Sign in to use this feature.

Years

Between: -

Subjects

remove_circle_outline
remove_circle_outline
remove_circle_outline
remove_circle_outline
remove_circle_outline
remove_circle_outline
remove_circle_outline
remove_circle_outline
remove_circle_outline

Journals

remove_circle_outline
remove_circle_outline
remove_circle_outline
remove_circle_outline
remove_circle_outline
remove_circle_outline
remove_circle_outline
remove_circle_outline
remove_circle_outline

Article Types

Countries / Regions

remove_circle_outline
remove_circle_outline
remove_circle_outline
remove_circle_outline
remove_circle_outline

Search Results (394)

Search Parameters:
Keywords = COSI

Order results
Result details
Results per page
Select all
Export citation of selected articles as:
19 pages, 4455 KB  
Article
Structural Elucidation of a Novel Pectic Polysaccharide from Zizyphus jujuba cv. Muzao, a Potential Natural Stabiliser
by Zheng Ye, Wenjing Wang, Yumei Li, Chun Yang and Kai Mao
Plants 2026, 15(1), 59; https://doi.org/10.3390/plants15010059 - 24 Dec 2025
Abstract
The pH of fruit and vegetable juices is usually around 4.0. To adapt to the pH of fruit and vegetable juices, we developed a highly branched pectin as a natural stabiliser, whose polarity is well suited to conditions under weakly acidic conditions. The [...] Read more.
The pH of fruit and vegetable juices is usually around 4.0. To adapt to the pH of fruit and vegetable juices, we developed a highly branched pectin as a natural stabiliser, whose polarity is well suited to conditions under weakly acidic conditions. The pectin content of jujube is high (about 2.0%), in which the polysaccharide content of Muzao (2.0–4.8%) is generally higher than the average value of the jujube. To separate the weak polar pectin in jujube, we extracted the crude polysaccharide (ZMP) with 4 times the volume of alcohol. Then we used Diethylaminoethyl (DEAE) cellulose (DEAE-52) ion-exchange chromatography to separate ZMP, and selected the fraction eluted with 0.2 M NaCl for gel purification to obtain ZMP2. After the hydrolysis of ZMP2 with TFA, four fractions, namely ZMP2n5, ZMP2y5, ZMP2n1, and ZMP2y1, were obtained. The purity, molecular weight, and monosaccharide composition of the above four fractions were determined. It was found that each fraction of ZMP2 contained large amounts of galacturonic acid (GalA) and glucuronic acid (GlcA), indicating that ZMP2 was most likely pectin, making it the natural, polar stabiliser we sought. To further determine the primary structure of ZMP2, we also performed FT-IR spectroscopy; methylation; one-dimensional mapping, including Proton Nuclear Magnetic Resonance (1H NMR), Carbon-13 Nuclear Magnetic Resonance (13C NMR) and Distortionless Enhancement by Polarization Transfer 135 (DEPT 135); and two-dimensional mapping, including Correlation Spectroscopy (1H-1H COSY), Heteronuclear Single Quantum Coherence (HSQC), Heteronuclear Multiple-Bond Correlation (HMBC), and Nuclear Overhauser Effect Spectroscopy (NOESY). In summary, the primary structure of ZMP2 should be as follows: the main chain is connected as →4)-α-D-GalAp-(1→3)-β-D-Galp-(1→, while the end glycosidic bonds of α-D-Galp-(1→ and α-L-Araf-(1→5)-α-L-Araf-(1→ are attached to the main chain by O-3 and O-6 bonds from →3,4)-α-D-GalAp-(1→ and →3,6)-β-D-GalAp-(1→, respectively. Full article
(This article belongs to the Special Issue Advances in Jujube Research, Second Edition)
Show Figures

Figure 1

27 pages, 5433 KB  
Article
Comprehensive Structural, Electronic, and Biological Characterization of fac-[Re(CO)3(5,6-epoxy-5,6-dihydro-1,10-phenanthroline)Br]: X-Ray, Aromaticity, Electrochemistry, and HeLa Cell Viability
by Alexander Carreño, Vania Artigas, Evys Ancede-Gallardo, Rosaly Morales-Guevara, Roxana Arce, Luis Leyva-Parra, Angel A. Martí, Camila Videla, María Carolina Otero and Manuel Gacitúa
Inorganics 2026, 14(1), 3; https://doi.org/10.3390/inorganics14010003 - 22 Dec 2025
Viewed by 27
Abstract
The rhenium(I) tricarbonyl complex fac-[Re(CO)3(5,6-epoxy-5,6-dihydro-1,10-phenanthroline)Br] (ReL) has previously demonstrated promising luminescent properties, enabling its direct application as a probe for walled cells such as Candida albicans and Salmonella enterica. In this new study, we present a significantly expanded and [...] Read more.
The rhenium(I) tricarbonyl complex fac-[Re(CO)3(5,6-epoxy-5,6-dihydro-1,10-phenanthroline)Br] (ReL) has previously demonstrated promising luminescent properties, enabling its direct application as a probe for walled cells such as Candida albicans and Salmonella enterica. In this new study, we present a significantly expanded and comprehensive characterization of ReL, incorporating a wide range of experimental and computational techniques not previously reported. These include variable-temperature 1H and 13C NMR spectroscopy, CH-COSY, single-crystal X-ray diffraction, Hirshfeld surface analysis, DFT calculations, Fukui functions, non-covalent interaction (NCI) indices, and electrochemical profiling. Structural analysis confirmed a pseudo-octahedral geometry with the bromide ligand positioned cis to the epoxy group. NMR data revealed the coexistence of cis and trans isomers in solution, with the trans form being slightly more stable. DFT calculations and aromaticity descriptors indicated minimal electronic differences between isomers, supporting their unified treatment in subsequent analyses. Electrochemical studies revealed two oxidation and two reduction events, consistent with ECE and EEC mechanisms, including a Re(I) → Re(0) transition at −1.50 V vs. SCE. Theoretical redox potentials showed strong agreement with experimental data. Biological assays revealed a dose-dependent cytotoxic effect on HeLa cells, contrasting with previously reported low toxicity in microbial systems. These findings, combined with ReL’s luminescent and antimicrobial properties, underscore its multifunctional nature and highlight its potential as a bioactive and imaging agent for advanced therapeutic and microbiological applications. Full article
(This article belongs to the Special Issue Biological Activity of Metal Complexes)
Show Figures

Figure 1

23 pages, 21889 KB  
Article
Multi-Stage Domain-Adapted 6D Pose Estimation of Warehouse Load Carriers: A Deep Convolutional Neural Network Approach
by Hisham ElMoaqet, Mohammad Rashed and Mohamed Bakr
Machines 2025, 13(12), 1126; https://doi.org/10.3390/machines13121126 - 8 Dec 2025
Viewed by 325
Abstract
Intelligent autonomous guided vehicles (AGVs) are of huge importance in facilitating the automation of load handling in the era of Industry 4.0. AGVs heavily rely on environmental perception, such as the 6D poses of objects, in order to execute complex tasks efficiently. Therefore, [...] Read more.
Intelligent autonomous guided vehicles (AGVs) are of huge importance in facilitating the automation of load handling in the era of Industry 4.0. AGVs heavily rely on environmental perception, such as the 6D poses of objects, in order to execute complex tasks efficiently. Therefore, estimating the 6D poses of objects in warehouses is crucial for proper load handling in modern intra-logistics warehouse environments. This study presents a deep convolutional neural network approach for estimating the pose of warehouse load carriers. Recognizing the paucity of labeled real 6D pose estimation data, the proposed approach uses only synthetic RGB warehouse data to train the network. Domain adaption was applied using a Contrastive Unpaired Image-to-Image Translation (CUT) Network to generate domain-adapted training data that can bridge the domain gap between synthetic and real environments and help the model generalize better over realistic scenes. In order to increase the detection range, a multi-stage refinement detection pipeline is developed using consistent multi-view multi-object 6D pose estimation (CosyPose) networks. The proposed framework was tested with different training scenarios, and its performance was comprehensively analyzed and compared with a state-of-the-art non-adapted single-stage pose estimation approach, showing an improvement of up to 80% on the ADD-S AUC metric. Using a mix of adapted and non-adapted synthetic data along with splitting the state space into multiple refiners, the proposed approach achieved an ADD-S AUC performance greater than 0.81 over a wide detection range, from one and up to five meters, while still being trained on a relatively small synthetic dataset for a limited number of epochs. Full article
(This article belongs to the Special Issue Industry 4.0: Intelligent Robots in Smart Manufacturing)
Show Figures

Figure 1

7 pages, 743 KB  
Short Note
1-[4-(4-Chlorophenyl)piperazin-1-yl]-2-[(4-phenyl-4H-1,2,4-triazol-3-yl)sulfanyl]ethan-1-one
by Wiktoria Drzał, Jarosław Sobstyl and Nazar Trotsko
Molbank 2025, 2025(4), M2097; https://doi.org/10.3390/M2097 - 2 Dec 2025
Viewed by 199
Abstract
Heterocyclic systems such as 1,2,4-triazoles and piperazines play an important role in modern medicinal chemistry due to their structural diversity and broad spectrum of biological activities. In this Short Note, we report the synthesis and spectroscopic characterization of a new hybrid molecule combining [...] Read more.
Heterocyclic systems such as 1,2,4-triazoles and piperazines play an important role in modern medicinal chemistry due to their structural diversity and broad spectrum of biological activities. In this Short Note, we report the synthesis and spectroscopic characterization of a new hybrid molecule combining both pharmacophoric fragments: 1-[4-(4-chlorophenyl)piperazin-1-yl]-2-[(4-phenyl-4H-1,2,4-triazol-3-yl)sulfanyl]ethan-1-one (compound 3). The compound was obtained in 70% yield via S-alkylation of 4-phenyl-1,2,4-triazole-3-thione with a chloroacetyl derivative of 4-chlorophenylpiperazine under alkaline conditions. The structure of 3 was confirmed by 1H and 13C NMR spectroscopy, DEPT-135, 2D NMR (COSY, NOESY, HSQC, HMBC), FT-IR, and elemental analysis. These results support the utility of combining triazole and piperazine fragments in the design of new heterocyclic frameworks with potential biological relevance. Full article
Show Figures

Figure 1

24 pages, 4509 KB  
Article
Ornamental Plant Diversity and Traditional Uses in Home Gardens of Kham Toei Sub-District, Thai Charoen District, Yasothon Province, Northeastern Thailand
by Piyaporn Saensouk, Surapon Saensouk, Khamfa Chanthavongsa, Phiphat Sonthongphithak and Tammanoon Jitpromma
Diversity 2025, 17(12), 822; https://doi.org/10.3390/d17120822 - 27 Nov 2025
Cited by 2 | Viewed by 335
Abstract
Ornamental plants in rural household gardens provide esthetic, cultural, and practical value, yet their ethnobotanical and ethnopharmacological roles remain understudied. This study aimed to identify culturally significant ornamental species in Kham Toei Sub-district, Northeastern Thailand, document their multifunctional uses—including esthetic, ritual, edible, and [...] Read more.
Ornamental plants in rural household gardens provide esthetic, cultural, and practical value, yet their ethnobotanical and ethnopharmacological roles remain understudied. This study aimed to identify culturally significant ornamental species in Kham Toei Sub-district, Northeastern Thailand, document their multifunctional uses—including esthetic, ritual, edible, and medicinal roles—and examine how availability, perceived utility, and cultural context influence local valuations. Field surveys were conducted between June 2024 to May 2025 using purposive sampling to select 30 households, and semi-structured interviews were conducted with one primary informant per household. A total of 81 species from 36 families and 66 genera were recorded, dominated by herbaceous plants (53%), with introduced species (74%) exceeding natives (24%). Quantitative indices—Cultural Ornamental Significance Index (COSI), Fidelity Level (FL), and Informant Consensus Factor (FIC)—identified Aloe vera (L.) Burm.f., Cassia fistula L., Curcuma longa L., and Zingiber officinale Roscoe as culturally important species. High FL values, such as 80.00% for Jatropha podagrica Hook. (musculoskeletal use) and Tradescantia spathacea Sw. (gastrointestinal use), along with FIC of 0.83 for eye disorders, indicate strong community agreement on therapeutic applications. These findings demonstrate that ornamental plants support household healthcare, rituals, and ecological functions, reinforcing biocultural resilience and sustaining the integration of cultural, ecological, and medicinal values in community life. Full article
(This article belongs to the Section Plant Diversity)
Show Figures

Figure 1

6 pages, 260 KB  
Proceeding Paper
A Novel Flavonoid Ester Derivative from the Ethyl Acetate Fraction of Nelsonia canescens: Isolation and Structural Elucidation Techniques
by Abubakar Abdulhameed Abdullahi, Dauda Garba, Yahaya Mohammed Sani and Mohammed Ibrahim Sule
Chem. Proc. 2025, 18(1), 20; https://doi.org/10.3390/ecsoc-29-26863 - 12 Nov 2025
Viewed by 138
Abstract
The increasing resistance of pathogens to conventional antibiotics has necessitated the search for novel antimicrobial agents from medicinal plants. Nelsonia canescens—a plant traditionally used in Africa and Asia for the management of health issues, such as viral infections, cardiovascular diseases, and inflammation—has [...] Read more.
The increasing resistance of pathogens to conventional antibiotics has necessitated the search for novel antimicrobial agents from medicinal plants. Nelsonia canescens—a plant traditionally used in Africa and Asia for the management of health issues, such as viral infections, cardiovascular diseases, and inflammation—has been reported to demonstrate antimicrobial activity and has been investigated for its bioactive constituents. The whole plant was collected, air-dried, and extracted using 70% methanol. The crude methanol extract was partitioned into hexane, chloroform, ethyl acetate, and butanol fractions. The ethyl acetate fraction was subjected to column chromatography and gel filtration, leading to the isolation of a compound coded A1. The structure of compound A1 was established through UV, FTIR, NMR (1H, 13C, DEPT, COSY, HMQC, and HMBC), and chemical tests. Compound A1 was identified as a 2*-hydroxy-4*-phenyl-(2**-hydroxy-ethyl)-3′-(4′′′→1′′) glucose-rhamnose-3-hydroxy phenyl ester, a flavonoid derivative. A spectral analysis confirmed its structure, with key signals including olefinic protons (δ 6.30 and 7.62) in the trans-configuration, aromatic protons, and sugar moieties. The compound exhibited a melting point of 105–107 °C and was partially soluble in chloroform but fully soluble in methanol, suggesting that the compound is highly polar in nature. This is the first report on the isolation of the 2*-hydroxy-4*-phenyl-(2**-hydroxy-ethyl)-3′-(4′′′→1′′) glucose-rhamnose-3-hydroxy phenyl ester from Nelsonia canescens, contributing to the taxonomy of the plant. The compound’s structural features suggest potential bioactive properties, warranting further investigation into its pharmacological applications through in vitro and molecular docking studies. Full article
Show Figures

Figure 1

853 KB  
Proceeding Paper
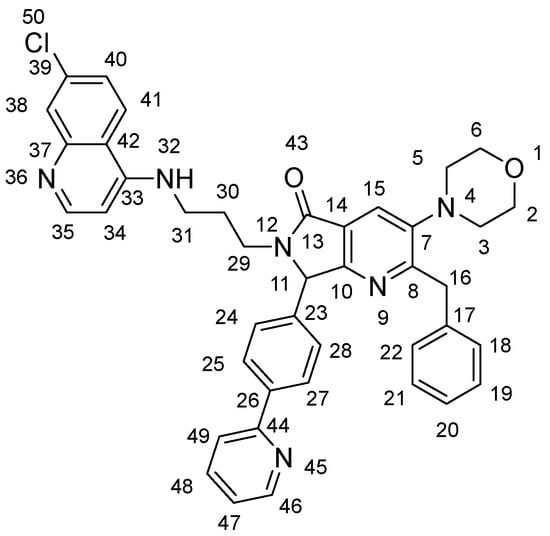
Multicomponent Synthesis of the New Compound 2-Benzyl-6-(3-((7-chloroquinolin-4-yl)amino)propyl)-3-morpholino-7-(4-pyridin-2-yl)phenyl)-6,7-dihidro-5H-pyrrolo[3,4-b]pyridin-5-one
by Roberto E. Blanco-Carapia, Rodolfo Alonso-Pérez, Alejandro Islas-Jácome and Eduardo Gonzalez-Zamora
Chem. Proc. 2025, 18(1), 93; https://doi.org/10.3390/ecsoc-29-26676 - 11 Nov 2025
Abstract
The combination of multicomponent reactions with post-transformation processes is a powerful strategy for the rapid synthesis of structurally complex polyheterocycles. Herein, we describe the preparation of the novel compound 2-benzyl-6-(3-((7-chloroquinolin-4-yl)amino)propyl)-3-morpholino-7-(4-(pyridin-2-yl)phenyl)-6,7-dihydro-5H-pyrrolo[3,4-b]pyridin-5-one via a sequence that combines an Ugi-Zhu reaction with [...] Read more.
The combination of multicomponent reactions with post-transformation processes is a powerful strategy for the rapid synthesis of structurally complex polyheterocycles. Herein, we describe the preparation of the novel compound 2-benzyl-6-(3-((7-chloroquinolin-4-yl)amino)propyl)-3-morpholino-7-(4-(pyridin-2-yl)phenyl)-6,7-dihydro-5H-pyrrolo[3,4-b]pyridin-5-one via a sequence that combines an Ugi-Zhu reaction with a cascade process (aza-Diels–Alder/N-acylation/aromatization) under microwave irradiation in chlorobenzene using ytterbium (III) triflate (Yb(OTf)3) as the catalyst. The method provided the target polyheterocycle in 75% yield and 85% atom economy. Structural characterization was performed by 1D (1H and 13C) and 2D (COSY, HSQC and HMBC) NMR spectroscopy, and the molecular mass was confirmed by high-resolution mass spectrometry (HRMS). These results illustrate the effectiveness of MCR as powerful synthetic tools for expanding chemical diversity. Full article
Show Figures

Figure 1

6 pages, 912 KB  
Proceeding Paper
N′-Substituted 2-Aminoacetanilides as Precursors for New 1,4-Benzodiazepin-2-Ones: Synthesis and Structural Study
by Ezequiel Parisi, Gabriel Pulero, Maricel Caputo, Sergio Laurella and Leandro Sasiambarrena
Chem. Proc. 2025, 18(1), 6; https://doi.org/10.3390/ecsoc-29-26682 - 11 Nov 2025
Viewed by 131
Abstract
In this study, N′-substituted 2-aminoacetanilides were synthesised as precursors of pharmacologically relevant 1,4-benzodiazepin-2-ones. The synthetic route comprised two steps: preparation of 2-chloroacetanilides from substituted anilines and subsequent nucleophilic substitution with primary amines. Structural characterisation was performed by NMR spectroscopy (1H, [...] Read more.
In this study, N′-substituted 2-aminoacetanilides were synthesised as precursors of pharmacologically relevant 1,4-benzodiazepin-2-ones. The synthetic route comprised two steps: preparation of 2-chloroacetanilides from substituted anilines and subsequent nucleophilic substitution with primary amines. Structural characterisation was performed by NMR spectroscopy (1H, 13C, HSQC, COSY), which revealed a single set of resonances, consistent with the predominance of only one rotamer in solution. DFT calculations enabled geometry optimisation and evaluation of relative rotamer energies. Correlation of theoretical and experimental chemical shifts through the DP4+ statistical method provided reliable support for the structural assignments, reinforcing the experimental findings and ensuring the robustness of the proposed structures. Full article
Show Figures

Figure 1

10 pages, 939 KB  
Article
Cembrane-Based Diterpenoids Isolated from the Soft Coral Sarcophyton sp.
by Yueping Wang, Xiaohui Li, Yusen Guo, Te Li, Xia Yan, Han Ouyang, Wenhan Lin, Bin Wu, Hongyu Hu and Shan He
Mar. Drugs 2025, 23(11), 422; https://doi.org/10.3390/md23110422 - 30 Oct 2025
Viewed by 691
Abstract
This research explored the chemical composition of the soft coral Sarcophyton sp., leading to the discovery of six previously unreported cembranoids, sarcophynoids D–I (16), and three known analog compounds (79). Structural elucidation of the new [...] Read more.
This research explored the chemical composition of the soft coral Sarcophyton sp., leading to the discovery of six previously unreported cembranoids, sarcophynoids D–I (16), and three known analog compounds (79). Structural elucidation of the new metabolites was achieved by spectroscopic methods, including one- and two-dimensional (1D and 2D) NMR (COSY, HSQC and HMBC), high-resolution electrospray ionization mass spectrometry (HRESIMS), quantum mechanical NMR (QM-NMR) methods, electronic circular dichroism (ECD) calculations, and comparison with literature data. All isolated substances were screened for antibacterial activities, and most exhibited moderate inhibitory effects against six pathogenic bacterial strains, with MIC values between 8 and 64 μg/mL. In addition, the effects of these compounds on LPS and IFN-γ stimulated RAW264.7 cells, focused on the release of NO and TNF-α, were also evaluated, but were inactive at 20 μM. Full article
(This article belongs to the Special Issue Marine Natural Products with Antimicrobial Activity)
Show Figures

Graphical abstract

32 pages, 16609 KB  
Article
NMR, FT-IR, XRD, SEM, and ANN Complex Characterization of Some Nonwoven Materials Produced by Electrospinning
by Ramona Crainic, Petru Pășcuță, Florin Popa and Radu Fechete
Materials 2025, 18(21), 4893; https://doi.org/10.3390/ma18214893 - 25 Oct 2025
Viewed by 890
Abstract
Electrospinning is a versatile technique used to manufacture nanofibers by applying an electric field to a polymer solution. This method has gained significant interest in the biomedical, pharmaceutical, and materials engineering fields due to its ability to produce porous structures with a high [...] Read more.
Electrospinning is a versatile technique used to manufacture nanofibers by applying an electric field to a polymer solution. This method has gained significant interest in the biomedical, pharmaceutical, and materials engineering fields due to its ability to produce porous structures with a high specific surface area, making it ideal for applications such as wound dressings, controlled drug delivery systems, and tissue engineering. The materials used in electrospinning play a crucial role in determining the final properties of the obtained nonwoven nanofibers. Among the most studied substances are chitosan, collagen, and fish-derived gelatin, which are biopolymers with high biocompatibility. These materials are especially used in the medical and pharmaceutical fields due to their bioactive properties. In combination with synthetic polymers such as polyethylene glycol (PEG) and polyvinyl alcohol (PVA), these biopolymers can form electrospun fibers with improved mechanical characteristics and enhanced structural stability. The characterization of these materials was performed using modern characterization techniques, such as one-dimensional (1D) proton NMR spectroscopy (1H), for which the spin–spin relaxation time distributions T2 were characterized. Additionally, two-dimensional (2D) measurements were conducted, for which EXSY T2-T2 and COSY T1-T2 exchange maps were obtained. The characterization was complemented with FT-IR spectra measurements, and the nanofiber morphology was observed using SEM. As a novelty, machine learning methods, including artificial neural networks (ANNs), were applied to characterize the local structural order of the produced nanofibers. In this study, it was shown that the nanofiber nonwoven materials made from PVA are characterized by a degree of order in the range of 0.27 to 0.61, which are more ordered than the nanofibers made from chitosan and fish gelatin, characterized by an order degree ranging from 0.051 to 0.312, where 0 represents the completely unordered network and 1 a fully ordered fabric. Full article
(This article belongs to the Section Advanced Materials Characterization)
Show Figures

Graphical abstract

10 pages, 945 KB  
Communication
Development of New Amide Derivatives of Betulinic Acid: Synthetic Approaches and Structural Characterization
by Qinwei Xu, Yuhan Xie, Jin Qi, Zimo Ren, Carmine Coluccini and Paolo Coghi
Molbank 2025, 2025(4), M2072; https://doi.org/10.3390/M2072 - 13 Oct 2025
Cited by 1 | Viewed by 632
Abstract
In this study, we report the synthesis of three new derivatives of betulinic acid, a pentacyclic triterpenoid known for its antitumor activity. These derivatives were synthesized via amide bond formation at the C-28 position using 3-[(Ethylimino)methylidene]amino-N,N-dimethylpropan-1-amine (EDC)/Hydroxybenzotriazole (HOBt) activation [...] Read more.
In this study, we report the synthesis of three new derivatives of betulinic acid, a pentacyclic triterpenoid known for its antitumor activity. These derivatives were synthesized via amide bond formation at the C-28 position using 3-[(Ethylimino)methylidene]amino-N,N-dimethylpropan-1-amine (EDC)/Hydroxybenzotriazole (HOBt) activation and various amines as nucleophiles. The synthesized compounds were characterized by nuclear magnetic resonance (NMR) techniques, including proton (1H), carbon-13 (13C), COSY, HSQC, and DEPT, as well as ultraviolet–visible (UV-VIS) spectroscopy, Fourier-transform infrared (IR) and elemental analysis. This work highlights the potential of semi-synthetic modification of betulinic acid to enhance anticancer properties while addressing challenges in solubility and bioavailability. Further structural optimization and formulation studies are warranted to improve drug-like properties and therapeutic applicability. Full article
(This article belongs to the Section Organic Synthesis and Biosynthesis)
Show Figures

Figure 1

18 pages, 1611 KB  
Review
Blazars as Probes for Fundamental Physics
by Giorgio Galanti
Universe 2025, 11(10), 327; https://doi.org/10.3390/universe11100327 - 27 Sep 2025
Viewed by 369
Abstract
Blazars are a class of active galactic nuclei characterized by having one of their relativistic jets oriented close to our line of sight. Their broad emission spectrum makes them exceptional laboratories for probing fundamental physics. In this review, we explore the potential impact [...] Read more.
Blazars are a class of active galactic nuclei characterized by having one of their relativistic jets oriented close to our line of sight. Their broad emission spectrum makes them exceptional laboratories for probing fundamental physics. In this review, we explore the potential impact on blazar observations of three scenarios beyond the standard paradigm: (i) the hadron beam model, (ii) the interaction of photons with axion-like particles (ALPs), and (iii) Lorentz invariance violation. We focus on the very-high-energy spectral features these scenarios induce in the blazars Markarian 501 and 1ES 0229+200, making them ideal targets for testing such effects. Additionally, we examine ALP-induced effects on the polarization of UV-X-ray and high-energy photons from the blazar OJ 287. The unique signatures produced by these models are accessible to current and upcoming instruments—such as the ASTRI Mini Array, CTAO, LHAASO, IXPE, COSI, and AMEGO—offering new opportunities to probe and constrain fundamental physics through blazar observations. Full article
(This article belongs to the Special Issue Multi-wavelength Properties of Active Galactic Nuclei)
Show Figures

Figure 1

16 pages, 841 KB  
Article
Trends in the Prevalence of Overweight, Obesity and Severe Obesity in Primary School Children in Croatia from 2003 to 2022
by Sanja Musić Milanović, Lucija Sironić, Ana Pezo, Helena Križan, Vesna Jureša and Vera Musil
Children 2025, 12(10), 1299; https://doi.org/10.3390/children12101299 - 25 Sep 2025
Viewed by 717
Abstract
Background: Childhood obesity remains a significant public health challenge globally. Croatia ranks among the leading European countries in terms of childhood overweight and obesity prevalence. Methods: The present cross-sectional study analysed overweight and obesity prevalence trends from 2003 to 2022 on a nationally [...] Read more.
Background: Childhood obesity remains a significant public health challenge globally. Croatia ranks among the leading European countries in terms of childhood overweight and obesity prevalence. Methods: The present cross-sectional study analysed overweight and obesity prevalence trends from 2003 to 2022 on a nationally representative sample containing data from five studies, two independent studies and three WHO COSI rounds. Data from a total of 11,817 children aged 7.00–8.99 were analysed. Weight categories were defined using the IOTF and WHO cut-offs. Overweight and obesity prevalence rates and trends overall and by sex and region were calculated, and binary regression models applied to investigate the relationship between the risk of overweight and several variables. p-value < 0.05 was used to define statistical significance. Results: Temporal trends and associations were investigated using the IOTF reference values. The prevalence of overweight (including obesity) had increased steadily from 2003 to 2015, thereafter continuing to increase at a slower rate, whereas the prevalence of severe obesity reduced over time. Even though boys had slightly higher prevalence rates of overweight, the growth in overweight prevalence in girls over time was significant. At the regional level, the lowest prevalence rates were detected in the capital (City of Zagreb region). The risk of overweight was at least 50% higher in all the other regions in Croatia, and a rising trend in overweight risk with time was particularly high among children in the Adriatic and Northern regions. Conclusions: Despite a deceleration in the rate of increase in overweight (including obesity) prevalence, Croatia is yet to reach a plateau observed in some other European countries. Unearthed regional differences warrant further investigation. Full article
Show Figures

Graphical abstract

6 pages, 938 KB  
Short Note
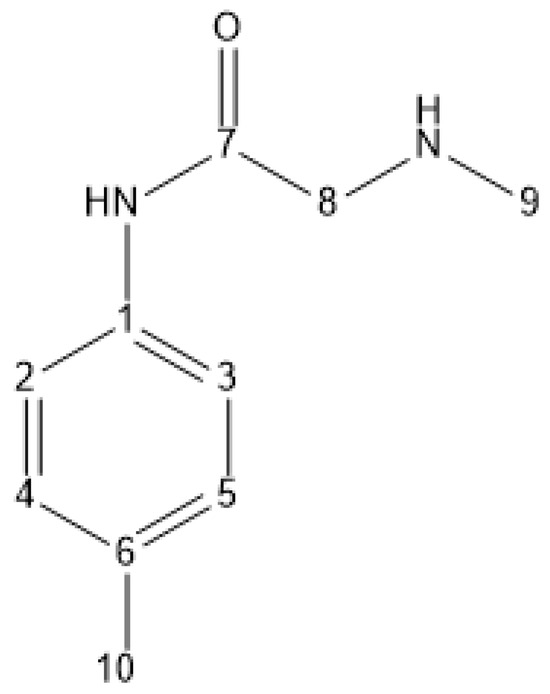
N-[(2H-1,3-benzodioxol-5-yl)methyl]-2-(2,2,2-trichloroacetamido)benzamide
by Plamen Penchev and Dimitar Stoitsov
Molbank 2025, 2025(3), M2052; https://doi.org/10.3390/M2052 - 25 Aug 2025
Viewed by 3457
Abstract
The structure of N-[(2H-1,3-benzodioxol-5-yl)methyl]-2-(2,2,2-trichloroacetamido)benzamide was verified by using a combination of 1D and 2D NMR techniques. Fully assigned data from 1D NMR (1H, 13C and DEPT 135) and 2D NMR (COSY, HMQC, HMBC) spectra was presented for [...] Read more.
The structure of N-[(2H-1,3-benzodioxol-5-yl)methyl]-2-(2,2,2-trichloroacetamido)benzamide was verified by using a combination of 1D and 2D NMR techniques. Fully assigned data from 1D NMR (1H, 13C and DEPT 135) and 2D NMR (COSY, HMQC, HMBC) spectra was presented for the compound. The 1H NMR spectrum of the ABX spin system in the benzodioxol moiety was simulated to predict the corresponding nJHH coupling constants. The spectral assignments for the structure were supported by interpretive library search and HOSE predictions. Full article
(This article belongs to the Section Structure Determination)
Show Figures

Figure 1

24 pages, 2450 KB  
Article
Synthesis and Characterization of a New Hydrogen-Bond-Stabilized 1,10-Phenanthroline–Phenol Schiff Base: Integrated Spectroscopic, Electrochemical, Theoretical Studies, and Antimicrobial Evaluation
by Alexander Carreño, Evys Ancede-Gallardo, Ana G. Suárez, Marjorie Cepeda-Plaza, Mario Duque-Noreña, Roxana Arce, Manuel Gacitúa, Roberto Lavín, Osvaldo Inostroza, Fernando Gil, Ignacio Fuentes and Juan A. Fuentes
Chemistry 2025, 7(4), 135; https://doi.org/10.3390/chemistry7040135 - 21 Aug 2025
Cited by 1 | Viewed by 2270
Abstract
A new Schiff base, (E)-2-(((1,10-phenanthrolin-5-yl)imino)methyl)-4,6-di-tert-butylphenol (Fen-IHB), was designed to incorporate an intramolecular hydrogen bond (IHB) between the phenolic OH and the azomethine nitrogen with the goal of modulating its physicochemical and biological properties. Fen-IHB was synthesized by condensation of [...] Read more.
A new Schiff base, (E)-2-(((1,10-phenanthrolin-5-yl)imino)methyl)-4,6-di-tert-butylphenol (Fen-IHB), was designed to incorporate an intramolecular hydrogen bond (IHB) between the phenolic OH and the azomethine nitrogen with the goal of modulating its physicochemical and biological properties. Fen-IHB was synthesized by condensation of 5-amino-1,10-phenanthroline with 3,5-di-tert-butyl-2-hydroxybenzaldehyde and exhaustively characterized by HR-ESI-MS, FTIR, 1D/2D NMR (1H, 13C, DEPT-45, HH-COSY, CH-COSY, D2O exchange), and UV–Vis spectroscopy. Cyclic voltammetry in anhydrous CH3CN revealed a single irreversible cathodic peak at −1.43 V (vs. Ag/Ag+), which is consistent with the intramolecular reductive coupling of the azomethine moiety. Density functional theory (DFT) calculations, including MEP mapping, Fukui functions, dual descriptor analysis, and Fukui potentials with dual descriptor potential, identified the exocyclic azomethine carbon as the principal nucleophilic site and the phenolic ring (hydroxyl oxygen and adjacent carbons) as the main electrophilic region. Noncovalent interaction (NCI) analysis further confirmed the strength and geometry of the intramolecular hydrogen bond (IHB). In vitro antimicrobial assays indicated that Fen-IHB was inactive against Gram-negative facultative anaerobes (Salmonella enterica serovar Typhimurium and Typhi, Escherichia coli) and strictly anaerobic Gram-positive species (Clostridioides difficile, Roseburia inulinivorans, Blautia coccoides), as any growth inhibition was indistinguishable from the DMSO control. Conversely, Fen-IHB displayed measurable activity against Gram-positive aerobes and aerotolerant anaerobes, including Bacillus subtilis, Streptococcus pyogenes, Enterococcus faecalis, Staphylococcus aureus, and Staphylococcus haemolyticus. Overall, these comprehensive characterization results confirm the distinctive chemical and electronic properties of Fen-IHB, underlining the crucial role of the intramolecular hydrogen bond and electronic descriptors in defining its reactivity profile and selective biological activity. Full article
Show Figures

Figure 1

Back to TopTop