Sign in to use this feature.

Years

Between: -

Subjects

remove_circle_outline
remove_circle_outline
remove_circle_outline
remove_circle_outline
remove_circle_outline
remove_circle_outline

Journals

Article Types

Countries / Regions

Search Results (17)

Search Parameters:
Keywords = Chrysophyta

Order results
Result details
Results per page
Select all
Export citation of selected articles as:
13 pages, 2353 KB  
Article
Phytoplankton Sampling: When the Method Shapes the Message
by Diego Frau
Limnol. Rev. 2025, 25(3), 45; https://doi.org/10.3390/limnolrev25030045 - 18 Sep 2025
Cited by 1 | Viewed by 6094
Abstract
Different sampling techniques were evaluated to assess potential differences in species richness and the abundances of phytoplankton across several lowland aquatic environments. Five sampling methods were used, including a bucket, narrow- and wide-mouth bottles, a 10 µm plankton net, and a vertical Van [...] Read more.
Different sampling techniques were evaluated to assess potential differences in species richness and the abundances of phytoplankton across several lowland aquatic environments. Five sampling methods were used, including a bucket, narrow- and wide-mouth bottles, a 10 µm plankton net, and a vertical Van Dorn bottle. These sampling methods were applied in subtropical streams, shallow lakes, and rivers. The results were compared using a two-way ANOVA to evaluate differences in total density by considering the morphological group and major phytoplankton phyla. Similarity analyses (SIMPER) and a permutational multivariate analysis of variance (PERMANOVA) were performed to compare the relative abundances of the species. The results showed, in general (except with Cyanophyta, Chrysophyta, and colonies—coenobia), significant differences in the effect of the sampling method but without interaction with the kind of environment. Particularly, the plankton net always reported lower density estimations, with the bucket having the highest values and the wide–narrow bottle methods having similar values. SIMPER and PERMANOVA indicated differences, especially with the plankton net and the other methods, particularly the bucket. These findings suggest that the sampling method can influence species counts and registration in subtropical water ecosystems, highlighting the need for standardized procedures across countries to obtain comparable and reliable results. Full article
Show Figures

Graphical abstract

14 pages, 4282 KB  
Article
Comparative Analysis of Light Microscopy and High-Throughput Sequencing for Phytoplankton Detection in Rivers Flowing into the Sea
by Xiaokun Hu, Yunlong Liu, Rui Wang, Zhaojun Dong, Kuixuan Lin, Shucong Lv, Yuchen Liu, Wenze Lu and Lusan Liu
Water 2025, 17(11), 1559; https://doi.org/10.3390/w17111559 - 22 May 2025
Cited by 2 | Viewed by 1664
Abstract
Phytoplankton are essential indicators of aquatic ecosystem health. Traditional phytoplankton detection methods using microscopy struggle to identify species with small particle sizes or unclear morphological characteristics. In contrast, molecular methods have high accuracy but struggle to simultaneously detect prokaryotic and eukaryotic organisms due [...] Read more.
Phytoplankton are essential indicators of aquatic ecosystem health. Traditional phytoplankton detection methods using microscopy struggle to identify species with small particle sizes or unclear morphological characteristics. In contrast, molecular methods have high accuracy but struggle to simultaneously detect prokaryotic and eukaryotic organisms due to primer specificity. As algal blooms can be caused by both prokaryotes and eukaryotes, methods that can detect both are required. This study used both microscopic detection and high-throughput sequencing methods to analyze phytoplankton in seagoing waters in eastern coastal China. Two high-throughput sequencing primers targeting 16S rDNA for prokaryotes and 18S rDNA for eukaryotes were used, and the results were compared with those of microscopic analysis. Microscopy identified 230 phytoplankton species across 73 genera, mainly belonging to Bacillariophyta, Chlorophyta, Euglenophyta, Cyanophyta, Dinophyta, and Chrysophyta. Twenty-four species across 16 sampling stations exceeded 1 million cells/L. High-throughput sequencing yielded 8642 prokaryotic and 7375 eukaryotic operational taxonomic units, with 432 identified as phytoplankton. Chlorophyta and Bacillariophyta had the highest species richness, accounting for 34% and 17%, respectively. High-throughput sequencing detected more species than microscopic detection but relied on gene reference databases and provided only the relative abundance of species based on operational taxonomic unit counts. Full article
(This article belongs to the Section Biodiversity and Functionality of Aquatic Ecosystems)
Show Figures

Figure 1

17 pages, 4759 KB  
Article
The Influence of Waters of Lake Baikal on the Spatiotemporal Dynamics of Phytoplankton in the Irkutsk Reservoir
by Alena Firsova, Yuri Galachyants, Anna Bessudova, Diana Hilkhanova, Lubov Titova, Maria Nalimova, Vasilisa Buzevich, Artyom Marchenkov, Maria Sakirko and Yelena Likhoshway
Water 2024, 16(22), 3284; https://doi.org/10.3390/w16223284 - 15 Nov 2024
Cited by 7 | Viewed by 1544
Abstract
On a model natural object, the Lake Baikal–Angara River–Irkutsk Reservoir (IR), we studied changes in the qualitative and quantitative characteristics of phytoplankton communities over three seasons in 2023 depending on seasonal changes in habitat parameters. Of the 151 identified taxa, Chrysophyta (57), Chlorophyta [...] Read more.
On a model natural object, the Lake Baikal–Angara River–Irkutsk Reservoir (IR), we studied changes in the qualitative and quantitative characteristics of phytoplankton communities over three seasons in 2023 depending on seasonal changes in habitat parameters. Of the 151 identified taxa, Chrysophyta (57), Chlorophyta (41) and Bacillariophyta (24) predominated in diversity. Over the entire observation period, the highest values of total biomass and total abundance were detected in the IR in June (hydrological spring) at a water temperature of 10.0–12.7 °C, and the lowest in August, despite the fact that the water warmed up to 20 °C. No mass blooms of Cyanobacteria were observed. Statistical analysis of species abundance profiles revealed that phytoplankton community structure varied across time and space. The direct effect of cold lake waters on the structure of phytoplankton in the reservoir was observed only in early June. In summer and autumn, the structures of phytoplankton in the lake and in the reservoir differed, even at the same water temperature. Low concentrations of phosphates and nitrates, high species diversity, the presence of cold-water species and species with a wide range of temperature preferences formed a dynamic spatiotemporal structure of IR phytoplankton, distinct from other temperate reservoirs, including Lake Baikal. The results obtained are important for understanding the mechanisms of formation of the flora of artificial reservoirs of temperate latitudes and for their monitoring, taking into account seasonal dynamics and the context of global climate warming. Full article
(This article belongs to the Special Issue Impact of Environmental Factors on Aquatic Ecosystem)
Show Figures

Figure 1

18 pages, 3714 KB  
Article
Effect of Rice–Carp Coculture on Phytoplankton and Microzooplankton Community Composition in Paddy Water during Different Rice Growth Stages
by Geleta Tiko Welde, Bing Li, Yiran Hou, Gelana Urgesa Ayana, Linjun Zhou, Rui Jia and Jian Zhu
Water 2024, 16(19), 2775; https://doi.org/10.3390/w16192775 - 29 Sep 2024
Cited by 5 | Viewed by 2180
Abstract
Integrated rice–fish farming, an agricultural practice that combines cultivating rice and breeding fish in the same field, has attracted widespread attention. However, there is limited research on how the rice–carp coculture impacts the community structure of phytoplankton and microzooplankton in paddy water. This [...] Read more.
Integrated rice–fish farming, an agricultural practice that combines cultivating rice and breeding fish in the same field, has attracted widespread attention. However, there is limited research on how the rice–carp coculture impacts the community structure of phytoplankton and microzooplankton in paddy water. This study employed eDNA metabarcoding sequencing to analyze the composition of phytoplankton and microzooplankton in a rice monoculture system (RM) and a rice–carp coculture system (RF). Following annotation, we identified 9 phyla, 89 families, 275 genera, and 249 species of phytoplankton, along with 20 phyla (or subphyla and classes), 85 families, 222 genera, and 179 species of microzooplankton. The alpha diversity indices revealed significantly higher richness, diversity, and evenness in the RF group compared to the RM group during grain-filling stage. Principal coordinates analysis (PCoA) demonstrated notable differences in the phytoplankton and microzooplankton compositions between the two groups across various rice growth stages. Composition analysis showed that rice–carp coculture increased the relative abundance of dominant phytoplankton phyla such as Bacillariophyta, Chrysophyta, and Euglenophyta while decreasing that of Cryptophyta. In microzooplankton, the coculture resulted in an increased abundance of Intramacronucleata (subphylum) and a decrease in Conoidasida (class). In conclusion, the rice–carp coculture enhances the diversity of plankton, particularly during the grain-filling stage, and simultaneously alters the composition and abundance of dominant plankton species in the paddy water. These findings enhance understanding of the broader impacts of integrated rice–carp farming on agricultural ecosystems, emphasizing alterations in the diversity and composition of aquatic microorganisms Full article
(This article belongs to the Section Biodiversity and Functionality of Aquatic Ecosystems)
Show Figures

Figure 1

16 pages, 6999 KB  
Article
The Impact of Environmental Factors on the Spatiotemporal Heterogeneity of Phytoplankton Community Structure and Biodiversity in the Qiongzhou Strait
by Chunling Xu, Yu Ma, Hao Zhang, Xiaoming Li and Qi Chen
Water 2023, 15(21), 3792; https://doi.org/10.3390/w15213792 - 29 Oct 2023
Cited by 5 | Viewed by 2594
Abstract
The distribution and variation in environmental factors and the phytoplankton community in the Qiongzhou Strait were investigated in autumn 2015 and spring 2016. The environmental factors were different in the two seasons, as seen when using one-way ANOVA testing, principal component analysis, and [...] Read more.
The distribution and variation in environmental factors and the phytoplankton community in the Qiongzhou Strait were investigated in autumn 2015 and spring 2016. The environmental factors were different in the two seasons, as seen when using one-way ANOVA testing, principal component analysis, and cluster analysis. The temperature and levels of dissolved oxygen and soluble solids were higher in autumn, and the ammonia (NH4-N) level was much higher in spring (4.66 ± 0.97 µmol/L), which led to a higher concentration of dissolved inorganic nitrogen in the northeast area. A total of 118 species of phytoplankton were found, with 47 common species in both seasons and more species in spring. Bacillariophyta (diatom) contributed to over 80% of the relative abundance in both seasons. The species of Chrysophyta and Xanthophyta were endemic species in autumn and spring, respectively. Skeletonema costatum and Chaetoceros curvisetus were the common dominant species, with nine dominant species in both seasons. Higher abundance and biodiversity of phytoplankton appeared in spring, and their differences were mostly determined by NH4-N level, hydrodynamic conditions and artificial activities in the coastal area in the Qiongzhou Strait. Full article
(This article belongs to the Special Issue Aquatic Plant Ecology: Biodiversity and Ecological Processes)
Show Figures

Figure 1

23 pages, 14372 KB  
Article
Phytoplankton Diversity and Co-Dependency in a Stratified Oligotrophic Ecosystem in the South Adriatic Sea
by Antonija Matek, Maja Mucko, Raffaella Casotti, Anna Chiara Trano, Eric P. Achterberg, Hrvoje Mihanović, Hrvoje Čižmek, Barbara Čolić, Vlado Cuculić and Zrinka Ljubešić
Water 2023, 15(12), 2299; https://doi.org/10.3390/w15122299 - 20 Jun 2023
Cited by 11 | Viewed by 3987
Abstract
The oligotrophy of the southern Adriatic Sea is characterized by seasonal stratification which enables nutrient supply to the euphotic layer. A set of interdisciplinary methods was used to elucidate the diversity and co-dependency of bacterio- and phytoplankton of the water column during the [...] Read more.
The oligotrophy of the southern Adriatic Sea is characterized by seasonal stratification which enables nutrient supply to the euphotic layer. A set of interdisciplinary methods was used to elucidate the diversity and co-dependency of bacterio- and phytoplankton of the water column during the stratification period of July 2021. A total of 95 taxa were determined by microscopy: 58 diatoms, 27 dinoflagellates, 6 coccolithophores, and 4 other autotrophs, which included Chlorophyceae, Chrysophyceae, and Cryptophytes. Nanophytoplankton abundances were higher in comparison to microphytoplankton. The prokaryotic plankton community as revealed by HTS was dominated by Proteobacteria (41–73%), Bacteroidota (9.5–27%), and cyanobacteria (1–10%), while the eukaryotic plankton community was composed of parasitic Syndiniales (45–80%), Ochrophyta (2–18%), Ciliophora (2–21%), Chlorophytes (2–4%), Haptophytes (1–4%), Bacillariophyta (1–13%), Pelagophyta (0.5–12%) and Chrysophyta (0.5–3%). Flow cytometry analysis has recorded Prochlorococcus and photosynthetic picoeukaryotes as more abundant in deep chlorophyll maximum (DCM), and Synechococcus and heterotrophic bacteria as most abundant in surface and thermocline layers. Surface, thermocline, and DCM layers were distinct considering community diversity, temperature, and nutrient correlations, while extreme nutrient values at the beginning of the investigating period indicated a possible nutrient flux. Nutrient and temperature were recognized as the main environmental drivers of phytoplankton and bacterioplankton community abundance. Full article
(This article belongs to the Special Issue Marine Phytoplankton Diversity)
Show Figures

Figure 1

14 pages, 2936 KB  
Article
Morphological and Molecular Characterizations of Three Species of the Genus Synura (Synurales, Chrysophyceae) from China
by Junxue Hao, Fangru Nan, Junping Lv, Qi Liu, Xudong Liu, Shulian Xie and Jia Feng
Diversity 2022, 14(12), 1092; https://doi.org/10.3390/d14121092 - 9 Dec 2022
Cited by 1 | Viewed by 3973
Abstract
Three species of the genus Synura from China are described here. Morphological observations and molecular phylogenetic analyses were conducted for three specimens collected at different locations in China. The described morphological features included cell size, scale size, spines, keels, and struts. Molecular analyses [...] Read more.
Three species of the genus Synura from China are described here. Morphological observations and molecular phylogenetic analyses were conducted for three specimens collected at different locations in China. The described morphological features included cell size, scale size, spines, keels, and struts. Molecular analyses based on multiple genetic markers (SSU and LSU rDNA and internal transcribed spacer rDNA) were used to determine the phylogenetic positions of the three Synura species. Morphologically, specimen GZ201017 collected in Guizhou Province was characterized by a well-developed keel and lanceolate scales; specimen SX210304 collected in Shanxi Province was characterized by a less-developed keel and poor silicification; and specimen GD201126 collected in Guangdong Province was characterized mainly by spines with blunt ends or two small teeth on the tips. The morphotypes GZ201017, SX210304, and GD201126 corresponded to the original descriptions of Synura petersenii, S. glabra, and S. longitubularis, respectively. This discovery laid a foundation for the molecular phylogeny of the genus Synura and an enhanced understanding of Synura diversity and distribution in China. Full article
(This article belongs to the Special Issue Diversity and Ecology of Algae in China)
Show Figures

Figure 1

20 pages, 16339 KB  
Article
Phytoplankton Community Diversity and Its Environmental Driving Factors in the Northern South China Sea
by Wenqing Chen, Jie Gao, Zongjun Xu, Yantao Yan and Shimin Yang
Water 2022, 14(22), 3777; https://doi.org/10.3390/w14223777 - 21 Nov 2022
Cited by 8 | Viewed by 5089
Abstract
The South China Sea (SCS) plays an important role in global marine ecology. Studies of phytoplankton diversity promote the sustainable utilization of resources in the SCS. From July to August 2020, the phytoplankton community structure at 47 stations in the northern SCS was [...] Read more.
The South China Sea (SCS) plays an important role in global marine ecology. Studies of phytoplankton diversity promote the sustainable utilization of resources in the SCS. From July to August 2020, the phytoplankton community structure at 47 stations in the northern SCS was investigated. Species composition and distribution of phytoplankton, water quality, diversity index, main influencing factors, and succession characteristics of the community structure were analyzed in combination with the survey results from previous years. A total of 332 separate taxa from 83 genera and three phyla were identified, including 142 species and 45 genera of Bacillariophyta, 188 species and 36 genera of Dinophyta, and two species and two genera of Chrysophyta. Average phytoplankton cell abundance was 649.97 cells/L. Nitzschia spp., Thalassionema nitzschioides, and Scrippsiella spp. were the dominant species. Scrippsiella spp. was found for the first time as a dominant species in the northern SCS. Meanwhile, Nitzschia spp. was associated with organic-polluted water. The high-value areas of Nitzschia spp. also indicated eutrophication, and water was slightly polluted. The Shannon–Weiner diversity index of the surface layer was 0.99–4.56 (with a mean of 3.57), and the evenness index was 0.23–0.96 (with a mean of 0.83). The phytoplankton community structure in the northern SCS was deemed to be stable. Pearson correlation analysis showed that the sum of nitrate and nitrite was significantly negatively correlated with the abundance of dinoflagellate, which indicated restrictions as a result of the sum of nitrate and nitrite, with no significant correlation between ammonium salt and various groups. Small- and medium-sized phytoplankton are usually dominant in the SCS, where nitrogen is limited. Full article
Show Figures

Figure 1

19 pages, 2589 KB  
Article
Phytoplankton Community Structure and Its Relationship with Environmental Factors in Nanhai Lake
by Donghui Gong, Ziqing Guo, Wenxue Wei, Jie Bi, Zhizhong Wang and Xiang Ji
Diversity 2022, 14(11), 927; https://doi.org/10.3390/d14110927 - 29 Oct 2022
Cited by 13 | Viewed by 4522
Abstract
In order to determine the characteristics of phytoplankton community structure in Nanhai Lake in Baotou City and its relationship with environmental factors, water and phytoplankton samples were collected and composition and biomass were investigated at six sites in the spring, summer, and autumn [...] Read more.
In order to determine the characteristics of phytoplankton community structure in Nanhai Lake in Baotou City and its relationship with environmental factors, water and phytoplankton samples were collected and composition and biomass were investigated at six sites in the spring, summer, and autumn of 2021. This article used correlation analysis and redundancy analysis (RDA) combined with the community turnover index (BC) to analyze the phytoplankton functional groups. The results showed that 7 phyla and 68 genera of phytoplankton were identified in the water body, of which Chlorophyta, Bacillariophyta, Cyanobacteria, Chrysophyta, Euglenophyta, Cryptophyta, and Pyrrophyta accounted for 34%, 32%, 16%, 6%, 4%, 4%, and 3%, respectively. The phytoplankton in the water body was classified into 23 functional groups, of which MP and D functional groups were the long−term dominant functional groups, indicating that the habitat is a turbid water body. The ecological state index (Q) value ranged from 1.94 to 3.13, with an average value of 2.74. The comprehensive nutritional index (TSIM(∑)) was between 49.32 and 52.11, with an average value of 51.72, indicating that Nanhai Lake was in a mesotrophic state. Correlation analysis and redundancy analysis (RDA) showed that multiple nutrients, transparency (SD), chemical oxygen demand (COD), water temperature (WT), and Chlorophyll a (Chl−a) were the main environmental factors affecting the biomass of dominant functional groups in the water body. The study showed the characteristics of the functional groups of algae in a precious urban lake in arid and semi−arid areas of China and their relationship with environmental factors (physical and chemical indicators, anions and cation ions, and heavy metal ions), and provided a scientific basis for its water quality evaluation. Full article
(This article belongs to the Special Issue Diversity and Ecology of Algae in China)
Show Figures

Figure 1

17 pages, 3600 KB  
Article
Feeding Selectivity of Ruditapes philippinarum on Phytoplankton
by Yin Liu, Lun Song, Guangjun Song, Jinhao Wu, Kun Wang, Zhaohui Wang and Suxuan Liu
Fishes 2022, 7(5), 222; https://doi.org/10.3390/fishes7050222 - 26 Aug 2022
Cited by 8 | Viewed by 3221
Abstract
A monthly survey of the feeding selectivity of Ruditapes philippinarum in the Yalu River Estuary in 2020–2021 was conducted using high-throughput sequencing identification and visual grading technology. The results showed that the most-dominant species in the water of the shellfish culture area and [...] Read more.
A monthly survey of the feeding selectivity of Ruditapes philippinarum in the Yalu River Estuary in 2020–2021 was conducted using high-throughput sequencing identification and visual grading technology. The results showed that the most-dominant species in the water of the shellfish culture area and in the stomachs of R. philippinarum was Karlodinium veneficum in those years. The selectivity index (E) indicated that R. philippinarum avoided consuming Bacillariophyta, Chrysophyta and Cryptophyta throughout the year and preferentially consumed Dinophyta and Chlorophyta. In 2020, the annual average biomass of Dinophyta, Bacillariophyta, Chlorophyta, Dictyochophyta, Cryptophyta and Chrysophyta in the stomach contents of R. philippinarum was 54:14:16:1:10:4; it was 41:12:28:0:1:17 in 2021. The annual average biomass ratio of picophytoplankton, nanophytoplankton and microphytoplankton in the stomachs of R. philippinarum was 13:48:39 in 2020; it was 14:66:20 in 2021. R. philippinarum actively fed on nanophytoplankton and avoided picophytoplankton. Among the phytoplankton of different sizes and groups that R. philippinarum prefer to feed, chemical oxygen demand (COD) and organic phosphorus (DOP) have a significant negative effect on the nanophytoplankton community, pH has a positive effect on the Dictyochophyta community and COD and the inorganic nitrogen to phosphorus ratio (DI-N/P) have a significant positive effect on the Chlorophyta community. Full article
Show Figures

Figure 1

21 pages, 12527 KB  
Article
Multivariate Statistical Analysis of the Phytoplankton Interactions with Physicochemical and Meteorological Parameters in Volcanic Crater Lakes from Azores
by João Lopes, Afonso Silva Pinto, Telmo Eleutério, Maria Gabriela Meirelles and Helena Cristina Vasconcelos
Water 2022, 14(16), 2548; https://doi.org/10.3390/w14162548 - 19 Aug 2022
Cited by 2 | Viewed by 3168
Abstract
This study aimed to identify the key factors influencing the phytoplankton development in four lakes on the island of São Miguel (Azores). We used a multivariate analysis of biological parameters (phytoplankton), physicochemical parameters, and meteorological data. Data were collected between 2003 and 2018 [...] Read more.
This study aimed to identify the key factors influencing the phytoplankton development in four lakes on the island of São Miguel (Azores). We used a multivariate analysis of biological parameters (phytoplankton), physicochemical parameters, and meteorological data. Data were collected between 2003 and 2018 in the volcanic Lakes of Sete Cidades (Green and Blue), Fogo, and Furnas. The ecosystems of these bodies of water are increasingly vulnerable to anthropogenic activities (increasing human pressure) as well as to changing climate patterns. This analysis is the first exploratory approach to this dataset to explore trends and patterns of evolution from a multivariate perspective. This approach is also intended to improve understanding of the conditions that favor the emergence of different Cyanobacterial divisions. For this purpose, several statistical and chemometric methods were used, such as analysis of variance (ANOVA) and principal component analysis (PCA). Multivariate models combining biological and meteorological data focused from 2010 to 2012. The results from the PCA models showed that the abundance of Bacillariophyta, Dinophyta, and Cryptophyta phyla are correlated and appear to be influenced by high levels of precipitation, evaporation, and wind speed. On the other hand, the Cyanophyta, Chlorophyta, and Chrysophyta phyla appear to be more correlated with high values of air temperature, water temperature, and radiation. Also, the Euglenophyta phylum appears to be associated with low levels of precipitation, evaporation and wind speed, and high temperatures. Finally, we can conclude that these lakes have endured physicochemical parameters over the past 15 years, meaning that the measures adopted to monitor and protect the lakes are effective. Full article
(This article belongs to the Special Issue Contribution of Carbon Dioxide from Water Bodies to the Atmosphere)
Show Figures

Graphical abstract

17 pages, 1618 KB  
Article
Spatio-Temporal Dynamics in Physico-Chemical Properties, Phytoplankton and Bacterial Diversity as an Indication of the Bovan Reservoir Water Quality
by Slobodan Zlatković, Olja Medić, Dragana Predojević, Ivan Nikolić, Gordana Subakov-Simić, Antonije Onjia, Tanja Berić and Slaviša Stanković
Water 2022, 14(3), 391; https://doi.org/10.3390/w14030391 - 27 Jan 2022
Cited by 9 | Viewed by 3965
Abstract
The study aimed to investigate the physico-chemical properties as well as phytoplankton and bacterial community diversity of Bovan Lake reservoir in Serbia to gain insight into the seasonal dynamic of water quality. All analyses were performed at three localities and water depths in [...] Read more.
The study aimed to investigate the physico-chemical properties as well as phytoplankton and bacterial community diversity of Bovan Lake reservoir in Serbia to gain insight into the seasonal dynamic of water quality. All analyses were performed at three localities and water depths in spring, summer, autumn, and winter 2019. Seven phytoplankton phyla comprising 139 taxa were detected at all three localities (Chlorophyta 58%, Bacillariophyta 14%, Cyanobacteria 9%, Chrysophyta 5%, Dinophyta 5%, Euglenophyta 5%, and Cryptophyta 4%). Winter 2019 was characterized by the presence of 36 unique species in all phyla except Euglenophyta. Bacterial diversity analyses showed that Proteobacteria, Actinobacteria, Bacteroidetes, Cyanobacteria, and Verrucomicrobia dominated the water intake locality at all three water depths (0.5, 10, and 20 m below the surface). In general, the physico-chemical parameters, phytoplankton, and bacterial community composition depended on the season and the water depth and showed that Bovan Lake was of satisfactory ecological status and water quality at all localities, and meets the needs for all intended purposes. Full article
(This article belongs to the Special Issue Microbial Ecology in Reservoirs and Lakes)
Show Figures

Figure 1

19 pages, 4685 KB  
Article
Size-Fractionated Filtration Combined with Molecular Methods Reveals the Size and Diversity of Picophytoplankton
by Xinze Shuwang, Jun Sun, Yuqiu Wei and Congcong Guo
Biology 2021, 10(12), 1280; https://doi.org/10.3390/biology10121280 - 6 Dec 2021
Cited by 2 | Viewed by 3318
Abstract
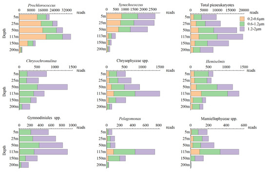
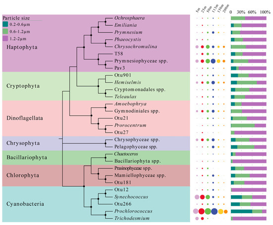
In this study, flow cytometry (FCM) and size-fractionated filtration, together with high-throughput molecular sequencing methods (SM), were used to investigate picophytoplankton. A particle separation filter and a higher-throughput sequencing method were used to evaluate the composition of a euphotic zone of picophytoplankton—especially picoeukaryotic [...] Read more.
In this study, flow cytometry (FCM) and size-fractionated filtration, together with high-throughput molecular sequencing methods (SM), were used to investigate picophytoplankton. A particle separation filter and a higher-throughput sequencing method were used to evaluate the composition of a euphotic zone of picophytoplankton—especially picoeukaryotic phytoplankton—in the Western Pacific, and the results of flow cytometry, which is a classic way to detect picophytoplankton, were used as a standard to evaluate the reliability of the results of the SMs. Within a water column of 200 m, six water depths (5, 25, 50, 113 (DCM), 150, and 200 m) were established. In order to further study the particle size spectra of the picophytoplankton, size-fractionated filtration was used to separate water samples from each water depth into three particle size ranges: 0.2–0.6, 0.6–1.2, and 1.2–2 μm. A total of 36 (6 × 3 × 2) samples were obtained through PCR amplification of the 18S rRNA V4 hypervariable region and 16S rRNA, which were biased toward phytoplankton plastids, and then high-throughput sequencing was performed. The estimation of the picophytoplankton diameter relied on forward scattering (FSC) through FCM. The estimation of the vertical distribution and diameter of the picophytoplankton using the SM was consistent with the results with FCM; thus, we believe that the estimation of picophytoplankton composition with the SM has value as a reference, although the size-fractionated filtration seemed to cause some deviations. In addition to Prochlorococcus and Synechococcus, the SM was used to evaluate the composition of picoeukaryotic phytoplankton, which mainly included Prymnesiophycea (Haptophyta) (38.15%), Cryptophyceae (Cryptophyta) (22.36%), Dictyochophyceae (Chrysophyta) (12.22%), and Mamiellophyceae (Chlorophyta) (3.31%). In addition, the SM also detected Dinophyceae (Dinoflagellata) (11.69%) sequences and a small number of Bacillariophyceae (Diatom) (1.64%) sequences, which are generally considered to have large particle sizes. The results of the SM also showed that the picoeukaryotic phytoplankton were not evenly distributed in the euphotic layer, and the vertical distributions of the different picoeukaryotic phytoplankton were different. An analysis of correlations with environmental factors showed that temperature was the main environmental factor controlling the vertical distribution of picophytoplankton. Full article
Show Figures

Figure 1

24 pages, 5018 KB  
Article
Preliminary Assessment of Ecological Status of the Siversky Donets River Basin (Ukraine) Based on Phytoplankton Parameters and Its Verification by Other Biological Data
by Olena Bilous, Sergey Afanasyev, Olena Lietytska, Oksana Manturova, Oleksandr Polishchuk, Inna Nezbrytska, Maryna Pohorielova and Sophia Barinova
Water 2021, 13(23), 3368; https://doi.org/10.3390/w13233368 - 29 Nov 2021
Cited by 8 | Viewed by 5347
Abstract
The river basin of Siversky Donets is of great scientific interest since this river runs through a territory with heavy industry (in particular, coal mining, chemical processing and metal industries). Within the basin, rivers of different sizes were explored (small, medium, large and [...] Read more.
The river basin of Siversky Donets is of great scientific interest since this river runs through a territory with heavy industry (in particular, coal mining, chemical processing and metal industries). Within the basin, rivers of different sizes were explored (small, medium, large and extra-large) that flow through siliceous and calcareous rocks on the same elevation (lowland—below 200 m a.s.l.). Phytoplankton, as one of the Biological Quality Element, was used to perform the assessment of ecological status of the water bodies within the Siversky Donets river basin in 2019. The state monitoring program based on the updated approaches has been implemented in the river basin for the first time. The composition of phytoplankton species in the basin comprised 167 species (168 intraspecies taxa), mainly Bacillariophyta (63%) and Chlorophyta (22%) with the presence of other species (Cyanobacteria, Charophyta, Chrysophyta, Dinophyta and Euglenophyta). High species diversity and divisions amount are a distinctive property of the smaller rivers, while the bigger rivers show lower number of divisions. The “bloom” events, which are important ecological factors, were not detected in the Siversky Donets river basin. Algal species composition in plankton samples of the basin was identified and series of ecological parameters, such as habitat preferences, temperature, pH, salinity, oxygenation and organic water pollution according to Watanabe and Sládeček’s index of saprobity (S) trophic state and nitrogen uptake metabolism were analyzed. The ecological conclusions were also verified by a canonical correspondence analysis (CCA). The significance of the Canonical Correspondence Analysis (CCA) results was estimated of by a Monte-Carlo permutation test. The high concentrations of inorganic phosphorus compounds (permanganate index (CODMn)) and nitrite ions favored the diversity of Chlorophyta and Cyanobacteria diversity correlated with the levels of bicarbonate and CODMn. High diversity of diatoms was facilitated by the total amount of dissolved solids and chemical oxygen demand (COD). It was found that low water quality could be associated with conditions leading to predominant growth of the mentioned groups of algae. According to the analysis, the highest water quality was characterized by balanced phytoplankton composition and optimal values of the environmental variables. The sites with reference conditions are proposed for future monitoring. Full article
(This article belongs to the Special Issue Assessment of Water Quality)
Show Figures

Figure 1

14 pages, 4145 KB  
Article
Effects of Ocean Currents in the Western Pacific Ocean on Net-Phytoplankton Community Compositions
by Zhuo Chen, Jun Sun, Dawei Chen, Shihao Wang, Hao Yu, Hongtao Chen and Min Wang
Diversity 2021, 13(9), 428; https://doi.org/10.3390/d13090428 - 5 Sep 2021
Cited by 19 | Viewed by 5843
Abstract
Phytoplankton are known as important harbingers of climate change in aquatic ecosystems. This study investigated phytoplankton community structure in the western Pacific Ocean (WPO) in 2017 and revealed the spatial variability of phytoplankton in community composition and abundance, as well as their relationship [...] Read more.
Phytoplankton are known as important harbingers of climate change in aquatic ecosystems. This study investigated phytoplankton community structure in the western Pacific Ocean (WPO) in 2017 and revealed the spatial variability of phytoplankton in community composition and abundance, as well as their relationship to physical processes and environmental factors. The phytoplankton community was mainly composed of Dinophyta (221), followed by Bacillariophyta (105), Cyanophyta (4), and Chrysophyta (2). The cyanobacteria Trichodesmium were the dominants throughout the study period. Correlation analysis showed that dinoflagellates were mainly affected by temperature, while diatoms were significantly correlated with nutrients (silicate, phosphate, nitrite, nitrate). Phytoplankton was divided into five groups by cluster analysis, and the distribution of different groups was related to circulation and hydrological characteristics. In contrast, the highest abundance of diatoms and dinoflagellates was found in the New Guinea Coastal Current (NGCC) region, while the highest abundance of cyanobacteria was found in the Northern Equatorial Counter Current (NECC) region. Overall, we found that not only temperature and salinity, but also ocean currents and nutrients, influence the distribution of phytoplankton communities in the WPO. Full article
(This article belongs to the Special Issue Linking Plankton Diversity with Ecosystem Functioning and Services)
Show Figures

Figure 1

Back to TopTop