Sign in to use this feature.

Years

Between: -

Subjects

remove_circle_outline
remove_circle_outline
remove_circle_outline
remove_circle_outline
remove_circle_outline
remove_circle_outline
remove_circle_outline
remove_circle_outline
remove_circle_outline

Journals

remove_circle_outline
remove_circle_outline
remove_circle_outline
remove_circle_outline
remove_circle_outline
remove_circle_outline
remove_circle_outline
remove_circle_outline
remove_circle_outline
remove_circle_outline
remove_circle_outline
remove_circle_outline
remove_circle_outline
remove_circle_outline

Article Types

Countries / Regions

remove_circle_outline
remove_circle_outline
remove_circle_outline
remove_circle_outline
remove_circle_outline

Search Results (1,023)

Search Parameters:
Keywords = Co(II) complex

Order results
Result details
Results per page
Select all
Export citation of selected articles as:
24 pages, 3153 KB  
Article
Removal Performance and Mechanism of Iron–Phosphorus-Based Composite Biochar for Pb(II) and Sb(III) from Water
by Tingting Ren, Hongxiang Zhu, Zongqiang Zhu, Jian Tan and Qiqi Qin
Separations 2026, 13(4), 104; https://doi.org/10.3390/separations13040104 (registering DOI) - 25 Mar 2026
Abstract
In this work, iron–phosphorus-based composite biochar (FPBC) was prepared by modification with the leachate of spent LiFePO4 batteries. The effects of solution pH, dosage, adsorption time, initial concentration, and temperature on the adsorption performance of FPBC were investigated by batch adsorption experiments [...] Read more.
In this work, iron–phosphorus-based composite biochar (FPBC) was prepared by modification with the leachate of spent LiFePO4 batteries. The effects of solution pH, dosage, adsorption time, initial concentration, and temperature on the adsorption performance of FPBC were investigated by batch adsorption experiments with Pb(II) and Sb(III) as the target pollutants, and the adsorption mechanism was explored using SEM, BET, XPS, FTIR and XRD characterization. The results indicated that as the initial pH of the solution increased, the removal efficiency of FPBC for Pb(II) gradually increased, while the removal efficiency for Sb(III) remained largely unchanged. The removal of Pb(II) and Sb(III) by FPBC fitted the pseudo-second-order kinetic model and the three-step intraparticle diffusion model, indicating that their removal was primarily controlled by chemical adsorption. Isothermal adsorption studies revealed that FPBC adsorption of Pb(II) better fitted the Langmuir and D-R models, suggesting a monolayer-dominated adsorption process. In contrast, adsorption of Sb(III) fitted the Langmuir, Freundlich, and Temkin models, suggesting a combination of monolayer and multilayer adsorption characteristics. The maximum adsorption capacities of FPBC for Pb(II) and Sb(III) were 312.54 mg·g−1 and 219.20 mg·g−1 at 30 °C, which were approximately 12.85 and 3.37 times those of commercial corn stalk biochar (BC). Thermodynamic analysis confirmed that the removal of Pb(II) and Sb(III) by FPBC was a spontaneous and endothermic process. In addition, FPBC demonstrated strong selective adsorption of Pb(II) in the binary co-adsorption system of Pb(II) and Sb(III). Mechanism studies indicated that Pb(II) removal primarily occurred through co-precipitation, complexation, ion exchange, and electrostatic adsorption, while Sb(III) was mainly adsorbed by FPBC via redox reactions and complexation. Therefore, this work not only provides a low-cost, high-performance adsorbent for the remediation of water contaminated with Pb(II) and Sb(III), but also opens up new avenues for the resource recovery of the leachate of spent LiFePO4 batteries. Full article
Show Figures

Figure 1

15 pages, 1555 KB  
Article
Optimization of Cu2O Nano-Additive-Doped Diesel Engine Performance via Physics-Informed Hybrid GPR Framework
by Recep Cagri Orman
Energies 2026, 19(7), 1603; https://doi.org/10.3390/en19071603 - 25 Mar 2026
Abstract
In this study, a novel “Physics-Informed Hybrid Machine Learning” framework was developed to model and optimize the complex combustion and carbon-based emission characteristics of Cu2O nano-additive doped diesel fuel. To reduce reliance on purely empirical correlations, the proposed framework integrates alterations [...] Read more.
In this study, a novel “Physics-Informed Hybrid Machine Learning” framework was developed to model and optimize the complex combustion and carbon-based emission characteristics of Cu2O nano-additive doped diesel fuel. To reduce reliance on purely empirical correlations, the proposed framework integrates alterations in fuel physical properties into the prediction loop, thereby enhancing physical consistency and model generalizability. The methodology comprises data pre-processing, modeling via Gaussian Process Regression (GPR) with an Automatic Relevance Determination (ARD) kernel, and multi-objective optimization using NSGA-II. Experimental tests were conducted at a constant engine speed of 2000 rpm under varying load conditions. The developed hybrid model exhibited high predictive accuracy, particularly for performance metrics and gaseous emissions (e.g., R2 > 0.95 for BSFC and CO). ARD-based feature importance analysis confirmed that nano-additive dosage plays a critical role in the fine-tuning of emissions. Crucially, the optimization algorithm identified a nano-additive dosage of ~29 ppm and an engine load of 15.5 Nm as the optimal operating point for the simultaneous improvement of performance and carbonaceous emissions. This finding, exploring the unmeasured design space, demonstrates the framework’s capability to discover optimal conditions beyond discrete experimental points. Full article
Show Figures

Figure 1

21 pages, 5628 KB  
Article
Combined Effects of Low-Density Polyethylene (LDPE), Zn(II), Cu(II), and Metolachlor on Trichoderma harzianum Growth, Oxidative Stress Induction, and Herbicide Degradation
by Anastasiia Kubera, Przemysław Bernat, Sylwia Różalska, Alicja Okrasińska and Mirosława Słaba
Molecules 2026, 31(6), 1038; https://doi.org/10.3390/molecules31061038 - 20 Mar 2026
Viewed by 201
Abstract
The widespread presence of microplastics (MPs), heavy metals, and herbicide residues in agricultural soil raises concerns about their combined effects on soil microorganisms. This study examined the combined impact of Zn(II)/Cu(II), low-density polyethylene (LDPE), and metolachlor (MET) on Trichoderma harzianum IM 7002, a [...] Read more.
The widespread presence of microplastics (MPs), heavy metals, and herbicide residues in agricultural soil raises concerns about their combined effects on soil microorganisms. This study examined the combined impact of Zn(II)/Cu(II), low-density polyethylene (LDPE), and metolachlor (MET) on Trichoderma harzianum IM 7002, a strain isolated from heavily polluted soil in central Poland. Exposure to LDPE and MET alone reduced fungal growth and induced oxidative stress, whereas Zn(II) at a concentration of 5 mM and Cu(II) at a concentration of 2.5 mM stimulated growth and enhanced MET degradation. HPLC MS/MS analysis identified transformation products, confirming active degradation even under co-exposure to LDPE and metals. Notably, simultaneous exposure to MET, LDPE, and Cu(II) (5 mM) increased antioxidant enzyme activity and decreased lipid peroxidation, suggesting a strengthened antioxidant defense and/or partial utilization of reactive oxygen species during MET biotransformation. Pollutant mixtures also caused quantitative shifts in membrane phospholipid composition and a slight increase in membrane permeability, indicating both toxic effects and adaptive membrane remodeling in response to chemical stress. Overall, T. harzianum IM 7002 exhibited high tolerance to complex pollutant mixtures while maintaining herbicide-degradation capacity, highlighting its potential for remediation of contaminated agricultural soils. Full article
Show Figures

Figure 1

20 pages, 7966 KB  
Article
Urban Form and Community Structure: Comparing Tree and Semilattice Neighbourhoods for Sustainable Development in Jerusalem
by Shlomit Flint Ashery
Land 2026, 15(3), 474; https://doi.org/10.3390/land15030474 - 16 Mar 2026
Viewed by 183
Abstract
Cities are complex land systems where spatial form mediates welfare, connectivity, and community-based adaptation. This study compares two Haredi neighbourhoods in Jerusalem, Ezrat Torah (an organically evolved semilattice) and Ramat Shlomo (a planned tree-type enclave), to examine how urban morphology interacts with planning [...] Read more.
Cities are complex land systems where spatial form mediates welfare, connectivity, and community-based adaptation. This study compares two Haredi neighbourhoods in Jerusalem, Ezrat Torah (an organically evolved semilattice) and Ramat Shlomo (a planned tree-type enclave), to examine how urban morphology interacts with planning logics to shape sustainability trade-offs. We integrated graph-based meshedness (α-index), aggregate isovist cascade analysis, and a geodesign-supported negotiation to evaluate the land-use mix, visibility structure, and network redundancy and to co-design 2045 scenarios across housing, transport, green, and social infrastructure. Findings showed that semilattice fabrics support richer overlaps among social and spatial subsystems, enabling incremental, lower-conflict adjustments towards sustainability objectives, whereas tree-like structures lock units into hierarchical compartments, constraining adaptation. Methodologically, the paper operationalises Alexander’s structure–life hypothesis with reproducible indicators and demonstrates how geodesign can align community preferences with broader sustainability goals. The contribution is twofold: (i) empirical evidence on how neighbourhood morphology conditions welfare–connectivity–resilience outcomes; and (ii) a transferable, negotiation-centred workflow for planning in culturally cohesive urban enclaves. Full article
Show Figures

Figure 1

11 pages, 621 KB  
Article
Synthesis and Structures of Ru(II)-p-Cymene Sandwich Complexes with Electron-Withdrawing Cyclopentadienyl Ligands
by Uttam R. Pokharel, Sean Parkin and John P. Selegue
Crystals 2026, 16(3), 201; https://doi.org/10.3390/cryst16030201 - 15 Mar 2026
Viewed by 370
Abstract
A modular synthetic route has been developed to prepare a new series of cationic ruthenium(II) complexes with electron-withdrawing 1,2-diacylcyclopentadienyl ligands. The 2-acyl-6-hydroxyfulvenes were synthesized from cyclopentadienide and acyl chlorides and converted to Tl(I) cyclopentadienyl salts using Tl2SO4/KOH. Transmetalation with [...] Read more.
A modular synthetic route has been developed to prepare a new series of cationic ruthenium(II) complexes with electron-withdrawing 1,2-diacylcyclopentadienyl ligands. The 2-acyl-6-hydroxyfulvenes were synthesized from cyclopentadienide and acyl chlorides and converted to Tl(I) cyclopentadienyl salts using Tl2SO4/KOH. Transmetalation with [Ru(η6-p-cymene)(μ-Cl)Cl]2 followed by PF6 metathesis gives the complexes [Ru{η5-1,2-C5H3(CO–R)2}(η6-p-cymene)][PF6] (R = t-Bu, p-Tol, p-ClC6H4, p-IC6H4) in moderate to high yields. The new compounds were characterized by NMR and IR spectroscopy; mass spectrometry and elemental analysis were performed where applicable. X-ray analysis of one of the complexes confirms that electron-deficient Cp ligands retain η5-coordination and structural planarity within Ru(II)–arene sandwich architectures, highlighting their potential utility in electronically tunable organometallic frameworks. Full article
Show Figures

Figure 1

16 pages, 1869 KB  
Article
Molecular Catalysis of CO2 Reduction by [Zn(TPA)(H2O)]SO4: Electrochemical and Mechanistic Characterization
by Marisela Cruz-Ramírez, Luis Gabriel Talavera-Contreras, Omar Monsalvo Zúñiga, Fernando Cortés-Guzmán, Angel Mendoza, Lillian G. Ramírez-Palma, Juan Pablo F. Rebolledo-Chávez, Gilberto Rocha-Ortiz and Luis Ortiz-Frade
Catalysts 2026, 16(3), 229; https://doi.org/10.3390/catal16030229 - 2 Mar 2026
Viewed by 533
Abstract
In this work, the coordination compound sulfate of aqua{tris(2-pyridylmethyl) amine}zinc(II) ([Zn(TPA)(H2O)]SO4) is investigated as a catalyst for the molecular reduction of CO2. The complex was synthesized and characterized by FT–IR, UV–Vis, TGA, and NMR spectroscopy. Cyclic voltammetry [...] Read more.
In this work, the coordination compound sulfate of aqua{tris(2-pyridylmethyl) amine}zinc(II) ([Zn(TPA)(H2O)]SO4) is investigated as a catalyst for the molecular reduction of CO2. The complex was synthesized and characterized by FT–IR, UV–Vis, TGA, and NMR spectroscopy. Cyclic voltammetry reveals irreversible electrochemical behavior, with two cathodic peaks at Epc = −1.72 V and Epc = −1.99 V vs. Fc/Fc+, respectively. Under a CO2 atmosphere, a catalytic wave appears at Epc = −1.87 V vs. Fc/Fc+, indicating catalytic activity toward CO2 reduction. This behavior was further confirmed by Foot-of-the-Wave Analysis (FOWA), which yielded a catalytic rate constant of (k = 1.352 × 103 M−1 s−1). Bulk electrolysis experiments combined with FT–IR analysis suggest that format is the main product of the CO2 reduction catalyzed by [Zn(TPA)(H2O)]SO4. Electrochemical impedance spectroscopy was used to examine the catalytic process at the electrode–electrolyte interface. In addition, density functional theory (DFT) calculations were conducted to analyze the interaction between the [Zn(TPA)(H2O)]SO4 complex and CO2. Full article
(This article belongs to the Special Issue Catalysts for CO2 Conversions)
Show Figures

Graphical abstract

21 pages, 2212 KB  
Review
Veterinary Herpesviruses: Experimental Tools for Transcriptomics and Neuroscience
by Zsolt Boldogkői, Gábor Torma and Dóra Tombácz
Vet. Sci. 2026, 13(3), 228; https://doi.org/10.3390/vetsci13030228 - 27 Feb 2026
Viewed by 360
Abstract
Here we discuss three veterinary alphaherpesviruses—pseudorabies virus, equid alphaherpesvirus 1, and bovine alphaherpesvirus 1—that were instrumental in uncovering the true extent of transcriptome complexity through long-read RNA sequencing, which earlier short-read approaches could not resolve. We focus on three major transcriptomic features whose [...] Read more.
Here we discuss three veterinary alphaherpesviruses—pseudorabies virus, equid alphaherpesvirus 1, and bovine alphaherpesvirus 1—that were instrumental in uncovering the true extent of transcriptome complexity through long-read RNA sequencing, which earlier short-read approaches could not resolve. We focus on three major transcriptomic features whose discovery and characterization relied heavily on these viral models: (i) widespread transcriptional overlaps that complicate read assignment and may drive transcriptional interference; (ii) diverse transcript isoforms arising from alternative 5′ and 3′ transcript termini, as well as splicing; and (iii) non-coding RNAs clustered near replication origins that illuminate potential replication–transcription interactions on a shared nuclear template. Long-read viromics in these veterinary systems has additionally served as a stringent benchmark for transcript callers and annotation pipelines, because the extreme density of overlaps and co-terminal transcript families exposes errors that often go unnoticed in typical mammalian transcriptomes. This has made veterinary herpesvirus datasets disproportionately influential in shaping best practices for full-length isoform calling, transcript end mapping, and artifact-robust cDNA library handling. We also discuss animal gammaherpesviruses as proxies for human gammaherpesviruses, allowing experimental investigation of viral programs difficult to study in human infection. Finally, we describe pseudorabies virus applications as a retrograde transneuronal tracer. Full article
(This article belongs to the Section Veterinary Microbiology, Parasitology and Immunology)
Show Figures

Graphical abstract

35 pages, 5430 KB  
Article
A Multi-Fidelity Modeling and Optimization Framework for Designing Grid-Tied Hybrid AC Battery Systems
by Abdul Mannan Rauf, Thomas Geury and Omar Hegazy
Energies 2026, 19(4), 1093; https://doi.org/10.3390/en19041093 - 21 Feb 2026
Viewed by 298
Abstract
AC battery systems (ACBSs) based on multilevel converters (MLCs) have gained considerable attention in recent times for the provision of grid services due to high-power (HP) and high-energy (HE) capabilities. In a hybrid ACBS, multiple low-voltage ports provide DC interfaces for battery modules [...] Read more.
AC battery systems (ACBSs) based on multilevel converters (MLCs) have gained considerable attention in recent times for the provision of grid services due to high-power (HP) and high-energy (HE) capabilities. In a hybrid ACBS, multiple low-voltage ports provide DC interfaces for battery modules from the same or different chemistries, enabling flexible operation across a wide range of grid services. However, the design complexity increases substantially, due to (i) higher electrothermal coupling between heterogeneous battery modules and power electronic (PE) switches, (ii) grid compliance constraints and (iii) power quality requirements, which often leads to conservative oversizing and, consequently, increased total cost of ownership (TCO). To address these challenges, this paper proposes a co-design optimization framework for the sizing and selection of battery modules, PE components, and MLC architecture. A multi-fidelity modeling approach is presented to co-simulate the battery modules and MLC. The model captures electrochemical behavior, degradation dynamics, and power losses to enable accurate estimation of system-level energy efficiency. The framework then leverages a multi-objective nondominated sorting genetic algorithm (NSGA-II) to perform optimal cell-to-module sizing across different chemistries and MLC levels, while incorporating the inter-module balancing and AC power quality constraints. Comparative simulation studies show that the proposed co-design framework achieves life-cycle TCO reduction of 3.5%, 4.5% and 20% relative to non-hybrid (single chemistry) configurations based on LFP, NMC and LTO chemistries, respectively. The test results validate the effectiveness of the proposed co-design methodology for the optimal design of grid-tied AC battery systems. Full article
Show Figures

Figure 1

20 pages, 1393 KB  
Article
A Nano-Sized Poly(aniline-co-thiophene) Based Solid-Contact Screen-Printed Electrode for Batch and Continuous Potentiometric Determination of Iodide
by Saad S. M. Hassan and Mahmoud Abdelwahab Fathy
Polymers 2026, 18(4), 492; https://doi.org/10.3390/polym18040492 - 16 Feb 2026
Viewed by 458
Abstract
Two approaches are described for construction of a screen-printed planar electrode (SPE) for potentiometric determination of iodide ion. The first, involves preparation and application of iron(II) bathophenanthroline tetraiodoplumbate complex ([Fe(bphen)3][PbI4]), as a sensitive and selective electroactive sensing material in [...] Read more.
Two approaches are described for construction of a screen-printed planar electrode (SPE) for potentiometric determination of iodide ion. The first, involves preparation and application of iron(II) bathophenanthroline tetraiodoplumbate complex ([Fe(bphen)3][PbI4]), as a sensitive and selective electroactive sensing material in a potentiometric electrode for iodide determination. The second is the use of a nano-sized poly(aniline-co-thiophene) (PANI-co-PT) as a solid-contact material in a planar miniaturized configuration. The SPE displays a Nernstian response for iodide ion with a calibration slope of −58.81 ± 0.69 mV/decade (R2 = 0.9998) over a wide concentration range (9.17 × 10−7–6.94 × 10−3 mol/L), low detection limit (6.09 × 10−7 mol/L), rapid response time (5.0 ± 1.0 s) and long-life span (75 ± 3.0 d). The use of PANI-co-PT solid-contact layer significantly improves the ion-to-electron transduction, eliminates the formation of undesired thin water layer between the sensing membrane and the conducting substrate, prevents membrane delamination, enhances potential stability with a significantly reduced potential drift (8.32 ± 0.12 µV/min) and displays high redox capacitance (2.560 ± 0.040 mF). Water contact angle measurements confirm the increased hydrophobicity of the modified membrane electrode (from 44 ± 0.8° to 93 ± 1.4°) and demonstrate the membrane ability to repel moisture and further stabilize the sensor response. The proposed sensor is successfully integrated into a flow injection analysis (FIA) system to enable real-time and continuous iodide monitoring with high precision, high sample throughput and applicability for quality control of pharmaceuticals and environmental monitoring. Full article
(This article belongs to the Section Polymer Applications)
Show Figures

Graphical abstract

15 pages, 2437 KB  
Article
Genomic Insights into Chromosomal Colistin Resistance and Virulence–Resistance Convergence in MDR/XDR Klebsiella pneumoniae from Tertiary Hospitals in Peshawar, Pakistan
by Aiman Waheed, Sumera Afzal Khan, Sajjad Ahmad, Jody E. Phelan, Gulab Fatima Rani, Susana Campino, Taj Ali Khan and Taane G. Clark
Pathogens 2026, 15(2), 218; https://doi.org/10.3390/pathogens15020218 - 14 Feb 2026
Viewed by 565
Abstract
Background: Klebsiella pneumoniae is a World Health Organization-listed critical priority pathogen and a major cause of healthcare-associated infections, driven by the global emergence of multidrug-resistant (MDR) and extensively drug-resistant (XDR) lineages and their alarming convergence with hypervirulence. Methods: In this study, [...] Read more.
Background: Klebsiella pneumoniae is a World Health Organization-listed critical priority pathogen and a major cause of healthcare-associated infections, driven by the global emergence of multidrug-resistant (MDR) and extensively drug-resistant (XDR) lineages and their alarming convergence with hypervirulence. Methods: In this study, 152 clinical specimens, including urine, blood, pus, wound swabs, and respiratory samples, were collected from tertiary care hospitals in Peshawar, Pakistan. Standard microbiological and biochemical methods identified 55 K. pneumoniae isolates. Antimicrobial susceptibility testing (AST) was performed using the Kirby–Bauer disk diffusion and broth microdilution methods, with results interpreted according to Clinical and Laboratory Standards Institute (CLSI) guidelines. MDR and XDR phenotypes were defined based on European Centre for Disease Prevention and Control (ECDC) criteria. Whole-genome sequencing (WGS) was conducted on 16 phenotypically confirmed MDR/XDR isolates, followed by comprehensive bioinformatic analyses to characterize sequence types (STs), acquired antimicrobial resistance genes, resistance-associated chromosomal mutations, virulence determinants, plasmid replicons, and phylogenetic relationships. Results: Among 55 confirmed K. pneumoniae isolates, 19 (34.5%) were classified as MDR and 10 (18.2%) as XDR. WGS revealed substantial genomic heterogeneity, identifying 11 distinct STs, with ST39 being the most prevalent. Resistance to multiple antibiotic classes was mediated by the combined presence of plasmid-borne carbapenemases and extended-spectrum β-lactamases, alongside chromosomal mutations affecting outer membrane porins (OmpK35/OmpK36), fluoroquinolone targets (gyrA/parC), efflux regulation (ramR, marR), and lipid A modification pathways associated with colistin resistance (mgrB, pmrA/pmrB, arnC, crrB). IncF-family plasmids predominated and frequently co-occurred with additional resistance-associated replicons. Notably, one isolate exhibited an expanded virulence gene repertoire, including multiple siderophore systems and a complete type II secretion system, consistent with a hypervirulence-associated genomic profile. Phylogenetic analyses demonstrated close relatedness to international lineages from Asia, the Middle East, and Europe, indicating regional and transnational dissemination. Conclusions: This study highlights the complex interplay between plasmid-mediated gene acquisition and chromosomal adaptive mutations driving MDR and XDR phenotypes in K. pneumoniae circulating in Peshawar, Pakistan. The identification of hypervirulence-associated genetic features within an MDR background underscores the growing threat posed by convergent lineages and emphasizes the need for sustained WGS-based surveillance to inform infection control and antimicrobial stewardship strategies. Full article
(This article belongs to the Section Bacterial Pathogens)
Show Figures

Figure 1

32 pages, 2534 KB  
Article
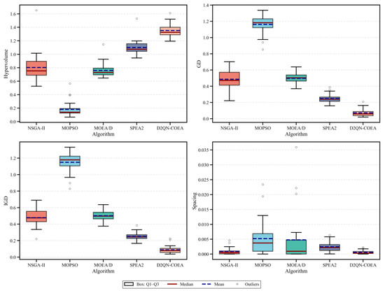
A Knowledge-Guided Deep Reinforcement Learning Approach for Energy-Aware Distributed Flexible Job Shop Scheduling with Job Priority
by Zhi-Yong Luo, Jia-Bao Song and Chun-Qiao Ge
Processes 2026, 14(4), 662; https://doi.org/10.3390/pr14040662 - 14 Feb 2026
Viewed by 386
Abstract
Energy-aware distributed manufacturing has become a key focus in modern production systems due to the growing demand for sustainable and efficient operations. This study investigates the energy-aware distributed flexible job shop scheduling problem with job priority, where multiple factories cooperate to process prioritized [...] Read more.
Energy-aware distributed manufacturing has become a key focus in modern production systems due to the growing demand for sustainable and efficient operations. This study investigates the energy-aware distributed flexible job shop scheduling problem with job priority, where multiple factories cooperate to process prioritized jobs under energy consumption considerations. Considering job priorities is essential for reflecting the practical importance and urgency of different customer orders, which directly affects scheduling fairness and production responsiveness. The proposed bi-objective model aims to simultaneously minimize total weighted tardiness and total energy consumption, accounting for both processing and idle power. To effectively solve this complex NP-hard problem, a knowledge-guided deep reinforcement learning approach is developed. Domain knowledge is integrated into a double deep Q-network to guide the adaptive selection of local search operators, while a co-evolutionary mechanism maintains global exploration and accelerates convergence. Extensive computational experiments are conducted on 24 benchmark instances, which are categorized into five groups according to factory scale, with the maximum problem size reaching 160 jobs × 6 machines × 5 factories, together with a real-world case study. Compared with four state-of-the-art multi-objective baseline algorithms (NSGA-II, MOPSO, MOEA/D, and SPEA2), the proposed D2QN-COEA demonstrates substantial performance advantages. On average, it achieves an HV improvement of 23.1% compared with the best-performing baseline on each instance, while GD and IGD are reduced by 70.8% and 63.7%, respectively. When averaged across all four baseline algorithms, D2QN-COEA yields improvements of 203.4% in HV, 83.9% in GD, 79.9% in IGD, and 70.8% in Spacing, confirming its superior convergence accuracy and solution diversity. The results confirm that embedding domain knowledge into deep reinforcement learning enhances optimization robustness and provides an intelligent solution for energy-efficient distributed scheduling in modern manufacturing systems. Full article
(This article belongs to the Section AI-Enabled Process Engineering)
Show Figures

Figure 1

13 pages, 1414 KB  
Article
Ru-Based NSAIDs as Potential Anticancer Therapeutics
by Silvia Bordoni, Magda Monari, Carla Boga, Federico Moro and Giacomo Drius
Molecules 2026, 31(4), 589; https://doi.org/10.3390/molecules31040589 - 9 Feb 2026
Viewed by 454
Abstract
The use of metal-based species bearing existing pharmaceuticals as ligands—often resulting in enhanced bioactivity—represents an attractive strategy for the development of novel therapeutic formulations. In this context, five well-known non-steroidal anti-inflammatory drugs (NSAIDs) were employed to substitute both PPh3 and hydride ligands [...] Read more.
The use of metal-based species bearing existing pharmaceuticals as ligands—often resulting in enhanced bioactivity—represents an attractive strategy for the development of novel therapeutic formulations. In this context, five well-known non-steroidal anti-inflammatory drugs (NSAIDs) were employed to substitute both PPh3 and hydride ligands in [Ru(H)2(CO)(PPh3)3] (1), thereby selectively affording neutral κ2-(O,O)–chelate complexes in satisfactory yields via molecular hydrogen release. Among the obtained species, two complexes coordinating diclofenac (4) and aspirin (5) were further investigated by single-crystal X-ray diffraction (SCXRD). Preliminary biological studies were conducted on the ruthenium–salicylic acid species 2 and ibuprofen 6. The former showed promising antiproliferative activity against HeLa cancer cells, consistent with the well-established role of NSAID–ruthenium(II) complexes as a platform for the development of novel anticancer metallotherapeutics. Full article
(This article belongs to the Special Issue Metal-Based Drugs: Past, Present and Future, 3rd Edition)
Show Figures

Graphical abstract

35 pages, 5550 KB  
Article
Synthesis, Structural Studies, and Biological Evaluation of Copper(I) and Copper(II) Complexes Supported by Bis(pyrazol-1-yl)acetate Ligand Functionalized with Amantadine for the Treatment of Glioblastoma
by Sofia Migani, Giuseppina Bozzuto, Annarica Calcabrini, Marisa Colone, Maria Luisa Dupuis, Miriam Caviglia, Cristina Aguzzi, Maria Beatrice Morelli, Fabio Del Bello, Wilma Quaglia, Maura Pellei, Carlo Santini, Chiara Battocchio, Giovanna Iucci, Iole Venditti, Carlo Meneghini, Simone Amatori and Annarita Stringaro
Int. J. Mol. Sci. 2026, 27(3), 1531; https://doi.org/10.3390/ijms27031531 - 4 Feb 2026
Viewed by 525
Abstract
This paper reports the synthesis, structural characterization, and biological evaluation of a novel series of CuI and CuII complexes supported by an amantadine-functionalized bis(pyrazol-1-yl)acetate ligand (LAd) as potential anticancer agents for the treatment of glioblastoma (GBM). Comprehensive spectroscopic and [...] Read more.
This paper reports the synthesis, structural characterization, and biological evaluation of a novel series of CuI and CuII complexes supported by an amantadine-functionalized bis(pyrazol-1-yl)acetate ligand (LAd) as potential anticancer agents for the treatment of glioblastoma (GBM). Comprehensive spectroscopic and structural investigations, including SR-XPS, XANES/EXAFS, and DFT modeling, confirmed the successful coordination of LAd to copper centers in both oxidation states, affording well-defined molecular architectures with distinct coordination geometries. Among the synthesized compounds, the CuI complexes bearing triphenylphosphine co-ligands (compounds 4 and 5) exhibited the strongest cytotoxicity against U87 MG and LN18 GBM cell lines, showing IC50 values lower than those of cisplatin. These complexes induced a pronounced redox imbalance through reactive oxygen species (ROS) overproduction and glutathione (GSH) depletion, leading to G2/M cell cycle arrest and cell death. Flow cytometry and Western blot analyses demonstrated that cell death occurs via caspase-dependent apoptosis in LN18 cells, as evidenced by PARP cleavage, downregulation of Bcl-xL, release of cytochrome c, and mitochondrial translocation of Bax. Altogether, these findings highlight the potential of lipophilic amantadine-functionalized CuI complexes as promising anticancer candidates targeting glioma cells through mitochondrial dysfunction and redox-mediated pathways. Full article
Show Figures

Figure 1

9 pages, 1658 KB  
Article
A Cu(II)-Based Fluorescent Probe for Carbon Monoxide, Nap-BC-Cu(II), Does Not Selectively Detect Carbon Monoxide
by Dongning Liu, Hongliang Li, Shivanagababu Challa and Binghe Wang
Molecules 2026, 31(3), 415; https://doi.org/10.3390/molecules31030415 - 26 Jan 2026
Viewed by 340
Abstract
Reports of carbon monoxide (CO) pharmacology have spurred intense interest in developing its fluorescent probes with much success. However, one unfortunate event in this area is the wide-spread use of chemically reactive metal/BH3-CO complexes as “CO-releasing molecules” or CORMs that do [...] Read more.
Reports of carbon monoxide (CO) pharmacology have spurred intense interest in developing its fluorescent probes with much success. However, one unfortunate event in this area is the wide-spread use of chemically reactive metal/BH3-CO complexes as “CO-releasing molecules” or CORMs that do not produce CO or produce CO in an idiosyncratic fashion. Consequently, a large number of reported fluorescent “CO probes” only respond to the CORM used, but not to CO. Though most of these issues have been clarified in the literature, there is a surprising recent publication on a Cu(II)-based fluorescent “CO probe,” Nap-BC-Cu(II), relying on undefined chemical principles. We reassessed the ability for Nap-BC-Cu(II) to detect CO and found no evidence for Nap-BC-Cu(II) to selectively detect CO at even non-physiologically relevant high concentrations (high micromolar) of CO. Marginal effects were observed only when CO was continuously bubbled through the “probe” solution for 15 min. Further, Nap-BC-Cu(II) was found to be sensitive to ascorbic acid and cysteine. Overall, this probe did not respond to CO in a pathophysiologically relevant context. Our findings do not support the notion of Nap-BC-Cu(II) being a CO probe for studying CO biology. We hope this will be the last of this saga of “CO probes” that do not afford selective detection of CO, largely due to the confusions caused by using chemically reactive CORMs. Full article
(This article belongs to the Section Organic Chemistry)
Show Figures

Figure 1

17 pages, 631 KB  
Article
Beyond Illusions of Sustainability: From Physical Reality to Bookkeeping—Rethinking Life Cycle Assessment in the Chemical Industry and the Imperative of Standardization
by Laura Schmidt, Malina Nikolic, Patrick Ober and Jana Gerta Backes
Sustainability 2026, 18(3), 1173; https://doi.org/10.3390/su18031173 - 23 Jan 2026
Viewed by 600
Abstract
As transparency and sustainability gain strategic importance, the mass balance approach under chain of custody (MB-CoC) has become a central mechanism for assessing product carbon footprints (PCFs) in complex chemical value chains. The MB-CoC enables the attribution of renewable and recycled feedstock characteristics [...] Read more.
As transparency and sustainability gain strategic importance, the mass balance approach under chain of custody (MB-CoC) has become a central mechanism for assessing product carbon footprints (PCFs) in complex chemical value chains. The MB-CoC enables the attribution of renewable and recycled feedstock characteristics via certified bookkeeping when physical segregation or molecular tracing is infeasible—thus complementing PCF methodologies based on ISO 14067 and the LCA standards ISO 14040/44. However, the methodological integration of the MB-CoC into ISO-conformant PCFs remains insufficiently defined and empirically underexplored. This paper systematically reviews the interaction between the MB-CoC and PCF/LCA frameworks. It (i) synthesizes the allocation rules of ISO 14040/44/67 and the attribution principles of the MB-CoC according to ISO 22095 and key industry initiatives; (ii) analyzes academic publications, guidelines, and corporate applications; and (iii) identifies methodological tensions concerning system boundaries, allocation logic, residual mixes, treatment of biogenic and recycled carbon, and risks of double counting. Our review reveals five recurring insights across the literature: the need for certification and standardization; the importance of primary data and residual mixes; the requirement for ISO conformity; the necessity of transparent reporting of conventional versus alternative inputs; and the lack of independent empirical case studies. Addressing these gaps through harmonized rules, residual mix development, and comparative applications will be essential for establishing the MB-CoC as a robust instrument for circularity, decarbonization, and regulatory compliance, developed by interdisciplinary research and industry approaches. Full article
(This article belongs to the Topic Green and Sustainable Chemical Products and Processes)
Show Figures

Figure 1

Back to TopTop