Heat Transfer Attributes of Gold–Silver–Blood Hybrid Nanomaterial Flow in an EMHD Peristaltic Channel with Activation Energy
Abstract
:1. Introduction
2. Mathematical Model
3. Numerical Procedure
4. Results and Discussion
5. Conclusions
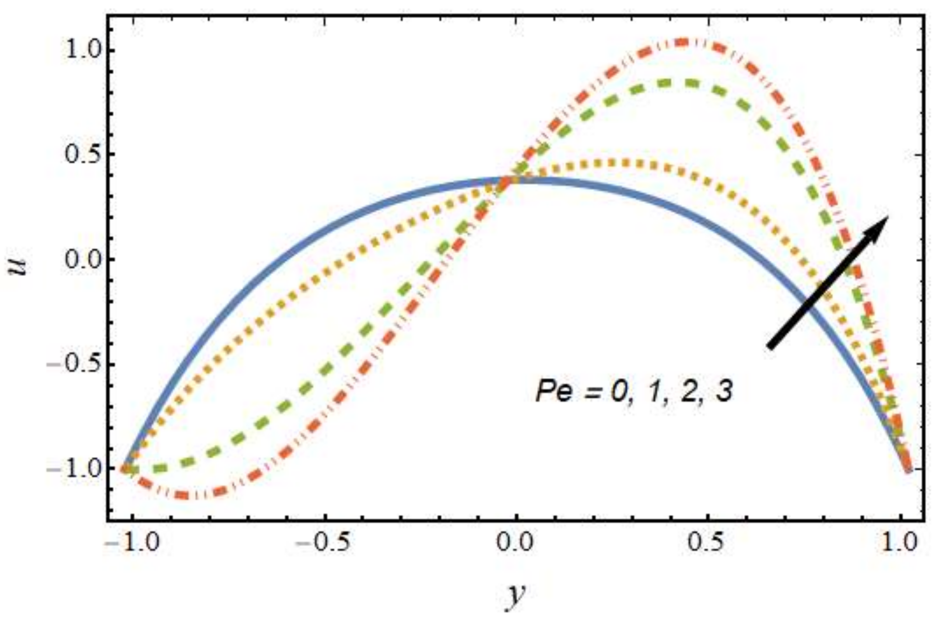
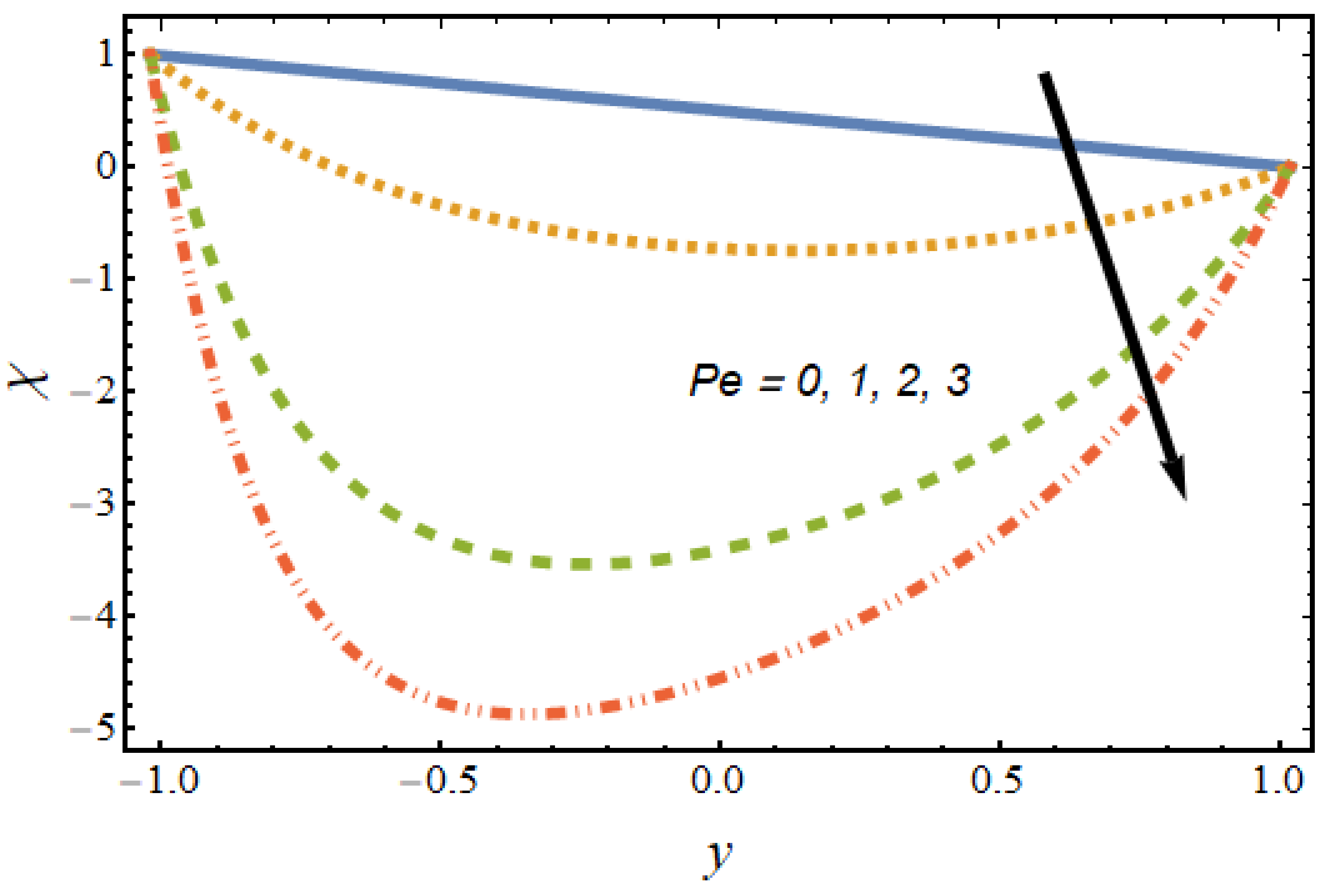
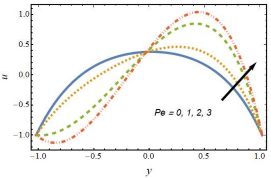
- The velocity enhances with the Peclet number, thermophoresis parameter, electro-osmosis parameter and Grashof number near the right wall of the peristaltic channel.
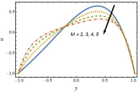
- Stronger magnetic strengths reduce the velocity of the hybrid nanofluid.
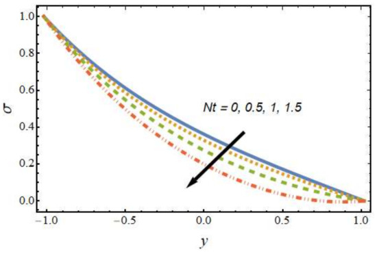
- Stronger thermophoresis and Brownian motion effects lead to an increment in nanoparticle temperature.
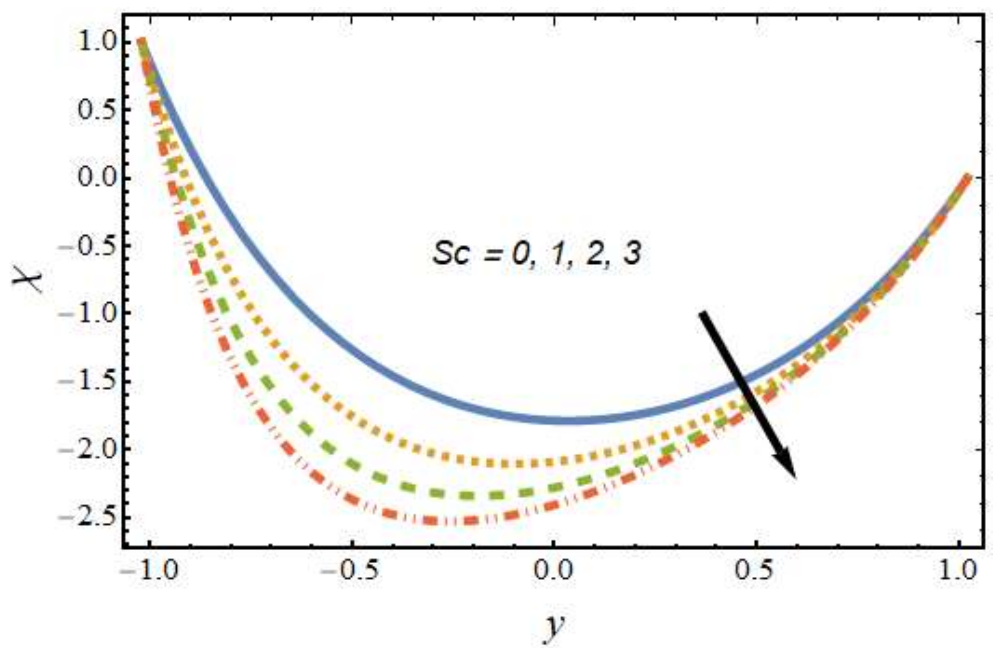
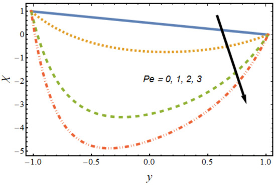
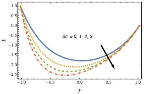
- The radiation and Schmidt effects decrease the temperature profile.
- Nanoparticle concentration is enhanced with the radiation parameter and activation energy.
- The radiation and Brownian effects uplift the motile microorganism profiles.
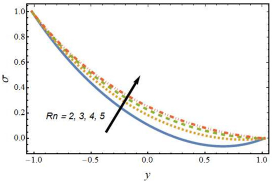
- Shear stress increases with the enhancement of activation energy and radiation effects, and the trend is reversed for the thermophoresis and Schmidt parameters.
- The radiation and Brownian motion effects increase the motile microorganism profiles.
- The Sherwood number and Nusselt number are decreasing functions of the activation energy and Brownian motion effects, and the trend is reversed for the Schmidt number and fitted parameter.
Author Contributions
Funding
Institutional Review Board Statement
Informed Consent Statement
Data Availability Statement
Acknowledgments
Conflicts of Interest
References
- Choi, S.U.S.; Eastman, J.A. Enhancing Thermal Conductivity of Fluids with Nanoparticles.; Siginer, D.A., Wang, H.P., Eds.; Developments and Applications of Non-Newtonian Flows; FED-231/MD-66; ASME: New York, NY, USA, 1995; pp. 99–105. [Google Scholar]
- Mahian, O.; Kolsi, L.; Amani, M.; Estellé, P.; Ahmadi, G.; Kleinstreuer, C.; Marshall, J.S.; Siavashi, M.; Taylor, R.A.; Niazmand, H.; et al. Recent advances in modeling and simulation of nanofluid flows-Part I: Fundamentals and theory. Phys. Rep. 2019, 790, 1–48. [Google Scholar] [CrossRef]
- Okonkwo, E.C.; Wole-Osho, I.; Almanassra, I.W.; Abdullatif, Y.M.; Al-Ansari, T. An updated review of nanofluids in various heat transfer devices. J. Therm. Anal. 2021, 145, 2817–2872. [Google Scholar] [CrossRef]
- Aman, S.; Khan, I.; Ismail, Z.; Salleh, M.Z. Impacts of gold nanoparticles on MHD mixed convection Poiseuille flow of nanofluid passing through a porous medium in the presence of thermal radiation, thermal diffusion and chemical reaction. Neural Comput. Appl. 2018, 30, 789–797. [Google Scholar] [CrossRef] [PubMed] [Green Version]
- Baber, R.; Mazzei, L.; Thanh, N.T.K.; Gavriilidis, A. An engineering approach to synthesis of gold and silver nanoparticles by controlling hydrodynamics and mixing based on a coaxial flow reactor. Nanoscale 2017, 9, 14149–14161. [Google Scholar] [CrossRef] [Green Version]
- Hussain, F.; Nazeer, M.; Altanji, M.; Saleem, A.; Ghafar, M.M. Thermal analysis of Casson rheological fluid with gold nanoparticles under the impact of gravitational and magnetic forces. Case Stud. Therm. Eng. 2021, 28, 101433. [Google Scholar] [CrossRef]
- Mondragón, R.; Torres-Mendieta, R.; Meucci, M.; Mínguez-Vega, G.; Juliá, J.E.; Sani, E. Synthesis and characterization of gold/water nanofluids suitable for thermal applications produced by femtosecond laser radiation. J. Photon. Energy 2016, 6, 034001. [Google Scholar] [CrossRef] [Green Version]
- Eid, M.R.; Alsaedi, A.; Muhammad, T.; Hayat, T. Comprehensive analysis of heat transfer of gold-blood nanofluid (Sisko-model) with thermal radiation. Results Phys. 2017, 7, 4388–4393. [Google Scholar] [CrossRef]
- Suleman, M.; Ramzan, M.; Ahmad, S.; Lu, D.; Muhammad, T.; Chung, J.D. A Numerical Simulation of Silver–Water Nanofluid Flow with Impacts of Newtonian Heating and Homogeneous–Heterogeneous Reactions Past a Nonlinear Stretched Cylinder. Symmetry 2019, 11, 295. [Google Scholar] [CrossRef] [Green Version]
- Waghole, D.R.; Warkhedkar, R.M.; Kulkarni, V.S.; Shrivastva, R.K. Studies on heat transfer in flow of silver nanofluid through a straight tube with twisted tape inserts. Heat Mass Transf. 2015, 52, 309–313. [Google Scholar] [CrossRef]
- Pourhoseini, S.H.; Naghizadeh, N.; Hoseinzadeh, H. Effect of silver-water nanofluid on heat transfer performance of a plate heat exchanger: An experimental and theoretical study. Powder Technol. 2018, 332, 279–286. [Google Scholar] [CrossRef]
- Forghani-Tehrani, P.; Karimipour, A.; Afrand, M.; Mousavi, S. Different nano-particles volume fraction and Hartmann number effects on flow and heat transfer of water-silver nanofluid under the variable heat flux. Phys. E: Low-Dimens. Syst. Nanostruct. 2017, 85, 271–279. [Google Scholar] [CrossRef]
- Ali, B.; Thumma, T.; Habib, D.; Salamat, N.; Riaz, S. Finite element analysis on transient MHD 3D rotating flow of Maxwell and tangent hyperbolic nanofluid past a bidirectional stretching sheet with Cattaneo Christov heat flux model. Therm. Sci. Eng. Prog. 2021, 28, 101089. [Google Scholar] [CrossRef]
- Benos, L.T.; Karvelas, E.G.; Sarris, I.E. Crucial effect of aggregations in CNT-water nanofluid magnetohydrodynamic natural convection. Therm. Sci. Eng. Prog. 2019, 11, 263–271. [Google Scholar] [CrossRef]
- Gkountas, A.A.; Benos, L.T.; Sofiadis, G.N.; Sarris, I.E. A printed-circuit heat exchanger consideration by exploiting an Al2O3-water nanofluid: Effect of the nanoparticles interfacial layer on heat transfer. Therm. Sci. Eng. Prog. 2021, 22, 100818. [Google Scholar] [CrossRef]
- Benos, L.; Sarris, I.E. Analytical study of the magnetohydrodynamic natural convection of a nanofluid filled horizontal shallow cavity with internal heat generation. Int. J. Heat Mass Transf. 2019, 130, 862–873. [Google Scholar] [CrossRef]
- Makishima, A. Possibility of hybrid materials. Ceram. Jap. 2004, 39, 90–91. [Google Scholar]
- Zhang, Y.; Shahmir, N.; Ramzan, M.; Alotaibi, H.; Aljohani, H.M. Upshot of melting heat transfer in a Von Karman rotating flow of gold-silver/engine oil hybrid nanofluid with Cattaneo-Christov heat flux. Case Stud. Therm. Eng. 2021, 26, 101149. [Google Scholar] [CrossRef]
- Shoaib, M.; Raja, M.A.Z.; Sabir, M.T.; Islam, S.; Shah, Z.; Kumam, P.; Alrabaiah, H. Numerical investigation for rotating flow of MHD hybrid nanofluid with thermal radiation over a stretching sheet. Sci. Rep. 2020, 10, 1–15. [Google Scholar] [CrossRef]
- Ahmad, F.; Abdal, S.; Ayed, H.; Hussain, S.; Salim, S.; Almatroud, A.O. The improved thermal efficiency of Maxwell hybrid nanofluid comprising of graphene oxide plus silver/kerosene oil over stretching sheet. Case Stud. Therm. Eng. 2021, 27, 101257. [Google Scholar] [CrossRef]
- Gamachu, D.; Ibrahim, W. Mixed convection flow of viscoelastic Ag-Al2O3/water hybrid nanofluid past a rotating disk. Phys. Scri. 2021, 96, 125205. [Google Scholar] [CrossRef]
- Yarmand, H.; Gharehkhani, S.; Ahmadi, G.; Shirazi, S.F.S.; Baradaran, S.; Montazer, E.; Zubir, M.N.M.; Alehashem, M.; Kazi, S.; Dahari, M. Graphene nanoplatelets–silver hybrid nanofluids for enhanced heat transfer. Energy Convers. Manag. 2015, 100, 419–428. [Google Scholar] [CrossRef]
- Hayat, T.; Nadeem, S. An improvement in heat transfer for rotating flow of hybrid nanofluid: A numerical study. Can. J. Phys. 2018, 96, 1420–1430. [Google Scholar] [CrossRef]
- Dinarvand, S.; Nademi Rostami, M. An innovative mass-based model of aqueous zinc oxide–gold hybrid nanofluid for von Kármán’s swirling flow. J. Therm. Anal. Calorim. 2019, 138, 845–855. [Google Scholar] [CrossRef]
- Dinarvand, S.; Mousavi, S.M.; Yousefi, M.; Rostami, M.N. MHD flow of MgO-Ag/water hybrid nanofluid past a moving slim needle considering dual solutions: An applicable model for hot-wire anemometer analysis. Int. J. Numer. Methods Heat Fluid Flow 2021, 32, 488–510. [Google Scholar] [CrossRef]
- Kot, M.E.; Elmaboud, Y.A. Hybrid nanofluid flows through a vertical diseased coronary artery with heat transfer. J. Mech. Med. Biol. 2021, 21, 2150012. [Google Scholar] [CrossRef]
- Madhukesh, J.K.; Kumar, R.N.; Gowda, R.P.; Prasannakumara, B.C.; Ramesh, G.K.; Khan, M.I.; Chu, Y.M. Numerical simulation of AA7072-AA7075/water-based hybrid nanofluid flow over a curved stretching sheet with Newtonian heating: A non-Fourier heat flux model approach. J. Mol. Liq. 2021, 335, 116103. [Google Scholar] [CrossRef]
- Song, Y.-Q.; Khan, M.I.; Qayyum, S.; Gowda, R.J.P.; Kumar, R.N.; Prasannakumara, B.C.; Elmasry, Y.; Chu, Y.-M. Physical impact of thermo-diffusion and diffusion-thermo on Marangoni convective flow of hybrid nanofluid (MnZiFe2O4–NiZnFe2O4–H2O) with nonlinear heat source/sink and radiative heat flux. Mod. Phys. Lett. B 2021, 35, 2141006. [Google Scholar] [CrossRef]
- Hamid, A.; Naveen Kumar, R.; Punith Gowda, R.J.; Varun Kumar, R.S.; Khan, S.U.; Ijaz Khan, M.; Muhammad, T. Impact of Hall current and homogenous–heterogenous reactions on MHD flow of GO-MoS2/water (H2O)-ethylene glycol (C2H6O2) hybrid nanofluid past a vertical stretching surface. Waves Random Complex Media 2021, 1–18. [Google Scholar] [CrossRef]
- Li, Y.-X.; Khan, M.I.; Gowda, R.J.P.; Ali, A.; Farooq, S.; Chu, Y.-M.; Khan, S.U. Dynamics of aluminum oxide and copper hybrid nanofluid in nonlinear mixed Marangoni convective flow with entropy generation: Applications to renewable energy. Chin. J. Phys. 2021, 73, 275–287. [Google Scholar] [CrossRef]
- Kumar, R.N.; Gowda, R.J.P.; Abusorrah, A.M.; Mahrous, Y.M.; Abu-Hamdeh, N.H.; Issakhov, A.; Rahimi-Gorji, M.; Prasannakumara, B.C. Impact of magnetic dipole on ferromagnetic hybrid nanofluid flow over a stretching cylinder. Phys. Scr. 2021, 96, 045215. [Google Scholar] [CrossRef]
- Rekha, M.B.; Sarris, I.E.; Madhukesh, J.K.; Raghunatha, K.R.; Prasannakumara, B.C. Activation Energy Impact on Flow of AA7072-AA7075/Water-Based Hybrid Nanofluid through a Cone, Wedge and Plate. Micromachines 2022, 13, 302. [Google Scholar] [CrossRef] [PubMed]
- Yusuf, T.A.; Mabood, F.; Prasannakumara, B.C.; Sarris, I.E. Magneto-Bioconvection Flow of Williamson Nanofluid over an Inclined Plate with Gyrotactic Microorganisms and Entropy Generation. Fluids 2021, 6, 109. [Google Scholar] [CrossRef]
- Punith Gowda, R.J.; Naveen Kumar, R.; Jyothi, A.M.; Prasannakumara, B.C.; Sarris, I.E. Impact of Binary Chemical Reaction and Activation Energy on Heat and Mass Transfer of Marangoni Driven Boundary Layer Flow of a Non-Newtonian Nanofluid. Processes 2021, 9, 702. [Google Scholar] [CrossRef]
- Khan, M.I.; Qayyum, S.; Shah, F.; Kumar, R.N.; Punith Gowda, R.J.; Prasannakumara, B.C.; Chu, Y.-M.; Kadry, S. Marangoni convective flow of hybrid nanofluid (MnZnFe2O4-NiZnFe2O4-H2O) with Darcy Forchheimer medium. Ain Shams Eng. J. 2021, 12, 3931–3938. [Google Scholar] [CrossRef]
- Bhatti, M.M.; Abdelsalam, S.I. Bio-inspired peristaltic propulsion of hybrid nanofluid flow with Tantalum (Ta) and Gold (Au) nanoparticles under magnetic effects. Waves Random Complex Media 2021, 1–26. [Google Scholar] [CrossRef]
- Bibi, A.; Xu, H. Peristaltic channel flow and heat transfer of Carreau magneto hybrid nanofluid in the presence of homogeneous/heterogeneous reactions. Sci. Rep. 2020, 10, 1–20. [Google Scholar] [CrossRef]
- McCash, L.B.; Akhtar, S.; Nadeem, S.; Saleem, S. Entropy Analysis of the Peristaltic Flow of Hybrid Nanofluid Inside an Elliptic Duct with Sinusoidally Advancing Boundaries. Entropy 2021, 23, 732. [Google Scholar] [CrossRef]
- Das, S.; Barman, B.N.; Jana, R.N. Hall and ion-slip currents’ role in transportation dynamics of ionic Casson hybrid nano-liquid in a microchannel via electroosmosis and peristalsis. Korea-Aust. Rheol. J. 2021, 33, 367–391. [Google Scholar] [CrossRef]
- Awais, M.; Shah, Z.; Perveen, N.; Ali, A.; Kumam, P.; Rehman, H.U.; Thounthong, P. MHD effects on ciliary-induced peristaltic flow coatings with rheological hybrid nanofluid. Coatings 2020, 10, 186. [Google Scholar] [CrossRef] [Green Version]
- Abd-Alla, A.M.; Thabet, E.N.; Bayones, F.S. Numerical solution for MHD peristaltic transport in an inclined nanofluid symmetric channel with porous medium. Sci. Rep. 2022, 12, 1–11. [Google Scholar] [CrossRef]
- Saleem, N.; Munawar, S.; Tripathi, D. Entropy analysis in ciliary transport of radiated hybrid nanofluid in presence of electromagnetohydrodynamics and activation energy. Case Stud. Therm. Eng. 2021, 28, 101665. [Google Scholar] [CrossRef]
- Shahid, A.; Mohamed, M.S.; Bhatti, M.M.; Doranehgard, M.H. Darcy–Brinkman–Forchheimer Model for Nano-Bioconvection Stratified MHD Flow through an Elastic Surface: A Successive Relaxation Approach. Mathematics 2021, 9, 2514. [Google Scholar] [CrossRef]
- Nuwairan, M.A.; Souayeh, B. Simulation of Gold Nanoparticle Transport during MHD Electroosmotic Flow in a Peristaltic Micro-Channel for Biomedical Treatment. Micromachines 2022, 13, 374. [Google Scholar] [CrossRef] [PubMed]
- Tripathi, D.; Prakash, J.; Gnaneswara Reddy, M.; Kumar, R. Numerical study of electroosmosis-induced alterations in peristaltic pumping of couple stress hybrid nanofluids through microchannel. Indian J. Phys. 2020, 95, 2411–2421. [Google Scholar] [CrossRef]
- Tripathi, D.; Prakash, J.; Tiwari, A.K.; Ellahi, R. Thermal, microrotation, electromagnetic field and nanoparticle shape effects on Cu-CuO/blood flow in microvascular vessels. Microvasc. Res. 2020, 132, 104065. [Google Scholar] [CrossRef]
- Iftikhar, N.; Rehman, A.; Sadaf, H.; Iqbal, S. Study of Al2O3/copper–water nanoparticle shape, slip effects, and heat transfer on steady physiological delivery of MHD hybrid nanofluid. Can. J. Phys. 2019, 97, 1239–1252. [Google Scholar] [CrossRef] [Green Version]
- Haq, F.; Saleem, M.; Khan, M.I.; Elmasry, Y.; Chinram, R. Entropy generation minimization in bio-convective flow of nanofluid with activation energy and gyrotactic micro-organisms. AIP Adv. 2021, 11, 055017. [Google Scholar] [CrossRef]
- Ullah, I.; Hayat, T.; Alsaedi, A.; Asghar, S. Modeling for radiated Marangoni convection flow of magneto-nanoliquid subject to Activation energy and chemical reaction. Sci. Iran. 2020, 27, 3390–3398. [Google Scholar] [CrossRef]
- Mansour, M.; Ahmed, S.E.; Rashad, A.M. South Valley University MHD Natural Convection in a Square Enclosure using Nanofluid with the Influence of Thermal Boundary Conditions. J. Appl. Fluid Mech. 2016, 9, 2515–2525. [Google Scholar] [CrossRef]
- Chu, Y.-M.; Khan, U.; Shafiq, A.; Zaib, A. Numerical Simulations of Time-Dependent Micro-Rotation Blood Flow Induced by a Curved Moving Surface Through Conduction of Gold Particles with Non-uniform Heat Sink/Source. Arab. J. Sci. Eng. 2021, 46, 2413–2427. [Google Scholar] [CrossRef]
- Haseena, C.; Srinivas, A.N.S. Peristaltic Transport of a Nanofluid in a Vertical Channel. J. Nanofluids 2017, 6, 624–636. [Google Scholar] [CrossRef]



















| Properties | Gold | Silver | Water |
|---|---|---|---|
| 318 | 429 | 0.613 | |
| 129 | 235 | 4179 | |
| 19,300 | 10,500 | 997.1 | |
| 0.05 | |||
| 1.4 | 1.89 | 21 |
| 1 | 2 | 0.5 | 1 | 2 | 1 | |||
| 1.5 | ||||||||
| 2 | ||||||||
| 2.2 | ||||||||
| 3.0 | ||||||||
| 3.1 | ||||||||
| 3.2 | ||||||||
| 3.3 | ||||||||
| 0.1 | ||||||||
| 0.2 | ||||||||
| 0.3 | ||||||||
| 0.4 | ||||||||
| 0.5 | ||||||||
| 0.6 | ||||||||
| 1.1 | ||||||||
| 1.2 | ||||||||
| 0 | ||||||||
| 0.3 | ||||||||
| 0.6 | ||||||||
| 1 | ||||||||
| 0 | ||||||||
| 1 | ||||||||
| 1.2 | ||||||||
| 2 |
Publisher’s Note: MDPI stays neutral with regard to jurisdictional claims in published maps and institutional affiliations. |
© 2022 by the authors. Licensee MDPI, Basel, Switzerland. This article is an open access article distributed under the terms and conditions of the Creative Commons Attribution (CC BY) license (https://creativecommons.org/licenses/by/4.0/).
Share and Cite
Souayeh, B.; Ramesh, K.; Hdhiri, N.; Yasin, E.; Alam, M.W.; Alfares, K.; Yasin, A. Heat Transfer Attributes of Gold–Silver–Blood Hybrid Nanomaterial Flow in an EMHD Peristaltic Channel with Activation Energy. Nanomaterials 2022, 12, 1615. https://doi.org/10.3390/nano12101615
Souayeh B, Ramesh K, Hdhiri N, Yasin E, Alam MW, Alfares K, Yasin A. Heat Transfer Attributes of Gold–Silver–Blood Hybrid Nanomaterial Flow in an EMHD Peristaltic Channel with Activation Energy. Nanomaterials. 2022; 12(10):1615. https://doi.org/10.3390/nano12101615
Chicago/Turabian StyleSouayeh, Basma, Katta Ramesh, Najib Hdhiri, Essam Yasin, Mir Waqas Alam, Kawthar Alfares, and Amina Yasin. 2022. "Heat Transfer Attributes of Gold–Silver–Blood Hybrid Nanomaterial Flow in an EMHD Peristaltic Channel with Activation Energy" Nanomaterials 12, no. 10: 1615. https://doi.org/10.3390/nano12101615
APA StyleSouayeh, B., Ramesh, K., Hdhiri, N., Yasin, E., Alam, M. W., Alfares, K., & Yasin, A. (2022). Heat Transfer Attributes of Gold–Silver–Blood Hybrid Nanomaterial Flow in an EMHD Peristaltic Channel with Activation Energy. Nanomaterials, 12(10), 1615. https://doi.org/10.3390/nano12101615

