Sign in to use this feature.

Years

Between: -

Subjects

remove_circle_outline
remove_circle_outline
remove_circle_outline
remove_circle_outline
remove_circle_outline
remove_circle_outline

Journals

Article Types

Countries / Regions

Search Results (16)

Search Parameters:
Keywords = EMHD

Order results
Result details
Results per page
Select all
Export citation of selected articles as:
16 pages, 3143 KB  
Article
EMHD Flow and Heat Transfer of a Nanofluid Layer and a Hybrid Nanofluid Layer in a Horizontal Channel with Porous Medium
by Milica D. Nikodijević Đorđević, Jelena D. Petrović, Miloš M. Kocić, Živojin M. Stamenković and Dragiša D. Nikodijević
Appl. Sci. 2025, 15(18), 10183; https://doi.org/10.3390/app151810183 - 18 Sep 2025
Viewed by 716
Abstract
In this paper, the electromagnetohydrodynamic (EMHD) flow and heat transfer of a fluid are analytically investigated. The flow and heat transfer occur in a horizontal channel filled with a porous medium, where the permeabilities of the upper and lower halves of the channel [...] Read more.
In this paper, the electromagnetohydrodynamic (EMHD) flow and heat transfer of a fluid are analytically investigated. The flow and heat transfer occur in a horizontal channel filled with a porous medium, where the permeabilities of the upper and lower halves of the channel are different. The lower half of the channel is saturated with a hybrid nanofluid, while the upper half is saturated with a nanofluid. The base fluids of the nanofluid and the hybrid nanofluid are different. The channel walls are impermeable. The channel is subjected to external magnetic and electric fields. The problem is analyzed under the inductionless approximation. By introducing dimensionless variables and physical parameters that characterize the flow and heat transfer, the governing equations are transformed into their dimensionless forms. These equations are solved analytically, and the velocity and temperature distributions of the fluid in the channel are obtained. The distributions are graphically illustrated for the case in which the upper half of the channel contains the Al2O3/oil nanofluid and the lower half contains the Cu–TiO2/water hybrid nanofluid, considering various values of the Hartmann number, the external electric load factor, the porosity factor, and the nanoparticle volume fractions. The numerical values of the dimensionless shear stresses and Nusselt numbers at the channel walls are presented in a table. The analysis of the results indicates that an increase in the Hartmann number leads to higher temperatures within the channel. The findings also demonstrate that, in this case, the flow velocities are lower and the temperatures decrease, while the shear stresses and Nusselt numbers at the channel walls are higher compared to those observed for pure fluid (oil and water) flow through the channel. This indicates the advantage of employing the model investigated here over the classical model (water and oil) in engineering practice. Full article
(This article belongs to the Section Mechanical Engineering)
Show Figures

Figure 1

15 pages, 3576 KB  
Article
A New Sensitive Sensor Test for Capturing and Evaluating Bacteria and Viruses in Airborne Aerosols
by Roman Pernica, Zoltán Szabó, Martin Čáp, Oto Pavliš, Pavla Kubíčková, Jiri Zukal and Pavel Fiala
Sensors 2025, 25(13), 3866; https://doi.org/10.3390/s25133866 - 21 Jun 2025
Viewed by 1536
Abstract
In this paper, the authors describe an electromagnetic–hydrodynamic (EMHD) model of the airborne microbiological agent detection concept for the design of a sensor to identify the presence of airborne bacteria and viruses. Based on the model and a laboratory test, a methodology was [...] Read more.
In this paper, the authors describe an electromagnetic–hydrodynamic (EMHD) model of the airborne microbiological agent detection concept for the design of a sensor to identify the presence of airborne bacteria and viruses. Based on the model and a laboratory test, a methodology was proposed for the capture and subsequent detection of low-concentration bacterial and viral agents in airborne aerosols. A physical–biological approach was proposed to detect microorganisms based on their physical properties. The principle was validated in the laboratory on samples of defined concentrated water aerosols of Bacillus subtilis (BS) and feline infectious peritonitis virus (FIVP). Repeated tests with different concentrations were performed in the laboratory conditions. Full article
(This article belongs to the Special Issue Feature Papers in Electronic Sensors 2025)
Show Figures

Figure 1

18 pages, 4083 KB  
Article
Electromagnetohydrodynamic (EMHD) Flow in a Microchannel with Random Surface Roughness
by Nailin Ma, Yanjun Sun and Yongjun Jian
Micromachines 2023, 14(8), 1617; https://doi.org/10.3390/mi14081617 - 16 Aug 2023
Cited by 11 | Viewed by 1882
Abstract
This study investigates the effect of small random transverse wall roughness on electromagnetohydrodynamic (EMHD) flow is in a microchannel, employing the perturbation method based upon stationary random function theory. An exact solution of a random corrugation function ξ, which is a measure [...] Read more.
This study investigates the effect of small random transverse wall roughness on electromagnetohydrodynamic (EMHD) flow is in a microchannel, employing the perturbation method based upon stationary random function theory. An exact solution of a random corrugation function ξ, which is a measure of the flow rate deviated from the case without the roughness of two plates, is obtained by integrating the spectral density. After the sinusoidal, triangular, rectangular, and sawtooth functions that satisfy the Dirichlet condition are expanded into the Fourier sine series, the spectral density of the sine function is used to represent the corrugation function. Interestingly, for sinusoidal roughness, the final expression of the corrugation function is in good agreement with our previous work. Results show that no matter the shape of the wall roughness, the flow rate always decreases due to the existence of wall corrugation. Variations of the corrugation function and the flow rate strongly depend on fluid wavenumber λ and Hartmann number Ha. Finally, the flow resistance is found to become small, and the flow rate increases with roughness that is in phase (θ = 0) compared with the one that is out of phase (θ = π). Full article
Show Figures

Figure 1

25 pages, 3347 KB  
Article
Enhancing Heat Transfer in Blood Hybrid Nanofluid Flow with AgTiO2 Nanoparticles and Electrical Field in a Tilted Cylindrical W-Shape Stenosis Artery: A Finite Difference Approach
by Ebrahem A. Algehyne, N. Ameer Ahammad, Mohamed E. Elnair, Mohamed Zidan, Yasir Y. Alhusayni, Babikir Osman El-Bashir, Anwar Saeed, Ali Saleh Alshomrani and Faris Alzahrani
Symmetry 2023, 15(6), 1242; https://doi.org/10.3390/sym15061242 - 10 Jun 2023
Cited by 19 | Viewed by 3327
Abstract
The present research examines the unsteady sensitivity analysis and entropy generation of blood-based silver–titanium dioxide flow in a tilted cylindrical W-shape symmetric stenosis artery. The study considers various factors such as the electric field, joule heating, viscous dissipation, and heat source, while taking [...] Read more.
The present research examines the unsteady sensitivity analysis and entropy generation of blood-based silver–titanium dioxide flow in a tilted cylindrical W-shape symmetric stenosis artery. The study considers various factors such as the electric field, joule heating, viscous dissipation, and heat source, while taking into account a two-dimensional pulsatile blood flow and periodic body acceleration. The finite difference method is employed to solve the governing equations due to the highly nonlinear nature of the flow equations, which requires a robust numerical technique. The utilization of the response surface methodology is commonly observed in optimization procedures. Drawing inspiration from drug delivery techniques used in cardiovascular therapies, it has been proposed to infuse blood with a uniform distribution of biocompatible nanoparticles. The figures depict the effects of significant parameters on the flow field, such as the electric field, Hartmann number, nanoparticle volume fraction, body acceleration amplitude, Reynolds number, Grashof number, and thermal radiation, on velocity, temperature (nondimensional), entropy generation, flow rate, resistance to flow, wall shear stress, and Nusselt number. The velocity and temperature profiles improve with higher values of the wall slip parameter. The flow rate profiles increase with an increment in wall velocity but decrease with the Womersley number. Increasing the intensity of radiation and decreasing magnetic fields both result in a decrease in the rate of heat transfer. The blood temperature is higher with the inclusion of hybrid nanoparticles than the unitary nanoparticles. The total entropy generation profiles increase for higher values of the Brickman number and temperature difference parameters. Unitary nanoparticles exhibit a slightly higher total entropy generation than hybrid nanoparticles, particularly when positioned slightly away from the center of the artery. The total entropy production decreases by 17.97% when the thermal radiation is increased from absence to 3. In contrast, increasing the amplitude of body acceleration from 0.5 to 2 results in a significant enhancement of 76.14% in the total entropy production. Full article
(This article belongs to the Special Issue Symmetry in System Theory, Control and Computing)
Show Figures

Figure 1

31 pages, 2650 KB  
Article
Computer Simulations of EMHD Casson Nanofluid Flow of Blood through an Irregular Stenotic Permeable Artery: Application of Koo-Kleinstreuer-Li Correlations
by Rishu Gandhi, Bhupendra Kumar Sharma, Nidhish Kumar Mishra and Qasem M. Al-Mdallal
Nanomaterials 2023, 13(4), 652; https://doi.org/10.3390/nano13040652 - 7 Feb 2023
Cited by 70 | Viewed by 3831
Abstract
A novel analysis of the electromagnetohydrodynamic (EMHD) non-Newtonian nanofluid blood flow incorporating CuO and Al2O3 nanoparticles through a permeable walled diseased artery having irregular stenosis and an aneurysm is analyzed in this paper. The non-Newtonian behavior of blood flow is [...] Read more.
A novel analysis of the electromagnetohydrodynamic (EMHD) non-Newtonian nanofluid blood flow incorporating CuO and Al2O3 nanoparticles through a permeable walled diseased artery having irregular stenosis and an aneurysm is analyzed in this paper. The non-Newtonian behavior of blood flow is addressed by the Casson fluid model. The effective viscosity and thermal conductivity of nanofluids are calculated using the Koo-Kleinstreuer-Li model, which takes into account the Brownian motion of nanoparticles. The mild stenosis approximation is employed to reduce the bi-directional flow of blood to uni-directional. The blood flow is influenced by an electric field along with a magnetic field perpendicular to the blood flow. The governing mathematical equations are solved using Crank-Nicolson finite difference approach. The model has been developed and validated by comparing the current results to previously published benchmarks that are peculiar to this study. The results are utilized to investigate the impact of physical factors on momentum diffusion and heat transfer. The Nusselt number escalates with increasing CuO nanoparticle diameter and diminishing the diameter of Al2O3 nanoparticles. The relative % variation in Nusselt number enhances with Magnetic number, whereas a declining trend is obtained for the electric field parameter. The present study’s findings may be helpful in the diagnosis of hemodynamic abnormalities and the fields of nano-hemodynamics, nano-pharmacology, drug delivery, tissue regeneration, wound healing, and blood purification systems. Full article
(This article belongs to the Special Issue New Research on Heat Transfer with Properties of Nanofluids)
Show Figures

Figure 1

13 pages, 2475 KB  
Article
Insight into Unsteady Separated Stagnation Point Flow of Hybrid Nanofluids Subjected to an Electro-Magnetohydrodynamics Riga Plate
by Najiyah Safwa Khashi’ie, Norihan Md Arifin, Nur Syahirah Wahid and Ioan Pop
Magnetochemistry 2023, 9(2), 46; https://doi.org/10.3390/magnetochemistry9020046 - 31 Jan 2023
Cited by 10 | Viewed by 2175
Abstract
The main objective of this work is to analyze and compare the numerical solutions of an unsteady separated stagnation point flow due to a Riga plate using copper–alumina/water and graphene–alumina/water hybrid nanofluids. The Riga plate generates electro-magnetohydrodynamics (EMHD) which is expected to delay [...] Read more.
The main objective of this work is to analyze and compare the numerical solutions of an unsteady separated stagnation point flow due to a Riga plate using copper–alumina/water and graphene–alumina/water hybrid nanofluids. The Riga plate generates electro-magnetohydrodynamics (EMHD) which is expected to delay the boundary layer separation. The flow and energy equations are mathematically developed based on the boundary layer assumptions. These equations are then simplified with the aid of the similarity variables. The numerical results are generated by the bvp4c function and then presented in graphs and tables. The limitation of this model is the use of a Riga plate as the testing surface and water as the base fluid. The results may differ if another wall surfaces or base fluids are considered. Another limitation is the Takabi and Salehi’s correlation of hybrid nanofluid is used for the computational part. The findings reveal that dual solutions exist where the first solution is stable using the validation from stability analysis. Graphene–alumina/water has the maximum skin friction coefficient while copper–alumina/water has the maximum thermal coefficient for larger acceleration parameter. Besides, the single nanofluids (copper–water, graphene–water and alumina–water) are also tested and compared with the hybrid nanofluids. Surprisingly, graphene–water has the maximum skin friction coefficient while alumina–water has the maximum heat transfer rate. The findings are only conclusive and limited to the comparison between graphene–alumina and copper–alumina with water base fluid. The result may differ if another base fluid is used. Hence, future study is necessary to investigate the thermal progress of these hybrid nanofluids. Full article
Show Figures

Figure 1

23 pages, 6199 KB  
Article
Entropy Generation and Thermal Radiation Analysis of EMHD Jeffrey Nanofluid Flow: Applications in Solar Energy
by Bhupendra Kumar Sharma, Anup Kumar, Rishu Gandhi, Muhammad Mubashir Bhatti and Nidhish Kumar Mishra
Nanomaterials 2023, 13(3), 544; https://doi.org/10.3390/nano13030544 - 29 Jan 2023
Cited by 95 | Viewed by 4642
Abstract
This article examines the effects of entropy generation, heat transmission, and mass transfer on the flow of Jeffrey fluid under the influence of solar radiation in the presence of copper nanoparticles and gyrotactic microorganisms, with polyvinyl alcohol–water serving as the base fluid. The [...] Read more.
This article examines the effects of entropy generation, heat transmission, and mass transfer on the flow of Jeffrey fluid under the influence of solar radiation in the presence of copper nanoparticles and gyrotactic microorganisms, with polyvinyl alcohol–water serving as the base fluid. The impact of source terms such as Joule heating, viscous dissipation, and the exponential heat source is analyzed via a nonlinear elongating surface of nonuniform thickness. The development of an efficient numerical model describing the flow and thermal characteristics of a parabolic trough solar collector (PTSC) installed on a solar plate is underway as the use of solar plates in various devices continues to increase. Governing PDEs are first converted into ODEs using a suitable similarity transformation. The resulting higher-order coupled ODEs are converted into a system of first-order ODEs and then solved using the RK 4th-order method with shooting technique. The remarkable impacts of pertinent parameters such as Deborah number, magnetic field parameter, electric field parameter, Grashof number, solutal Grashof number, Prandtl number, Eckert number, exponential heat source parameter, Lewis number, chemical reaction parameter, bioconvection Lewis number, and Peclet number associated with the flow properties are discussed graphically. The increase in the radiation parameter and volume fraction of the nanoparticles enhances the temperature profile. The Bejan number and entropy generation rate increase with the rise in diffusion parameter and bioconvection diffusion parameter. The novelty of the present work is analyzing the entropy generation and solar radiation effects in the presence of motile gyrotactic microorganisms and copper nanoparticles with polyvinyl alcohol–water as the base fluid under the influence of the source terms, such as viscous dissipation, Ohmic heating, exponential heat source, and chemical reaction of the electromagnetohydrodynamic (EMHD) Jeffrey fluid flow. The non-Newtonian nanofluids have proven their great potential for heat transfer processes, which have various applications in cooling microchips, solar energy systems, and thermal energy technologies. Full article
(This article belongs to the Special Issue The Role of Nanofluids in Renewable Energy Engineering)
Show Figures

Figure 1

15 pages, 2793 KB  
Article
Entropy Analysis of EMHD Hybrid Nanofluid Stagnation Point Flow over a Porous Stretching Sheet with Melting Heat Transfer in the Presence of Thermal Radiation
by J. Kayalvizhi and A. G. Vijaya Kumar
Energies 2022, 15(21), 8317; https://doi.org/10.3390/en15218317 - 7 Nov 2022
Cited by 29 | Viewed by 2701
Abstract
In this study, the entropy formation of an electromagnetohydrodynamic hybrid nanofluid at a stagnation point flow towards a stretched surface in the presence of melting heat transfer, second-order slip, porous medium, viscous dissipation and thermal radiation are investigated. Hybrid nanoparticles alumina (Al2 [...] Read more.
In this study, the entropy formation of an electromagnetohydrodynamic hybrid nanofluid at a stagnation point flow towards a stretched surface in the presence of melting heat transfer, second-order slip, porous medium, viscous dissipation and thermal radiation are investigated. Hybrid nanoparticles alumina (Al2O3) and copper (Cu) are considered, with the base fluid water (H2O). Similarity transformations are used to address the governing partial differential equations (PDEs) that lead to the corresponding ordinary differential equations. The resulting ODEs are solved by employing bvp4c solver numerically in the MATLAB package. The effects of temperature, transport, production of entropy and Bejan number Be are graphically exhibited. Higher radiation parameters R and an electric field E lead to an increase in fluid temperature. The velocity boundary layer is lowered by the magnetic field and porous media parameters. The opposite behaviour is observed in the electric field E. As a result, hybrid nanofluid has numerous uses in engineering cosmetics, automotive industry, home industry, for cancer treatment, food packaging, pharmaceuticals, fabrics, paper plastics, paints, ceramics, food colorants, electronics, heat exchangers, water purification, lubricants and soaps as well. Full article
(This article belongs to the Section J1: Heat and Mass Transfer)
Show Figures

Figure 1

18 pages, 4016 KB  
Article
EMHD Nanofluid Flow with Radiation and Variable Heat Flux Effects along a Slandering Stretching Sheet
by Aamir Ali, Hajra Safdar Khan, Salman Saleem and Muhammad Hussan
Nanomaterials 2022, 12(21), 3872; https://doi.org/10.3390/nano12213872 - 2 Nov 2022
Cited by 43 | Viewed by 2869
Abstract
Nanofluids have gained prominence due to their superior thermo-physical properties. The current paper deals with MHD nanofluid flow over a non-linear stretchable surface of varying thickness in the presence of an electric field. We investigated the effects of nanometer-sized copper (Cu) particles in [...] Read more.
Nanofluids have gained prominence due to their superior thermo-physical properties. The current paper deals with MHD nanofluid flow over a non-linear stretchable surface of varying thickness in the presence of an electric field. We investigated the effects of nanometer-sized copper (Cu) particles in water (base fluid) as a nanofluid, as well as non-linear thermal radiation, variable fluid viscosity, Joule heating, viscous dissipation, and non-uniform heat flux. The current study’s aim is influenced by the immense applications in industry and machine building. It has been observed that linear stretching sheets have been extensively used in heat transfer research. Moreover, no effort has been made yet to model a non-linear stretching sheet with variable thickness. Furthermore, the effects of electromagnetohydrodynamics (EMHD) boundary-layer flow of a nanofluid with the cumulative impact of thermal radiation, variable viscosity, viscous dissipation, Joule heating, and variable heat flux have been investigated. Sheets with variable thicknesses are practically significant in real-life applications and are being used in metallurgical engineering, appliance structures and patterns, atomic reactor mechanization and paper production. To investigate the physical features of the problem, we first examined the model and identified all the physical properties of the problem. This problem has been formulated using basic laws and governing equations. The partial differential equations (PDEs) that govern the flow are converted into a system of non-dimensional ordinary differential equations (ODE’s), using appropriate transformations. The Adam–Bashforth predictor-corrector technique and Mathematica software are utilized to numerically solve the resulting non-dimensionalized system. The interaction of various developing parameters with the flow is described graphically for temperature and velocity profiles. It is concluded that the velocity of nanoparticles declines as the intensity of the magnetic field increases. However, the temperature of the nanomaterials rises, as increasing the values of the electric field also increases the velocity distribution. The radiation parameter enhances the temperature field. The temperature of the fluid increases the occurrence of space- and time-dependent parameters for heat generation and absorption and radiation parameters. Full article
(This article belongs to the Special Issue New Research on Heat Transfer with Properties of Nanofluids)
Show Figures

Figure 1

16 pages, 845 KB  
Article
Two-Dimensional Electromagnetohydrodynamic (EMHD) Flows of Fractional Viscoelastic Fluids with Electrokinetic Effects
by Kai Tian, Shujuan An, Guangpu Zhao and Zhaodong Ding
Nanomaterials 2022, 12(19), 3335; https://doi.org/10.3390/nano12193335 - 25 Sep 2022
Cited by 3 | Viewed by 2216
Abstract
The present study provides analytical and numerical solutions for an electromagnetohydrodynamic (EMHD) flow using a Caputo time-fractional Maxwell model. The flow is a typical rectangular channel flow. When the scale of the cross-stream is much smaller than the streamwise and spanwise scales, the [...] Read more.
The present study provides analytical and numerical solutions for an electromagnetohydrodynamic (EMHD) flow using a Caputo time-fractional Maxwell model. The flow is a typical rectangular channel flow. When the scale of the cross-stream is much smaller than the streamwise and spanwise scales, the model is approximated as a two-dimensional slit parallel plate flow. Moreover, the influence of the electric double layer (EDL) at the solid–liquid interface is also considered. The electro-osmotic force generated by the interaction between the electric field and the EDL will induce a flow (i.e., electro-osmotic flow). Due to the application of the electric field at the streamwise and the vertical magnetic field, the flow is driven by Lorentz force along the spanwise direction. Simultaneously, under the action of the magnetic field, the electro-osmotic flow induces a reverse Lorentz force, which inhibits the electro-osmotic flow. The result shows that resonance behavior can be found in both directions in which the flow is generated. However, compared with the classical Maxwell fluid, the slip velocity and resonance behavior of fractional Maxwell fluid are suppressed. In the spanwise direction, increasing the strength of magnetic field first promotes the slip velocity and resonance behavior, and then suppresses them, while in the streamwise direction, both the electro-osmotic flow and resonance behavior are suppressed with the magnetic field. Full article
(This article belongs to the Special Issue Advances of Nanoscale Fluid Mechanics)
Show Figures

Figure 1

22 pages, 8967 KB  
Article
Heat Transfer Attributes of Gold–Silver–Blood Hybrid Nanomaterial Flow in an EMHD Peristaltic Channel with Activation Energy
by Basma Souayeh, Katta Ramesh, Najib Hdhiri, Essam Yasin, Mir Waqas Alam, Kawthar Alfares and Amina Yasin
Nanomaterials 2022, 12(10), 1615; https://doi.org/10.3390/nano12101615 - 10 May 2022
Cited by 44 | Viewed by 2966
Abstract
The heat enhancement in hybrid nanofluid flow through the peristaltic mechanism has received great attention due to its occurrence in many engineering and biomedical systems, such as flow through canals, the cavity flow model and biomedicine. Therefore, the aim of the current study [...] Read more.
The heat enhancement in hybrid nanofluid flow through the peristaltic mechanism has received great attention due to its occurrence in many engineering and biomedical systems, such as flow through canals, the cavity flow model and biomedicine. Therefore, the aim of the current study was to discuss the hybrid nanofluid flow in a symmetric peristaltic channel with diverse effects, such as electromagnetohydrodynamics (EMHD), activation energy, gyrotactic microorganisms and solar radiation. The equations governing this motion were simplified under the approximations of a low Reynolds number (LRN), a long wavelength (LWL) and Debye–Hückel linearization (DHL). The numerical solutions for the non-dimensional system of equations were tackled using the computational software Mathematica. The influences of diverse physical parameters on the flow and thermal characteristics were computed through pictorial interpretations. It was concluded from the results that the thermophoresis parameter and Grashof number increased the hybrid nanofluid velocity near the right wall. The nanoparticle temperature decreased with the radiation parameter and Schmidt number. The activation energy and radiation enhanced the nanoparticle volume fraction, and motile microorganisms decreased with an increase in the Peclet number and Schmidt number. The applications of the current investigation include chyme flow in the gastrointestinal tract, the control of blood flow during surgery by altering the magnetic field and novel drug delivery systems in pharmacological engineering. Full article
(This article belongs to the Special Issue Nanomaterials-Based Solutions for Thermal Systems)
Show Figures

Figure 1

16 pages, 3763 KB  
Article
Simulation of Gold Nanoparticle Transport during MHD Electroosmotic Flow in a Peristaltic Micro-Channel for Biomedical Treatment
by Muneerah Al Nuwairan and Basma Souayeh
Micromachines 2022, 13(3), 374; https://doi.org/10.3390/mi13030374 - 26 Feb 2022
Cited by 43 | Viewed by 3581
Abstract
The study of gold nanoparticles (AuNPs) in the blood flow has emerged as an area of interest for numerous researchers, due to its many biomedical applications, such as cancer radiotherapy, DNA and antigens, drug and gene delivery, in vitro evaluation, optical bioimaging, radio [...] Read more.
The study of gold nanoparticles (AuNPs) in the blood flow has emerged as an area of interest for numerous researchers, due to its many biomedical applications, such as cancer radiotherapy, DNA and antigens, drug and gene delivery, in vitro evaluation, optical bioimaging, radio sensitization and laser phototherapy of cancer cells and tumors. Gold nanoparticles can be amalgamated in various shapes and sizes. Due to this reason, gold nanoparticles can be diffused efficiently, target the diseased cells and destroy them. The current work studies the effect of gold nanoparticles of different shapes on the electro-magneto-hydrodynamic (EMHD) peristaltic propulsion of blood in a micro-channel under various effects, such as activation energy, bioconvection, radiation and gyrotactic microorganisms. Four kinds of nanoparticle shapes, namely bricks, cylinders and platelets, are considered. The governing equations are simplified under the approximations of low Reynolds number (LRN), long wavelength (LWL) and Debye–Hückel linearization (DHL). The numerical solutions for the non-dimensional equations are solved using the computational software MATLAB with the help of the bvp4c function. The influences of different physical parameters on the flow and thermal characteristics are computed through pictorial interpretations. Full article
(This article belongs to the Special Issue Fluid Dynamics and Heat Transport in Microchannels)
Show Figures

Figure 1

21 pages, 756 KB  
Article
Mixed Convective Stagnation Point Flow towards a Vertical Riga Plate in Hybrid Cu-Al2O3/Water Nanofluid
by Najiyah Safwa Khashi’ie, Norihan Md Arifin and Ioan Pop
Mathematics 2020, 8(6), 912; https://doi.org/10.3390/math8060912 - 4 Jun 2020
Cited by 102 | Viewed by 4477
Abstract
The present work highlights the stagnation point flow with mixed convection induced by a Riga plate using a Cu-Al 2 O 3 /water hybrid nanofluid. The electromagnetohydrodynamic (EMHD) force generated from the Riga plate was influential in the heat transfer performance and applicable [...] Read more.
The present work highlights the stagnation point flow with mixed convection induced by a Riga plate using a Cu-Al 2 O 3 /water hybrid nanofluid. The electromagnetohydrodynamic (EMHD) force generated from the Riga plate was influential in the heat transfer performance and applicable to delay the boundary layer separation. Similarity transformation was used to reduce the complexity of the governing model. MATLAB software, through the bvp4c function, was used to compute the resulting nonlinear ODEs. Pure forced convective flow has a distinctive solution, whereas two similarity solutions were attainable for the buoyancy assisting and opposing flows. The first solution was validated as the physical solution through the analysis of flow stability. The accretion of copper volumetric concentration inflated the heat transfer rate for the aiding and opposing flows. The heat transfer rate increased approximately up to an average of 10.216% when the copper volumetric concentration increased from 0.005 ( 0.5 % ) to 0.03 ( 3 % ) . Full article
(This article belongs to the Section E2: Control Theory and Mechanics)
Show Figures

Figure 1

18 pages, 1899 KB  
Article
Electromagnetohydrodynamic Electroosmotic Flow and Entropy Generation of Third-Grade Fluids in a Parallel Microchannel
by Chunhong Yang, Yongjun Jian, Zhiyong Xie and Fengqin Li
Micromachines 2020, 11(4), 418; https://doi.org/10.3390/mi11040418 - 16 Apr 2020
Cited by 17 | Viewed by 3136
Abstract
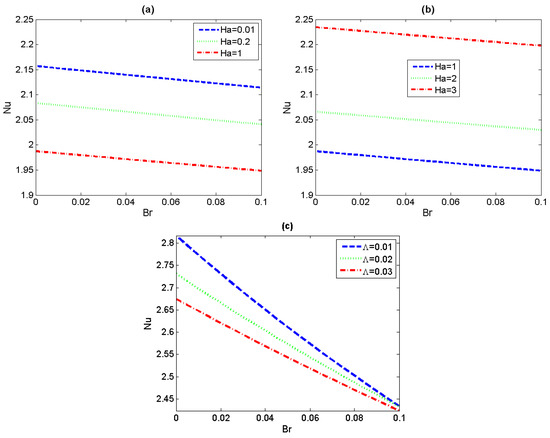
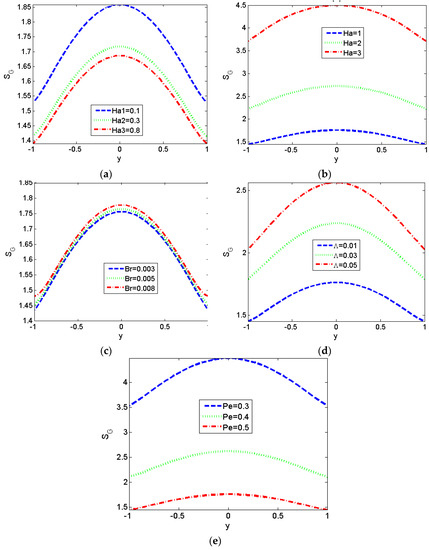
The present paper discusses the electromagnetohydrodynamic (EMHD) electroosmotic flow (EOF) and entropy generation of incompressible third-grade fluids in a parallel microchannel. Numerical solutions of the non-homogeneous partial differential equations of velocity and temperature are obtained by the Chebyshev spectral collocation method. The effects [...] Read more.
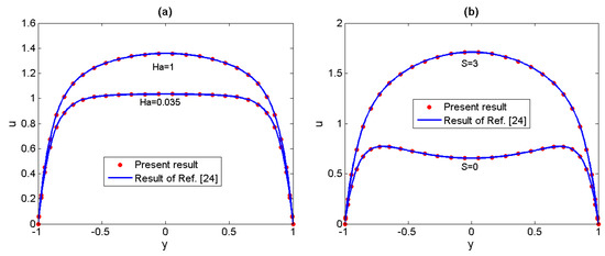
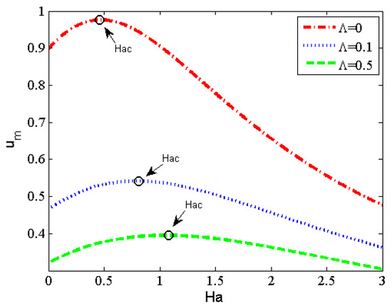
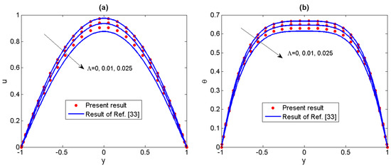
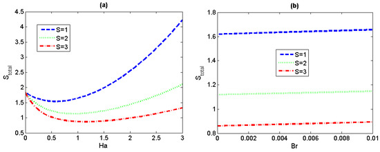
The present paper discusses the electromagnetohydrodynamic (EMHD) electroosmotic flow (EOF) and entropy generation of incompressible third-grade fluids in a parallel microchannel. Numerical solutions of the non-homogeneous partial differential equations of velocity and temperature are obtained by the Chebyshev spectral collocation method. The effects of non-Newtonian parameter Λ, Hartman number Ha and Brinkman number Br on the velocity, temperature, Nusselt number and entropy generation are analyzed in detail and shown graphically. The main results show that both temperature and Nusselt number decrease with the non-Newtonian physical parameter, while the local and total entropy generation rates exhibit an adverse trend, which means that non-Newtonian parameter can provoke the local entropy generation rate. In addition, we also find that the increase of non-Newtonian parameter can lead to the increase of the critical Hartman number Hac. Full article
(This article belongs to the Section A:Physics)
Show Figures

Figure 1

23 pages, 5405 KB  
Article
Effects of Radiative Electro-Magnetohydrodynamics Diminishing Internal Energy of Pressure-Driven Flow of Titanium Dioxide-Water Nanofluid due to Entropy Generation
by Ahmed Zeeshan, Nasir Shehzad, Tehseen Abbas and Rahmat Ellahi
Entropy 2019, 21(3), 236; https://doi.org/10.3390/e21030236 - 1 Mar 2019
Cited by 101 | Viewed by 4522
Abstract
The internal average energy loss caused by entropy generation for steady mixed convective Poiseuille flow of a nanofluid, suspended with titanium dioxide (TiO2) particles in water, and passed through a wavy channel, was investigated. The models of thermal conductivity and viscosity [...] Read more.
The internal average energy loss caused by entropy generation for steady mixed convective Poiseuille flow of a nanofluid, suspended with titanium dioxide (TiO2) particles in water, and passed through a wavy channel, was investigated. The models of thermal conductivity and viscosity of titanium dioxide of 21 nm size particles with a volume concentration of temperature ranging from 15 °C to 35 °C were utilized. The characteristics of the working fluid were dependent on electro-magnetohydrodynamics (EMHD) and thermal radiation. The governing equations were first modified by taking long wavelength approximations, which were then solved by a homotopy technique, whereas for numerical computation, the software package BVPh 2.0 was utilized. The results for the leading parameters, such as the electric field, the volume fraction of nanoparticles and radiation parameters for three different temperatures scenarios were examined graphically. The minimum energy loss at the center of the wavy channel due to the increase in the electric field parameter was noted. However, a rise in entropy was observed due to the change in the pressure gradient from low to high. Full article
(This article belongs to the Special Issue Entropy Generation in Nanofluid Flows II)
Show Figures

Figure 1

Back to TopTop