Sign in to use this feature.

Years

Between: -

Subjects

remove_circle_outline
remove_circle_outline
remove_circle_outline
remove_circle_outline

Journals

Article Types

Countries / Regions

Search Results (29)

Search Parameters:
Keywords = DArTseq technology

Order results
Result details
Results per page
Select all
Export citation of selected articles as:
13 pages, 1175 KB  
Article
Effect of Cytoplasm Types T and D on Quantitative Trait Loci for Chip Color and Proline Content in Potato Tubers in a Diploid Potato Population
by Paulina Smyda-Dajmund, Katarzyna Szajko, Dorota Sołtys-Kalina, Waldemar Marczewski and Jadwiga Śliwka
Agronomy 2024, 14(12), 2853; https://doi.org/10.3390/agronomy14122853 - 28 Nov 2024
Viewed by 864
Abstract
The production of chips is an increasing part of the potato market. While the potato tubers are stored at low temperatures to minimize storage problems, they tend to accumulate reducing sugars, which negatively impact the quality and color of fried products. The goal [...] Read more.
The production of chips is an increasing part of the potato market. While the potato tubers are stored at low temperatures to minimize storage problems, they tend to accumulate reducing sugars, which negatively impact the quality and color of fried products. The goal of this study was to analyze the impact of cytoplasm type on chip color after harvest and after cold storage at 4 °C, as well as on proline content in cold-stressed potato tubers in a diploid potato population obtained from reciprocal crossing of parents with T- and D-type cytoplasm. Using 224 F1 progeny clones genotyped with Diversity Array Technology (DArTseq™), we mapped the Quantitative Trait Loci (QTL), treating cytoplasm type as a covariate. We detected five QTLs for chip color after harvest and six after cold storage, with the strongest QTL for both traits overlapping on chromosome III. Five QTL for proline content were detected on chromosomes V, X and XII, with the most significant one located on chromosome X. Although the progeny clones with T-type cytoplasm produced significantly lighter chips after cold storage, the cytoplasm type used as a covariate caused only minor modifications to the obtained QTL landscapes for chip color and proline content. Full article
(This article belongs to the Section Crop Breeding and Genetics)
Show Figures

Figure 1

11 pages, 1866 KB  
Article
Genetic Heterogeneity in Cowpea Genotypes (Vigna unguiculata L. Walp) Using DArTseq (GBS)-Derived Single Nucleotide Polymorphisms
by Goitsemang Mahlomola Hendry Dikane and Moosa Mahmood Sedibe
Genes 2024, 15(6), 764; https://doi.org/10.3390/genes15060764 - 11 Jun 2024
Viewed by 1422
Abstract
Cowpeas (Vigna unguiculata L. Walp) have been credible constituents of nutritious food and forage in human and animal diets since the Neolithic era. The modern technique of Diversity Array Technology (DArTseq) is both cost-effective and rapid in producing thousands of high-throughputs, genotyped, [...] Read more.
Cowpeas (Vigna unguiculata L. Walp) have been credible constituents of nutritious food and forage in human and animal diets since the Neolithic era. The modern technique of Diversity Array Technology (DArTseq) is both cost-effective and rapid in producing thousands of high-throughputs, genotyped, single nucleotide polymorphisms (SNPs) in wide-genomic analyses of genetic diversity. The aim of this study was to assess the heterogeneity in cowpea genotypes using DArTseq-derived SNPs. A total of 92 cowpea genotypes were selected, and their fourteen-day-old leaves were freeze-dried for five days. DNA was extracted using the CTAB protocol, genotyped using DArTseq, and analysed using DArTsoft14. A total of 33,920 DArTseq-derived SNPs were recalled for filtering analysis, with a final total of 16,960 SNPs. The analyses were computed using vcfR, poppr, and ape in R Studio v1.2.5001-3 software. The heatmap revealed that the TVU 9596 (SB26), Orelu (SB72), 90K-284-2 (SB55), RV 403 (SB17), and RV 498 (SB16) genotypes were heterogenous. The mean values for polymorphic information content, observed heterozygosity, expected heterozygosity, major allele frequency, and the inbreeding coefficient were 0.345, 0.386, 0.345, 0.729, and 0.113, respectively. Moreover, they validated the diversity of the evaluated cowpea genotypes, which could be used for potential breeding programmes and management of cowpea germplasm. Full article
(This article belongs to the Special Issue Genetics and Breeding of Legume Crops)
Show Figures

Figure 1

22 pages, 3804 KB  
Article
Identification of Genomic Regions for Traits Associated with Flowering in Cassava (Manihot esculenta Crantz)
by Julius K. Baguma, Settumba B. Mukasa, Ephraim Nuwamanya, Titus Alicai, Christopher Abu Omongo, Mildred Ochwo-Ssemakula, Alfred Ozimati, Williams Esuma, Michael Kanaabi, Enoch Wembabazi, Yona Baguma and Robert S. Kawuki
Plants 2024, 13(6), 796; https://doi.org/10.3390/plants13060796 - 12 Mar 2024
Cited by 4 | Viewed by 2381
Abstract
Flowering in cassava (Manihot esculenta Crantz) is crucial for the generation of botanical seed for breeding. However, genotypes preferred by most farmers are erect and poor at flowering or never flower. To elucidate the genetic basis of flowering, 293 diverse cassava accessions [...] Read more.
Flowering in cassava (Manihot esculenta Crantz) is crucial for the generation of botanical seed for breeding. However, genotypes preferred by most farmers are erect and poor at flowering or never flower. To elucidate the genetic basis of flowering, 293 diverse cassava accessions were evaluated for flowering-associated traits at two locations and seasons in Uganda. Genotyping using the Diversity Array Technology Pty Ltd. (DArTseq) platform identified 24,040 single-nucleotide polymorphisms (SNPs) distributed on the 18 cassava chromosomes. Population structure analysis using principal components (PCs) and kinships showed three clusters; the first five PCs accounted for 49.2% of the observed genetic variation. Linkage disequilibrium (LD) estimation averaged 0.32 at a distance of ~2850 kb (kilo base pairs). Polymorphism information content (PIC) and minor allele frequency (MAF) were 0.25 and 0.23, respectively. A genome-wide association study (GWAS) analysis uncovered 53 significant marker–trait associations (MTAs) with flowering-associated traits involving 27 loci. Two loci, SNPs S5_29309724 and S15_11747301, were associated with all the traits. Using five of the 27 SNPs with a Phenotype_Variance_Explained (PVE) ≥ 5%, 44 candidate genes were identified in the peak SNP sites located within 50 kb upstream or downstream, with most associated with branching traits. Eight of the genes, orthologous to Arabidopsis and other plant species, had known functional annotations related to flowering, e.g., eukaryotic translation initiation factor and myb family transcription factor. This study identified genomic regions associated with flowering-associated traits in cassava, and the identified SNPs can be useful in marker-assisted selection to overcome hybridization challenges, like unsynchronized flowering, and candidate gene validation. Full article
(This article belongs to the Special Issue Genetic Improvement of Cassava)
Show Figures

Figure 1

15 pages, 1357 KB  
Article
Identification of the Loci Associated with Resistance to Banana Xanthomonas Wilt (Xanthomonas vasicola pv. musacearum) Using DArTSeq Markers and Continuous Mapping
by Brigitte Uwimana, Gloria Valentine Nakato, Reagan Kanaabi, Catherine Nasuuna, Gerald Mwanje, George Simba Mahuku, Violet Akech, Marnik Vuylsteke, Rony Swennen and Trushar Shah
Horticulturae 2024, 10(1), 87; https://doi.org/10.3390/horticulturae10010087 - 16 Jan 2024
Cited by 4 | Viewed by 2303
Abstract
Banana Xanthomonas wilt, caused by Xanthomonas vasicola pv. musacearum (Xvm), is a devastating disease that results in total yield loss of affected plants. Resistance to the disease is limited in Musa acuminata, but it has been identified so far in [...] Read more.
Banana Xanthomonas wilt, caused by Xanthomonas vasicola pv. musacearum (Xvm), is a devastating disease that results in total yield loss of affected plants. Resistance to the disease is limited in Musa acuminata, but it has been identified so far in the zebrina subspecies. This study identified markers associated with tolerance to Xvm in Monyet, a tetraploid banana from the zebrina subspecies which was identified to be partially resistant to the bacterium. We used a triploid progeny of 135 F1 hybrids resulting from a cross between Monyet (Xvm partially resistant) and Kokopo (diploid and Xvm susceptible). The F1 hybrids were screened in pots for resistance to Xvm. The population was genotyped using the genotyping-by-sequencing platform of Diversity Array Technology (DArTSeq). The adjusted means of the phenotypic data were combined with the allele frequencies of the genotypic data in continuous mapping. We identified 25 SNPs associated with resistance to Xvm, and these were grouped into five quantitative traits loci (QTL) on chromosomes 2, 3, 6, and 7. For each marker, we identified the favorable allele and the additive effect of replacing the reference allele with the alternative allele. The comparison between weevil borer (Cosmopolites sordidus (Germar)) and Xvm QTL revealed one QTL shared between the two biotic stresses at the distal end of chromosome 6 but with a repulsion linkage. This linkage should be broken down by generating more recombinants in the region. We also identified 18 putative alleles in the vicinity of the SNPs associated with resistance to Xvm. Among the 18 putative genes, two particularly putative genes, namely, Ma06_g13550 and Ma06_g36840, are most likely linked to disease resistance. This study is a basis for marker-assisted selection to improve banana resistance to banana Xanthomonas wilt, especially in East and Central Africa where the disease is still devastating the crop. Full article
(This article belongs to the Special Issue Developments in the Genetics and Breeding of Banana Species)
Show Figures

Figure 1

17 pages, 4189 KB  
Article
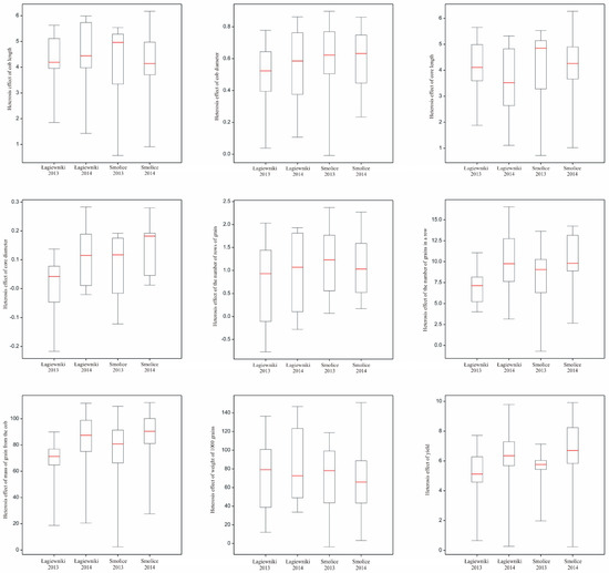
The Use of DArTseq Technology to Identify Markers Related to the Heterosis Effects in Selected Traits in Maize
by Jan Bocianowski, Agnieszka Tomkowiak, Marianna Bocianowska and Aleksandra Sobiech
Curr. Issues Mol. Biol. 2023, 45(4), 2644-2660; https://doi.org/10.3390/cimb45040173 - 23 Mar 2023
Cited by 9 | Viewed by 3441
Abstract
Spectacular scientific advances in the area of molecular biology and the development of modern biotechnological tools have had a significant impact on the development of maize heterosis breeding. One technology based on next-generation sequencing is DArTseq. The plant material used for the research [...] Read more.
Spectacular scientific advances in the area of molecular biology and the development of modern biotechnological tools have had a significant impact on the development of maize heterosis breeding. One technology based on next-generation sequencing is DArTseq. The plant material used for the research consisted of 13 hybrids resulting from the crossing of inbred maize lines. A two-year field experiment was established at two Polish breeding stations: Smolice and Łagiewniki. Nine quantitative traits were observed: cob length, cob diameter, core length, core diameter, number of rows of grain, number of grains in a row, mass of grain from the cob, weight of one thousand grains, and yield. The isolated DNA was subjected to DArTseq genotyping. Association mapping was performed using a method based on the mixed linear model. A total of 81602 molecular markers (28571 SNPs and 53031 SilicoDArTs) were obtained as a result of next-generation sequencing. Out of 81602, 15409 (13850 SNPs and 1559 SilicoDArTs) were selected for association analysis. The 105 molecular markers (8 SNPs and 97 SilicoDArTs) were associated with the heterosis effect of at least one trait in at least one environment. A total of 186 effects were observed. The number of statistically significant relationships between the molecular marker and heterosis effect varied from 8 (for cob length) and 9 (for yield) to 42 (for the number of rows of grain). Of particular note were three markers (2490222, 2548691 and 7058267), which were significant in 17, 8 and 6 cases, respectively. Two of them (2490222 and 7058267) were associated with the heterosis effects of yield in three of the four environments. Full article
(This article belongs to the Section Molecular Plant Sciences)
Show Figures

Figure 1

22 pages, 3692 KB  
Article
Long-Term In Situ Conservation Drove Microevolution of Solina d’Abruzzo Wheat on Adaptive, Agronomic and Qualitative Traits
by Caterina Morcia, Riccardo De Flaviis, Valeria Terzi, Maria Eugenia Gasparelli, Roberta Ghizzoni, Franz-W. Badeck, Fulvia Rizza, Veronica Santarelli, Giorgio Tumino and Giampiero Sacchetti
Plants 2023, 12(6), 1306; https://doi.org/10.3390/plants12061306 - 14 Mar 2023
Cited by 4 | Viewed by 2226
Abstract
Solina is an example of a bread wheat landrace that has been conserved in situ for centuries in Central Italy. A core collection of Solina lines sampled in areas at different altitudes and climatic conditions was obtained and genotyped. A clustering analysis based [...] Read more.
Solina is an example of a bread wheat landrace that has been conserved in situ for centuries in Central Italy. A core collection of Solina lines sampled in areas at different altitudes and climatic conditions was obtained and genotyped. A clustering analysis based on a wide SNP dataset generated from DArTseq analysis outlined the existence of two main groups, which, after Fst analysis, showed polymorphism in genes associated with vernalization and photoperiod response. Starting from the hypothesis that the different pedoclimatic environments in which Solina lines were conserved may have shaped the population, some phenotypic characteristics were studied in the Solina core collection. Growth habit, low-temperature resistance, allelic variations at major loci involved in vernalization response, and sensitivity to photoperiod were evaluated, together with seed morphologies, grain colour, and hardness. The two Solina groups showed different responses to low temperatures and to photoperiod-specific allelic variations as well as the different morphology and technological characteristics of the grain. In conclusion, the long-term in situ conservation of Solina in environments sited at different altitudes has had an impact on the evolution of this landrace which, despite its high genetic diversity, remains clearly identifiable and distinct so as to be included in conservation varieties. Full article
(This article belongs to the Special Issue Advances in Cereal Science and Cereal Quality)
Show Figures

Figure 1

19 pages, 4054 KB  
Article
Genome-Wide Association Study Revealed SNP Alleles Associated with Seed Size Traits in African Yam Bean (Sphenostylis stenocarpa (Hochst ex. A. Rich.) Harms)
by Oluwaseyi E. Olomitutu, Rajneesh Paliwal, Ayodeji Abe, Olubusayo O. Oluwole, Olaniyi A. Oyatomi and Michael T. Abberton
Genes 2022, 13(12), 2350; https://doi.org/10.3390/genes13122350 - 13 Dec 2022
Cited by 9 | Viewed by 2934
Abstract
Seed size is an important yield and quality-determining trait in higher plants and is also crucial to their evolutionary fitness. In African yam bean (AYB), seed size varies widely among different accessions. However, the genetic basis of such variation has not been adequately [...] Read more.
Seed size is an important yield and quality-determining trait in higher plants and is also crucial to their evolutionary fitness. In African yam bean (AYB), seed size varies widely among different accessions. However, the genetic basis of such variation has not been adequately documented. A genome-wide marker-trait association study was conducted to identify genomic regions associated with four seed size traits (seed length, seed width, seed thickness, and 100-seed weight) in a panel of 195 AYB accessions. A total of 5416 SNP markers were generated from the diversity array technology sequence (DArTseq) genotype-by-sequencing (GBS)- approach, in which 2491 SNPs were retained after SNP quality control and used for marker-trait association analysis. Significant phenotypic variation was observed for the traits. Broad-sense heritability ranged from 50.0% (seed width) to 66.4% (seed length). The relationships among the traits were positive and significant. Genome-wide association study (GWAS) using the general linear model (GLM) and the mixed linear model (MLM) approaches identified 12 SNP markers significantly associated with seed size traits across the six test environments. The 12 makers explained 6.5–10.8% of the phenotypic variation. Two markers (29420334|F|0-52:C>G-52:C>G and 29420736|F|0-57:G>T-57:G>T) with pleiotropic effects associated with seed width and seed thickness were found. A candidate gene search identified five significant markers (100026424|F|0-37:C>T-37:C>T, 100041049|F|0-42:G>C-42:G>C, 100034480|F|0-31:C>A-31:C>A, 29420365|F|0-55:C>G-55:C>G, and 29420736|F|0-57:G>T-57:G>T) located close to 43 putative genes whose encoding protein products are known to regulate seed size traits. This study revealed significant makers not previously reported for seed size in AYB and could provide useful information for genomic-assisted breeding in AYB. Full article
(This article belongs to the Special Issue Research on Tropical Food Crop Genomics)
Show Figures

Figure 1

16 pages, 756 KB  
Article
The Use of DArTseq Technology to Identify Markers Linked to Genes Responsible for Seed Germination and Seed Vigor in Maize
by Bartosz Nowak, Agnieszka Tomkowiak, Jan Bocianowski, Aleksandra Sobiech, Roksana Bobrowska, Przemysław Łukasz Kowalczewski and Marianna Bocianowska
Int. J. Mol. Sci. 2022, 23(23), 14865; https://doi.org/10.3390/ijms232314865 - 28 Nov 2022
Cited by 6 | Viewed by 2684
Abstract
Seed vigor and seed germination are very important traits, determined by several factors including genetic and physical purity, mechanical damage, and physiological condition, characterized by maintaining a high seed vigor and stable content after storage. The search for molecular markers related to improvement [...] Read more.
Seed vigor and seed germination are very important traits, determined by several factors including genetic and physical purity, mechanical damage, and physiological condition, characterized by maintaining a high seed vigor and stable content after storage. The search for molecular markers related to improvement in seed vigor under adverse condition is an important issue in maize breeding currently. Higher sowing quality of seeds is necessary for the development of the agriculture production and better ability to resist all kinds of adversity in the seeds’ storage. Condition is a very important factor affecting the yield of plants, thanks to the construction of their vitality. Identification of molecular markers associated with seed germination and seed vigor may prove to be very important in the selection of high-yielding maize varieties. The aim of this study was to identify and select new markers for maize (SNP and SilicoDArT) linked to genes influencing the seed germination and seed vigor in inbred lines of maize (Zea mays L.). The plant material used for the research was 152 inbred maize lines. The seed germination and seed vigor were analyzed. For identification of SNP and SilicoDArT markers related to the seed germination and seed vigor, the SilicoDarT technique developed by Diversity Arrays Technology was used. The analysis of variance indicated a statistically significant differentiation between genotypes for both observed traits. Positive (r = 0.41) correlation (p < 0.001) between seed germination and seed vigor was observed. As a result of next-generation sequencing, the molecular markers SilicoDArT (53,031) and SNP (28,571) were obtained. Out of 81,602 identified SilicoDArT and SNP markers, 15,409 (1559 SilicoDArT and 13,850 SNP) were selected as a result of association mapping, which showed them to be significantly related to the analyzed traits. The 890 molecular markers were associated with seed vigor, and 1323 with seed germination. Fifty-six markers (47 SilicoDArT and nine SNP) were significant for both traits. Of these 56 markers, the 20 most significant were selected (five of these markers were significant at the level of 0.001 for seed vigor and at the level of 0.05 for seed germination, another five markers were significant at the level of 0.001 for seed germination and at the level of 0.05 for seed vigor, five markers significant at the level of 0.001 only for seed vigor and five significant at the level of 0.001 only for seed germination also selected). These markers were used for physical mapping to determine their location on the genetic map. Finally, it was found that six of these markers (five silicoDArT—2,435,784, 4,772,587, 4,776,334, 2,507,310, 25,981,291, and one SNP—2,386,217) are located inside genes, the action of which may affect both seed germination and seed vigor. These markers can be used to select genotypes with high vigor and good seed germination. Full article
(This article belongs to the Special Issue Modern Plant Cell Biotechnology: From Genes to Structure)
Show Figures

Figure 1

14 pages, 2108 KB  
Article
Genomic Prediction Accuracy of Stripe Rust in Six Spring Wheat Populations by Modeling Genotype by Environment Interaction
by Kassa Semagn, Muhammad Iqbal, Diego Jarquin, Harpinder Randhawa, Reem Aboukhaddour, Reka Howard, Izabela Ciechanowska, Momna Farzand, Raman Dhariwal, Colin W. Hiebert, Amidou N’Diaye, Curtis Pozniak and Dean Spaner
Plants 2022, 11(13), 1736; https://doi.org/10.3390/plants11131736 - 30 Jun 2022
Cited by 4 | Viewed by 2423
Abstract
Some previous studies have assessed the predictive ability of genome-wide selection on stripe (yellow) rust resistance in wheat, but the effect of genotype by environment interaction (GEI) in prediction accuracies has not been well studied in diverse genetic backgrounds. Here, we compared the [...] Read more.
Some previous studies have assessed the predictive ability of genome-wide selection on stripe (yellow) rust resistance in wheat, but the effect of genotype by environment interaction (GEI) in prediction accuracies has not been well studied in diverse genetic backgrounds. Here, we compared the predictive ability of a model based on phenotypic data only (M1), the main effect of phenotype and molecular markers (M2), and a model that incorporated GEI (M3) using three cross-validations (CV1, CV2, and CV0) scenarios of interest to breeders in six spring wheat populations. Each population was evaluated at three to eight field nurseries and genotyped with either the DArTseq technology or the wheat 90K single nucleotide polymorphism arrays, of which a subset of 1,058- 23,795 polymorphic markers were used for the analyses. In the CV1 scenario, the mean prediction accuracies of the M1, M2, and M3 models across the six populations varied from −0.11 to −0.07, from 0.22 to 0.49, and from 0.19 to 0.48, respectively. Mean accuracies obtained using the M3 model in the CV1 scenario were significantly greater than the M2 model in two populations, the same in three populations, and smaller in one population. In both the CV2 and CV0 scenarios, the mean prediction accuracies of the three models varied from 0.53 to 0.84 and were not significantly different in all populations, except the Attila/CDC Go in the CV2, where the M3 model gave greater accuracy than both the M1 and M2 models. Overall, the M3 model increased prediction accuracies in some populations by up to 12.4% and decreased accuracy in others by up to 17.4%, demonstrating inconsistent results among genetic backgrounds that require considering each population separately. This is the first comprehensive genome-wide prediction study that investigated details of the effect of GEI on stripe rust resistance across diverse spring wheat populations. Full article
Show Figures

Figure 1

22 pages, 2740 KB  
Article
Combining Ability and Heterotic Patterns of Tropical Early-Maturing Maize Inbred Lines under Individual and Combined Heat and Drought Environments
by Alimatu Sadia Osuman, Baffour Badu-Apraku, Beatrice Elohor Ifie, Charles Nelimor, Pangirayi Tongoona, Ebenezer Obeng-Bio, Benjamin Karikari and Eric Yirenkyi Danquah
Plants 2022, 11(10), 1365; https://doi.org/10.3390/plants11101365 - 20 May 2022
Cited by 9 | Viewed by 3040
Abstract
Information on combining ability and heterotic patterns of multiple stress-tolerant inbred lines are fundamental prerequisites for devising appropriate breeding strategies for the development of climate-resilient maize hybrids. In the present study, we evaluated 150 single cross hybrids derived from the North Carolina Design [...] Read more.
Information on combining ability and heterotic patterns of multiple stress-tolerant inbred lines are fundamental prerequisites for devising appropriate breeding strategies for the development of climate-resilient maize hybrids. In the present study, we evaluated 150 single cross hybrids derived from the North Carolina Design II (NCD II) along with six commercial checks under terminal drought stress (TDS), heat stress (HS), and combined drought and heat stress (CHDS)conditions. The objectives of the study were to: (i) determine the combining ability of the inbred lines and identify the best testers across the stresses; (ii) classify the inbred lines into heterotic groups (HGs) based on the general combining ability of multiple traits (HGCAMT) and sequencing-based diversity array technology (DArTseq) and (iii) assess the performance and stability of the lines in hybrid combinations. The inbred lines showed significantly (p < 0.01 and p < 0.05) positive and negative general combining ability (GCA) and specific combining ability (SCA) effects for grain yield (GY) and most other measured traits. The inbred line TZEI 135 displayed relatively larger positive GCA effects for GY when mated either as male or female and was identified as the best tester. TZEI 135 × TZEI 182 was identified as the best single-cross tester across environments. Results of the assessment of the relative importance of GCA and SCA effects revealed the predominance of additive gene action over the non-additive. Six HGs of inbreds were identified using the HGCAMT and three, based on the DArTseq marker genetic distance method, were the most efficient. The best hybrids in this study significantly out-yielded the best checks by 21, 46, and 70% under CHDS, HS, and TDS, respectively. These hybrids should be extensively tested in on-farm trials for possible commercialization in sub-Saharan Africa. Full article
(This article belongs to the Topic Plant Breeding, Genetics and Genomics)
Show Figures

Figure 1

17 pages, 2186 KB  
Article
The Use of DArTseq Technology to Identify New SNP and SilicoDArT Markers Related to the Yield-Related Traits Components in Maize
by Agnieszka Tomkowiak, Bartosz Nowak, Aleksandra Sobiech, Jan Bocianowski, Łukasz Wolko and Julia Spychała
Genes 2022, 13(5), 848; https://doi.org/10.3390/genes13050848 - 10 May 2022
Cited by 15 | Viewed by 3246
Abstract
In the last decade, many scientists have used molecular biology methods in their research to locate the grain-yield-determining loci and yield structure characteristics in maize. Large-scale molecular analyses in maize do not only focus on the identification of new markers and quantitative trait [...] Read more.
In the last decade, many scientists have used molecular biology methods in their research to locate the grain-yield-determining loci and yield structure characteristics in maize. Large-scale molecular analyses in maize do not only focus on the identification of new markers and quantitative trait locus (QTL) regions. DNA analysis in the selection of parental components for heterotic crosses is a very important tool for breeders. The aim of this research was to identify and select new markers for maize (SNP and SilicoDArT) linked to genes influencing the size of the yield components in maize. The plant material used for the research was 186 inbred maize lines. The field experiment was established in twolocations. The yield and six yield components were analyzed. For identification of SNP and SilicoDArT markers related to the yield and yield components, next-generation sequencing was used. As a result of the biometric measurements analysis, differentiation in the average elevation of the analyzed traits for the lines in both locations was found. The above-mentioned results indicate the existence of genotype–environment interactions. The analysis of variance for the observed quality between genotypes indicated a statistically significant differentiation between genotypes and a statistically significant differentiation for all the observed properties betweenlocations. A canonical variable analysis was applied to present a multi-trait assessment of the similarity of the tested maize genotypes in a lower number of dimensions with the lowest possible loss of information. No grouping of lines due to the analyzed was observed. As a result of next-generation sequencing, the molecular markers SilicoDArT (53,031) and SNP (28,571) were obtained. The genetic distance between the analyzed lines was estimated on the basis of these markers. Out of 81,602 identified SilicoDArT and SNP markers, 15,409 (1559 SilicoDArT and 13,850 SNPs) significantly related to the analyzed yield components were selected as a result of association mapping. The greatest numbers of molecular markers were associated with cob length (1203), cob diameter (1759), core length (1201) and core diameter (2326). From 15,409 markers significantly related to the analyzed traits of the yield components, 18 DArT markers were selected, which were significant for the same four traits (cob length, cob diameter, core length, core diameter) in both Kobierzyce and Smolice. These markers were used for physical mapping. As a result of the analyses, it was found that 6 out of 18 (1818; 14,506; 2317; 3233; 11,657; 12,812) identified markers are located inside genes. These markers are located on chromosomes 8, 9, 7, 3, 5, and 1, respectively. Full article
(This article belongs to the Special Issue Maize Functional Genomics, Genetics and Breeding)
Show Figures

Figure 1

16 pages, 2276 KB  
Article
Identification of Genomic Regions and Sources for Wheat Blast Resistance through GWAS in Indian Wheat Genotypes
by Rahul M. Phuke, Xinyao He, Philomin Juliana, Muhammad R. Kabir, Krishna K. Roy, Felix Marza, Chandan Roy, Gyanendra P. Singh, Aakash Chawade, Arun K. Joshi and Pawan K. Singh
Genes 2022, 13(4), 596; https://doi.org/10.3390/genes13040596 - 27 Mar 2022
Cited by 11 | Viewed by 4116
Abstract
Wheat blast (WB) is a devastating fungal disease that has recently spread to Bangladesh and poses a threat to the wheat production in India, which is the second-largest wheat producing country in the world. In this study, 350 Indian wheat genotypes were evaluated [...] Read more.
Wheat blast (WB) is a devastating fungal disease that has recently spread to Bangladesh and poses a threat to the wheat production in India, which is the second-largest wheat producing country in the world. In this study, 350 Indian wheat genotypes were evaluated for WB resistance in 12 field experiments in three different locations, namely Jashore in Bangladesh and Quirusillas and Okinawa in Bolivia. Single nucleotide polymorphisms (SNPs) across the genome were obtained using DArTseq® technology, and 7554 filtered SNP markers were selected for a genome-wide association study (GWAS). All the three GWAS approaches used identified the 2NS translocation as the only major source of resistance, explaining up to 32% of the phenotypic variation. Additional marker-trait associations were located on chromosomes 2B, 3B, 4D, 5A and 7A, and the combined effect of three SNPs (2B_180938790, 7A_752501634 and 5A_618682953) showed better resistance, indicating their additive effects on WB resistance. Among the 298 bread wheat genotypes, 89 (29.9%) carried the 2NS translocation, the majority of which (60 genotypes) were CIMMYT introductions, and 29 were from India. The 2NS carriers with a grand mean WB index of 6.6 showed higher blast resistance compared to the non-2NS genotypes with a mean index of 46.5. Of the 52 durum wheats, only one genotype, HI 8819, had the 2NS translocation and was the most resistant, with a grand mean WB index of 0.93. Our study suggests that the 2NS translocation is the only major resistance source in the Indian wheat panel analysed and emphasizes the urgent need to identify novel non-2NS resistance sources and genomic regions. Full article
(This article belongs to the Special Issue Genetics Studies on Wheat)
Show Figures

Figure 1

19 pages, 2057 KB  
Article
Genome-Wide Association Study for Resistance to Tan Spot in Synthetic Hexaploid Wheat
by Nerida Lozano-Ramírez, Susanne Dreisigacker, Carolina P. Sansaloni, Xinyao He, Sergio Sandoval Islas, Paulino Pérez-Rodríguez, Aquiles Carballo Carballo, Cristian Nava-Díaz, Masahiro Kishii and Pawan K. Singh
Plants 2022, 11(3), 433; https://doi.org/10.3390/plants11030433 - 5 Feb 2022
Cited by 11 | Viewed by 2800
Abstract
Synthetic hexaploid wheat (SHW) has shown effective resistance to a diversity of diseases and insects, including tan spot, which is caused by Pyrenophora tritici-repentis, being an important foliar disease that can attack all types of wheat and several grasses. In this study, [...] Read more.
Synthetic hexaploid wheat (SHW) has shown effective resistance to a diversity of diseases and insects, including tan spot, which is caused by Pyrenophora tritici-repentis, being an important foliar disease that can attack all types of wheat and several grasses. In this study, 443 SHW plants were evaluated for their resistance to tan spot under controlled environmental conditions. Additionally, a genome-wide association study was conducted by genotyping all entries with the DArTSeq technology to identify marker-trait associations for tan spot resistance. Of the 443 SHW plants, 233 showed resistant and 183 moderately resistant reactions, and only 27 were moderately susceptible or susceptible to tan spot. Durum wheat (DW) parents of the SHW showed moderately susceptible to susceptible reactions. A total of 30 significant marker-trait associations were found on chromosomes 1B (4 markers), 1D (1 marker), 2A (1 marker), 2D (2 markers), 3A (4 markers), 3D (3 markers), 4B (1 marker), 5A (4 markers), 6A (6 markers), 6B (1 marker) and 7D (3 markers). Increased resistance in the SHW in comparison to the DW parents, along with the significant association of resistance with the A and B genome, supported the concept of activating epistasis interaction across the three wheat genomes. Candidate genes coding for F-box and cytochrome P450 proteins that play significant roles in biotic stress resistance were identified for the significant markers. The identified resistant SHW lines can be deployed in wheat breeding for tan spot resistance. Full article
(This article belongs to the Special Issue Genetics and Breeding for Plant Disease Resistance)
Show Figures

Figure 1

18 pages, 1681 KB  
Article
A Polyphasic Approach Reveals Novel Genotypes and Updates the Genetic Structure of the Banana Fusarium Wilt Pathogen
by Diane Mostert, Emmanuel Wicker, Mignon M. de Jager, Saif M. Al Kaabi, Wayne T. O’Neill, Suzy Perry, Chunyu Li, Yi Ganyun, Kenneth G. Pegg, Lizel Mostert and Altus Viljoen
Microorganisms 2022, 10(2), 269; https://doi.org/10.3390/microorganisms10020269 - 25 Jan 2022
Cited by 12 | Viewed by 3951
Abstract
Fusarium oxysporum f. sp. cubense (Foc) is a soil-borne fungus that causes Fusarium wilt, a destructive plant disease that has resulted in devastating economic losses to banana production worldwide. The fungus has a complex evolutionary history and taxonomic repute and consists of three [...] Read more.
Fusarium oxysporum f. sp. cubense (Foc) is a soil-borne fungus that causes Fusarium wilt, a destructive plant disease that has resulted in devastating economic losses to banana production worldwide. The fungus has a complex evolutionary history and taxonomic repute and consists of three pathogenic races and at least 24 vegetative compatibility groups (VCGs). Surveys conducted in Asia, Africa, the Sultanate of Oman and Mauritius encountered isolates of F. oxysporum pathogenic to banana that were not compatible to any of the known Foc VCGs. Genetic relatedness between the undescribed and known Foc VCGs were determined using a multi-gene phylogeny and diversity array technology (DArT) sequencing. The presence of putative effector genes, the secreted in xylem (SIX) genes, were also determined. Fourteen novel Foc VCGs and 17 single-member VCGs were identified. The multi-gene tree was congruent with the DArT-seq phylogeny and divided the novel VCGs into three clades. Clustering analysis of the DArT-seq data supported the separation of Foc isolates into eight distinct clusters, with the suite of SIX genes mostly conserved within these clusters. Results from this study indicates that Foc is more diverse than hitherto assumed. Full article
(This article belongs to the Section Systems Microbiology)
Show Figures

Figure 1

16 pages, 2150 KB  
Article
Genetic Diversity and Population Structure of Myanmar Rice (Oryza sativa L.) Varieties Using DArTseq-Based SNP and SilicoDArT Markers
by Aye Aye Thant, Hein Zaw, Marie Kalousova, Rakesh Kumar Singh and Bohdan Lojka
Plants 2021, 10(12), 2564; https://doi.org/10.3390/plants10122564 - 24 Nov 2021
Cited by 12 | Viewed by 3207
Abstract
Myanmar is well known as a primary center of plant genetic resources for rice. A considerable number of genetic diversity studies have been conducted in Myanmar using various DNA markers. However, this is the first report using DArTseq technology for exploring the genetic [...] Read more.
Myanmar is well known as a primary center of plant genetic resources for rice. A considerable number of genetic diversity studies have been conducted in Myanmar using various DNA markers. However, this is the first report using DArTseq technology for exploring the genetic diversity of Myanmar rice. In our study, two ultra-high-throughput diversity array technology markers were employed to investigate the genetic diversity and population structure of local rice varieties in the Ayeyarwady delta, the major region of rice cultivation. The study was performed using 117 rice genotypes with 7643 SNP and 4064 silicoDArT markers derived from the DArT platform. Genetic variance among the genotypes ranged from 0 to 0.753 in SNPs, and from 0.001 to 0.954 in silicoDArT. Two distinct population groups were identified from SNP data analysis. Cluster analysis with both markers clearly separated traditional Pawsan varieties and modern high-yielding varieties. A significant divergence was found between populations according to the Fst values (0.737) obtained from the analysis of molecular variance, which revealed 74% genetic variation at the population level. These findings support rice researchers in identifying useful DNA polymorphisms in genes and pinpointing specific genes conferring desirable phenotypic traits for further genome-wide association studies and parental selection for recombination breeding to enhance rice varietal development and release. Full article
(This article belongs to the Section Plant Genetics, Genomics and Biotechnology)
Show Figures

Figure 1

Back to TopTop