Sign in to use this feature.

Years

Between: -

Subjects

remove_circle_outline
remove_circle_outline
remove_circle_outline
remove_circle_outline
remove_circle_outline
remove_circle_outline
remove_circle_outline
remove_circle_outline

Journals

Article Types

Countries / Regions

Search Results (26)

Search Parameters:
Keywords = CCNN

Order results
Result details
Results per page
Select all
Export citation of selected articles as:
25 pages, 8211 KB  
Article
EMG-Spectrogram-Empowered CNN Stroke-Classifier Model Development
by Katherine, Riries Rulaningtyas and Kalaivani Chellappan
Life 2026, 16(1), 114; https://doi.org/10.3390/life16010114 - 13 Jan 2026
Viewed by 413
Abstract
Stroke is a leading cause of death and long-term disability worldwide, with ischemic stroke accounting for approximately 62.4% of all cases. This condition often results in persistent motor dysfunction, significantly reducing patients’ productivity. The effectiveness of rehabilitation therapy is crucial for post-stroke motor [...] Read more.
Stroke is a leading cause of death and long-term disability worldwide, with ischemic stroke accounting for approximately 62.4% of all cases. This condition often results in persistent motor dysfunction, significantly reducing patients’ productivity. The effectiveness of rehabilitation therapy is crucial for post-stroke motor recovery. However, limited access to rehabilitation services particularly in low- and middle-income countries remains a major barrier due to a shortage of experienced professionals. This challenge also affects home-based rehabilitation, an alternative to conventional therapy, which primarily relies on standard evaluation methods that are heavily dependent on expert interpretation. Electromyography (EMG) offers an objective and alternative approach to assessing muscle activity during stroke therapy in home environments. Recent advancements in deep learning (DL) have opened new avenues for automating the classification of EMG data, enabling differentiation between post-stroke patients and healthy individuals. This study introduces a novel methodology for transforming EMG signals into time–frequency representation (TFR) spectrograms, which serve as input for a convolutional neural network (CNN) model. The proposed Tri-CCNN model achieved the highest classification accuracy of 93.33%, outperforming both the Shallow CNN and the classic LeNet-5 architecture. Furthermore, an in-depth analysis of spectrogram amplitude distributions revealed distinct patterns in stroke patients, demonstrating the method’s potential for objective stroke assessment. These findings suggest that the proposed approach could serve as an effective tool for enhancing stroke classification and rehabilitation procedures, with significant implications for automating rehabilitation monitoring in home-based rehabilitation (HBR) settings. Full article
(This article belongs to the Special Issue Etiology, Prediction and Prognosis of Ischemic Stroke)
Show Figures

Figure 1

28 pages, 2869 KB  
Article
Enhancing Medical Image Segmentation and Classification Using a Fuzzy-Driven Method
by Akmal Abduvaitov, Abror Shavkatovich Buriboev, Djamshid Sultanov, Shavkat Buriboev, Ozod Yusupov, Kilichov Jasur and Andrew Jaeyong Choi
Sensors 2025, 25(18), 5931; https://doi.org/10.3390/s25185931 - 22 Sep 2025
Cited by 1 | Viewed by 2457
Abstract
Automated analysis for tumor segmentation and illness classification is hampered by the noise, low contrast, and ambiguity that are common in medical pictures. This work introduces a new 12-step fuzzy-based improvement pipeline that uses fuzzy entropy, fuzzy standard deviation, and histogram spread functions [...] Read more.
Automated analysis for tumor segmentation and illness classification is hampered by the noise, low contrast, and ambiguity that are common in medical pictures. This work introduces a new 12-step fuzzy-based improvement pipeline that uses fuzzy entropy, fuzzy standard deviation, and histogram spread functions to enhance picture quality in CT, MRI, and X-ray modalities. The pipeline produces three improved versions per dataset, lowering BRISQUE scores from 28.8 to 21.7 (KiTS19), 30.3 to 23.4 (BraTS2020), and 26.8 to 22.1 (Chest X-ray). It is tested on KiTS19 (CT) for kidney tumor segmentation, BraTS2020 (MRI) for brain tumor segmentation, and Chest X-ray Pneumonia for classification. A Concatenated CNN (CCNN) uses the improved datasets to achieve a Dice coefficient of 99.60% (KiTS19, +2.40% over baseline), segmentation accuracy of 0.983 (KiTS19) and 0.981 (BraTS2020) versus 0.959 and 0.943 (CLAHE), and classification accuracy of 0.974 (Chest X-ray) versus 0.917 (CLAHE). A classic CNN is trained on original and CLAHE-filtered datasets. These outcomes demonstrate how well the pipeline works to improve image quality and increase segmentation/classification accuracy, offering a foundation for clinical diagnostics that is both scalable and interpretable. Full article
Show Figures

Figure 1

14 pages, 653 KB  
Article
Bipartite Synchronization of Cooperation–Competition Neural Networks Using Asynchronous Sampling Scheme
by Shuxian Fan, Yongjie Shi and Zhongliang Wei
Axioms 2025, 14(8), 625; https://doi.org/10.3390/axioms14080625 - 11 Aug 2025
Viewed by 624
Abstract
This paper investigates the bipartite synchronization problem for cooperation–competition neural networks (CCNNs) under asynchronous sampling control. First, using signed graph theory to characterize the interrelationships between cooperation and competition, a mathematical model for cooperative–competitive neural networks is established. To formulate the error systems [...] Read more.
This paper investigates the bipartite synchronization problem for cooperation–competition neural networks (CCNNs) under asynchronous sampling control. First, using signed graph theory to characterize the interrelationships between cooperation and competition, a mathematical model for cooperative–competitive neural networks is established. To formulate the error systems of such networks, a Laplacian matrix with zero row sum is derived through coordinate transformation techniques. Considering network complexity and deception attack impacts, an asynchronous sampling-based secure control scheme is designed while preserving performance guarantees. By relaxing positive definiteness constraints, a class of looped functionals is introduced. State norm estimations are utilized to derive criteria for achieving bipartite synchronization. The feedback gain matrices of the asynchronous sampling controller are obtained by solving linear matrix inequalities. Finally, numerical simulations validate the effectiveness of the proposed method. Full article
(This article belongs to the Section Mathematical Analysis)
Show Figures

Figure 1

17 pages, 8512 KB  
Article
Interactive Holographic Display System Based on Emotional Adaptability and CCNN-PCG
by Yu Zhao, Zhong Xu, Ting-Yu Zhang, Meng Xie, Bing Han and Ye Liu
Electronics 2025, 14(15), 2981; https://doi.org/10.3390/electronics14152981 - 26 Jul 2025
Viewed by 1644
Abstract
Against the backdrop of the rapid advancement of intelligent speech interaction and holographic display technologies, this paper introduces an interactive holographic display system. This paper applies 2D-to-3D technology to acquisition work and uses a Complex-valued Convolutional Neural Network Point Cloud Gridding (CCNN-PCG) algorithm [...] Read more.
Against the backdrop of the rapid advancement of intelligent speech interaction and holographic display technologies, this paper introduces an interactive holographic display system. This paper applies 2D-to-3D technology to acquisition work and uses a Complex-valued Convolutional Neural Network Point Cloud Gridding (CCNN-PCG) algorithm to generate a computer-generated hologram (CGH) with depth information for application in point cloud data. During digital human hologram building, 2D-to-3D conversion yields high-precision point cloud data. The system uses ChatGLM for natural language processing and emotion-adaptive responses, enabling multi-turn voice dialogs and text-driven model generation. The CCNN-PCG algorithm reduces computational complexity and improves display quality. Simulations and experiments show that CCNN-PCG enhances reconstruction quality and speeds up computation by over 2.2 times. This research provides a theoretical framework and practical technology for holographic interactive systems, applicable in virtual assistants, educational displays, and other fields. Full article
(This article belongs to the Special Issue Artificial Intelligence, Computer Vision and 3D Display)
Show Figures

Figure 1

18 pages, 575 KB  
Article
A Deep Learning Method of Credit Card Fraud Detection Based on Continuous-Coupled Neural Networks
by Yanxi Wu, Liping Wang, Hongyu Li and Jizhao Liu
Mathematics 2025, 13(5), 819; https://doi.org/10.3390/math13050819 - 28 Feb 2025
Cited by 11 | Viewed by 9630
Abstract
With the widespread use of credit cards in online and offline transactions, credit card fraud has become a significant challenge in the financial sector. The rapid advancement of payment technologies has led to increasingly sophisticated fraud techniques, necessitating more effective detection methods. While [...] Read more.
With the widespread use of credit cards in online and offline transactions, credit card fraud has become a significant challenge in the financial sector. The rapid advancement of payment technologies has led to increasingly sophisticated fraud techniques, necessitating more effective detection methods. While machine learning has been extensively applied in fraud detection, the application of deep learning methods remains relatively limited. Inspired by brain-like computing, this work employs the Continuous-Coupled Neural Network (CCNN) for credit card fraud detection. Unlike traditional neural networks, the CCNN enhances the representation of complex temporal and spatial patterns through continuous neuron activation and dynamic coupling mechanisms. Using the Kaggle Credit Card Fraud Detection (CCFD) dataset, we mitigate data imbalance via the Synthetic Minority Oversampling Technique (SMOTE) and transform sample feature vectors into matrices for training. Experimental results show that our method achieves an accuracy of 0.9998, precision of 0.9996, recall of 1.0000, and an F1-score of 0.9998, surpassing traditional machine learning models, which highlight CCNN’s potential to enhance the security and efficiency of fraud detection in the financial industry. Full article
Show Figures

Figure 1

23 pages, 4902 KB  
Article
Concatenated CNN-Based Pneumonia Detection Using a Fuzzy-Enhanced Dataset
by Abror Shavkatovich Buriboev, Dilnoz Muhamediyeva, Holida Primova, Djamshid Sultanov, Komil Tashev and Heung Seok Jeon
Sensors 2024, 24(20), 6750; https://doi.org/10.3390/s24206750 - 21 Oct 2024
Cited by 14 | Viewed by 4053
Abstract
Pneumonia is a form of acute respiratory infection affecting the lungs. Symptoms of viral and bacterial pneumonia are similar. Rapid diagnosis of the disease is difficult, since polymerase chain reaction-based methods, which have the greatest reliability, provide results in a few hours, while [...] Read more.
Pneumonia is a form of acute respiratory infection affecting the lungs. Symptoms of viral and bacterial pneumonia are similar. Rapid diagnosis of the disease is difficult, since polymerase chain reaction-based methods, which have the greatest reliability, provide results in a few hours, while ensuring high requirements for compliance with the analysis technology and professionalism of the personnel. This study proposed a Concatenated CNN model for pneumonia detection combined with a fuzzy logic-based image improvement method. The fuzzy logic-based image enhancement process is based on a new fuzzification refinement algorithm, with significantly improved image quality and feature extraction for the CCNN model. Four datasets, original and upgraded images utilizing fuzzy entropy, standard deviation, and histogram equalization, were utilized to train the algorithm. The CCNN’s performance was demonstrated to be significantly improved by the upgraded datasets, with the fuzzy entropy-added dataset producing the best results. The suggested CCNN attained remarkable classification metrics, including 98.9% accuracy, 99.3% precision, 99.8% F1-score, and 99.6% recall. Experimental comparisons showed that the fuzzy logic-based enhancement worked significantly better than traditional image enhancement methods, resulting in higher diagnostic precision. This study demonstrates how well deep learning models and sophisticated image enhancement techniques work together to analyze medical images. Full article
(This article belongs to the Special Issue Machine and Deep Learning in Sensing and Imaging)
Show Figures

Figure 1

16 pages, 1198 KB  
Article
CCNN-SVM: Automated Model for Emotion Recognition Based on Custom Convolutional Neural Networks with SVM
by Metwally Rashad, Doaa M. Alebiary, Mohammed Aldawsari, Ahmed A. El-Sawy and Ahmed H. AbuEl-Atta
Information 2024, 15(7), 384; https://doi.org/10.3390/info15070384 - 1 Jul 2024
Cited by 14 | Viewed by 3614
Abstract
The expressions on human faces reveal the emotions we are experiencing internally. Emotion recognition based on facial expression is one of the subfields of social signal processing. It has several applications in different areas, specifically in the interaction between humans and computers. This [...] Read more.
The expressions on human faces reveal the emotions we are experiencing internally. Emotion recognition based on facial expression is one of the subfields of social signal processing. It has several applications in different areas, specifically in the interaction between humans and computers. This study presents a simple CCNN-SVM automated model as a viable approach for FER. The model combines a Convolutional Neural Network for feature extraction, certain image preprocessing techniques, and Support Vector Machine (SVM) for classification. Firstly, the input image is preprocessed using face detection, histogram equalization, gamma correction, and resizing techniques. Secondly, the images go through custom single Deep Convolutional Neural Networks (CCNN) to extract deep features. Finally, SVM uses the generated features to perform the classification. The suggested model was trained and tested on four datasets, CK+, JAFFE, KDEF, and FER. These datasets consist of seven primary emotional categories, which encompass anger, disgust, fear, happiness, sadness, surprise, and neutrality for CK+, and include contempt for JAFFE. The model put forward demonstrates commendable performance in comparison to existing facial expression recognition techniques. It achieves an impressive accuracy of 99.3% on the CK+ dataset, 98.4% on the JAFFE dataset, 87.18% on the KDEF dataset, and 88.7% on the FER. Full article
(This article belongs to the Section Artificial Intelligence)
Show Figures

Figure 1

15 pages, 3788 KB  
Article
Wildfire Susceptibility Prediction Based on a CA-Based CCNN with Active Learning Optimization
by Qiuping Yu, Yaqin Zhao, Zixuan Yin and Zhihao Xu
Fire 2024, 7(6), 201; https://doi.org/10.3390/fire7060201 - 16 Jun 2024
Cited by 6 | Viewed by 1912
Abstract
Wildfires cause great losses to the ecological environment, economy, and people’s safety and belongings. As a result, it is crucial to establish wildfire susceptibility models and delineate fire risk levels. It has been proven that the use of remote sensing data, such as [...] Read more.
Wildfires cause great losses to the ecological environment, economy, and people’s safety and belongings. As a result, it is crucial to establish wildfire susceptibility models and delineate fire risk levels. It has been proven that the use of remote sensing data, such as meteorological and topographical data, can effectively predict and evaluate wildfire susceptibility. Accordingly, this paper converts meteorological and topographical data into fire-influencing factor raster maps for wildfire susceptibility prediction. The continuous convolutional neural network (CCNN for short) based on coordinate attention (CA for short) can aggregate different location information into channels of the network so as to enhance the feature expression ability; moreover, for different patches with different resolutions, the improved CCNN model does not need to change the structural parameters of the network, which improves the flexibility of the network application in different forest areas. In order to reduce the annotation of training samples, we adopt an active learning method to learn positive features by selecting high-confidence samples, which contributes to enhancing the discriminative ability of the network. We use fire probabilities output from the model to evaluate fire risk levels and generate the fire susceptibility map. Taking Chongqing Municipality in China as an example, the experimental results show that the CA-based CCNN model has a better classification performance; the accuracy reaches 91.7%, and AUC reaches 0.9487, which is 5.1% and 2.09% higher than the optimal comparative method, respectively. Furthermore, if an accuracy of about 86% is desired, our method only requires 50% of labeled samples and thus saves about 20% and 40% of the labeling efforts compared to the other two methods, respectively. Ultimately, the proposed model achieves the balance of high prediction accuracy and low annotation cost and is more helpful in classifying fire high warning zones and fire-free zones. Full article
Show Figures

Figure 1

14 pages, 1848 KB  
Article
A Convolutional Neural Network for SSVEP Identification by Using a Few-Channel EEG
by Xiaodong Li, Shuoheng Yang, Ningbo Fei, Junlin Wang, Wei Huang and Yong Hu
Bioengineering 2024, 11(6), 613; https://doi.org/10.3390/bioengineering11060613 - 15 Jun 2024
Cited by 9 | Viewed by 3889
Abstract
The application of wearable electroencephalogram (EEG) devices is growing in brain–computer interfaces (BCI) owing to their good wearability and portability. Compared with conventional devices, wearable devices typically support fewer EEG channels. Devices with few-channel EEGs have been proven to be available for steady-state [...] Read more.
The application of wearable electroencephalogram (EEG) devices is growing in brain–computer interfaces (BCI) owing to their good wearability and portability. Compared with conventional devices, wearable devices typically support fewer EEG channels. Devices with few-channel EEGs have been proven to be available for steady-state visual evoked potential (SSVEP)-based BCI. However, fewer-channel EEGs can cause the BCI performance to decrease. To address this issue, an attention-based complex spectrum–convolutional neural network (atten-CCNN) is proposed in this study, which combines a CNN with a squeeze-and-excitation block and uses the spectrum of the EEG signal as the input. The proposed model was assessed on a wearable 40-class dataset and a public 12-class dataset under subject-independent and subject-dependent conditions. The results show that whether using a three-channel EEG or single-channel EEG for SSVEP identification, atten-CCNN outperformed the baseline models, indicating that the new model can effectively enhance the performance of SSVEP-BCI with few-channel EEGs. Therefore, this SSVEP identification algorithm based on a few-channel EEG is particularly suitable for use with wearable EEG devices. Full article
(This article belongs to the Special Issue Neuroimaging Techniques for Wearable Devices in Bioengineering)
Show Figures

Graphical abstract

14 pages, 7610 KB  
Article
Infrared UAV Target Detection Based on Continuous-Coupled Neural Network
by Zhuoran Yang, Jing Lian and Jizhao Liu
Micromachines 2023, 14(11), 2113; https://doi.org/10.3390/mi14112113 - 18 Nov 2023
Cited by 23 | Viewed by 4330
Abstract
The task of the detection of unmanned aerial vehicles (UAVs) is of great significance to social communication security. Infrared detection technology has the advantage of not being interfered with by environmental and other factors and can detect UAVs in complex environments. Since infrared [...] Read more.
The task of the detection of unmanned aerial vehicles (UAVs) is of great significance to social communication security. Infrared detection technology has the advantage of not being interfered with by environmental and other factors and can detect UAVs in complex environments. Since infrared detection equipment is expensive and data collection is difficult, there are few existing UAV-based infrared images, making it difficult to train deep neural networks; in addition, there are background clutter and noise in infrared images, such as heavy clouds, buildings, etc. The signal-to-clutter ratio is low, and the signal-to-noise ratio is low. Therefore, it is difficult to achieve the UAV detection task using traditional methods. The above challenges make infrared UAV detection a difficult task. In order to solve the above problems, this work drew upon the visual processing mechanism of the human brain to propose an effective framework for UAV detection in infrared images. The framework first determines the relevant parameters of the continuous-coupled neural network (CCNN) through the image’s standard deviation, mean, etc. Then, it inputs the image into the CCNN, groups the pixels through iteration, then obtains the segmentation result through expansion and erosion, and finally, obtains the final result through the minimum circumscribed rectangle. The experimental results showed that, compared with the existing most-advanced brain-inspired image-understanding methods, this framework has the best intersection over union (IoU) (the intersection over union is the overlapping area between the predicted segmentation and the label divided by the joint area between the predicted segmentation and the label) in UAV infrared images, with an average of 74.79% (up to 97.01%), and can effectively realize the task of UAV detection. Full article
Show Figures

Figure 1

24 pages, 3114 KB  
Article
Vehicular Network Intrusion Detection Using a Cascaded Deep Learning Approach with Multi-Variant Metaheuristic
by Ankit Manderna, Sushil Kumar, Upasana Dohare, Mohammad Aljaidi, Omprakash Kaiwartya and Jaime Lloret
Sensors 2023, 23(21), 8772; https://doi.org/10.3390/s23218772 - 27 Oct 2023
Cited by 55 | Viewed by 4113
Abstract
Vehicle malfunctions have a direct impact on both human and road safety, making vehicle network security an important and critical challenge. Vehicular ad hoc networks (VANETs) have grown to be indispensable in recent years for enabling intelligent transport systems, guaranteeing traffic safety, and [...] Read more.
Vehicle malfunctions have a direct impact on both human and road safety, making vehicle network security an important and critical challenge. Vehicular ad hoc networks (VANETs) have grown to be indispensable in recent years for enabling intelligent transport systems, guaranteeing traffic safety, and averting collisions. However, because of numerous types of assaults, such as Distributed Denial of Service (DDoS) and Denial of Service (DoS), VANETs have significant difficulties. A powerful Network Intrusion Detection System (NIDS) powered by Artificial Intelligence (AI) is required to overcome these security issues. This research presents an innovative method for creating an AI-based NIDS that uses Deep Learning methods. The suggested model specifically incorporates the Self Attention-Based Bidirectional Long Short-Term Memory (SA-BiLSTM) for classification and the Cascaded Convolution Neural Network (CCNN) for learning high-level features. The Multi-variant Gradient-Based Optimization algorithm (MV-GBO) is applied to improve CCNN and SA-BiLSTM further to enhance the model’s performance. Additionally, information gained using MV-GBO-based feature extraction is employed to enhance feature learning. The effectiveness of the proposed model is evaluated on reliable datasets such as KDD-CUP99, ToN-IoT, and VeReMi, which are utilized on the MATLAB platform. The proposed model achieved 99% accuracy on all the datasets. Full article
(This article belongs to the Special Issue Vehicle-to-Everything (V2X) Communications II)
Show Figures

Figure 1

18 pages, 3156 KB  
Article
FB-CCNN: A Filter Bank Complex Spectrum Convolutional Neural Network with Artificial Gradient Descent Optimization
by Dongcen Xu, Fengzhen Tang, Yiping Li, Qifeng Zhang and Xisheng Feng
Brain Sci. 2023, 13(5), 780; https://doi.org/10.3390/brainsci13050780 - 10 May 2023
Cited by 7 | Viewed by 3301
Abstract
The brain–computer interface (BCI) provides direct communication between human brains and machines, including robots, drones and wheelchairs, without the involvement of peripheral systems. BCI based on electroencephalography (EEG) has been applied in many fields, including aiding people with physical disabilities, rehabilitation, education and [...] Read more.
The brain–computer interface (BCI) provides direct communication between human brains and machines, including robots, drones and wheelchairs, without the involvement of peripheral systems. BCI based on electroencephalography (EEG) has been applied in many fields, including aiding people with physical disabilities, rehabilitation, education and entertainment. Among the different EEG-based BCI paradigms, steady-state visual evoked potential (SSVEP)-based BCIs are known for their lower training requirements, high classification accuracy and high information transfer rate (ITR). In this article, a filter bank complex spectrum convolutional neural network (FB-CCNN) was proposed, and it achieved leading classification accuracies of 94.85 ± 6.18% and 80.58 ± 14.43%, respectively, on two open SSVEP datasets. An optimization algorithm named artificial gradient descent (AGD) was also proposed to generate and optimize the hyperparameters of the FB-CCNN. AGD also revealed correlations between different hyperparameters and their corresponding performances. It was experimentally demonstrated that FB-CCNN performed better when the hyperparameters were fixed values rather than channel number-based. In conclusion, a deep learning model named FB-CCNN and a hyperparameter-optimizing algorithm named AGD were proposed and demonstrated to be effective in classifying SSVEP through experiments. The hyperparameter design process and analysis were carried out using AGD, and advice on choosing hyperparameters for deep learning models in classifying SSVEP was provided. Full article
Show Figures

Graphical abstract

20 pages, 2894 KB  
Article
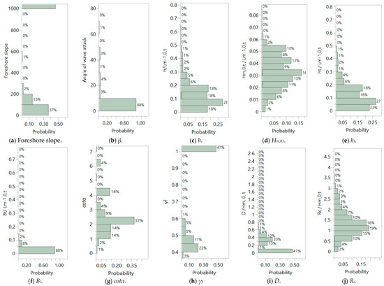
Assessment of Using Artificial Neural Network and Support Vector Machine Techniques for Predicting Wave-Overtopping Discharges at Coastal Structures
by Abdullah H. Alshahri and Moussa S. Elbisy
J. Mar. Sci. Eng. 2023, 11(3), 539; https://doi.org/10.3390/jmse11030539 - 2 Mar 2023
Cited by 8 | Viewed by 2357
Abstract
Coastal defence structures play a crucial role in protecting coastal communities against extreme weather and flooding. This study investigates artificial neural network-based approaches, such as multilayer perceptron neural network (MPNN), cascade correlation neural network (CCNN), general regression neural network (GRNN), and support vector [...] Read more.
Coastal defence structures play a crucial role in protecting coastal communities against extreme weather and flooding. This study investigates artificial neural network-based approaches, such as multilayer perceptron neural network (MPNN), cascade correlation neural network (CCNN), general regression neural network (GRNN), and support vector machine (SVM) with radial-bias function for estimating the wave-overtopping discharge at coastal structures featuring a straight slope ‘without a berm’. The newly developed EurOtop database was used for this study. Discriminant analysis was performed using the principal component analysis method, and Taylor diagram visualisation and other statistical analyses were performed to evaluate the models. For predicting wave-overtopping discharge, the GRNN yielded highly accurate results. As compared to the other models, the scatter index of the GRNN (0.353) was lower than that of the SVM (0.585), CCNN (0.791), and MPNN (1.068) models. In terms of the R-index, the GRNN (0.991) was superior to the SVM (0.981), CCNN (0.958), and MPNN (0.922). The GRNN results were compared with those of the previous models. An in-depth sensitivity analysis was conducted to determine the significance of each predictive variable. Furthermore, sensitivity analysis was conducted to select the optimal validation method for the GRNN model. The results revealed that both the validation methods were highly accurate, with the leave-one-out validation method outperforming the cross-validation method by only a small margin. Full article
(This article belongs to the Section Coastal Engineering)
Show Figures

Figure 1

13 pages, 2327 KB  
Article
NIPUNA: A Novel Optimizer Activation Function for Deep Neural Networks
by Golla Madhu, Sandeep Kautish, Khalid Abdulaziz Alnowibet, Hossam M. Zawbaa and Ali Wagdy Mohamed
Axioms 2023, 12(3), 246; https://doi.org/10.3390/axioms12030246 - 28 Feb 2023
Cited by 16 | Viewed by 7061
Abstract
In recent years, various deep neural networks with different learning paradigms have been widely employed in various applications, including medical diagnosis, image analysis, self-driving vehicles and others. The activation functions employed in deep neural networks have a huge impact on the training model [...] Read more.
In recent years, various deep neural networks with different learning paradigms have been widely employed in various applications, including medical diagnosis, image analysis, self-driving vehicles and others. The activation functions employed in deep neural networks have a huge impact on the training model and the reliability of the model. The Rectified Linear Unit (ReLU) has recently emerged as the most popular and extensively utilized activation function. ReLU has some flaws, such as the fact that it is only active when the units are positive during back-propagation and zero otherwise. This causes neurons to die (dying ReLU) and a shift in bias. However, unlike ReLU activation functions, Swish activation functions do not remain stable or move in a single direction. This research proposes a new activation function named NIPUNA for deep neural networks. We test this activation by training on customized convolutional neural networks (CCNN). On benchmark datasets (Fashion MNIST images of clothes, MNIST dataset of handwritten digits), the contributions are examined and compared to various activation functions. The proposed activation function can outperform traditional activation functions. Full article
(This article belongs to the Special Issue Applied Optimization and Decision Analysis on Interdisciplinary Areas)
Show Figures

Figure 1

24 pages, 7761 KB  
Article
WFT-Fati-Dec: Enhanced Fatigue Detection AI System Based on Wavelet Denoising and Fourier Transform
by Ahmed Sedik, Mohamed Marey and Hala Mostafa
Appl. Sci. 2023, 13(5), 2785; https://doi.org/10.3390/app13052785 - 21 Feb 2023
Cited by 22 | Viewed by 4944
Abstract
As the number of road accidents increases, it is critical to avoid making driving mistakes. Driver fatigue detection is a concern that has prompted researchers to develop numerous algorithms to address this issue. The challenge is to identify the sleepy drivers with accurate [...] Read more.
As the number of road accidents increases, it is critical to avoid making driving mistakes. Driver fatigue detection is a concern that has prompted researchers to develop numerous algorithms to address this issue. The challenge is to identify the sleepy drivers with accurate and speedy alerts. Several datasets were used to develop fatigue detection algorithms such as electroencephalogram (EEG), electrooculogram (EOG), electrocardiogram (ECG), and electromyogram (EMG) recordings of the driver’s activities e.g., DROZY dataset. This study proposes a fatigue detection system based on Fast Fourier Transform (FFT) and Discrete Wavelet Transform (DWT) with machine learning and deep learning classifiers. The FFT and DWT are used for feature extraction and noise removal tasks. In addition, the classification task is carried out on the combined EEG, EOG, ECG, and EMG signals using machine learning and deep learning algorithms including 1D Convolutional Neural Networks (1D CNNs), Concatenated CNNs (C-CNNs), Support Vector Machine (SVM), Random Forest (RF), Decision Tree (DT), k-Nearest Neighbor (KNN), Quadrature Data Analysis (QDA), Multi-layer Perceptron (MLP), and Logistic Regression (LR). The proposed methods are validated on two scenarios, multi-class and binary-class classification. The simulation results reveal that the proposed models achieved a high performance for fatigue detection from medical signals, with a detection accuracy of 90% and 96% for multiclass and binary-class scenarios, respectively. The works in the literature achieved a maximum accuracy of 95%. Therefore, the proposed methods outperform similar efforts in terms of detection accuracy. Full article
Show Figures

Figure 1

Back to TopTop