Sign in to use this feature.

Years

Between: -

Subjects

remove_circle_outline
remove_circle_outline
remove_circle_outline
remove_circle_outline
remove_circle_outline
remove_circle_outline
remove_circle_outline

Journals

Article Types

Countries / Regions

Search Results (11)

Search Parameters:
Keywords = Cu2OI2

Order results
Result details
Results per page
Select all
Export citation of selected articles as:
15 pages, 4211 KB  
Article
Reusable BiOI-Modified CuWO4 Heterojunction Films and Their Excellent Photocatalytic Oxidation Activity of Nanoplastics and Methylene Blue
by Te Hu, Liang Hao, Xiaohui Zhao, Sujun Guan and Yun Lu
Nanomaterials 2025, 15(20), 1579; https://doi.org/10.3390/nano15201579 - 16 Oct 2025
Cited by 1 | Viewed by 683
Abstract
CuWO4 films were prepared on FTO glass substrates by the hydrothermal method. To improve their photocatalytic activity, the CuWO4 films were further modified with BiOI using the successive ionic layer adsorption and reaction (SILAR) method. Characterization results indicate that BiOI and [...] Read more.
CuWO4 films were prepared on FTO glass substrates by the hydrothermal method. To improve their photocatalytic activity, the CuWO4 films were further modified with BiOI using the successive ionic layer adsorption and reaction (SILAR) method. Characterization results indicate that BiOI and CuWO4 achieved nanoscale mixing and formed a Type II p-n heterojunction. The heterojunction formation not only extends the light absorption threshold of CuWO4 from 530 nm to 660 nm but also enhances the light absorption capacity across the entire solar spectrum. More importantly, the heterojunction formation facilitates the separation and transfer of photogenerated carriers and inhibits the recombination of photogenerated electrons and holes, which is evidenced by the results of PL spectra, photocurrent density, and EIS spectra. Compared with individual CuWO4 films, the photocatalytic activity of BiOI/CuWO4 heterojunction films in degrading the organic dye MB is increased by up to 1.17 times. Additionally, BiOI/CuWO4 heterojunction films exhibit certain activity in the photocatalytic degradation of polystyrene (PS) nanoplastics and are capable of reducing the average particle size of nanoplastics from 425 nm to 325 nm within 80 h. Full article
Show Figures

Graphical abstract

14 pages, 4525 KB  
Article
Structural Transformation of Metastable Two-Electron Superatom Au-Doped Cu-Rich Alloy Nanocluster
by Rhone P. Brocha Silalahi, Samia Kahlal, Jean-Yves Saillard and C. W. Liu
Molecules 2024, 29(18), 4427; https://doi.org/10.3390/molecules29184427 - 18 Sep 2024
Cited by 4 | Viewed by 1909
Abstract
The ability to fabricate bimetallic clusters with atomic precision offers promising prospects for elucidating the correlations between their structures and properties. Nevertheless, achieving precise control at the atomic level in the production of clusters, including the quantity of dopant, characteristic of ligands, charge [...] Read more.
The ability to fabricate bimetallic clusters with atomic precision offers promising prospects for elucidating the correlations between their structures and properties. Nevertheless, achieving precise control at the atomic level in the production of clusters, including the quantity of dopant, characteristic of ligands, charge state of precursors, and structural transformation, have remained a challenge. Herein, we report the synthesis, purification, and characterization of a new bimetallic hydride cluster, [AuCu11(H){S2P(OiPr)2}6(C≡CPh)3] (AuCu11H). The hydride position in AuCu11H was determined using DFT calculations. AuCu11H comprises a ligand-stabilized defective fcc Au@Cu11 cuboctahedron. AuCu11H is metastable and undergoes a spontaneous transformation through ligand exchange into the isostructural [AuCu11(Cl){S2P(OiPr)2}6(C≡CPh)3] (AuCu11Cl) and into the complete cuboctahedral [AuCu12{S2P(OiPr)2}6(C≡CPh)4]+ (AuCu12) through an increase in nuclearity. These structural transformations were tracked by NMR and mass spectrometry. Full article
(This article belongs to the Section Inorganic Chemistry)
Show Figures

Graphical abstract

19 pages, 5902 KB  
Article
Fire-Induced Changes in Geochemical Elements of Forest Floor in Southern Siberia
by Olga A. Shapchenkova, Elena A. Kukavskaya and Pavel Y. Groisman
Fire 2024, 7(7), 243; https://doi.org/10.3390/fire7070243 - 11 Jul 2024
Cited by 2 | Viewed by 2985
Abstract
Wildfires significantly influence the environmental distribution of various elements through their fire-induced input and mobilization, yet little is known about their effects on the forest floor in Siberian forests. The present study evaluated the effects of spring wildfires of various severities on the [...] Read more.
Wildfires significantly influence the environmental distribution of various elements through their fire-induced input and mobilization, yet little is known about their effects on the forest floor in Siberian forests. The present study evaluated the effects of spring wildfires of various severities on the levels of major and minor (Ca, Al, Fe, S, Mg, K, Na, Mn, P, Ti, Ba, and Sr) trace and ultra-trace (B, Co, Cr, Cu, Ni, Se, V, Zn, Pb, As, La, Sn, Sc, Sb, Be, Bi, Hg, Li, Mo, and Cd) elements in the forest floors of Siberian forests. The forest floor (Oi layer) samples were collected immediately following wildfires in Scots pine (Pinus sylvestris L.), larch (Larix sibirica Ledeb.), spruce (Picea obovata Ledeb.), and birch (Betula pendula Roth) forests. Total concentrations of elements were determined using inductively coupled plasma–optical emission spectroscopy. All fires resulted in a decrease in organic matter content and an increase in mineral material content and pH values in the forest floor. The concentrations of most elements studied in a burned layer of forest floor were statistically significantly higher than in unburned precursors. Sb and Sn showed no statistically significant changes. The forest floor in the birch forest showed a higher increase in mineral material content after the fire and higher levels of most elements studied than the burned coniferous forest floors. Ca was a predominant element in both unburned and burned samples in all forests studied. Our study highlighted the role of wildfires in Siberia in enhancing the levels of geochemical elements in forest floor and the effect of forest type and fire severity on ash characteristics. The increased concentrations of elements represent a potential source of surface water contamination with toxic and eutrophying elements if wildfire ash is transported with overland flow. Full article
Show Figures

Figure 1

9 pages, 3076 KB  
Article
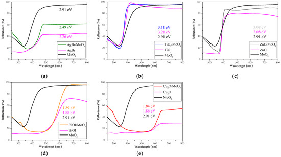
Photoinhibitive Properties of α-MoO3 on Its Composites with TiO2, ZnO, BiOI, AgBr, and Cu2O
by Endre-Zsolt Kedves, Enikő Bárdos, Alpár Ravasz, Zsejke-Réka Tóth, Szilvia Mihálydeákpál, Zoltán Kovács, Zsolt Pap and Lucian Baia
Materials 2023, 16(10), 3621; https://doi.org/10.3390/ma16103621 - 9 May 2023
Cited by 6 | Viewed by 2308
Abstract
Orthorhombic molybdenum trioxide (α-MoO3) is well known as a photocatalyst, adsorbent, and inhibitor during methyl orange photocatalytic degradation via TiO2. Therefore, besides the latter, other active photocatalysts, such as AgBr, ZnO, BiOI, and Cu2O, were assessed via [...] Read more.
Orthorhombic molybdenum trioxide (α-MoO3) is well known as a photocatalyst, adsorbent, and inhibitor during methyl orange photocatalytic degradation via TiO2. Therefore, besides the latter, other active photocatalysts, such as AgBr, ZnO, BiOI, and Cu2O, were assessed via the degradation of methyl orange and phenol in the presence of α-MoO3 using UV-A- and visible-light irradiation. Even though α-MoO3 could be used as a visible-light-driven photocatalyst, our results demonstrated that its presence in the reaction medium strongly inhibits the photocatalytic activity of TiO2, BiOI, Cu2O, and ZnO, while only the activity AgBr is not affected. Therefore, α-MoO3 might be an effective and stable inhibitor for photocatalytic processes to evaluate the newly explored photocatalysts. Quenching the photocatalytic reactions can offer information about the reaction mechanism. Moreover, the absence of photocatalytic inhibition suggests that besides photocatalytic processes, parallel reactions take place. Full article
(This article belongs to the Section Catalytic Materials)
Show Figures

Figure 1

17 pages, 2745 KB  
Article
Developing a Crop Water Production Function for Alfalfa under Deficit Irrigation: A Case Study in Eastern Colorado
by Jan M. Sitterson, Allan A. Andales, Daniel F. Mooney, Maria Cristina Capurro and Joe E. Brummer
Agriculture 2023, 13(4), 831; https://doi.org/10.3390/agriculture13040831 - 4 Apr 2023
Cited by 9 | Viewed by 4375
Abstract
Recent Colorado, USA water law provisions allow a portion of irrigation water to be leased between agricultural and other users. Reducing consumptive use (CU) through deficit irrigation while maintaining some crop production could allow farmers to earn revenue from leasing water rights. This [...] Read more.
Recent Colorado, USA water law provisions allow a portion of irrigation water to be leased between agricultural and other users. Reducing consumptive use (CU) through deficit irrigation while maintaining some crop production could allow farmers to earn revenue from leasing water rights. This observational study aimed to determine if deficit irrigation of alfalfa (Medicago sativa L.) can be used to reduce CU, provide parameters for an alfalfa crop water production function (WPF), and evaluate the potential for improved farm income by leasing water. Soil water balance, evapotranspiration (ET), and dry matter yield from eight commercial fields (1.70 to 2.14 ha zones), growing subsurface drip-irrigated alfalfa, were monitored for five seasons (2018–2022) at Kersey, Colorado. Four irrigation treatments [Standard Irrigation (SI) = irrigate when soil water deficit (D) exceeds management allowed depletion (MAD); Moderate Deficit Irrigation (MDI) = 70% of SI; Severe Deficit Irrigation (SDI) = 50% of SI; and Over Irrigation (OI) = 120% of SI] were applied, with two zones per treatment. Reductions in CU ranged from 205 to 260 mm per season. The shape of the alfalfa WPF (dry biomass yield vs. ET) was concave, indicating that water use efficiency (WUE) could be optimized through deficit irrigation. The average WUE was 0.17 Mg ha−1 cm−1 and tended to increase with greater deficits. Deficit irrigation also increased the relative feed value. If conserved CU from deficit irrigation can be leased into a transfer water market, farmers could profit when the water lease revenue exceeds the forgone profit from alfalfa production. We found incremental profit from deficit irrigation and water leasing to be positive, assuming 2020 prices for hay ($230 bale−1) and water prices above $0.50 m−3. Full article
(This article belongs to the Section Agricultural Water Management)
Show Figures

Figure 1

10 pages, 1650 KB  
Article
Scale-Free Distribution of Oxygen Interstitial Wires in Optimum-Doped HgBa2CuO4+y
by Gaetano Campi, Maria Vittoria Mazziotti, Thomas Jarlborg and Antonio Bianconi
Condens. Matter 2022, 7(4), 56; https://doi.org/10.3390/condmat7040056 - 12 Oct 2022
Cited by 6 | Viewed by 2634
Abstract
Novel nanoscale probes are opening new venues for understanding unconventional electronic and magnetic functionalities driven by multiscale lattice complexity in doped high-temperature superconducting perovskites. In this work, we focus on the multiscale texture at supramolecular level of oxygen interstitial (O-i) atomic stripes in [...] Read more.
Novel nanoscale probes are opening new venues for understanding unconventional electronic and magnetic functionalities driven by multiscale lattice complexity in doped high-temperature superconducting perovskites. In this work, we focus on the multiscale texture at supramolecular level of oxygen interstitial (O-i) atomic stripes in HgBa2CuO4+y at optimal doping for the highest superconducting critical temperature (TC) of 94 K. We report compelling evidence for the nematic phase of oxygen interstitial O-i atomic wires with fractal-like spatial distribution over multiple scales using scanning micro- and nano-X-ray diffraction. The scale-free distribution of O-i atomic wires at optimum doping extending from the micron down to the nanoscale has been associated with the intricate filamentary network of hole-rich metallic wires in the CuO2 plane. The observed critical opalescence provides evidence for the proximity to a critical point that controls the emergence of high-temperature superconductivity at optimum doping. Full article
(This article belongs to the Special Issue Superstripes Physics)
Show Figures

Figure 1

12 pages, 4549 KB  
Article
Influence of the Chemical Pressure on the Magnetic Properties of the Mixed Anion Cuprates Cu2OX2 (X = Cl, Br, I)
by William Lafargue-Dit-Hauret and Xavier Rocquefelte
Computation 2022, 10(5), 73; https://doi.org/10.3390/computation10050073 - 12 May 2022
Cited by 2 | Viewed by 3490
Abstract
In this study, we theoretically investigate the structural, electronic and magnetic properties of the Cu2OX2 (X = Cl, Br, I) compounds. Previous studies reported potential spin-driven ferroelectricity in Cu2OCl2, originating from a non-collinear magnetic phase existing [...] Read more.
In this study, we theoretically investigate the structural, electronic and magnetic properties of the Cu2OX2 (X = Cl, Br, I) compounds. Previous studies reported potential spin-driven ferroelectricity in Cu2OCl2, originating from a non-collinear magnetic phase existing below TN∼70 K. However, the nature of this low-temperature magnetic phase is still under debate. Here, we focus on the calculation of J exchange couplings and enhance knowledge in the field by (i) characterizing the low-temperature magnetic order for Cu2OCl2 and (ii) evaluating the impact of the chemical pressure on the magnetic interactions, which leads us to consider the two new phases Cu2OBr2 and Cu2OI2. Our ab initio simulations notably demonstrate the coexistence of strong antiferromagnetic and ferromagnetic interactions, leading to spin frustration. The TN Néel temperatures were estimated on the basis of a quasi-1D AFM model using the abinitioJ couplings. It nicely reproduces the TN value for Cu2OCl2 and allows us to predict an increase of TN under chemical pressure, with TN = 120 K for the dynamically stable phase Cu2OBr2. This investigation suggests that chemical pressure is an effective key factor to open the door of room-temperature multiferroicity. Full article
Show Figures

Figure 1

13 pages, 2439 KB  
Article
Computational Studies of Coinage Metal Anion M + CH3X (X = F, Cl, Br, I) Reactions in Gas Phase
by Fan Wang, Xiaoyan Ji, Fei Ying, Jiatao Zhang, Chongyang Zhao and Jing Xie
Molecules 2022, 27(1), 307; https://doi.org/10.3390/molecules27010307 - 4 Jan 2022
Cited by 3 | Viewed by 3186
Abstract
We characterized the stationary points along the nucleophilic substitution (SN2), oxidative insertion (OI), halogen abstraction (XA), and proton transfer (PT) product channels of M + CH3X (M = Cu, Ag, Au; X = F, Cl, Br, I) reactions [...] Read more.
We characterized the stationary points along the nucleophilic substitution (SN2), oxidative insertion (OI), halogen abstraction (XA), and proton transfer (PT) product channels of M + CH3X (M = Cu, Ag, Au; X = F, Cl, Br, I) reactions using the CCSD(T)/aug-cc-pVTZ level of theory. In general, the reaction energies follow the order of PT > XA > SN2 > OI. The OI channel that results in oxidative insertion complex [CH3–M–X] is most exothermic, and can be formed through a front-side attack of M on the C-X bond via a high transition state OxTS or through a SN2-mediated halogen rearrangement path via a much lower transition state invTS. The order of OxTS > invTS is inverted when changing M to Pd, a d10 metal, because the symmetry of their HOMO orbital is different. The back-side attack SN2 pathway proceeds via typical Walden-inversion transition state that connects to pre- and post-reaction complexes. For X = Cl/Br/I, the invSN2-TS’s are, in general, submerged. The shape of this M + CH3X SN2 PES is flatter as compared to that of a main-group base like F + CH3X, whose PES has a double-well shape. When X = Br/I, a linear halogen-bonded complex [CH3−X∙··M] can be formed as an intermediate upon the front-side attachment of M on the halogen atom X, and it either dissociates to CH3 + MX through halogen abstraction or bends the C-X-M angle to continue the back-side SN2 path. Natural bond orbital analysis shows a polar covalent M−X bond is formed within oxidative insertion complex [CH3–M–X], whereas a noncovalent M–X halogen-bond interaction exists for the [CH3–X∙··M] complex. This work explores competing channels of the M + CH3X reaction in the gas phase and the potential energy surface is useful in understanding the dynamic behavior of the title and analogous reactions. Full article
Show Figures

Figure 1

14 pages, 1897 KB  
Article
A New Synthetic Methodology in the Preparation of Bimetallic Chalcogenide Clusters via Cluster-to-Cluster Transformations
by Yu-Jie Zhong, Jian-Hong Liao, Tzu-Hao Chiu, Yuh-Sheng Wen and C. W. Liu
Molecules 2021, 26(17), 5391; https://doi.org/10.3390/molecules26175391 - 5 Sep 2021
Cited by 4 | Viewed by 2872
Abstract
A decanuclear silver chalcogenide cluster, [Ag10(Se){Se2P(OiPr)2}8] (2) was isolated from a hydride-encapsulated silver diisopropyl diselenophosphates, [Ag7(H){Se2P(OiPr)2}6], under thermal condition. The time-dependent [...] Read more.
A decanuclear silver chalcogenide cluster, [Ag10(Se){Se2P(OiPr)2}8] (2) was isolated from a hydride-encapsulated silver diisopropyl diselenophosphates, [Ag7(H){Se2P(OiPr)2}6], under thermal condition. The time-dependent NMR spectroscopy showed that 2 was generated at the first three hours and the hydrido silver cluster was completely consumed after thirty-six hours. This method illustrated as cluster-to-cluster transformations can be applied to prepare selenide-centered decanuclear bimetallic clusters, [CuxAg10-x(Se){Se2P(OiPr)2}8] (x = 0–7, 3), via heating [CuxAg7−x(H){Se2P(OiPr)2}6] (x = 1–6) at 60 °C. Compositions of 3 were accurately confirmed by the ESI mass spectrometry. While the crystal 2 revealed two un-identical [Ag10(Se){Se2P(OiPr)2}8] structures in the asymmetric unit, a co-crystal of [Cu3Ag7(Se){Se2P(OiPr)2}8]0.6[Cu4Ag6(Se){Se2P(OiPr)2}8]0.4 ([3a]0.6[3b]0.4) was eventually characterized by single-crystal X-ray diffraction. Even though compositions of 2, [3a]0.6[3b]0.4 and the previous published [Ag10(Se){Se2P(OEt)2}8] (1) are quite similar (10 metals, 1 Se2−, 8 ligands), their metal core arrangements are completely different. These results show that different synthetic methods by using different starting reagents can affect the structure of the resulting products, leading to polymorphism. Full article
(This article belongs to the Special Issue Inverse Coordination Chemistry)
Show Figures

Graphical abstract

9 pages, 12376 KB  
Article
Re Sulfides from Zhelos and Tokty-Oi Intrusions (East Sayan, Russia)
by Tatiana B. Kolotilina, Aleksey S. Mekhonoshin and Dmitriy A. Orsoev
Minerals 2019, 9(8), 479; https://doi.org/10.3390/min9080479 - 7 Aug 2019
Cited by 5 | Viewed by 3734
Abstract
Re sulfides were discovered in Cu–Ni–platinum-group elements (PGE) ores of the Zhelos and Tokty-Oi intrusions. These intrusions can be considered as products of the mantle superplume responsible for Rodinia’s break-up. The mineral compositions were determined in situ in polished samples. Electron microprobe analyses [...] Read more.
Re sulfides were discovered in Cu–Ni–platinum-group elements (PGE) ores of the Zhelos and Tokty-Oi intrusions. These intrusions can be considered as products of the mantle superplume responsible for Rodinia’s break-up. The mineral compositions were determined in situ in polished samples. Electron microprobe analyses were mostly consistent with a general formula of (Cu,Fe,Mo,Os,Re)5S8, (Cu,Fe,Mo,Os,Re)4S7, and (Cu,Fe,Mo,Re)S2. One of the major features of Re sulfide from the Zhelos intrusion is its high osmium content. The ΣMe/S ratio for a part of our data is consistent with that of the tarkianite. Re sulfides from the Tokty-Oi have a ΣMe/S ratio similar to those in rheniite or dzeskazganite, but differ from them by the presence of Fe and Cu and the metal-to-metal ratio. The localization of the Re sulfide within the chalcopyrite suggests its crystallization from the residual Cu-rich liquid. Full article
(This article belongs to the Special Issue Sulfide Geochemistry)
Show Figures

Figure 1

17 pages, 5114 KB  
Article
Multiple Electronic Components and Lifshitz Transitions by Oxygen Wires Formation in Layered Cuprates and Nickelates
by Thomas Jarlborg and Antonio Bianconi
Condens. Matter 2019, 4(1), 15; https://doi.org/10.3390/condmat4010015 - 21 Jan 2019
Cited by 9 | Viewed by 4071
Abstract
There is growing compelling experimental evidence that a quantum complex matter scenario made of multiple electronic components and competing quantum phases is needed to grab the key physics of high critical temperature (Tc) superconductivity in layered cuprates. While it is [...] Read more.
There is growing compelling experimental evidence that a quantum complex matter scenario made of multiple electronic components and competing quantum phases is needed to grab the key physics of high critical temperature (Tc) superconductivity in layered cuprates. While it is known that defect self-organization controls Tc, the mechanism remains an open issue. Here we focus on the theoretical prediction of the multiband electronic structure and the formation of broken Fermi surfaces generated by the self-organization of oxygen interstitials Oi atomic wires in the spacer layers in HgBa2CuO4+δ, La2CuO4+δ and La2NiO4+δ, by means of self-consistent Linear Muffin-Tin Orbital (LMTO) calculations. The electronic structure of a first phase of ordered Oi atomic wires and of a second glassy phase made of disordered Oi impurities have been studied through supercell calculations. We show the common features of the influence of Oi wires in the electronic structure in three types of materials. The ordering of Oi into wires leads to a separation of the electronic states between the Oi ensemble and the rest of the bulk. The wire formation first produces quantum confined localized states near the wire, which coexist with, Second, delocalized states in the Fermi surface (FS) of doped cuprates. A new scenario emerges for high Tc superconductivity, where Kitaev wires with Majorana bound states are proximity-coupled to a 2D d-wave superconductor. Full article
(This article belongs to the Special Issue From cuprates to Room Temperature Superconductors)
Show Figures

Figure 1

Back to TopTop