
Export citation of selected articles as:
14 pages, 3713 KB  
Article
Titin’s Intrinsically Disordered PEVK Domain Modulates Actin Polymerization
by Áron Gellért Altorjay, Hedvig Tordai, Ádám Zolcsák, Nikoletta Kósa, Tamás Hegedűs and Miklós Kellermayer
Int. J. Mol. Sci. 2025, 26(14), 7004; https://doi.org/10.3390/ijms26147004 - 21 Jul 2025
Viewed by 1247
Abstract
The multi-domain muscle protein titin provides elasticity and mechanosensing functions to the sarcomere. Titin’s PEVK domain is intrinsically disordered due to the presence of a large number of prolines and highly charged residues. Although PEVK does not have canonical actin-binding motifs, it has [...] Read more.
The multi-domain muscle protein titin provides elasticity and mechanosensing functions to the sarcomere. Titin’s PEVK domain is intrinsically disordered due to the presence of a large number of prolines and highly charged residues. Although PEVK does not have canonical actin-binding motifs, it has been shown to bind F-actin. Here, we explored whether the PEVK domain may also affect actin assembly. We cloned the middle, 733-residue-long segment (called PEVKII) of the full-length PEVK domain, expressed in E. coli and purified by using His- and Avi-tags engineered to the N- and C-termini, respectively. Actin assembly was monitored by the pyrene assay in the presence of varying PEVKII concentrations. The structural features of PEVKII-associated F-actin were studied with atomic force microscopy. The added PEVKII enhanced the initial and log-phase rates of actin assembly and the peak F-actin quantity in a concentration-dependent way. However, the critical concentration of actin polymerization was unaltered. Thus, PEVK accelerates actin polymerization by facilitating its nucleation. This effect was highlighted in the AFM images of F-actin–PEVKII adsorbed to the supported lipid bilayer. The sample was dominated by radially symmetric complexes of short actin filaments. PEVK’s actin polymerization-modulating effect may, in principle, have a function in regulating sarcomeric actin length and turnover. Altogether, titin’s PEVK domain is not only a non-canonical actin-binding protein that regulates sarcomeric shortening, but one that may modulate actin polymerization as well. Full article
(This article belongs to the Special Issue Biomolecular Structure, Function and Interactions: 2nd Edition)
Show Figures

Figure 1

15 pages, 27637 KB  
Article
Untangling Irregular Actin Cytoskeleton Architectures in Tomograms of the Cell with Struwwel Tracer
by Salim Sazzed, Peter Scheible, Jing He and Willy Wriggers
Int. J. Mol. Sci. 2023, 24(24), 17183; https://doi.org/10.3390/ijms242417183 - 6 Dec 2023
Cited by 2 | Viewed by 2229
Abstract
In this work, we established, validated, and optimized a novel computational framework for tracing arbitrarily oriented actin filaments in cryo-electron tomography maps. Our approach was designed for highly complex intracellular architectures in which a long-range cytoskeleton network extends throughout the cell bodies and [...] Read more.
In this work, we established, validated, and optimized a novel computational framework for tracing arbitrarily oriented actin filaments in cryo-electron tomography maps. Our approach was designed for highly complex intracellular architectures in which a long-range cytoskeleton network extends throughout the cell bodies and protrusions. The irregular organization of the actin network, as well as cryo-electron-tomography-specific noise, missing wedge artifacts, and map dimensions call for a specialized implementation that is both robust and efficient. Our proposed solution, Struwwel Tracer, accumulates densities along paths of a specific length in various directions, starting from locally determined seed points. The highest-density paths originating from the seed points form short linear candidate filament segments, which are further scrutinized and classified by users via inspection of a novel pruning map, which visualizes the likelihood of being a part of longer filaments. The pruned linear candidate filament segments are then iteratively fused into continuous, longer, and curved filaments based on their relative orientations, gap spacings, and extendibility. When applied to the simulated phantom tomograms of a Dictyostelium discoideum filopodium under experimental conditions, Struwwel Tracer demonstrated high efficacy, with F1-scores ranging from 0.85 to 0.90, depending on the noise level. Furthermore, when applied to a previously untraced experimental tomogram of mouse fibroblast lamellipodia, the filaments predicted by Struwwel Tracer exhibited a good visual agreement with the experimental map. The Struwwel Tracer framework is highly time efficient and can complete the tracing process in just a few minutes. The source code is publicly available with version 3.2 of the free and open-source Situs software package. Full article
Show Figures

Figure 1

12 pages, 2182 KB  
Article
Troponin and a Myopathy-Linked Mutation in TPM3 Inhibit Cofilin-2-Induced Thin Filament Depolymerization
by Katarzyna Robaszkiewicz, Julia Wróbel and Joanna Moraczewska
Int. J. Mol. Sci. 2023, 24(22), 16457; https://doi.org/10.3390/ijms242216457 - 17 Nov 2023
Cited by 4 | Viewed by 2156
Abstract
Uniform actin filament length is required for synchronized contraction of skeletal muscle. In myopathies linked to mutations in tropomyosin (Tpm) genes, irregular thin filaments are a common feature, which may result from defects in length maintenance mechanisms. The current work investigated the effects [...] Read more.
Uniform actin filament length is required for synchronized contraction of skeletal muscle. In myopathies linked to mutations in tropomyosin (Tpm) genes, irregular thin filaments are a common feature, which may result from defects in length maintenance mechanisms. The current work investigated the effects of the myopathy-causing p.R91C variant in Tpm3.12, a tropomyosin isoform expressed in slow-twitch muscle fibers, on the regulation of actin severing and depolymerization by cofilin-2. The affinity of cofilin-2 for F-actin was not significantly changed by either Tpm3.12 or Tpm3.12-R91C, though it increased two-fold in the presence of troponin (without Ca2+). Saturation of the filament with cofilin-2 removed both Tpm variants from the filament, although Tpm3.12-R91C was more resistant. In the presence of troponin (±Ca2+), Tpm remained on the filament, even at high cofilin-2 concentrations. Both Tpm3.12 variants inhibited filament severing and depolymerization by cofilin-2. However, the inhibition was more efficient in the presence of Tpm3.12-R91C, indicating that the pathogenic variant impaired cofilin-2-dependent actin filament turnover. Troponin (±Ca2+) further inhibited but did not completely stop cofilin-2-dependent actin severing and depolymerization. Full article
(This article belongs to the Special Issue Striated Muscle Regulatory Proteins: Function Follows Structure)
Show Figures

Figure 1

17 pages, 3172 KB  
Article
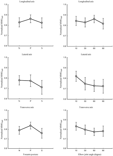
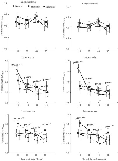
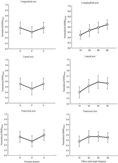
Effect of Forearm Postures and Elbow Joint Angles on Elbow Flexion Torque and Mechanomyography in Neuromuscular Electrical Stimulation of the Biceps Brachii
by Raphael Uwamahoro, Kenneth Sundaraj and Farah Shahnaz Feroz
Sensors 2023, 23(19), 8165; https://doi.org/10.3390/s23198165 - 29 Sep 2023
Cited by 5 | Viewed by 7027
Abstract
Neuromuscular electrical stimulation plays a pivotal role in rehabilitating muscle function among individuals with neurological impairment. However, there remains uncertainty regarding whether the muscle’s response to electrical excitation is affected by forearm posture, joint angle, or a combination of both factors. This study [...] Read more.
Neuromuscular electrical stimulation plays a pivotal role in rehabilitating muscle function among individuals with neurological impairment. However, there remains uncertainty regarding whether the muscle’s response to electrical excitation is affected by forearm posture, joint angle, or a combination of both factors. This study aimed to investigate the effects of forearm postures and elbow joint angles on the muscle torque and MMG signals. Measurements of the torque around the elbow and MMG of the biceps brachii (BB) muscle were conducted in 36 healthy subjects (age, 22.24 ± 2.94 years; height, 172 ± 0.5 cm; and weight, 67.01 ± 7.22 kg) using an in-house elbow flexion testbed and neuromuscular electrical stimulation (NMES) of the BB muscle. The BB muscle was stimulated while the forearm was positioned in the neutral, pronation, or supination positions. The elbow was flexed at angles of 10°, 30°, 60°, and 90°. The study analyzed the impact of the forearm posture(s) and elbow joint angle(s) on the root-mean-square value of the torque (TQRMS). Subsequently, various MMG parameters, such as the root-mean-square value (MMGRMS), the mean power frequency (MMGMPF), and the median frequency (MMGMDF), were analyzed along the longitudinal, lateral, and transverse axes of the BB muscle fibers. The test–retest interclass correlation coefficient (ICC21) for the torque and MMG ranged from 0.522 to 0.828. Repeated-measure ANOVAs showed that the forearm posture and elbow flexion angle significantly influenced the TQRMS (p < 0.05). Similarly, the MMGRMS, MMGMPF, and MMGMDF showed significant differences among all the postures and angles (p < 0.05). However, the combined main effect of the forearm posture and elbow joint angle was insignificant along the longitudinal axis (p > 0.05). The study also found that the MMGRMS and TQRMS increased with increases in the joint angle from 10° to 60° and decreased at greater angles. However, during this investigation, the MMGMPF and MMGMDF exhibited a consistent decrease in response to increases in the joint angle for the lateral and transverse axes of the BB muscle. These findings suggest that the muscle contraction evoked by NMES may be influenced by the interplay between actin and myosin filaments, which are responsible for muscle contraction and are, in turn, influenced by the muscle length. Because restoring the function of limbs is a common goal in rehabilitation services, the use of MMG in the development of methods that may enable the real-time tracking of exact muscle dimensional changes and activation levels is imperative. Full article
(This article belongs to the Section Biosensors)
Show Figures

Figure 1

22 pages, 4098 KB  
Article
Effects of Tropomodulin 2 on Dendritic Spine Reorganization and Dynamics
by Balaganesh Kuruba, Nickolas Starks, Mary Rose Josten, Ori Naveh, Gary Wayman, Marina Mikhaylova and Alla S. Kostyukova
Biomolecules 2023, 13(8), 1237; https://doi.org/10.3390/biom13081237 - 11 Aug 2023
Cited by 1 | Viewed by 2514
Abstract
Dendritic spines are actin-rich protrusions that receive a signal from the axon at the synapse. Remodeling of cytoskeletal actin is tightly connected to dendritic spine morphology-mediated synaptic plasticity of the neuron. Remodeling of cytoskeletal actin is required for the formation, development, maturation, and [...] Read more.
Dendritic spines are actin-rich protrusions that receive a signal from the axon at the synapse. Remodeling of cytoskeletal actin is tightly connected to dendritic spine morphology-mediated synaptic plasticity of the neuron. Remodeling of cytoskeletal actin is required for the formation, development, maturation, and reorganization of dendritic spines. Actin filaments are highly dynamic structures with slow-growing/pointed and fast-growing/barbed ends. Very few studies have been conducted on the role of pointed-end binding proteins in the regulation of dendritic spine morphology. In this study, we evaluated the role played by tropomodulin 2 (Tmod2)—a brain-specific isoform, on the dendritic spine re-organization. Tmod2 regulates actin nucleation and polymerization by binding to the pointed end via actin and tropomyosin (Tpm) binding sites. We studied the effects of Tmod2 overexpression in primary hippocampal neurons on spine morphology using confocal microscopy and image analysis. Tmod2 overexpression decreased the spine number and increased spine length. Destroying Tpm-binding ability increased the number of shaft synapses and thin spine motility. Eliminating the actin-binding abilities of Tmod2 increased the number of mushroom spines. Tpm-mediated pointed-end binding decreased F-actin depolymerization, which may positively affect spine stabilization; the nucleation ability of Tmod2 appeared to increase shaft synapses. Full article
(This article belongs to the Collection Feature Papers in 'Biomacromolecules: Proteins')
Show Figures

Figure 1

19 pages, 21531 KB  
Article
Characterization of Mechanical and Cellular Effects of Rhythmic Vertical Vibrations on Adherent Cell Cultures
by Dongho Kwak, Thomas Combriat, Alexander Refsum Jensenius and Petter Angell Olsen
Bioengineering 2023, 10(7), 811; https://doi.org/10.3390/bioengineering10070811 - 6 Jul 2023
Viewed by 3415
Abstract
This paper presents an innovative experimental setup that employs the principles of audio technology to subject adherent cells to rhythmic vertical vibrations. We employ a novel approach that combines three-axis acceleration measurements and particle tracking velocimetry to evaluate the setup’s performance. This allows [...] Read more.
This paper presents an innovative experimental setup that employs the principles of audio technology to subject adherent cells to rhythmic vertical vibrations. We employ a novel approach that combines three-axis acceleration measurements and particle tracking velocimetry to evaluate the setup’s performance. This allows us to estimate crucial parameters such as root mean square acceleration, fluid flow patterns, and shear stress generated within the cell culture wells when subjected to various vibration types. The experimental conditions consisted of four vibrational modes: No Vibration, Continuous Vibration, Regular Pulse, and Variable Pulse. To evaluate the effects on cells, we utilized fluorescence microscopy and a customized feature extraction algorithm to analyze the F-actin filament structures. Our findings indicate a consistent trend across all vibrated cell cultures, revealing a reduction in size and altered orientation (2D angle) of the filaments. Furthermore, we observed cell accumulations in the G1 cell cycle phase in cells treated with Continuous Vibration and Regular Pulse. Our results demonstrate a negative correlation between the magnitude of mechanical stimuli and the size of F-actin filaments, as well as a positive correlation with the accumulations of cells in the G1 phase of the cell cycle. By unraveling these analyses, this study paves the way for future investigations and provides a compelling framework for comprehending the intricate cellular responses to rhythmic mechanical stimulation. Full article
(This article belongs to the Section Cellular and Molecular Bioengineering)
Show Figures

Figure 1

22 pages, 4193 KB  
Article
Local Microtubule and F-Actin Distributions Fully Constrain the Spatial Geometry of Drosophila Sensory Dendritic Arbors
by Sumit Nanda, Shatabdi Bhattacharjee, Daniel N. Cox and Giorgio A. Ascoli
Int. J. Mol. Sci. 2023, 24(7), 6741; https://doi.org/10.3390/ijms24076741 - 4 Apr 2023
Cited by 2 | Viewed by 2541
Abstract
Dendritic morphology underlies the source and processing of neuronal signal inputs. Morphology can be broadly described by two types of geometric characteristics. The first is dendrogram topology, defined by the length and frequency of the arbor branches; the second is spatial embedding, mainly [...] Read more.
Dendritic morphology underlies the source and processing of neuronal signal inputs. Morphology can be broadly described by two types of geometric characteristics. The first is dendrogram topology, defined by the length and frequency of the arbor branches; the second is spatial embedding, mainly determined by branch angles and straightness. We have previously demonstrated that microtubules and actin filaments are associated with arbor elongation and branching, fully constraining dendrogram topology. Here, we relate the local distribution of these two primary cytoskeletal components with dendritic spatial embedding. We first reconstruct and analyze 167 sensory neurons from the Drosophila larva encompassing multiple cell classes and genotypes. We observe that branches with a higher microtubule concentration tend to deviate less from the direction of their parent branch across all neuron types. Higher microtubule branches are also overall straighter. F-actin displays a similar effect on angular deviation and branch straightness, but not as consistently across all neuron types as microtubule. These observations raise the question as to whether the associations between cytoskeletal distributions and arbor geometry are sufficient constraints to reproduce type-specific dendritic architecture. Therefore, we create a computational model of dendritic morphology purely constrained by the cytoskeletal composition measured from real neurons. The model quantitatively captures both spatial embedding and dendrogram topology across all tested neuron groups. These results suggest a common developmental mechanism regulating diverse morphologies, where the local cytoskeletal distribution can fully specify the overall emergent geometry of dendritic arbors. Full article
(This article belongs to the Special Issue Responsible Factors for Neuromorphogenesis in the Brain)
Show Figures

Figure 1

24 pages, 10575 KB  
Article
Molecular Mechanisms of Deregulation of Muscle Contractility Caused by the R168H Mutation in TPM3 and Its Attenuation by Therapeutic Agents
by Olga E. Karpicheva, Stanislava V. Avrova, Andrey L. Bogdanov, Vladimir V. Sirenko, Charles S. Redwood and Yurii S. Borovikov
Int. J. Mol. Sci. 2023, 24(6), 5829; https://doi.org/10.3390/ijms24065829 - 18 Mar 2023
Cited by 3 | Viewed by 2623
Abstract
The substitution for Arg168His (R168H) in γ-tropomyosin (TPM3 gene, Tpm3.12 isoform) is associated with congenital muscle fiber type disproportion (CFTD) and muscle weakness. It is still unclear what molecular mechanisms underlie the muscle dysfunction seen in CFTD. The aim of this work was [...] Read more.
The substitution for Arg168His (R168H) in γ-tropomyosin (TPM3 gene, Tpm3.12 isoform) is associated with congenital muscle fiber type disproportion (CFTD) and muscle weakness. It is still unclear what molecular mechanisms underlie the muscle dysfunction seen in CFTD. The aim of this work was to study the effect of the R168H mutation in Tpm3.12 on the critical conformational changes that myosin, actin, troponin, and tropomyosin undergo during the ATPase cycle. We used polarized fluorescence microscopy and ghost muscle fibers containing regulated thin filaments and myosin heads (myosin subfragment-1) modified with the 1,5-IAEDANS fluorescent probe. Analysis of the data obtained revealed that a sequential interdependent conformational-functional rearrangement of tropomyosin, actin and myosin heads takes place when modeling the ATPase cycle in the presence of wild-type tropomyosin. A multistep shift of the tropomyosin strands from the outer to the inner domain of actin occurs during the transition from weak to strong binding of myosin to actin. Each tropomyosin position determines the corresponding balance between switched-on and switched-off actin monomers and between the strongly and weakly bound myosin heads. At low Ca2+, the R168H mutation was shown to switch some extra actin monomers on and increase the persistence length of tropomyosin, demonstrating the freezing of the R168HTpm strands close to the open position and disruption of the regulatory function of troponin. Instead of reducing the formation of strong bonds between myosin heads and F-actin, troponin activated it. However, at high Ca2+, troponin decreased the amount of strongly bound myosin heads instead of promoting their formation. Abnormally high sensitivity of thin filaments to Ca2+, inhibition of muscle fiber relaxation due to the appearance of the myosin heads strongly associated with F-actin, and distinct activation of the contractile system at submaximal concentrations of Ca2+ can lead to muscle inefficiency and weakness. Modulators of troponin (tirasemtiv and epigallocatechin-3-gallate) and myosin (omecamtiv mecarbil and 2,3-butanedione monoxime) have been shown to more or less attenuate the negative effects of the tropomyosin R168H mutant. Tirasemtiv and epigallocatechin-3-gallate may be used to prevent muscle dysfunction. Full article
(This article belongs to the Special Issue Molecular Research on Muscle Protein and Myopathies 2.0)
Show Figures

Figure 1

25 pages, 11112 KB  
Article
Unleashed Actin Assembly in Capping Protein-Deficient B16-F1 Cells Enables Identification of Multiple Factors Contributing to Filopodium Formation
by Jens Ingo Hein, Jonas Scholz, Sarah Körber, Thomas Kaufmann and Jan Faix
Cells 2023, 12(6), 890; https://doi.org/10.3390/cells12060890 - 14 Mar 2023
Cited by 6 | Viewed by 4169
Abstract
Background: Filopodia are dynamic, finger-like actin-filament bundles that overcome membrane tension by forces generated through actin polymerization at their tips to allow extension of these structures a few microns beyond the cell periphery. Actin assembly of these protrusions is regulated by accessory proteins [...] Read more.
Background: Filopodia are dynamic, finger-like actin-filament bundles that overcome membrane tension by forces generated through actin polymerization at their tips to allow extension of these structures a few microns beyond the cell periphery. Actin assembly of these protrusions is regulated by accessory proteins including heterodimeric capping protein (CP) or Ena/VASP actin polymerases to either terminate or promote filament growth. Accordingly, the depletion of CP in B16-F1 melanoma cells was previously shown to cause an explosive formation of filopodia. In Ena/VASP-deficient cells, CP depletion appeared to result in ruffling instead of inducing filopodia, implying that Ena/VASP proteins are absolutely essential for filopodia formation. However, this hypothesis was not yet experimentally confirmed. Methods: Here, we used B16-F1 cells and CRISPR/Cas9 technology to eliminate CP either alone or in combination with Ena/VASP or other factors residing at filopodia tips, followed by quantifications of filopodia length and number. Results: Unexpectedly, we find massive formations of filopodia even in the absence of CP and Ena/VASP proteins. Notably, combined inactivation of Ena/VASP, unconventional myosin-X and the formin FMNL3 was required to markedly impair filopodia formation in CP-deficient cells. Conclusions: Taken together, our results reveal that, besides Ena/VASP proteins, numerous other factors contribute to filopodia formation. Full article
(This article belongs to the Special Issue Cellular Integrity under Mechanical Stress)
Show Figures

Figure 1

6 pages, 869 KB  
Communication
Secondary Structure and X-ray Crystallographic Analysis of the Glideosome-Associated Connector (GAC) from Toxoplasma gondii
by Amit Kumar, Xu Zhang, Oscar Vadas, Fisentzos A. Stylianou, Nicolas Dos Santos Pacheco, Sarah L. Rouse, Marc L. Morgan, Dominique Soldati-Favre and Steve Matthews
Crystals 2022, 12(1), 110; https://doi.org/10.3390/cryst12010110 - 15 Jan 2022
Cited by 2 | Viewed by 3547
Abstract
A model for parasitic motility has been proposed in which parasite filamentous actin (F-actin) is attached to surface adhesins by a large component of the glideosome, known as the glideosome-associated connector protein (GAC). This large 286 kDa protein interacts at the cytoplasmic face [...] Read more.
A model for parasitic motility has been proposed in which parasite filamentous actin (F-actin) is attached to surface adhesins by a large component of the glideosome, known as the glideosome-associated connector protein (GAC). This large 286 kDa protein interacts at the cytoplasmic face of the plasma membrane with the phosphatidic acid-enriched inner leaflet and cytosolic tails of surface adhesins to connect them to the parasite actomyosin system. GAC is observed initially to the conoid at the apical pole and re-localised with the glideosome to the basal pole in gliding parasite. GAC presumably functions in force transmission to surface adhesins in the plasma membrane and not in force generation. Proper connection between F-actin and the adhesins is as important for motility and invasion as motor operation itself. This notion highlights the need for new structural information on GAC interactions, which has eluded the field since its discovery. We have obtained crystals that diffracted to 2.6–2.9 Å for full-length GAC from Toxoplasma gondii in native and selenomethionine-labelled forms. These crystals belong to space group P212121; cell dimensions are roughly a = 119 Å, b = 123 Å, c = 221 Å, α = 90°, β = 90° and γ = 90° with 1 molecule per asymmetric unit, suggesting a more compact conformation than previously proposed Full article
(This article belongs to the Special Issue Crystallographic Studies of Enzymes (Volume II))
Show Figures

Figure 1

15 pages, 8311 KB  
Article
Recapitulating Actin Module Organization in the Drosophila Oocyte Reveals New Roles for Bristle-Actin-Modulating Proteins
by Ramesh Kumar Krishnan, Raju Baskar, Bakhrat Anna, Natalie Elia, Mandy Boermel, Andreas R. Bausch and Uri Abdu
Int. J. Mol. Sci. 2021, 22(8), 4006; https://doi.org/10.3390/ijms22084006 - 13 Apr 2021
Viewed by 3669
Abstract
The generation of F-actin bundles is controlled by the action of actin-binding proteins. In Drosophila bristle development, two major actin-bundling proteins—Forked and Fascin—were identified, but still the molecular mechanism by which these actin-bundling proteins and other proteins generate bristle actin bundles is unknown. [...] Read more.
The generation of F-actin bundles is controlled by the action of actin-binding proteins. In Drosophila bristle development, two major actin-bundling proteins—Forked and Fascin—were identified, but still the molecular mechanism by which these actin-bundling proteins and other proteins generate bristle actin bundles is unknown. In this study, we developed a technique that allows recapitulation of bristle actin module organization using the Drosophila ovary by a combination of confocal microscopy, super-resolution structured illumination microscopy, and correlative light and electron microscope analysis. Since Forked generated a distinct ectopic network of actin bundles in the oocyte, the additive effect of two other actin-associated proteins, namely, Fascin and Javelin (Jv), was studied. We found that co-expression of Fascin and Forked demonstrated that the number of actin filaments within the actin bundles dramatically increased, and in their geometric organization, they resembled bristle-like actin bundles. On the other hand, co-expression of Jv with Forked increased the length and density of the actin bundles. When all three proteins co-expressed, the actin bundles were longer and denser, and contained a high number of actin filaments in the bundle. Thus, our results demonstrate that the Drosophila oocyte could serve as a test tube for actin bundle analysis. Full article
(This article belongs to the Section Molecular Biology)
Show Figures

Figure 1

19 pages, 4215 KB  
Article
The Cryogenic Electron Microscopy Structure of the Cell Adhesion Regulator Metavinculin Reveals an Isoform-Specific Kinked Helix in Its Cytoskeleton Binding Domain
by Erumbi S. Rangarajan and Tina Izard
Int. J. Mol. Sci. 2021, 22(2), 645; https://doi.org/10.3390/ijms22020645 - 11 Jan 2021
Cited by 6 | Viewed by 3688
Abstract
Vinculin and its heart-specific splice variant metavinculin are key regulators of cell adhesion processes. These membrane-bound cytoskeletal proteins regulate the cell shape by binding to several other proteins at cell–cell and cell–matrix junctions. Vinculin and metavinculin link integrin adhesion molecules to the filamentous [...] Read more.
Vinculin and its heart-specific splice variant metavinculin are key regulators of cell adhesion processes. These membrane-bound cytoskeletal proteins regulate the cell shape by binding to several other proteins at cell–cell and cell–matrix junctions. Vinculin and metavinculin link integrin adhesion molecules to the filamentous actin network. Loss of both proteins prevents cell adhesion and cell spreading and reduces the formation of stress fibers, focal adhesions, or lamellipodia extensions. The binding of talin at cell–matrix junctions or of α-catenin at cell–cell junctions activates vinculin and metavinculin by releasing their autoinhibitory head–tail interaction. Once activated, vinculin and metavinculin bind F-actin via their five-helix bundle tail domains. Unlike vinculin, metavinculin has a 68-amino-acid insertion before the second α-helix of this five-helix F-actin–binding domain. Here, we present the full-length cryogenic electron microscopy structure of metavinculin that captures the dynamics of its individual domains and unveiled a hallmark structural feature, namely a kinked isoform-specific α-helix in its F-actin-binding domain. Our identified conformational landscape of metavinculin suggests a structural priming mechanism that is consistent with the cell adhesion functions of metavinculin in response to mechanical and cellular cues. Our findings expand our understanding of metavinculin function in the heart with implications for the etiologies of cardiomyopathies. Full article
(This article belongs to the Section Macromolecules)
Show Figures

Figure 1

15 pages, 7711 KB  
Review
Physiological Significance of the Force-Velocity Relation in Skeletal Muscle and Muscle Fibers
by Haruo Sugi and Tetsuo Ohno
Int. J. Mol. Sci. 2019, 20(12), 3075; https://doi.org/10.3390/ijms20123075 - 24 Jun 2019
Cited by 12 | Viewed by 10296
Abstract
The relation between the force (load) and the velocity of shortening (V) in contracting skeletal muscle is part of a rectangular hyperbola: (P + a) V = b(PoP); where Po is the maximum isometric force and [...] Read more.
The relation between the force (load) and the velocity of shortening (V) in contracting skeletal muscle is part of a rectangular hyperbola: (P + a) V = b(PoP); where Po is the maximum isometric force and a and b are constants. The force–velocity (P–V) relation suggests that muscle can regulate its energy output depending on the load imposed on it (Hill, 1938). After the establishment of the sliding filament mechanism (H.E. Huxley and Hanson, 1954), the PV relation has been regarded to reflect the cyclic interaction between myosin heads in myosin filaments and the corresponding myosin-binding sites in actin filaments, coupled with ATP hydrolysis (A.F. Huxley, 1957). In single skeletal muscle fibers, however, the PV relation deviates from the hyperbola at the high force region, indicating complicated characteristics of the cyclic actin–myosin interaction. To correlate the PV relation with kinetics of actin–myosin interaction, skinned muscle fibers have been developed, in which the surface membrane is removed to control chemical and ionic conditions around the 3D lattice of actin and myosin filaments. This article also deals with experimental methods with which the structural instability of skinned fibers can be overcome by applying parabolic decreases in fiber length. Full article
(This article belongs to the Special Issue Motile Function of Myosins in Cells and Tissues)
Show Figures

Figure 1

16 pages, 3478 KB  
Article
Nonlinear Cellular Mechanical Behavior Adaptation to Substrate Mechanics Identified by Atomic Force Microscope
by Keyvan Mollaeian, Yi Liu, Siyu Bi, Yifei Wang, Juan Ren and Meng Lu
Int. J. Mol. Sci. 2018, 19(11), 3461; https://doi.org/10.3390/ijms19113461 - 4 Nov 2018
Cited by 23 | Viewed by 5106
Abstract
Cell–substrate interaction plays an important role in intracellular behavior and function. Adherent cell mechanics is directly regulated by the substrate mechanics. However, previous studies on the effect of substrate mechanics only focused on the stiffness relation between the substrate and the cells, and [...] Read more.
Cell–substrate interaction plays an important role in intracellular behavior and function. Adherent cell mechanics is directly regulated by the substrate mechanics. However, previous studies on the effect of substrate mechanics only focused on the stiffness relation between the substrate and the cells, and how the substrate stiffness affects the time-scale and length-scale of the cell mechanics has not yet been studied. The absence of this information directly limits the in-depth understanding of the cellular mechanotransduction process. In this study, the effect of substrate mechanics on the nonlinear biomechanical behavior of living cells was investigated using indentation-based atomic force microscopy. The mechanical properties and their nonlinearities of the cells cultured on four substrates with distinct mechanical properties were thoroughly investigated. Furthermore, the actin filament (F-actin) cytoskeleton of the cells was fluorescently stained to investigate the adaptation of F-actin cytoskeleton structure to the substrate mechanics. It was found that living cells sense and adapt to substrate mechanics: the cellular Young’s modulus, shear modulus, apparent viscosity, and their nonlinearities (mechanical property vs. measurement depth relation) were adapted to the substrates’ nonlinear mechanics. Moreover, the positive correlation between the cellular poroelasticity and the indentation remained the same regardless of the substrate stiffness nonlinearity, but was indeed more pronounced for the cells seeded on the softer substrates. Comparison of the F-actin cytoskeleton morphology confirmed that the substrate affects the cell mechanics by regulating the intracellular structure. Full article
(This article belongs to the Special Issue Cell-Biomaterial Interaction)
Show Figures

Graphical abstract

Back to TopTop