Sign in to use this feature.

Years

Between: -

Subjects

remove_circle_outline
remove_circle_outline
remove_circle_outline
remove_circle_outline
remove_circle_outline
remove_circle_outline
remove_circle_outline
remove_circle_outline
remove_circle_outline

Journals

Article Types

Countries / Regions

Search Results (101)

Search Parameters:
Keywords = BDL

Order results
Result details
Results per page
Select all
Export citation of selected articles as:
17 pages, 4143 KB  
Article
Adipose-Derived Stem Cell Treatment Induces Early-Term Hes1 Upregulation in a Sox9- and Notch1-Independent Manner in a Rat Model of Bile Duct Ligation
by Basri Satılmış, Egemen Çiçek, Serdar Karakaş, Koray Kutlutürk, Elif Kayhan, Mehmet Gül, Emrah Otan, Tevfik Tolga Şahin and Sezai Yılmaz
Biomedicines 2026, 14(3), 657; https://doi.org/10.3390/biomedicines14030657 - 13 Mar 2026
Viewed by 71
Abstract
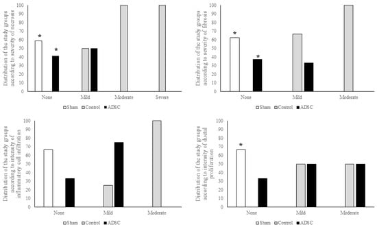
Background/Objectives: Bile duct ligation (BDL), characterized by marked inflammation and fibrosis, effectively mimics many clinical conditions and is a valuable tool for investigating biliary regeneration. Our objective was to clarify the therapeutic benefits of adipose-derived stem cell (ADSC) treatment and signaling pathways mediating [...] Read more.
Background/Objectives: Bile duct ligation (BDL), characterized by marked inflammation and fibrosis, effectively mimics many clinical conditions and is a valuable tool for investigating biliary regeneration. Our objective was to clarify the therapeutic benefits of adipose-derived stem cell (ADSC) treatment and signaling pathways mediating regenerative processes in a rat model of BDL. Methods: The BDL model was performed on Sprague–Dawley rats, and ADSC was administered intrasplenically at a dose of 106 cells per animal. Liver function tests, gene and protein expression analyses, histological evaluation, and immunohistochemistry staining were performed to assess liver function, signaling pathways, inflammation, and fibrosis. Results: ADSC treatment returned liver function to sham levels. ADSC upregulated the Hes1 gene and protein expression in the early and late term. Inflammation, fibrosis, and total damage scores were decreased following ADSC treatment compared with the control. Immunohistochemistry staining revealed higher CD90, CD44, and CD29 stem cell marker expression in the ADSC treatment group. Conclusions: ADSC administration reduced fibrosis and biliary damage and restored liver function, potentially in a manner mediated by upregulated Hes1 expression, supporting its promise in biliary regeneration. Full article
(This article belongs to the Special Issue Advanced Research into Adipose‐Derived Stem Cells)
Show Figures

Graphical abstract

26 pages, 2847 KB  
Article
Adiponectin Inhibits Oxidative Stress and Tight Junction Protein Loss: Evidence from a Hepatic Encephalopathy Mouse Model and Brain Endothelial Cells
by Dong Jun Song, Seol Won Jeong, Seoyeon Ahn, Danbi Jo, Che-Hun Jung, Jiwoun Park, Sangjun Lee and Juhyun Song
Pharmaceuticals 2026, 19(3), 419; https://doi.org/10.3390/ph19030419 - 4 Mar 2026
Viewed by 238
Abstract
Background/Objectives: Hepatic encephalopathy (HE) is characterized by hyperammonemia, neuroinflammation, oxidative stress, and blood–brain barrier (BBB) dysfunction, with brain endothelial cells being highly vulnerable to ammonia-induced damage. Adiponectin is a cytoprotective adipokine that may enhance endothelial resilience; however, its specific role under hyperammonemic [...] Read more.
Background/Objectives: Hepatic encephalopathy (HE) is characterized by hyperammonemia, neuroinflammation, oxidative stress, and blood–brain barrier (BBB) dysfunction, with brain endothelial cells being highly vulnerable to ammonia-induced damage. Adiponectin is a cytoprotective adipokine that may enhance endothelial resilience; however, its specific role under hyperammonemic conditions remains unclear. This study aims to investigate the protective effects of adiponectin on brain endothelial function and BBB integrity. Methods: In vivo, male C57BL/6J mice underwent bile duct ligation (BDL) surgery and received daily intraperitoneal adiponectin injections (10 μg/kg/day) for 6 days, starting 5 days post-surgery. On day 11, brain tissues and serum were collected for molecular and cytokine analyses. In vitro, mouse brain endothelial cells (bEnd.3) were pretreated with adiponectin before exposure to ammonia. Assays for tight junction preservation, mitochondrial membrane potential, reactive oxygen species (ROS) generation, and total RNA sequencing were performed. Results: In BDL mice, adiponectin increased the expression of the tight junction protein claudin-5 and synaptic marker PSD95 across the cortex, hippocampus, and striatum, while reducing pro-oxidant (Cyp2e1, Cyp4a1) and apoptotic (Caspase-9) markers. In vitro, adiponectin pretreatment maintained tight junction proteins, suppressed inflammatory markers, restored mitochondrial membrane potential, and decreased ROS generation in ammonia-exposed bEnd.3 cells. Transcriptomic profiling revealed that adiponectin modulates stress-related gene expression under hyperammonemic conditions. Conclusions: Adiponectin enhances cellular stress resistance and maintains BBB structural integrity under ammonia-induced toxicity. These findings suggest that adiponectin serves as a promising therapeutic target for mitigating neurovascular unit dysfunction in hepatic encephalopathy. Full article
(This article belongs to the Section Medicinal Chemistry)
Show Figures

Graphical abstract

23 pages, 2302 KB  
Article
Bayesian Deep Learning for Uncertainty-Aware Analysis and Predictive Modeling of Graphene and MoS2-Coated Terahertz Biosensors for Biomarker Detection in AML
by Arcel Kalenga Muteba and Kingsley A. Ogudo
Appl. Sci. 2025, 15(24), 13244; https://doi.org/10.3390/app152413244 - 17 Dec 2025
Viewed by 572
Abstract
In this paper, we propose a Bayesian Deep Learning (BDL) framework to model uncertainty and predict the performance of terahertz (THz) biosensors with a graphene and molybdenum disulfide (MoS2) coating for AML biomarker detection. Although there have been studies on the [...] Read more.
In this paper, we propose a Bayesian Deep Learning (BDL) framework to model uncertainty and predict the performance of terahertz (THz) biosensors with a graphene and molybdenum disulfide (MoS2) coating for AML biomarker detection. Although there have been studies on the individual advantage of these 2D materials for biosensing, a comparative analysis taking into account predictive uncertainty is still insufficient. To this end, we have generated a high-fidelity simulation dataset from full-wave EM simulations of DSSRR structures over the 0.1–2.5 THz frequency range. Realistic geometrical and dielectric modifications have been incorporated to mimic bio-sensing conditions. An approach based on a Bayesian Neural Network (BNN) with Monte Carlo dropout was employed for predicting sensitivity, Q-factor, resonance shift, and absorption, along with the estimation of aleatoric, as well as epistemic, uncertainty. Our results demonstrated a trade-off between material types: MoS2 sensors showed higher sensitivity (3548 GHz/RIU) but with a larger prediction uncertainty range of ±118 GHz/RIU; on the other hand, graphene-based sensors exhibited a better spectral resolution (Q = 48.5) and a more reliable QV prediction range of ±42 GHz/RIU. The uncertainty study further revealed that graphene demonstrated a predominance for aleatoric uncertainty (68%), classifying them as predictable physical characteristics, while MoS2 presents a higher epistemic one (55%), indicating sensitivity towards underrepresented design cases. We present a material selection algorithm based on utility that balances sensitivity, resolution, and uncertainty, demonstrating that MoS2 is the best choice for early screening, while graphene is more suitable for high-precision diagnostics. This study offers a scalable and reliable AI framework for quick, uncertainty-aware optimization of THz biosensors, which is directly applicable to clinical diagnostics and 2D-material-based photonic design. Full article
Show Figures

Figure 1

23 pages, 22213 KB  
Article
Comparative Evaluation of Analgesics in a Murine Bile Duct Ligation Model
by Emily Leitner, Tim Schreiber, Hanna Krug, Praveen Vasudevan, Simone Kumstel, Lisa Ernst, René Hany Tolba, Brigitte Vollmar and Dietmar Zechner
Biomedicines 2025, 13(12), 3034; https://doi.org/10.3390/biomedicines13123034 - 10 Dec 2025
Viewed by 632
Abstract
Background: Reliable analgesia is essential to ensure animal welfare and experimental validity in preclinical disease models. However, evidence on the efficacy and side effects of analgesics remains limited. This study investigated the effects of three commonly used analgesics on animal well-being in a [...] Read more.
Background: Reliable analgesia is essential to ensure animal welfare and experimental validity in preclinical disease models. However, evidence on the efficacy and side effects of analgesics remains limited. This study investigated the effects of three commonly used analgesics on animal well-being in a murine model of cholestasis. Methods: Thirty male C57BL/6J mice underwent transmitter implantation followed by bile duct ligation (BDL) and received continuous metamizole (3 g/L), tramadol (1 g/L), or carprofen (0.15 g/L) via drinking water before and after surgery. Welfare was evaluated using multiple parameters, including body weight, a distress score, drinking volume, burrowing and nesting behavior, mouse grimace scale (MGS), and telemetric data (heart rate, heart rate variability: SDNN and RMSSD, core body temperature, and locomotion). Additionally, liver and gastrointestinal tissues were analyzed histologically for necrosis and immune cell infiltration. Results: Even prior to surgery, analgesic-specific reductions in body weight, drinking behavior, and burrowing and nesting activity were observed. After transmitter implantation, metamizole treatment led to significantly reduced body weight, drinking volume, and locomotion compared to the other two analgesics. Following BDL, all treatment groups exhibited pronounced distress, weight loss, and reduced activity. Tramadol treatment resulted in slightly improved MGS and SDNN values, indicating minor benefits without sustained welfare restoration. In contrast, carprofen treatment was associated with reduced survival and inflammatory alterations in the forestomach. Conclusions: None of the tested analgesic regimens fully restored animal welfare after BDL. However, tramadol provided modest advantages, suggesting it may represent the most suitable option among the tested analgesics for the BDL model. Full article
Show Figures

Figure 1

19 pages, 7529 KB  
Article
LCB-Net: Long-Range Context and Box Distribution Network for Small Object Detection
by Yiguo Qiao, Yun Liang and Mingzhe Liu
Electronics 2025, 14(22), 4487; https://doi.org/10.3390/electronics14224487 - 17 Nov 2025
Viewed by 691
Abstract
Small object detection (SOD) remains a critical challenge in computer vision, with vital applications in areas like UAV inspection, autonomous driving, and medical image analysis. Existing methods are often limited by inadequate feature representation for small objects and insufficient utilization of contextual information. [...] Read more.
Small object detection (SOD) remains a critical challenge in computer vision, with vital applications in areas like UAV inspection, autonomous driving, and medical image analysis. Existing methods are often limited by inadequate feature representation for small objects and insufficient utilization of contextual information. To tackle these issues, this paper proposes a novel LCB-Net. First, we design a plug-and-play Saliency-guided Long-range Mamba (SL-Mamba) module, which leverages spatially attentive maps from shallow features to explicitly guide the model’s focus toward small target regions. This module captures long-range contextual dependencies through state space modeling and enhances local–global feature synergy via cross-scale fusion. Second, we introduce a Bounding Box Distribution Loss (BDL) that employs label distribution learning (LDL) to explicitly model localization ambiguity and improve accuracy. Extensive experiments on standard small object benchmarks such as VisDrone, WiderPerson, and NWPU-VHR-10 demonstrate that our approach achieves significant performance gains over strong baselines. Specifically, on the VisDrone dataset, it yields a 4.3% improvement in mAP@0.5:0.95. Furthermore, evaluations across small object benchmarks and the general-purpose MS-COCO dataset confirm that the proposed BDL consistently surpasses traditional IoU-based losses, including CIoU and ProbIoU, in localization tasks. Full article
(This article belongs to the Topic Recent Advances in Label Distribution Learning)
Show Figures

Figure 1

14 pages, 1639 KB  
Article
Flowing Towards Restoration: Cissus verticillata Phytoremediation Potential for Quebrada Juan Mendez in San Juan, Puerto Rico
by Sofía Velázquez, Keyla Soto Hidalgo, Monica C. Rivas, Sofía Burgos and Kelcie L. Chiquillo
Conservation 2025, 5(4), 69; https://doi.org/10.3390/conservation5040069 - 14 Nov 2025
Viewed by 694
Abstract
The detrimental effects of anthropogenic pollution are often magnified across ecosystems due to the interconnected nature of land, rivers, and oceans. Phytoremediation is an accessible technique that leverages the ability of plants to absorb and sequester pollutants and can potentially mitigate contaminants entering [...] Read more.
The detrimental effects of anthropogenic pollution are often magnified across ecosystems due to the interconnected nature of land, rivers, and oceans. Phytoremediation is an accessible technique that leverages the ability of plants to absorb and sequester pollutants and can potentially mitigate contaminants entering the ocean. It is a cost-effective and minimally invasive alternative to traditional water treatment methods. This study investigates the potential of the grapevine species Cissus verticillata (L.), a native plant from Puerto Rico, to be used in the phytoremediation of a creek in a highly urbanized site impacted by contaminated runoff due to heavy rainfall and sanitary waters. A mesocosm experiment was conducted using distilled water mixed with nutrients and known concentrations of cadmium (Cd) and lead (Pb) salts to assess whether C. verticillata could accumulate heavy metals in its tissues. Results showed that C. verticillata successfully absorbed heavy metals, with removal efficiencies of 80.13% (±0.16 SE) for Pb and 44% (±1 SE) for Cd. Results indicated a translocation factor <1 for both cadmium and lead, meaning C. verticillata is not a hyperaccumulator, but a metal stabilizer, as evident by the below detection limit (BDL) of the metals in Juan Mendez Creek. Despite evidence of new vegetative growth among individuals, no significant changes in total biomass or chlorophyll concentration were detected, indicating that C. verticillata maintained physiological stability under heavy metal exposure. Therefore, C. verticillata’s wide availability, adaptability to various environments, and climbing nature—which makes it less vulnerable to runoff and strong currents during rainy seasons—position it as a promising candidate for conservation initiatives and pollution management strategies. Full article
Show Figures

Figure 1

32 pages, 9212 KB  
Article
Liver-Targeted Scutellarin Nanoemulsion Alleviates Fibrosis with Ancillary Modulation of the Gut–Liver Microbiota
by Haoyang Yu, Xia Niu, Bingyu Niu, Peng Lei, Ning Xu, Sitong Yang, Quanyong Yu, Guiling Li and Lulu Wang
Int. J. Mol. Sci. 2025, 26(19), 9746; https://doi.org/10.3390/ijms26199746 - 7 Oct 2025
Cited by 1 | Viewed by 956
Abstract
Liver fibrosis, a progressive condition with limited pharmacotherapies, poses a global health challenge. Scutellarin (SCU), a flavonoid derived from Erigeron breviscapus, has demonstrated anti-fibrotic activity and modulates gut microbiota. Emerging evidence suggests that SCU may also influence the hepatic microbiome. However, its [...] Read more.
Liver fibrosis, a progressive condition with limited pharmacotherapies, poses a global health challenge. Scutellarin (SCU), a flavonoid derived from Erigeron breviscapus, has demonstrated anti-fibrotic activity and modulates gut microbiota. Emerging evidence suggests that SCU may also influence the hepatic microbiome. However, its clinical utility is constrained by poor water solubility and low oral bioavailability. Here, we developed an SCU-loaded nanoemulsion (SCE) to enhance solubility and liver-targeted delivery. In vitro, SCE increased SCU uptake in hepatic stellate cells (HSCs) and significantly inhibited TGF-β1-induced fibrogenesis. In a bile duct ligation (BDL) mouse model, oral administration of SCE improved hepatic SCU accumulation and produced superior anti-fibrotic efficacy. SCE treatment attenuated fibrosis and collagen deposition in the liver and improved liver function markers. Mechanistic investigations using 16S rRNA sequencing revealed that SCU treatment was associated with beneficial microbiota changes, although its main therapeutic effects were achieved through enhanced hepatic targeting. Notably, the SCE formulation was well-tolerated, showing no significant toxicity in vitro or in vivo. In conclusion, the SCU-loaded nanoemulsion achieved enhanced hepatic delivery of SCU and exerted potent anti-fibrotic effects via multiple mechanisms, including direct suppression of fibrogenesis and ancillary modulation of the gut–liver microbiome, offering a promising therapeutic strategy for liver fibrosis. Full article
(This article belongs to the Special Issue Natural Products in Drug Discovery and Development)
Show Figures

Figure 1

16 pages, 4308 KB  
Article
Single-Cell Transcriptomic Analysis of Different Liver Fibrosis Models: Elucidating Molecular Distinctions and Commonalities
by Guofei Deng, Xiaomei Liang, Yuxi Pan, Yusheng Luo, Zizhen Luo, Shaoxuan He, Shuai Huang, Zhaopeng Chen, Jiancheng Wang and Shuo Fang
Biomedicines 2025, 13(8), 1788; https://doi.org/10.3390/biomedicines13081788 - 22 Jul 2025
Cited by 2 | Viewed by 3657
Abstract
Background: Liver fibrosis, a consequence of various chronic liver diseases, is characterized by excessive accumulation of extracellular matrix (ECM), leading to impaired liver function and potentially progressing to cirrhosis or hepatocellular carcinoma. The molecular mechanisms underlying liver fibrosis are complex and not [...] Read more.
Background: Liver fibrosis, a consequence of various chronic liver diseases, is characterized by excessive accumulation of extracellular matrix (ECM), leading to impaired liver function and potentially progressing to cirrhosis or hepatocellular carcinoma. The molecular mechanisms underlying liver fibrosis are complex and not fully understood. In vivo experiments are essential for studying the molecular mechanisms of the disease. However, the diverse principles behind mouse modeling techniques for liver fibrosis can complicate the elucidation of specific fibrotic mechanisms. Methods: Five distinct liver fibrosis models were utilized: CONTROL, NASH (non-alcoholic steatohepatitis), BDL (bile duct ligation), TAA (thioacetamide), and CCl4 (carbon tetrachloride). Patents for these drugs were reviewed using Patentscope® and Worldwide Espacenet®. ScRNA-seq was performed to analyze and compare the cellular and molecular differences in these models. Results: The analysis revealed that, particularly in the drug-induced fibrosis models, hepatic stellate cells (HSCs), Kupffer cells, and T-cell subsets exhibit distinct regulatory patterns and dynamic remodeling processes across different liver fibrosis models. These findings highlight the heterogeneity of immune responses and extracellular matrix (ECM) remodeling in various models, providing important insights into the complex mechanisms underlying liver fibrosis. Conclusions: The study enhances our understanding of liver fibrosis development and provides valuable insights for selecting the most representative animal models in future research. This comprehensive analysis underscores the importance of model-specific immune responses and ECM remodeling in liver fibrosis. Full article
(This article belongs to the Section Gene and Cell Therapy)
Show Figures

Figure 1

16 pages, 1975 KB  
Article
SWEEPS-Assisted Antibacterial Photodynamic Therapy Against Dual-Species Biofilms in Mandibular Molars: An In Vitro Study
by Pargol Guity, Shima Afrasiabi, Ali Shahi Ardakani, Stefano Benedicenti, Antonio Signore, Nasim Chiniforush and Kiumars Nazari Moghaddam
Pharmaceuticals 2025, 18(4), 558; https://doi.org/10.3390/ph18040558 - 10 Apr 2025
Cited by 1 | Viewed by 1309
Abstract
Objectives: The synergistic effect of shock wave-enhanced emission photoacoustic streaming (SWEEPS) and antimicrobial photodynamic therapy (aPDT) in mandibular molar root canal disinfection remains underexplored, particularly against dual-species biofilms that better simulate clinical conditions. This study evaluates their combined antimicrobial efficacy against Enterococcus faecalis [...] Read more.
Objectives: The synergistic effect of shock wave-enhanced emission photoacoustic streaming (SWEEPS) and antimicrobial photodynamic therapy (aPDT) in mandibular molar root canal disinfection remains underexplored, particularly against dual-species biofilms that better simulate clinical conditions. This study evaluates their combined antimicrobial efficacy against Enterococcus faecalis and Candida albicans biofilms and assesses potential tooth discoloration caused by riboflavin and nano-curcumin. Materials and Methods: The mesiobuccal canals of 57 extracted mandibular molars were inoculated with E. faecalis and C. albicans biofilms. The antimicrobial effects were assessed using riboflavin or nano-curcumin with a 450 nm diode laser (BDL), SWEEPS, or their combinations, compared to 5.25% NaOCl (positive control) and saline (negative control). Biofilm reduction was quantified by colony-forming units (CFUs/mL), and discoloration was evaluated using the ΔE metric in the CIE L*a*b* color space. Results: Both microorganisms showed a significant decrease in colony numbers in all experimental groups compared to the negative control (p < 0.001), except for E. faecalis, where no significant difference was observed between the riboflavin/nano-curcumin groups and the negative control. Combining riboflavin or nano-curcumin with SWEEPS or BDL significantly enhanced antimicrobial efficacy compared to individual treatments (p < 0.001). The combined photodynamic therapy and SWEEPS groups showed the lowest colony counts. The ΔE values were, on average, 1.81 for riboflavin and 1.09 for nano-curcumin. Conclusions: The combination of SWEEPS and aPDT effectively reduces E. faecalis and C. albicans biofilms in molars, supporting its potential as an adjunct in endodontic disinfection. Minimal discoloration further highlights its clinical applicability. Full article
(This article belongs to the Section Natural Products)
Show Figures

Graphical abstract

15 pages, 1578 KB  
Review
Urgent Endoscopic Biliary Procedures: “Run Like the Wind”?
by Francesca Lodato, Stefano Landi, Marco Bassi, Stefania Ghersi and Vincenzo Cennamo
J. Clin. Med. 2025, 14(3), 1017; https://doi.org/10.3390/jcm14031017 - 5 Feb 2025
Viewed by 4032
Abstract
Emergency endoscopy is an activity that must be guaranteed 7 days a week and 24 h a day. The pathologies of endoscopic interest that require emergency intervention are mainly hemorrhages of the upper digestive tract, the removal of foreign bodies, and the ingestion [...] Read more.
Emergency endoscopy is an activity that must be guaranteed 7 days a week and 24 h a day. The pathologies of endoscopic interest that require emergency intervention are mainly hemorrhages of the upper digestive tract, the removal of foreign bodies, and the ingestion of caustics. The emergency endoscopist must therefore be experienced in the management of these pathologies. Nowadays, however, we know that even some biliary tract pathologies must be managed within a variable period between 12 and 72 h, in particular acute cholangitis (Ach), acute biliary pancreatitis (ABP), biliary duct leaks (BDLs), and acute cholecystitis (AC). If, on one hand, there is little awareness among doctors about which pathologies of the biliary tract really deserve urgent treatment, on the other, the international guidelines, although not uniformly, have acquired the results of the studies and have clarified that only severe Ach should be treated within 12 h; in other cases, endoscopic treatment can be delayed up to 72 h according to the specific condition. This obviously has a significant organizational implication, as not all endoscopists have training in biliary tract endoscopy, and guaranteeing the availability of a biliary endoscopist 24/7 may be incompatible with respecting the working hours of individual professionals. This review aims to evaluate which pathologies of the biliary tract really require an endoscopic approach in emergency or urgency and the organizational consequences that this can determine. Based on the guidelines, we can conclude that a daytime availability for urgent biliary tract procedures 7 days a week should be provided for the management of severe ACh. Patients with ABP, AC unfit for surgery, and not responsive to medical therapy or BDLs can be treated over a longer period, allowing its scheduling on the first available day of the week. Full article
(This article belongs to the Special Issue Advances in Diagnosis and Management of Pancreatobiliary Disorders)
Show Figures

Figure 1

18 pages, 1231 KB  
Article
Artificial Neural Networks as a Method for Forecasting Migration Balance (A Case Study of the City of Lublin in Poland)
by Adam Gawryluk, Agnieszka Komor, Monika Kulisz, Patrycjusz Zarębski and Dominik Katarzyński
Sustainability 2024, 16(24), 11249; https://doi.org/10.3390/su162411249 - 22 Dec 2024
Viewed by 1885
Abstract
Internal migration regulates both the size and structure of human resources and affects the labor market at different spatial scales. It therefore has not only a demographic dimension, but also a spatial one, which is why it can significantly affect development on both [...] Read more.
Internal migration regulates both the size and structure of human resources and affects the labor market at different spatial scales. It therefore has not only a demographic dimension, but also a spatial one, which is why it can significantly affect development on both a local and regional scale. The main objective of this study was to examine the usefulness of artificial neural networks (ANN) for predicting the internal migration balance for the city of Lublin in Poland. Another objective was to develop an experimental neural network model for forecasting the internal migration balance for the city of Lublin (for one year ahead) based on selected economic and social factors. The study area included the city of Lublin and 14 municipalities located in the vicinity of the city and functionally connected to it (they form the Lublin Functional Area), i.e., a total of 15 spatial units. Data for the analysis covered the years 2005–2022 and were obtained from the Local Data Bank (BDL) of the Central Statistical Office (GUS). The number of input variables for the ANN model was reduced using principal component analysis (PCA), allowing for the inclusion of the most relevant demographic and economic features. These components can thus be considered reliable predictors of the migration balance for the city of Lublin. This suggests that artificial neural networks may be an effective tool in supporting decision-making processes for forecasting the migration balance of this city. Full article
(This article belongs to the Special Issue Bioeconomy and Sustainable Agricultural Sector)
Show Figures

Figure 1

16 pages, 8666 KB  
Article
Sedimentological and Geochemical Evaluation of the Lower Cretaceous Yamama Formation, Riyadh, Saudi Arabia: An Integrated Tool for Paleoenvironmental Interpretation
by Rayan Khalil
Minerals 2024, 14(12), 1275; https://doi.org/10.3390/min14121275 - 16 Dec 2024
Viewed by 1618
Abstract
Geochemical proxies are a reliable tool in deciphering the paleoenvironment and diagenetic alteration in carbonate rock units. The Lower Cretaceous Yamama Formation (LCYF) is an important carbonate unit of the Saudi Arabia region which has been studied in detail to evaluate the paleoenvironment [...] Read more.
Geochemical proxies are a reliable tool in deciphering the paleoenvironment and diagenetic alteration in carbonate rock units. The Lower Cretaceous Yamama Formation (LCYF) is an important carbonate unit of the Saudi Arabia region which has been studied in detail to evaluate the paleoenvironment and diagenetic alteration through geochemical studies. This study presents new data on petrography, stable isotopes, and trace and rare-earth elements to enhance our understanding on paleoenvironments, redox conditions, and paleosalinity during the deposition of these carbonate units. Field studies show that the formation is composed of thick-to-thin-bedded limestone. Petrographic studies show that the formation is mostly composed of mudstone, wackestone, packstone, and grainstone facies. The stable isotopic values of carbon (δ13C V-PDB = +0.58‰ to +2.23‰) and oxygen (δ18O V-PDB = −6.38‰ to −4.48‰) are directly within the range of marine signatures. CaCO3’s dominance over SiO2 and Al2O3 indicates minimal detrital contribution during the LCYF precipitation. The REE pattern suggests coeval marine signatures which include (i) a slight LREE depletion compared to HREEs (av. Nd/YbN = 0.70), (ii) negative Ce anomalies (av. Ce/Ce* = 0.5), and (iii) a positive La anomaly (av. La/La* = 1.70). Micritic limestone has low Hf (bdl to 0.4 µg/g), Sc (bdl to 2.5 µg/g), and Th (bdl to 0.8 µg/g) content, which suggests negligible detrital influence. The Ce content of different facies (Ce = 1u.80 to 12.85 µg/g) suggests that their deposition took place under oxic to dysoxic conditions. However, there is moderate variation during the deposition of MF-I, with higher Ce values as compared to MF-II, MF-III, and MF-IV, which suggests that the deposition of MF-I mostly took place in anoxic to dysoxic conditions. Full article
(This article belongs to the Special Issue Carbonate Petrology and Geochemistry, 2nd Edition)
Show Figures

Figure 1

19 pages, 4897 KB  
Article
A Preliminary Health Risk Assessment of Heavy Metal Contamination in Chembarambakkam Lake, Tamil Nadu, South India
by Prabhu Kolandhasamy, Saranya Elumalai, Selvam Nandagopal, Subriya Senthil Kumaran, Rajaram Rajendran, Ramachandran Vinayagam and Pasiyappazham Ramasamy
Water 2024, 16(23), 3517; https://doi.org/10.3390/w16233517 - 6 Dec 2024
Cited by 7 | Viewed by 2599
Abstract
Chembarambakkam Lake, an important freshwater reservoir in Chennai that provides drinking water to the city, has noticed a decline in water quality as a result of heavy metal pollution. This study aimed to evaluate the heavy metal contamination in the environment of Chembarambakkam [...] Read more.
Chembarambakkam Lake, an important freshwater reservoir in Chennai that provides drinking water to the city, has noticed a decline in water quality as a result of heavy metal pollution. This study aimed to evaluate the heavy metal contamination in the environment of Chembarambakkam Lake with a health risk assessment. This study involved a comprehensive analysis of toxic heavy metal levels in five waters, sediments, and commercially available freshwater fish samples, considering their bioaccumulation and potential risks to human health. We observed lead (Pb), cadmium (Cd), zinc (Zn), and copper (Cu) concentrations in water, sediments, and various fish species, including tilapia (Mozambique Tilapia), wild carp (Hemiculter leucisulus), pearl-spot (Etroplus maculatus), spotted barb (Barbodes binotatus), and snakehead murrel (Channa Striate). The results indicated that, in order of prominence, the metals in the water were Cu > Zn > Pb > Cd, whereas those found in sediments were Zn > Cu > Pb > Cd. The metal concentration in the sediments varied between Cd (0.52–0.82 µg/g), Cu (13.75–38.07 µg/g), Pb (1.30–3.74 µg/g), and Zn (12.60–61.12 µg/g). Similarly, the metal concentrations in the water varied between Cd (0.63–0.72 µg/L), Cu (5.35–55.17 µg/L), Pb (BDL–12.39 µg/L), and Zn (0.62–1.49 µg/L). The order of metals in the fish was Zn > Cd > Cu > Pb. The Cd concentration ranged from 0.3 to 0.60 µg/g, Cu was from BDL to 0.72 µg/g, Pb was from BDL–0.68 µg/g, and Zn was from 13.32–48.48 µg/g. The Cd and Zn concentrations were consistently the highest across the fish, sediment, and water samples. These findings shed light on the health risks associated with heavy metal pollution in Chembarambakkam Lake and suggest the need for potential bioremediation approaches. Full article
(This article belongs to the Special Issue Water Quality Monitoring and Public Health)
Show Figures

Figure 1

16 pages, 15204 KB  
Article
E-BDL: Enhanced Band-Dependent Learning Framework for Augmented Radar Sensing
by Fulin Cai, Teresa Wu and Fleming Y. M. Lure
Sensors 2024, 24(14), 4620; https://doi.org/10.3390/s24144620 - 17 Jul 2024
Cited by 5 | Viewed by 1811
Abstract
Radar sensors, leveraging the Doppler effect, enable the nonintrusive capture of kinetic and physiological motions while preserving privacy. Deep learning (DL) facilitates radar sensing for healthcare applications such as gait recognition and vital-sign measurement. However, band-dependent patterns, indicating variations in patterns and power [...] Read more.
Radar sensors, leveraging the Doppler effect, enable the nonintrusive capture of kinetic and physiological motions while preserving privacy. Deep learning (DL) facilitates radar sensing for healthcare applications such as gait recognition and vital-sign measurement. However, band-dependent patterns, indicating variations in patterns and power scales associated with frequencies in time–frequency representation (TFR), challenge radar sensing applications using DL. Frequency-dependent characteristics and features with lower power scales may be overlooked during representation learning. This paper proposes an Enhanced Band-Dependent Learning framework (E-BDL) comprising an adaptive sub-band filtering module, a representation learning module, and a sub-view contrastive module to fully detect band-dependent features in sub-frequency bands and leverage them for classification. Experimental validation is conducted on two radar datasets, including gait abnormality recognition for Alzheimer’s disease (AD) and AD-related dementia (ADRD) risk evaluation and vital-sign monitoring for hemodynamics scenario classification. For hemodynamics scenario classification, E-BDL-ResNet achieves competitive performance in overall accuracy and class-wise evaluations compared to recent methods. For ADRD risk evaluation, the results demonstrate E-BDL-ResNet’s superior performance across all candidate models, highlighting its potential as a clinical tool. E-BDL effectively detects salient sub-bands in TFRs, enhancing representation learning and improving the performance and interpretability of DL-based models. Full article
(This article belongs to the Section Radar Sensors)
Show Figures

Figure 1

21 pages, 10258 KB  
Article
Impact of Intermittent Fasting and Dietary Restriction on Redox State, Energetic Metabolism, and Liver Injury in Common Bile Duct Ligation Model
by Dmitry S. Semenovich, Ljubava D. Zorova, Polina A. Abramicheva, Nadezda V. Andrianova, Andrey V. Elchaninov, Aleksandra S. Petrukhina, Irina B. Pevzner, Vasily N. Manskikh, Dmitry B. Zorov and Egor Y. Plotnikov
Antioxidants 2024, 13(7), 835; https://doi.org/10.3390/antiox13070835 - 12 Jul 2024
Cited by 3 | Viewed by 3061
Abstract
The aim of this work was to test whether we can treat cholestasis with dietary approaches applied after the onset of the disease. The effects of intermittent fasting and dietary restriction on liver damage caused by common bile duct ligation (BDL) in rats [...] Read more.
The aim of this work was to test whether we can treat cholestasis with dietary approaches applied after the onset of the disease. The effects of intermittent fasting and dietary restriction on liver damage caused by common bile duct ligation (BDL) in rats were studied, with particular attention paid to changes in the activity of enzymes of energy metabolism and antioxidant protection. Morphological changes in liver tissue and serum markers of liver damage were assessed in rats with BDL kept for one month on ad libitum diet, intermittent fasting, or 35% dietary restriction. We studied parameters of glucose metabolism (activity of glycolysis and gluconeogenesis enzymes), TCA cycle, and indicators of oxidative stress and redox status of the liver tissue. Dietary restriction resulted in an increase in gluconeogenesis activity, antioxidant capacity, and autophagy activation. When implemented after BDL, none of the dietary restriction protocols reduced the level of oxidative stress, detrimental morphological and biochemical alterations, or the fibrosis progression. Thus, under severe damage and oxidative stress developing in cholestasis, dietary restrictions are not hepatoprotective and can only be used in a pre-treatment mode. Full article
Show Figures

Figure 1

Back to TopTop