EMHD Flow and Heat Transfer of a Nanofluid Layer and a Hybrid Nanofluid Layer in a Horizontal Channel with Porous Medium
Abstract
1. Introduction
2. Mathematical Model
3. Solution of the Problem
4. Model Verification
5. Results and Discussion
6. Conclusions
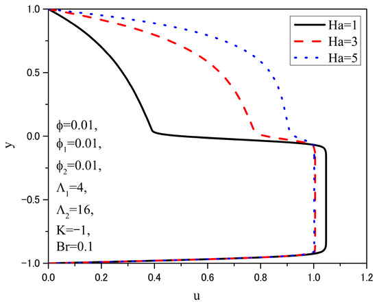
- For K = −1, increasing the Hartmann number increases the velocity in the upper layer and decreases it in the lower layer, raises the temperature in both layers of the channel, increases the shear stress values, and increases the Nusselt number on the lower wall while decreasing it on the upper wall.
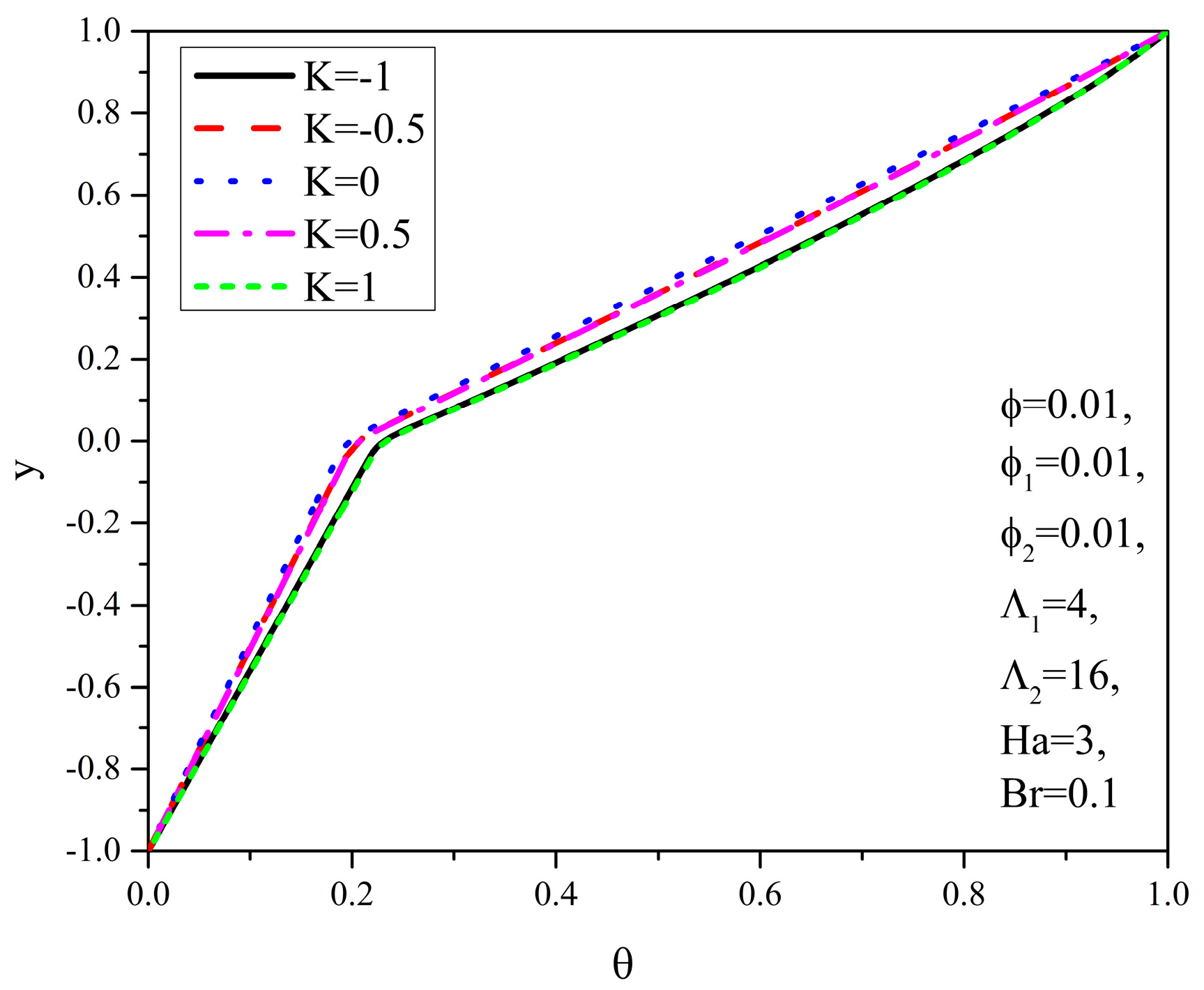
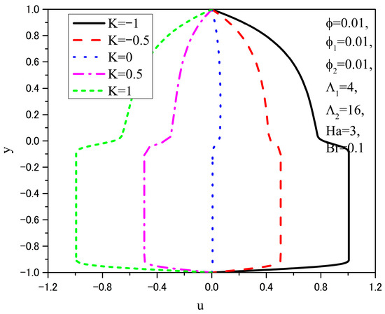
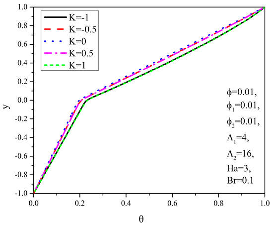
- Increasing the absolute value of the factor K increases the velocity in both layers, raises the temperature, and increases the shear stress values. The Nusselt number increases on the lower wall and decreases on the upper wall.
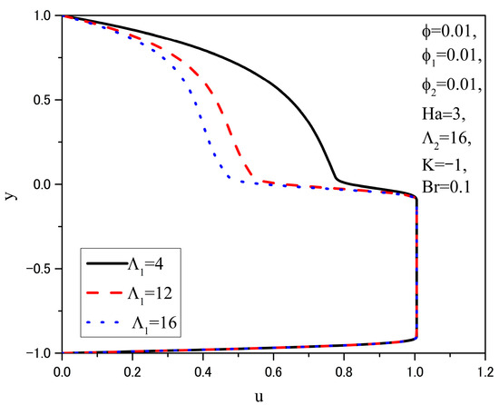
- With an increase in the porosity factor of the medium in the upper half of the channel, the velocity in the upper half decreases, the temperature in the channel increases, the shear stress on the upper wall decreases while remaining unchanged on the lower wall, and the Nusselt number decreases on the upper wall and increases on the lower wall.
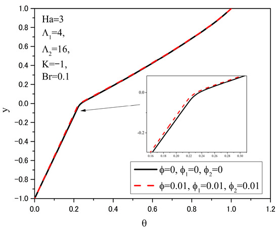
- When nanofluid and hybrid nanofluid flow through the channel, the velocities are lower, the temperatures are lower, and the shear stresses and Nusselt numbers are higher compared to the case when pure fluids (oil and water) flow through the channel.
Author Contributions
Funding
Institutional Review Board Statement
Informed Consent Statement
Data Availability Statement
Conflicts of Interest
References
- Maxwell, J.A. Treatise on Electricity and Magnetism; University of Oxford, at the Clarendon Press: Oxford, UK, 1873. [Google Scholar]
- Eastman, J.A.; Choi, S.U.S.; Li, S.; Thompson, L.J.; Lee, S. Enhanced thermal conductivity through the development of nanofluids. MRS Online Proc. Libr. 1996, 457, 3–11. [Google Scholar] [CrossRef]
- Jovanović, M.M.; Nikodijević, J.D.; Nikodijević, M.D. Rayleigh-Bénard convection instability in the presence of spatial temperature modulation on both plates. Int. J. Non-Linear Mech. 2015, 73, 69–74. [Google Scholar] [CrossRef]
- Umavathi, J.C. Rayleigh-Benard convection subject to time dependent wall temperature in a porous medium layer saturated by a nanofluid. Mechanica 2015, 50, 981–994. [Google Scholar] [CrossRef]
- Aaiza, G.; Khan, I.; Shafie, S. Energy Transfer in Mixed Convection MHD Flow of Nanofluid Contaning Different Shapes of Nanoparticles in a Channel Filled with Saturated Porous Medium. Nanoscale Res. Lett. 2015, 10, 490. [Google Scholar] [CrossRef] [PubMed]
- Lima, J.A.; Assad, G.E.; Paiva, H.S. A simple approach to analyze the fully developed two-phase magnetoconvection type flows in inclined parallel-plate channels. Lat. Am. Appl. Res. 2016, 46, 93–98. [Google Scholar] [CrossRef]
- Sharma, M.K.; Boora, M. Nanofluid Flow and Heat Convection in a Channel Filled with Porous Medium. J. Int. Acad. Phys. Sci. 2017, 21, 167–188. [Google Scholar]
- Hayat, T.; Nadeem, S. Heat transfer enhancement with Ag-CuO/water hybrid nanofluid. Results Phys. 2017, 7, 2. [Google Scholar] [CrossRef]
- Elmaboud, Y.A. Two layers of immiscible fluids in a vertical semi-corrugated channel with heat transfer: Impact of nanoparticles. Results Phys. 2018, 9, 1643–1655. [Google Scholar] [CrossRef]
- Raju, A.; Ojjela, O. Effects of the induced magnetic field, thermophoresis and Brownian motion on mixed convective Jeffrey nanofluid flow through a porous channel. Eng. Rep. 2019, 1, e12053. [Google Scholar] [CrossRef]
- Dogonchi, A.S.; Sheremet, M.A.; Ganji, D.D.; Pop, I. Free convection of copper-water nanofluid in a porous gap between hot rectangular cylinder and cold circular cylinder under the effect of inclined magnetic field. J. Therm. Anal. Calorim. 2019, 135, 1171–1184. [Google Scholar] [CrossRef]
- Xu, H.; Sun, Q. Generalized Hybrid Nanofluid with the Application of Fully Developed Mixed Convection Flow in a Vertical Microchannel. Commun. Theor. Phys. 2019, 71, 903–911. [Google Scholar] [CrossRef]
- Slimani, R.; Aissa, A.; Mebarek-Ondina, F.; Khan, U.; Sahnoun, M.; Chamkha, A.J.; Medebber, M.A. Natural convection analysis flow of Al2O3-Cu/water hybrid nanofluid in a porous conical enclosure subjected to the magnetic field. Eur. Phys. J. Appl. Phys. 2020, 92, 10904. [Google Scholar] [CrossRef]
- Umavati, J.C.; Sheremet, M.A. Heat transfer of viscous fluid in a vertical channel sandwiched between nanofluid porous zones. J. Therm. Anal. Calorim. 2020, 144, 1389–1399. [Google Scholar] [CrossRef]
- Zainal, N.A.; Nazar, R.; Naganthran, K.; Pop, I. MHD flow and heat transfer of hybrid nanofluid over a permeable moving surface in the presence of thermal radiation. Int. J. Numer. Methods Heat Fluid Flow 2021, 31, 858–879. [Google Scholar] [CrossRef]
- Kumar, R.; Bhattacharyya, A.; Seth, G.S.; Chamkha, A.J. Transportation of magnetite nanofluid flow and heat transfer over a rotating porous disk with Arrhenius activation energy: Fourth order Noumerov’s metod. Chin. J. Phys. 2020, 69, 172–185. [Google Scholar] [CrossRef]
- Nikodijevic, M.; Stamenkovic, Z.; Petrovic, J.D.; Kocic, M. Unsteady Fluid Flow and Heat Transfer Through a Porous Medium in a Horizontal Channel with an Inclined Channel with an Inclined Magnetic Field. Trans. FAMENA 2020, 44, 31–46. [Google Scholar] [CrossRef]
- Manjeet, A.; Sharma, M.K. MHD fow and heat convection in a channel filled with two immiscible newtonian and nanofluid fluids. JP J. Heat Mass Trans. 2020, 21, 1–21. [Google Scholar] [CrossRef]
- Umavathi, J.C.; Chamkha, A.J. Thermo-Solutal convection of a Nanofluid Utilizing Fourier’s-Type Compass Conditions. J. Nanofluids 2021, 9, 362–374. [Google Scholar] [CrossRef]
- Kumar, A.; Ray, R.K. Shape effect of nanoparticles and entropy generation analysis for magnetohydrodynamic flow of (Al2O3-Cu/H2O) hybrid nanomaterial under the influence of Hall current. Indian J. Phys. 2022, 96, 3817–3830. [Google Scholar] [CrossRef]
- Rikitu, B.H.; Makinde, O.D.; Enyadene, L.G. Unsteady mixed convection of a radiating and reacting nanofluid with variable properties in a porous medium microchannel. Arch. Appl. Mech. 2022, 92, 99–119. [Google Scholar] [CrossRef]
- Das, S.; Banu, A.S.; Jana, R.N.; Makinde, O.D. Hall Current’s Impact on Ionized Ethylene Glycol Containing Metal Nanoparticles Flowing Through Vertical Permeable Channel. J. Nanofluids 2022, 11, 453–467. [Google Scholar] [CrossRef]
- Bhatti, M.M.; Beg, O.A.; Ellahi, R.; Doranehgard, M.H.; Rabiei, F. Electro/magnetohzdrodznamic hybrid nanofluid flow with gold and magnesium oxide nanoparticles through vertical parallel plates. J. Magn. Magn. Mater. 2022, 564, 2. [Google Scholar] [CrossRef]
- Petrović, J.D.; Stamenković, Z.M.; Bogdanović Jovanović, J.B.; Nikodijević, M.D.; Kocić, M.M.; Nikodijević, D.D. Electro-Magnetoconvection of Conductive Immiscible Pure fluid and Nanofluid. Trans. FAMENA 2022, 46, 13–28. [Google Scholar] [CrossRef]
- Petrović, J.D.; Stamenković, Z.M.; Kocić, M.M.; Nikodijević-Đorđević, M.D.; Bogdanovic Jovanović, J.B.; Nikodijević, D.D. MHD flow and mixed convection of a viscous fluid and a nanofluid through a porous medium in a vertical channel. Therm. Sci. 2023, 27, 1453–1463. [Google Scholar] [CrossRef]
- Yadav, P.K.; Kumar, A.; Filippov, A.N. Analysis of Entropy Production of Immiscible Microploar and Newtonian Fluids Flow through a Channel: Effect of Thermal Radiation and Magnetic Field. Colloid J. 2023, 85, 95–113. [Google Scholar] [CrossRef]
- Kummar Singh, J.; Seth, G.S.; Hussain, S.M. Thermal performance of hydromagnetic nanofluid flow within an asymmetric channel with arbitrarily conductive walls filled with Darcy-Brinkman porous medium. J. Magn. Magn. Mater. 2023, 582, 171034. [Google Scholar] [CrossRef]
- Raju, T.L.; Satish, P. Slip regime MHD 2-liquid plasma heat transfer flow with Hall curcents between parallel plates. Int. J. Appl. Mech. Eng. 2023, 28, 65–85. [Google Scholar] [CrossRef]
- Devi, M.P.; Srinivas, S. Heat transfer effects on the oscillatory MHD flow in a porous channel with two immiscible fluids. Nonlinear Anal. Model. Control, 2023; 1–19, Online First. [Google Scholar]
- Gul, A.; Khan, I.; Shafie, S. Radiation and heat generation effects in magnetohydrodynamic mixed convection flow of nanofluids. Therm. Sci. 2018, 22, 51–62. [Google Scholar] [CrossRef]
- Petrović, J.D.; Nikodijević-Đorđević, M.D.; Kocić, M.M. Electromagnetic hydrodynamic flow and heat transfer of a Casson nanofluid Fe3O4-blood in a porous medium. Therm. Sci. 2023, 27, 4461–4472. [Google Scholar] [CrossRef]
- Devi, M.P.; Goyal, K.; Srinivas, S.; Satyanarayana, B. Effects of different nanoparticles on the two immiscible liquids flow in an inclined channel with Joule heating and viscous dissipation. Gulf J. Math. 2024, 16, 278–290. [Google Scholar] [CrossRef]
- Rao, S.; Deka, P.N. Numerical Analysiis od MHD Hybrid Nanofluid Flow a Porous Stretching Sheet with Thermal Radiation. Int. J. Appl. Comput. Math. 2024, 10, 3. [Google Scholar] [CrossRef]
- Khamlil, S.; Zasmin, H.; Abbas, T.; Muhammad, T. Analaysis of thermal conductivity variation in magneto-hybrid nanofluids flow through porous medium with variable viscosity and slip boundary. Case Stud. Therm. Eng. 2024, 57, 104314. [Google Scholar] [CrossRef]
- Ouaf, M.E.; Abouzeid, M.Y. Chemically reacted lood CuO nanofluid flow through a non-Darcy porous media with radially varying viscosity. Sci. Rep. 2024, 14, 1650. [Google Scholar] [CrossRef]
- Sahao, C.S.; Swain, B.K.; Das, M.; Dash, G.C. Entropy generation and porosity effects on MHD hybrid nanofluid mixed convective flow over an inclined plate in the presence of thermophoresis and heat flux. J. Braz. Soc. Mech. Sci. Eng. 2025, 7, 108. [Google Scholar] [CrossRef]
- Hussein, U.N.; Khashi’ie, N.S.; Arifin, N.M.; Pop, I. Magnetohydrodynamics (MHD) flow of ternary nanofluid and heat transfer past a permeable cylinder with velocity slip. Chin. J. Phys. 2025, 93, 328–339. [Google Scholar] [CrossRef]
- Othman, M.N.; Jedi, A.; Bakar, N.A.A. MHD Flow and Heat Transfer of Hybrid Nanofluid over an Exponentially Shrinking Surface with Heat Source/Sink. Appl. Sci. 2021, 11, 8199. [Google Scholar] [CrossRef]
- Wu, J.; Lin, J.; Yan, Y.; You, Z.; Su, Z.; Long, J. Grooved-porous composite wick structures for highly efficient capillary-fed boiling heat transfer. Appl. Therm. Eng. 2024, 256, 124029. [Google Scholar] [CrossRef]
- Javed, M.Z.; Awan, M.U.; Bin-Mohsin, B.; Treanta, S. Upper Bounds for the Remainder Term in Boole’s Quadrature Rule and Applications to Numerical Analysis. Mathematic 2024, 12, 2920. [Google Scholar] [CrossRef]
- Choudhary, P.; Loganathan, K.; Jat, K.; Arunachalam, K.P.; Eswaramoorthi, S. Thermal and velocity slip impacts on MHD tetra-hybrid nanofluids flow over a porous stretching surface. Discov. Appl. Sci. 2025, 7, 720. [Google Scholar] [CrossRef]
- Hussain, M.; Hanif, Z.; Hussain, M.; Amer, I.; Mansor, M. Nonlinear radiative MHD flow of ternary nanofluid with Darcy-Forchheimer porous media: Entropy generation analysis. J. Therm. Anal. Calorim. 2025, 150, 3577–3601. [Google Scholar] [CrossRef]
- Malashetty, M.S.; Umavathi, J.C.; Kumar, J.P. Two-fluid Magnetoconvection Flow in an Inclined Channel. Int. J. Trans. Phenom. 2001, 3, 73–84. [Google Scholar]










| Physical Properties | Water | Oil | Copper | Aluminum Oxide | Titanium Dioxide |
|---|---|---|---|---|---|
| - | - | - | |||
| τ1 | τ2 | Nu1 | Nu2 | |
|---|---|---|---|---|
| Ha = 1 | −0.930845155 | 0.335588829 | −0.758641843 | −0.898679948 |
| Ha = 3 | −2.851801069 | 0.964877506 | −0.493241167 | −1.056380749 |
| Ha = 5 | −4.959717562 | 1.60253266 | −0.234017241 | −1.156090742 |
| K = −1 | −2.851801069 | 0.964877506 | −0.493241167 | −1.056380749 |
| K = −0.5 | −1.562808406 | 0.485177524 | −0.74361658 | −0.887786522 |
| K = 0 | −0.273815743 | 0.005477543 | −0.828548554 | −0.833061949 |
| K = 0.5 | 1.01517692 | −0.474222438 | −0.748037087 | −0.892207029 |
| K = 1 | 2.304169583 | −0.953922419 | −0.502082181 | −1.065221763 |
| Λ1 = 4 | −2.851801069 | 0.964877506 | −0.493241167 | −1.056380749 |
| Λ1 = 12 | −2.247702242 | 0.964877506 | −0.426009104 | −1.158748065 |
| Λ1 = 16 | −2.059235228 | 0.964877506 | −0.405285395 | −1.188034462 |
| Φ = Φ1 = Φ2 = 0 | −2.780371383 | 0.913578478 | −0.473710095 | −1.019216003 |
| Φ = Φ1 = Φ2 = 0.01 | −2.851801069 | 0.964877506 | −0.493241167 | −1.056380749 |
| Br = 0.1 | −2.851801069 | 0.964877506 | −0.493241167 | −1.056380749 |
| Br = 0.2 | −2.851801069 | 0.964877506 | −0.155042016 | −1.281321182 |
| Br = 0.3 | −2.851801069 | 0.964877506 | 0.183157134 | −1.506261614 |
Disclaimer/Publisher’s Note: The statements, opinions and data contained in all publications are solely those of the individual author(s) and contributor(s) and not of MDPI and/or the editor(s). MDPI and/or the editor(s) disclaim responsibility for any injury to people or property resulting from any ideas, methods, instructions or products referred to in the content. |
© 2025 by the authors. Licensee MDPI, Basel, Switzerland. This article is an open access article distributed under the terms and conditions of the Creative Commons Attribution (CC BY) license (https://creativecommons.org/licenses/by/4.0/).
Share and Cite
Nikodijević Đorđević, M.D.; Petrović, J.D.; Kocić, M.M.; Stamenković, Ž.M.; Nikodijević, D.D. EMHD Flow and Heat Transfer of a Nanofluid Layer and a Hybrid Nanofluid Layer in a Horizontal Channel with Porous Medium. Appl. Sci. 2025, 15, 10183. https://doi.org/10.3390/app151810183
Nikodijević Đorđević MD, Petrović JD, Kocić MM, Stamenković ŽM, Nikodijević DD. EMHD Flow and Heat Transfer of a Nanofluid Layer and a Hybrid Nanofluid Layer in a Horizontal Channel with Porous Medium. Applied Sciences. 2025; 15(18):10183. https://doi.org/10.3390/app151810183
Chicago/Turabian StyleNikodijević Đorđević, Milica D., Jelena D. Petrović, Miloš M. Kocić, Živojin M. Stamenković, and Dragiša D. Nikodijević. 2025. "EMHD Flow and Heat Transfer of a Nanofluid Layer and a Hybrid Nanofluid Layer in a Horizontal Channel with Porous Medium" Applied Sciences 15, no. 18: 10183. https://doi.org/10.3390/app151810183
APA StyleNikodijević Đorđević, M. D., Petrović, J. D., Kocić, M. M., Stamenković, Ž. M., & Nikodijević, D. D. (2025). EMHD Flow and Heat Transfer of a Nanofluid Layer and a Hybrid Nanofluid Layer in a Horizontal Channel with Porous Medium. Applied Sciences, 15(18), 10183. https://doi.org/10.3390/app151810183

