Sign in to use this feature.

Years

Between: -

Subjects

remove_circle_outline
remove_circle_outline
remove_circle_outline
remove_circle_outline
remove_circle_outline
remove_circle_outline
remove_circle_outline
remove_circle_outline
remove_circle_outline

Journals

remove_circle_outline
remove_circle_outline
remove_circle_outline
remove_circle_outline

Article Types

Countries / Regions

remove_circle_outline
remove_circle_outline
remove_circle_outline

Search Results (131)

Search Parameters:
Keywords = ET regimes

Order results
Result details
Results per page
Select all
Export citation of selected articles as:
27 pages, 4637 KB  
Article
The Role of Managerial Capacity and Education and Skills in Driving the Energy Transition
by Mengfei Li, Lu Shi and Xianmusiyan Fulati
Sustainability 2025, 17(22), 10384; https://doi.org/10.3390/su172210384 - 20 Nov 2025
Viewed by 277
Abstract
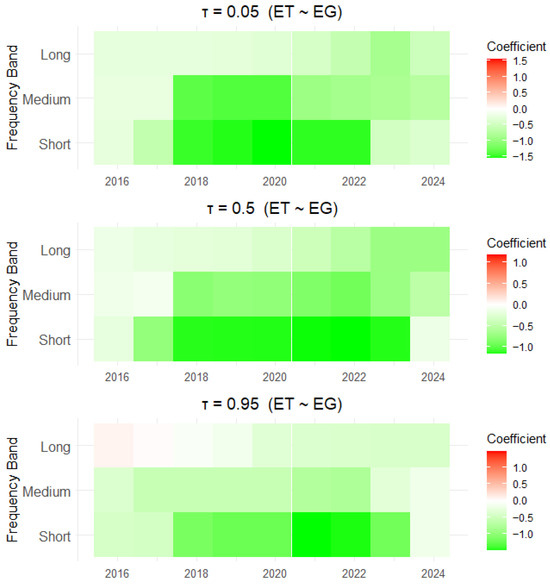
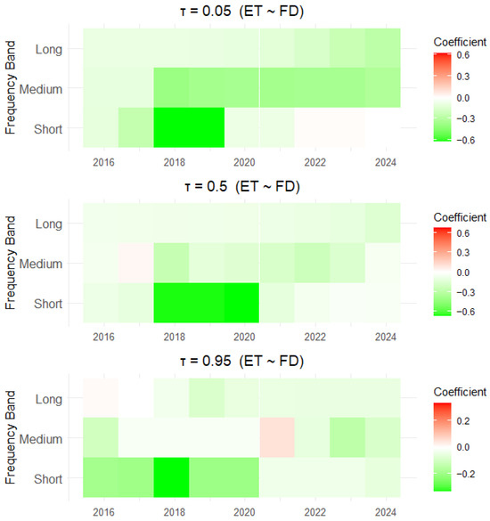
This paper pioneers an integrated assessment of human capital (education and skills), managerial capacity, financial development, and gender equality as drivers of the energy transition (ET). Leveraging quarterly observations from 2000Q1 to 2023Q4, we deploy a novel time-varying frequency quantile regression approach to [...] Read more.
This paper pioneers an integrated assessment of human capital (education and skills), managerial capacity, financial development, and gender equality as drivers of the energy transition (ET). Leveraging quarterly observations from 2000Q1 to 2023Q4, we deploy a novel time-varying frequency quantile regression approach to uncover time-varying, frequency-specific, and distribution-sensitive effects. We find that economic growth increasingly hinders ET after ~2010, whereas education and skills, together with managerial capacity, bolster ET across horizons; gender equality remains a positive contributor, peaking at the median quantile and when ET is high. Financial development generally supports ET, though short- to medium-run impacts turn negative around 2010–2016 and taper when complementary capacities are scarce. Trade openness is predominantly negative. Quantile Granger causality indicates regime-dependent leadership, with trade dominating the lower tail, finance underpinning the median, and human capital leading the upper tail—insights that guide the sequencing of skills, governance, and finance reforms. Based on these findings policies, are suggested. Full article
Show Figures

Figure 1

15 pages, 1103 KB  
Article
Water Footprint and Evapotranspiration Partitioning in Drip-Irrigated Faba Bean: Effects of Irrigation Regime and Planting Pattern
by Saad E. Aldulaimy, Huthaifa J. Mohammed, Basem Aljoumani and Adil K. Salman
Agronomy 2025, 15(10), 2282; https://doi.org/10.3390/agronomy15102282 - 26 Sep 2025
Viewed by 781
Abstract
Efficient water management is critical for sustainable crop production in arid and semi-arid regions. This study investigated the effects of two irrigation regimes—25% and 50% Management Allowable Depletion (MAD) and two planting patterns (single-row and double-row) on evapotranspiration (ET) partitioning, water use efficiency [...] Read more.
Efficient water management is critical for sustainable crop production in arid and semi-arid regions. This study investigated the effects of two irrigation regimes—25% and 50% Management Allowable Depletion (MAD) and two planting patterns (single-row and double-row) on evapotranspiration (ET) partitioning, water use efficiency (WUE), and water footprint (WF) in drip-irrigated faba bean (Vicia faba L.). Field data were combined with a leaf area index (LAI)-based model to estimate the relative contributions of transpiration (T) and evaporation (E) to total ET. The highest grain yield (6171 kg ha−1) and the lowest blue (570 m3 ton−1) and green (68 m3 ton−1) water footprints were recorded under the 25% MAD with double-row planting. This treatment also achieved the highest proportion of transpiration in ET (70%), indicating a shift toward productive water use. In contrast, the lowest-performing treatment (50% MAD, single-row) had the highest total water footprint (792 m3 ton−1) and the lowest transpiration share (44%). Although high-density planting slightly reduced WUE based on transpiration, it improved overall water efficiency when total input (ETc) was considered (1.57 kg m−3 for total input WUE, 4.17 kg/m−3 for T-based WUE). These findings highlight the importance of integrating irrigation scheduling and planting pattern to improve both physiological and agronomic water productivity. The approach offers a practical strategy for sustainable faba bean production in water-scarce environments and supports climate-resilient irrigation planning aligned with Iraq’s National Water Strategy. Full article
Show Figures

Figure 1

14 pages, 1245 KB  
Article
Thermodynamics of a Simple Endoreversible Model for Computer Gates
by Juan Carlos Chimal-Eguia, Ricardo Teodoro Páez-Hernández, Juan Carlos Pacheco-Paez, Magdalena Saldana-Perez and Delfino Ladino-Luna
Mathematics 2025, 13(16), 2577; https://doi.org/10.3390/math13162577 - 12 Aug 2025
Viewed by 489
Abstract
In a world increasingly dependent on digital computers, understanding the relationship between information theory and thermodynamics is essential. A recent attempt to address this issue was made by A. De Vos who, using a reversible model within the framework of finite-time thermodynamics, derived [...] Read more.
In a world increasingly dependent on digital computers, understanding the relationship between information theory and thermodynamics is essential. A recent attempt to address this issue was made by A. De Vos who, using a reversible model within the framework of finite-time thermodynamics, derived Carnot’s law, Landauer’s principle, Ohm’s law, and even Moore’s law. Following De Vos et al., this paper first recovers the efficiency of Curzon and Ahlborn, and then establishes the so-called endoreversible Landauer principle for a traditional computer gate, assuming the gate operates in the Maximum Power regime. However, two other regimes are particularly important: the Omega function and the Efficient Power function. By considering these, we obtain the corresponding thermodynamic efficiencies and compare them against that of the Maximum Power regime. Full article
(This article belongs to the Special Issue Modelling and Simulation of Complex Physical Systems)
Show Figures

Figure 1

18 pages, 931 KB  
Article
Slip-Driven Interaction of Dual Spheres in Couple Stress Fluids Within a Permeable Medium
by Shreen El-Sapa and Munirah Aali Alotaibi
Mathematics 2025, 13(13), 2065; https://doi.org/10.3390/math13132065 - 21 Jun 2025
Cited by 3 | Viewed by 558
Abstract
This study investigates the consistent and uniform movement of two spherical particles within an infinite porous medium saturated with a couple stress fluid, with a particular focus on the effects of surface slippage. The research reveals that surface slippage significantly reduces the drag [...] Read more.
This study investigates the consistent and uniform movement of two spherical particles within an infinite porous medium saturated with a couple stress fluid, with a particular focus on the effects of surface slippage. The research reveals that surface slippage significantly reduces the drag force experienced by the particles, thereby influencing their hydrodynamic interactions. Conversely, increases in permeability and particle size similarity tend to enhance both the drag force and the inter-particle interaction forces, affecting the overall dynamics of particle motion. The analysis is conducted within the low-Reynolds-number regime, characteristic of laminar flow dominated by viscous forces, and employs boundary collocation methodologies to derive semi-analytical solutions to the governing differential equations. This approach enables a detailed characterization of the flow behavior and inter-particle forces in intricate fluid environments, including those with porous matrices and complex rheological properties. The findings from this investigation are consistent with prior numerical analyses, notably those conducted by Alotaibi and El-Sapa (2025), and corroborate earlier studies by Shehadeh and Ashmawy (2019), which examined cases of no slippage and permeability effects. Additionally, the results align with earlier research by Shreen et al. (2018) concerning viscous fluids, thereby reinforcing the validity of the conclusions. Overall, the study enhances the understanding of particle-fluid interactions in porous, couple stress-rich media, providing valuable insights into the roles of surface slippage, permeability, and particle size in determining hydrodynamic forces. Full article
(This article belongs to the Section E: Applied Mathematics)
Show Figures

Figure 1

27 pages, 78121 KB  
Article
Graph-Based Stock Volatility Forecasting with Effective Transfer Entropy and Hurst-Based Regime Adaptation
by Sangheon Lee and Poongjin Cho
Fractal Fract. 2025, 9(6), 339; https://doi.org/10.3390/fractalfract9060339 - 24 May 2025
Viewed by 3415
Abstract
This study proposes a novel hybrid model for stock volatility forecasting by integrating directional and temporal dependencies among financial time series and market regime changes into a unified modeling framework. Specifically, we design a novel Hurst Exponent Effective Transfer Entropy Graph Neural Network [...] Read more.
This study proposes a novel hybrid model for stock volatility forecasting by integrating directional and temporal dependencies among financial time series and market regime changes into a unified modeling framework. Specifically, we design a novel Hurst Exponent Effective Transfer Entropy Graph Neural Network (H-ETE-GNN) model that captures directional and asymmetric interactions based on Effective Transfer Entropy (ETE), and incorporates regime change detection using the Hurst exponent to reflect evolving global market conditions. To assess the effectiveness of the proposed approach, we compared the forecast performance of the hybrid GNN model with GNN models constructed using Transfer Entropy (TE), Granger causality, and Pearson correlation—each representing different measures of causality and correlation among time series. The empirical analysis was based on daily price data of 10 major country-level ETFs over a 19-year period (2006–2024), collected via Yahoo Finance. Additionally, we implemented recurrent neural network (RNN)-based models such as Long Short-Term Memory (LSTM) and Gated Recurrent Unit (GRU) under the same experimental conditions to evaluate their performance relative to the GNN-based models. The effect of incorporating regime changes was further examined by comparing the model performance with and without Hurst-exponent-based detection. The experimental results demonstrated that the hybrid GNN-based approach effectively captured the structure of information flow between time series, leading to substantial improvements in the forecast performance for one-day-ahead realized volatility. Furthermore, incorporating regime change detection via the Hurst exponent enhanced the model’s adaptability to structural shifts in the market. This study highlights the potential of H-ETE-GNN in jointly modeling interactions between time series and market regimes, offering a promising direction for more accurate and robust volatility forecasting in complex financial environments. Full article
Show Figures

Figure 1

34 pages, 7737 KB  
Article
Zingiberaceae in Roi Et Province, Thailand: Diversity, Ethnobotany, Horticultural Value, and Conservation Status
by Piyaporn Saensouk, Surapon Saensouk, Thawatphong Boonma, Auemporn Junsongduang, Sarayut Rakarcha, Khamfa Chanthavongsa and Tammanoon Jitpromma
Horticulturae 2025, 11(5), 527; https://doi.org/10.3390/horticulturae11050527 - 13 May 2025
Cited by 6 | Viewed by 2275
Abstract
Zingiberaceae is a diverse and culturally significant plant family across tropical Asia, yet in Roi Et Province, Thailand, it has remained poorly documented. This study aimed to provide the first comprehensive assessment of Zingiberaceae in Roi Et Province, Thailand. Previous studies in the [...] Read more.
Zingiberaceae is a diverse and culturally significant plant family across tropical Asia, yet in Roi Et Province, Thailand, it has remained poorly documented. This study aimed to provide the first comprehensive assessment of Zingiberaceae in Roi Et Province, Thailand. Previous studies in the region have been limited and did not systematically document species occurrence. The assessment began with an overview of species diversity, followed by an investigation of their ethnobotanical uses, an evaluation of their horticultural potential, and an assessment of their conservation status. Field surveys were conducted throughout Roi Et Province across various habitat types using exploratory sampling to record all observable Zingiberaceae species. Species were identified based on morphological characteristics and comparisons with existing taxonomic literature. A total of 97 species were recorded, including 86 native and 11 introduced taxa, with 23 species endemic to Thailand and 25 species featuring new distributions reported for the province. Species richness was highest in cultivated habitats, likely reflecting the active role of traditional agroecosystems in conserving both native and introduced taxa. Natural habitats such as wetlands and dry evergreen forests hosted species with restricted distributions, underscoring the need to preserve ecological heterogeneity. Ethnobotanical interviews revealed widespread local use of rhizomes and inflorescences for food, medicine, ornamentation, and ceremonial purposes. Phenological observations indicated synchronized flowering and fruiting aligned with the monsoon season, which are traits that supports successful reproduction but may also increase vulnerability under shifting climate regimes—highlighting the importance of monitoring for conservation and guiding optimal harvest timing. These findings demonstrate that both natural and cultivated systems are integral to maintaining Zingiberaceae diversity in the region. Conservation strategies should prioritize habitat protection, support traditional cultivation practices, and promote further research into economically and culturally valuable species. Full article
(This article belongs to the Section Medicinals, Herbs, and Specialty Crops)
Show Figures

Figure 1

2 pages, 899 KB  
Correction
Correction: Shen et al. Black Phosphorus Nano-Polarizer with High Extinction Ratio in Visible and Near-Infrared Regime. Nanomaterials 2019, 9, 168
by Wanfu Shen, Chunguang Hu, Shuchun Huo, Zhaoyang Sun, Guofang Fan, Jing Liu, Lidong Sun and Xiaotang Hu
Nanomaterials 2025, 15(10), 703; https://doi.org/10.3390/nano15100703 - 8 May 2025
Viewed by 457
Abstract
In the original publication [...] Full article
Show Figures

Figure 5

19 pages, 1050 KB  
Article
Density Distribution of Strongly Quantum Degenerate Fermi Systems Simulated by Fictitious Identical Particle Thermodynamics
by Bo Yang, Hongsheng Yu, Shujuan Liu and Fengzheng Zhu
Entropy 2025, 27(5), 458; https://doi.org/10.3390/e27050458 - 24 Apr 2025
Cited by 2 | Viewed by 1242
Abstract
The exchange antisymmetry of identical fermions leads to an exponential computational bottleneck in ab initio simulations, known as the fermion sign problem. The thermodynamic approach of fictitious identical particles (Y. Xiong and H. Xiong, J. Chem. Phys. 157, 094112 (2022)) provides an efficient [...] Read more.
The exchange antisymmetry of identical fermions leads to an exponential computational bottleneck in ab initio simulations, known as the fermion sign problem. The thermodynamic approach of fictitious identical particles (Y. Xiong and H. Xiong, J. Chem. Phys. 157, 094112 (2022)) provides an efficient and accurate means to simulate some fermionic systems by overcoming the fermion sign problem. This method has been significantly promoted and used by National Ignition Facilities for the ab initio simulations and is believed to have wide application prospects in warm dense quantum matter (T. Dornheim et al., arXiv: 2402.19113 (2023)). By utilizing the fictitious identical particles in the bosonic regime and constant energy extrapolation method (Y. Xiong and H. Xiong, Phys. Rev. E 107, 055308 (2023); T. Morresi and G. Garberoglio, Phys. Rev. B 111, 014521 (2025)), there are promising results in simulating the energy of strongly quantum degenerate fermionic systems. The previous works mainly concern the energy of Fermi systems or only consider situations of weak quantum degeneracy. In this study, we extend the concept of the constant energy extrapolation method and demonstrate the potential of the constant density extrapolation method to accurately simulate the density distribution of fermionic systems in strongly quantum degenerate conditions. Furthermore, based on the energy derived from the constant energy extrapolation method, we present simulation results for the entropy of fermions. Full article
(This article belongs to the Section Statistical Physics)
Show Figures

Figure 1

24 pages, 612 KB  
Article
Quasi-Optimal Path Convergence-Aided Automorphism Ensemble Decoding of Reed–Muller Codes
by Kairui Tian, He Sun, Yukai Liu and Rongke Liu
Entropy 2025, 27(4), 424; https://doi.org/10.3390/e27040424 - 14 Apr 2025
Cited by 2 | Viewed by 812
Abstract
By exploiting the rich automorphisms of Reed–Muller (RM) codes, the recently developed automorphism ensemble (AE) successive cancellation (SC) decoder achieves a near-maximum-likelihood (ML) performance for short block lengths. However, the appealing performance of AE-SC decoding arises from the diversity gain that requires a [...] Read more.
By exploiting the rich automorphisms of Reed–Muller (RM) codes, the recently developed automorphism ensemble (AE) successive cancellation (SC) decoder achieves a near-maximum-likelihood (ML) performance for short block lengths. However, the appealing performance of AE-SC decoding arises from the diversity gain that requires a list of SC decoding attempts, which results in a high decoding complexity. To address this issue, this paper proposes a novel quasi-optimal path convergence (QOPC)-aided early termination (ET) technique for AE-SC decoding. This technique detects strong convergence between the partial path metrics (PPMs) of SC constituent decoders to reliably identify the optimal decoding path at runtime. When the QOPC-based ET criterion is satisfied during the AE-SC decoding, only the identified path is allowed to proceed for a complete codeword estimate, while the remaining paths are terminated early. The numerical results demonstrated that for medium-to-high-rate RM codes in the short-length regime, the proposed QOPC-aided ET method incurred negligible performance loss when applied to fully parallel AE-SC decoding. Meanwhile, it achieved a complexity reduction that ranged from 35.9% to 47.4% at a target block error rate (BLER) of 103, where it consistently outperformed a state-of-the-art path metric threshold (PMT)-aided ET method. Additionally, under a partially parallel framework of AE-SC decoding, the proposed QOPC-aided ET method achieved a greater complexity reduction that ranged from 81.3% to 86.7% at a low BLER that approached 105 while maintaining a near-ML decoding performance. Full article
(This article belongs to the Special Issue Advances in Information and Coding Theory, the Third Edition)
Show Figures

Figure 1

25 pages, 5064 KB  
Article
Drivers of Structural and Functional Resilience Following Extreme Fires in Boreal Forests of Northeast China
by Jianyu Yao, Xiaoyang Kong, Lei Fang, Zhaohan Huo, Yanbo Peng, Zile Han, Shilong Ren, Jinyue Chen, Xinfeng Wang and Qiao Wang
Fire 2025, 8(3), 108; https://doi.org/10.3390/fire8030108 - 10 Mar 2025
Cited by 1 | Viewed by 1592
Abstract
Ongoing climate change has intensified fire disturbances in boreal forests globally, posing significant risks to forest ecosystem structure and function, with the potential to trigger major regime shifts. Understanding how environmental factors regulate the resilience of key structural and functional parameters is critical [...] Read more.
Ongoing climate change has intensified fire disturbances in boreal forests globally, posing significant risks to forest ecosystem structure and function, with the potential to trigger major regime shifts. Understanding how environmental factors regulate the resilience of key structural and functional parameters is critical for sustaining and enhancing ecosystem services under global change. This study analyzed the resilience of forest ecosystems following three representative extreme fires in the Greater Xing’an Mountains (GXM) via the temporal evolution of the leaf area index (LAI), net primary productivity (NPP), and evapotranspiration (ET) as key indicators. A comprehensive wall-to-wall assessment was conducted, integrating gradient boosting machine (GBM) modeling with Shapley Additive Explanation (SHAP) to identify the dominant factors influencing postfire resilience. The results revealed that NPP demonstrated stronger resilience than ET and LAI, suggesting the prioritization of functional restoration over structural recovery in the postfire landscape of the GXM. The GBM-SHAP model explained 45% to 69% of the variance in the resilience patterns of the three parameters. Among the regulatory factors, extreme precipitation and temperature during the growing season were found to exert more significant influences on resilience than landscape-scale factors, such as burn severity, topography, and prefire vegetation composition. The spatial asynchrony in resilience patterns between structural and functional parameters highlighted the complex interplay of climatic drivers and ecological processes during post-disturbance recovery. Our study emphasized the importance of prioritizing functional restoration in the short term to support ecosystem recovery processes and services. Despite the potential limitations imposed by the coarse spatial granularity of the input data, our findings provide valuable insights for postfire management strategies, enabling the effective allocation of resources to increase ecosystem resilience and facilitating long-term adaptation to changing fire regimes. Full article
(This article belongs to the Special Issue Effects of Climate Change on Fire Danger)
Show Figures

Figure 1

16 pages, 465 KB  
Article
Improved Ionization Potential Depression Model Incorporating Dynamical Structure Factors and Electron Degeneracy for Non-Ideal Plasma Composition
by Yeldos Seitkozhanov, Karlygash Dzhumagulova and Erik Shalenov
Entropy 2025, 27(3), 253; https://doi.org/10.3390/e27030253 - 27 Feb 2025
Cited by 2 | Viewed by 1443
Abstract
In this work, we present an improved model for ionization potential depression (IPD) in dense plasmas that builds upon the approach introduced by Lin et al., which utilizes a dynamical structure factor (SF) to account for ionic microfield fluctuations. The main refinements include [...] Read more.
In this work, we present an improved model for ionization potential depression (IPD) in dense plasmas that builds upon the approach introduced by Lin et al., which utilizes a dynamical structure factor (SF) to account for ionic microfield fluctuations. The main refinements include the following: (1) replacing the Wigner–Seitz radius with an ion-sphere radius, thereby treating individual ionization events as dynamically independent; (2) incorporating electron degeneracy through a tailored interpolation between Debye–Hückel and Thomas–Fermi screening lengths. Additionally, we solve the Saha equation iteratively, ensuring self-consistent determination of the ionization balance and IPD corrections. These modifications yield significantly improved agreement with recent high-density and high-temperature experimental data on warm dense aluminum, especially in regimes where strong coupling and partial degeneracy are crucial. The model remains robust over a broad parameter space, spanning temperatures from 1 eV up to 1 keV and pressures beyond the Mbar range, thus making it suitable for applications in high-energy-density physics, inertial confinement fusion, and astrophysical plasma research. Our findings underscore the importance of accurately capturing ion microfield fluctuations and electron quantum effects to properly describe ionization processes in extreme environments. Full article
(This article belongs to the Section Statistical Physics)
Show Figures

Figure 1

31 pages, 11309 KB  
Article
Water–Fertilizer Synergistic Effects and Resource Optimization for Alfalfa Production: A Central Composite Design and Response Surface Methodology Approach
by Gaiya Mu, Yuanbo Jiang, Haiyan Li, Sinan Wei, Guangping Qi, Yanxia Kang, Minhua Yin, Yanlin Ma, Yayu Wang, Yanbiao Wang and Jinwen Wang
Plants 2025, 14(5), 731; https://doi.org/10.3390/plants14050731 - 27 Feb 2025
Cited by 5 | Viewed by 1419
Abstract
This study posits that strategically optimizing irrigation and fertilization regimes can enhance the productivity and water use efficiency (WUE) of alfalfa (Medicago sativa L.), thereby mitigating the constraints imposed by soil impoverishment and water scarcity in forage production systems of arid and [...] Read more.
This study posits that strategically optimizing irrigation and fertilization regimes can enhance the productivity and water use efficiency (WUE) of alfalfa (Medicago sativa L.), thereby mitigating the constraints imposed by soil impoverishment and water scarcity in forage production systems of arid and semi-arid regions. Conducted over two years, the outdoor pot experiment investigated the effects of water regulation during the branching and bud stages (each at 60–100% θ0.85, where θ0.85 = 0.85θfc) and different levels of nitrogen and phosphorus fertilization (0–280 kg/ha each) on alfalfa yield and WUE. Using Response Surface Methodology (RSM) with a Central Composite Design (CCD), we modeled the relationships between input variables and key response parameters: total yield, evapotranspiration (ET), and WUE. The response surface models exhibited high reliability, with coefficients of determination R2, adjusted R2, predicted R2, and adequate precision exceeding 0.94, 0.90, 0.86, and 13.6, respectively. Sensitivity analysis indicated that water regulation during critical growth stages, particularly the branching stage, had the most significant impact on yield and ET, while nitrogen and phosphorus fertilization positively influenced WUE. Within the appropriate range of water management, judicious fertilization significantly enhanced alfalfa production performance, although excessive inputs resulted in diminishing returns. This study identified the optimal conditions for sustainable production: branching stage water regulation (82.26–83.12% θ0.85) and bud stage water regulation (78.11–88.47% θ0.85), along with nitrogen application (110.59–128.88 kg/ha) and phosphorus application (203.86–210 kg/ha). These findings provide practical guidelines for improving the sustainability and efficiency of alfalfa production in resource-limited environments. Full article
Show Figures

Figure 1

16 pages, 3371 KB  
Article
Exploring Chaos and Stability in a 3-D Finance Model with Absolute Function Nonlinearity
by Muhamad Deni Johansyah, Sundarapandian Vaidyanathan, Khaled Benkouider, Aceng Sambas, Kandimalla Mallikarjuna Rao and Katuru Anjaneyulu
Mathematics 2025, 13(5), 735; https://doi.org/10.3390/math13050735 - 24 Feb 2025
Cited by 2 | Viewed by 976
Abstract
This paper introduces a novel chaotic finance system derived by incorporating a modeling uncertainty with an absolute function nonlinearity into existing financial systems. The new system, based on the works of Gao and Ma, and Vaidyanathan et al., demonstrates enhanced chaotic behavior with [...] Read more.
This paper introduces a novel chaotic finance system derived by incorporating a modeling uncertainty with an absolute function nonlinearity into existing financial systems. The new system, based on the works of Gao and Ma, and Vaidyanathan et al., demonstrates enhanced chaotic behavior with a maximal Lyapunov exponent (MLE) of 0.1355 and a fractal Lyapunov dimension of 2.3197. These values surpass those of the Gao-Ma system (MLE = 0.0904, Lyapunov dimension = 2.2296) and the Vaidyanathan system (MLE = 0.1266, Lyapunov dimension = 2.2997), signifying greater complexity and unpredictability. Through parameter analysis, the system transitions between periodic and chaotic regimes, as confirmed by bifurcation diagrams and Lyapunov exponent spectra. Furthermore, multistability is demonstrated with coexisting chaotic attractors for p = 0.442 and periodic attractors for p = 0.48. The effects of offset boosting control are explored, with attractor positions adjustable by varying a control parameter k, enabling transitions between bipolar and unipolar chaotic signals. These findings underline the system’s potential for advanced applications in secure communications and engineering, providing a deeper understanding of chaotic finance models. Full article
(This article belongs to the Special Issue Nonlinear Dynamics and Control: Challenges and Innovations)
Show Figures

Figure 1

1 pages, 139 KB  
Retraction
RETRACTED: Al-Deeb et al. Individual and Interactive Ecophysiological Effect of Temperature, Watering Regime and Abscisic Acid on the Growth and Development of Tomato Seedlings. Agronomy 2023, 13, 930
by Taghleb Al-Deeb, Mohammad Abo Gamar, Sabah Khaleel, Abdul Latief Al-Ghzawi, Wesam Al Khateeb, Mohammad Jawarneh, Mohammad Y. Jahmani, Omar Al-Zoubi and Talaat Habeeb
Agronomy 2025, 15(2), 266; https://doi.org/10.3390/agronomy15020266 - 22 Jan 2025
Viewed by 733
Abstract
The journal retracts the article titled “Individual and Interactive Ecophysiological Effect of Temperature, Watering Regime and Abscisic Acid on the Growth and Development of Tomato Seedlings” [...] Full article
16 pages, 1313 KB  
Article
The Shrinking Fermi Liquid Scenario for Cuprates Under the Scrutiny of Optical Conductivity Measurements
by Sergio Caprara, Carlo Di Castro, Giovanni Mirarchi, Götz Seibold and Marco Grilli
Materials 2024, 17(23), 5849; https://doi.org/10.3390/ma17235849 - 28 Nov 2024
Viewed by 918
Abstract
In a recent paper [B. Michon et al., Nat. Commun. (2023) 14:3033], optical conductivity experiments in cuprate superconductors were shown to display scaling properties consistent with the Marginal Fermi Liquid theory. Here, we argue that the temperature regime studied in these experiments does [...] Read more.
In a recent paper [B. Michon et al., Nat. Commun. (2023) 14:3033], optical conductivity experiments in cuprate superconductors were shown to display scaling properties consistent with the Marginal Fermi Liquid theory. Here, we argue that the temperature regime studied in these experiments does not allow for distinguishing between Marginal Fermi Liquid and Shrinking Fermi Liquid. In the latter scenario, which we recently proposed and which applies near a quantum critical point, dynamical fluctuations of the order parameter with a short correlation length mediate a nearly isotropic scattering among the quasiparticles over the entire Fermi surface leading to strange metal behavior. If the damping of these nearly local fluctuations increases by decreasing the temperature, the Fermi liquid regime shrinks and the strange metal behavior is extended to the lowest temperatures. This Shrinking Fermi Liquid scenario has many similarities and some differences with respect to the Marginal Fermi Liquid theory. In particular, we show that the approximate scaling properties of the optical conductivity in some high-frequency regimes predicted by the Shrinking Fermi Liquid scenario account for a very good description of the experimental data. Full article
Show Figures

Figure 1

Back to TopTop