Sign in to use this feature.

Years

Between: -

Subjects

remove_circle_outline
remove_circle_outline
remove_circle_outline
remove_circle_outline
remove_circle_outline
remove_circle_outline
remove_circle_outline
remove_circle_outline
remove_circle_outline

Journals

remove_circle_outline
remove_circle_outline
remove_circle_outline
remove_circle_outline
remove_circle_outline
remove_circle_outline

Article Types

Countries / Regions

remove_circle_outline
remove_circle_outline
remove_circle_outline

Search Results (787)

Search Parameters:
Keywords = Asymmetric synthesis

Order results
Result details
Results per page
Select all
Export citation of selected articles as:
11 pages, 1630 KB  
Article
N-Heterocyclic Carbene-Catalyzed Generation of Homoenolates: Efficient Asymmetric Synthesis of Dispirocyclopentanones by Direct Annulation of Enals and Isoindigos
by Zhiwei Jiang, Martial Toffano, Régis Guillot, Chloée Bournaud and Giang Vo-Thanh
Catalysts 2026, 16(2), 138; https://doi.org/10.3390/catal16020138 - 2 Feb 2026
Abstract
A highly efficient asymmetric (3+2) annulation between enals and isoindigos was achieved via the N-heterocyclic carbene-catalyzed addition of homoenolates to activated tetrasubstituted C=C double bonds. The protocol provided straightforward access to enantiomerically enriched dispirocyclopentanone bisoxindoles (up to 97% ee) with three [...] Read more.
A highly efficient asymmetric (3+2) annulation between enals and isoindigos was achieved via the N-heterocyclic carbene-catalyzed addition of homoenolates to activated tetrasubstituted C=C double bonds. The protocol provided straightforward access to enantiomerically enriched dispirocyclopentanone bisoxindoles (up to 97% ee) with three contiguous stereocenters, two of which are highly congested vicinal all-carbon quaternary centers. Full article
(This article belongs to the Special Issue Recent Developments in Asymmetric Organocatalysis)
Show Figures

Graphical abstract

17 pages, 7102 KB  
Article
A Recyclable Thermoresponsive Catalyst for Highly Asymmetric Henry Reactions in Water
by Meng Wang, Yaoyao Zhang, Zifan Jiang, Yanhui Zhong, Xinzheng Qu, Xingling Li, Bo Xiong, Xianxiang Liu and Lei Zhu
Catalysts 2026, 16(2), 132; https://doi.org/10.3390/catal16020132 - 1 Feb 2026
Abstract
The synthesis of enantiomerically pure chiral β-nitroalcohols is a crucial objective in asymmetric catalysis. In order to efficiently obtain such chiral products, we developed a series of thermoresponsive, oxazoline–copper catalysts (CuII-PNxFeyOz) via sequential reversible [...] Read more.
The synthesis of enantiomerically pure chiral β-nitroalcohols is a crucial objective in asymmetric catalysis. In order to efficiently obtain such chiral products, we developed a series of thermoresponsive, oxazoline–copper catalysts (CuII-PNxFeyOz) via sequential reversible addition–fragmentation chain transfer (RAFT) polymerization. These catalysts can self-assemble in water into single-chain nanoparticles (SCNPs) with biomimetic behavior, in which intramolecular hydrophobic and metal-coordination interactions generate a confined hydrophobic cavity. Comprehensive characterization by FT-IR, TEM, DLS, CD, CA, and ICP analysis confirmed the nanostructure and composition. When applied to the aqueous-phase asymmetric Henry reaction between nitromethane and 4-nitrobenzaldehyde, the optimal catalyst (2.0 mol%) achieved a quantitative yield (96%) with excellent enantioselectivity (up to 99%) within 12 h. Furthermore, the thermosensitive poly(N-isopropylacrylamide, NIPAAm) block enabled facile catalyst recovery through temperature-induced precipitation above its lower critical solution temperature (LCST). This work presents an efficient and recyclable biomimetic catalytic system, offering a novel strategy for designing sustainable chiral catalysts for green organic synthesis. Full article
(This article belongs to the Special Issue Catalysis in Polymerizations)
Show Figures

Graphical abstract

24 pages, 989 KB  
Article
A Novel Multi-Criteria Decision-Making Methodology: The Presence–Absence Synthesis Method
by Mustafa Bal, Irem Ucal Sari and Özgür Kabak
Symmetry 2026, 18(2), 268; https://doi.org/10.3390/sym18020268 - 31 Jan 2026
Viewed by 40
Abstract
Traditional multi-criteria decision-making methods often operate on the assumption of symmetry, presupposing that the positive impact of a criterion’s presence is perfectly complementary to the negative impact of its absence. However, in real-world decision problems, this relationship is frequently asymmetric; some criteria act [...] Read more.
Traditional multi-criteria decision-making methods often operate on the assumption of symmetry, presupposing that the positive impact of a criterion’s presence is perfectly complementary to the negative impact of its absence. However, in real-world decision problems, this relationship is frequently asymmetric; some criteria act merely as “delighters,” while others represent “must-have” constraints. This study proposes a novel methodology, the Presence–Absence Synthesis (PAS) Method, which addresses this asymmetry by treating the “Presence Effect” and “Absence Effect” of criteria as two independent dimensions. The method is built upon intuitionistic fuzzy sets (IFSs) to effectively model the uncertainty and hesitation inherent in expert evaluations. The applicability of the proposed approach is demonstrated through a real-world workforce management problem aimed at assigning employees to the most suitable tasks based on their competencies in a retail store. In the study, the suitability scores derived from the PAS method are integrated into a mathematical optimization model for weekly employee scheduling, presenting a two-stage decision support framework. The results and comparisons with the Technique for Order Preference by Similarity to Ideal Solution method reveal that the PAS method more effectively distinguishes critical competency gaps (i.e., criteria with high absence effects), leading to more realistic task assignments and a measurable reduction in operational risks, such as skill mismatches and infeasible schedules. Furthermore, sensitivity analysis confirms that the proposed model yields consistent and robust results under varying conditions. Beyond the retail context, the proposed PAS framework is applicable to a wide range of decision-making problems, including healthcare staff allocation, project team formation, supplier selection, and other resource allocation settings where their presence cannot compensate for the absence of critical criteria. Full article
13 pages, 1249 KB  
Article
Impact of Thymidine Loop Modifications on Telomeric G-Quadruplex Catalytic Systems for Asymmetric Sulfoxidation
by Claudia Finamore, Carmen Festa, Daniela Benigno, Carla Aliberti, Rosa Barbato, Simona De Marino, Aldo Galeone, Veronica Esposito and Antonella Virgilio
Molecules 2026, 31(3), 442; https://doi.org/10.3390/molecules31030442 - 27 Jan 2026
Viewed by 143
Abstract
G-quadruplex (G4) DNA structures have recently emerged as promising chiral scaffolds for enantioselective catalysis. This study investigates how thymidine loop modifications influence the catalytic performance of the telomeric G4 sequence HT21 in the asymmetric sulfoxidation of thioanisole. To this end, several singly or [...] Read more.
G-quadruplex (G4) DNA structures have recently emerged as promising chiral scaffolds for enantioselective catalysis. This study investigates how thymidine loop modifications influence the catalytic performance of the telomeric G4 sequence HT21 in the asymmetric sulfoxidation of thioanisole. To this end, several singly or doubly modified HT21 derivatives were synthesized by using β-L-2′-deoxythymidine, 5-hydroxymethyl-2′-deoxyuridine, and 5-bromo-2′-deoxyuridine instead of a T residue, or β-L-2′-deoxyadonesine instead of an A residue, in specific positions within the TTA loops. The catalytic activity of these analogues was evaluated in the Cu(II)-mediated oxidation of thioanisole using hydrogen peroxide as oxidant. All modified sequences maintained complete substrate conversion, but their enantioselectivities varied markedly. Whereas the highest enantiomeric excess (84% ee) had previously been achieved with the HT21 analogue bearing a β-L-2′-deoxyadenosine in the first loop, the thymidine-based modifications, either alone or in combination, resulted in lower ee values, suggesting that loop alterations critically affect the chiral microenvironment, not all loop positions are functionally equivalent, and single substitutions within the same loop can result in different enantioselectivities. These findings highlight new insights on how individual loop residues contribute to asymmetric induction and offer further details for tuning G4-based catalytic scaffolds. Full article
Show Figures

Figure 1

17 pages, 15401 KB  
Article
Structural and Mechanistic Characterization of Mycobacterium tuberculosis TrxR Inhibition by Glutathione-Coated Gold Nanocluster
by Zhaoyang Li, Wenchao Niu, Dongfang Xia, Yuanyuan Chen, Sixu Chen, Botao Zhang, Junshuai Wang, Haojia Zhu, Huai Yang, Fei Xie, Yubai Zhou, Yong Gong, Yuancong Xu and Peng Cao
Int. J. Mol. Sci. 2026, 27(3), 1209; https://doi.org/10.3390/ijms27031209 - 25 Jan 2026
Viewed by 194
Abstract
Mycobacterium tuberculosis (M. tuberculosis) relies on the thioredoxin (Trx)–thioredoxin reductase (TrxR) system to maintain intracellular redox homeostasis and to support Trx-dependent DNA synthesis and repair, making TrxR a potential target for anti-tuberculosis therapy. Gold nanoclusters have been reported to inhibit human [...] Read more.
Mycobacterium tuberculosis (M. tuberculosis) relies on the thioredoxin (Trx)–thioredoxin reductase (TrxR) system to maintain intracellular redox homeostasis and to support Trx-dependent DNA synthesis and repair, making TrxR a potential target for anti-tuberculosis therapy. Gold nanoclusters have been reported to inhibit human TrxR and suppress tumor growth, suggesting that gold-based nanomaterials can modulate TrxR activity. In this study, we report a previously uncharacterized oxidized crystal structure of M. tuberculosis TrxR containing two dimers in the asymmetric unit and use this structure to investigate inhibition by a glutathione-coated gold nanocluster (GSH-AuNC). Biolayer interferometry and enzymatic assays show that GSH-AuNC binds directly to M. tuberculosis TrxR and efficiently inhibits its catalytic activity at the purified enzyme level. Molecular dynamics simulations indicate that GSH-AuNC can occupy a surface pocket proximal to the active site, providing a plausible structural basis for enzyme engagement. AlphaFold3 modeling of the M. tuberculosis TrxR-Trx heterodimeric complex defines the interaction interface required for productive electron transfer and provides a structural hypothesis for how GSH-AuNC disrupts this process. Together, these results provide structural and mechanistic insights into the biochemical modulation of M. tuberculosis TrxR by GSH-AuNC, while the antimycobacterial activity of GSH-AuNC remains to be evaluated in future studies. Full article
Show Figures

Figure 1

10 pages, 1828 KB  
Article
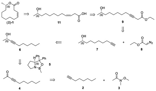
A Concise Asymmetric Synthesis of the Aggregation Pheromone of Cryptolestes ferrugineus, Ferrulactone II, and Its Enantiomer
by Hong Tang, Biyu An, Yiwen Huang, Dan Liu, Qinghua Bian and Jiangchun Zhong
Molecules 2026, 31(3), 404; https://doi.org/10.3390/molecules31030404 - 24 Jan 2026
Viewed by 211
Abstract
A concise and efficient synthesis of the aggregation pheromone of Cryptolestes ferrugineus, Ferrulactone II, and its enantiomer has been developed. The synthetic route features CBS reduction, the zipper reaction, a copper(I)-catalyzed coupling, stereoselective partial hydrogenation, Yamaguchi esterification, and the Mitsunobu inversion reaction. [...] Read more.
A concise and efficient synthesis of the aggregation pheromone of Cryptolestes ferrugineus, Ferrulactone II, and its enantiomer has been developed. The synthetic route features CBS reduction, the zipper reaction, a copper(I)-catalyzed coupling, stereoselective partial hydrogenation, Yamaguchi esterification, and the Mitsunobu inversion reaction. The structures and absolute configurations of both enantiomers of the target pheromone were confirmed by NMR, HRMS, specific rotation, and ECD spectroscopy. This study provides a reliable supply of material for further biological evaluation. Full article
(This article belongs to the Section Applied Chemistry)
Show Figures

Graphical abstract

16 pages, 2876 KB  
Systematic Review
The Use of Methylene Blue in Pilonidal Sinus Surgery Reduces the Risk of Recurrence: A Systematic Review and Meta-Analysis
by Matthias Maak, Christina Oetzmann von Sochaczewski, Theo Hackmann, Marcel Bonni, Myriam Braun-Münker and Dietrich Doll
Medicina 2026, 62(2), 238; https://doi.org/10.3390/medicina62020238 - 23 Jan 2026
Viewed by 238
Abstract
Background and Objectives: Pilonidal Sinus Disease shows an increasing incidence. Surgical interventions are often necessary; thus, we wanted to analyze whether the usage of methylene blue (MB) for staining the PSD fistulas for better visualization during surgery shows an effect concerning recurrence [...] Read more.
Background and Objectives: Pilonidal Sinus Disease shows an increasing incidence. Surgical interventions are often necessary; thus, we wanted to analyze whether the usage of methylene blue (MB) for staining the PSD fistulas for better visualization during surgery shows an effect concerning recurrence rates. Materials and Methods: A thorough data search and cross-study data synthesis of publications in the time period of 1833 to 2023 lead to a total of 7936 studies focusing on PSD. The data sets were scanned for the eligibility criteria, namely treatment information, follow-up, recurrence data, and the use of MB in surgery. The data were sorted into different surgical treatment groups, and the recurrence rates were analyzed using Kaplan–Meier-survival curves. Results: A total of 1192 studies involving 130,677 patients were eligible for analysis. A total of 263 studies were performed with MB (22.1%, n = 25,602 patients) and 929 studies without MB (77.9%, n = 105,075 patients). Overall, there was a highly significant difference in RR between the group of MB-stained patients and those without (p < 0.0001), even if analyzed separately for treatments. Primary open approach, primary midline closure, primary asymmetric closure, and Limberg/Dufourmentel all showed a significantly lower RR when MB was used (p < 0.0001). The use of MB in Bascom/Karydakis-Flap showed a statistically significant disadvantage concerning RR (p < 0.0001), and Other Flaps showed less RR with the use of MB (p = 0.011); both groups showed a notable loss of follow-up data, diminishing the meaning of these p values. Conclusions: This study shows that the use of MB as a staining technique in PSD surgery may be beneficial regarding recurrence rates. Therefore, the routinely use of MB staining in PSD surgery should be considered. Full article
(This article belongs to the Section Dermatology)
Show Figures

Figure 1

9 pages, 2231 KB  
Communication
Computational Analysis of the Asymmetric Hydrogenation of γ-Ketoacids: Weak Interactions and Kinetics
by Ivan S. Golovanov and Evgeny V. Pospelov
Molecules 2026, 31(2), 385; https://doi.org/10.3390/molecules31020385 - 22 Jan 2026
Viewed by 94
Abstract
A computational study of the mechanism of asymmetric hydrogenation of γ-keto acids with the Ni(S,S)-QuinoxP* system was conducted. The main steps of the reaction mechanism were determined, including the formation of the NiH(S,S-QuinoxP*)+ complex starting from a γ-keto acid molecule and the [...] Read more.
A computational study of the mechanism of asymmetric hydrogenation of γ-keto acids with the Ni(S,S)-QuinoxP* system was conducted. The main steps of the reaction mechanism were determined, including the formation of the NiH(S,S-QuinoxP*)+ complex starting from a γ-keto acid molecule and the involvement of the hydrogen “metathesis” step. The rate-limiting and stereo-determining step of the reaction was identified as the transfer of a hydrogen atom from the catalytic particle to the carbonyl group of the substrate molecule. The stereochemical outcome of the process was calculated. The influence of weak interactions on the stereoselectivity of the process was demonstrated using NCI and sobEDAw analyses. Full article
(This article belongs to the Special Issue Current Development of Asymmetric Catalysis and Synthesis)
Show Figures

Graphical abstract

15 pages, 856 KB  
Review
Digital Governance as an Enabler of Economic Recovery and Developmental Transformation: Insights from Greece’s 2010–2018 Financial Adjustment Programmes
by Eleni Tsiaousi, Dimitrios Dimitriou and Dionysios Chionis
Encyclopedia 2026, 6(1), 22; https://doi.org/10.3390/encyclopedia6010022 - 19 Jan 2026
Viewed by 178
Abstract
Greece’s 2010–2018 adjustment programmes provide an insightful case of how timing of reforms, institutional frictions, and digital transformation jointly condition the outcomes of macroeconomic stabilization efforts. This review builds on programme evaluations, recent academic work, and empirical indicators to analyze the dynamics at [...] Read more.
Greece’s 2010–2018 adjustment programmes provide an insightful case of how timing of reforms, institutional frictions, and digital transformation jointly condition the outcomes of macroeconomic stabilization efforts. This review builds on programme evaluations, recent academic work, and empirical indicators to analyze the dynamics at the intersection of macroeconomic adjustment, institutional quality, and entrepreneurship, placing emphasis on productivity and the evolving role of digital governance. The paper argues that the asymmetric sequencing of fiscal consolidation, internal devaluation, institution-building, and digital modernization is consistent with deeper and more persistent output losses than initially anticipated, as complementary reforms in product markets and public administration were not yet in place. Recovery momentum was observed when administrative simplification, transparency reforms, and digital public services began to reduce transaction costs, uncertainty, and implementation frictions. In this perspective, digital governance—through initiatives such as Diavgeia, and interoperable registries—acted as an enabling complement to the effectiveness of structural reforms, supporting the shift towards a more innovation-oriented entrepreneurial ecosystem. While the evidence is associative rather than causally identified, the synthesis highlights mechanisms and transferable lessons for the design and sequencing of reform programmes in crisis and recovery contexts. Full article
(This article belongs to the Collection Encyclopedia of Entrepreneurship in the Digital Era)
Show Figures

Figure 1

21 pages, 7038 KB  
Review
Advances in Near-Infrared Organic Photodetectors: Molecular Design, Exciton Dynamics, and Device Integration
by Hyosun Lee and Jongho Kim
Polymers 2026, 18(2), 201; https://doi.org/10.3390/polym18020201 - 11 Jan 2026
Viewed by 550
Abstract
Near-infrared organic photodetectors (NIR-OPDs) are emerging as versatile platforms for flexible and low-cost optical sensing, yet achieving high-performance in the NIR region remains difficult remains challenging due to intrinsic trade-offs at both the material and device levels, due to the inherent balance required [...] Read more.
Near-infrared organic photodetectors (NIR-OPDs) are emerging as versatile platforms for flexible and low-cost optical sensing, yet achieving high-performance in the NIR region remains difficult remains challenging due to intrinsic trade-offs at both the material and device levels, due to the inherent balance required among bandgap narrowing, exciton dissociation, charge transport, and dark-current suppression. This review provides a concise overview of OPD operating mechanisms and the performance metrics governing sensitivity and noise. We highlight recent molecular-engineering strategies—core fluorination, asymmetric π-bridge design, fused-ring rigidification, and polymer backbone/side-chain tuning—that effectively enhance intermolecular ordering, reduce energetic disorder, and extend NIR absorption. Progress in all-polymer detectors and ambipolar phototransistors further demonstrates improved stability and broadened detection capability. Additionally, emerging applications, including NIR communication, biosignal monitoring, flexible imaging, and biometric recognition, showcase the expanding utility of NIR-OPDs. Remaining challenges include pushing detection beyond 1200 nm, simplifying synthesis, and improving long-term stability. Overall, advances in low-bandgap molecular design and device engineering continue to accelerate the practical adoption of NIR-OPDs. Full article
Show Figures

Figure 1

33 pages, 10526 KB  
Review
Recent Developments in the Catalytic Enantioselective Sakurai Reaction
by Hélène Pellissier
Reactions 2026, 7(1), 6; https://doi.org/10.3390/reactions7010006 - 10 Jan 2026
Viewed by 250
Abstract
The Sakurai reaction constitutes a valuable tool for carbon–carbon bond formation. The use of nontoxic allylic reagents as well as the atom economy of the global process has prompted the development of enantioselective (aza)-variants based on the use of chiral organo- and metal [...] Read more.
The Sakurai reaction constitutes a valuable tool for carbon–carbon bond formation. The use of nontoxic allylic reagents as well as the atom economy of the global process has prompted the development of enantioselective (aza)-variants based on the use of chiral organo- and metal catalysts. This review collects the recent developments in catalytic enantioselective Sakurai reactions published since the beginning of 2011, including methodologies based on the use of chiral organocatalysts, metal/boron catalysts and multicatalyst systems. It is divided into three parts, dealing successively with enantioselective organocatalytic (aza)-Sakurai reactions, enantioselective metal/boron-catalyzed Sakurai reactions and enantioselective multicatalyzed (aza)-Sakurai reactions. It shows that, although still widely developed with aromatic aldehydes, the enantioselective catalytic Sakurai reaction has considerably matured in the last decade. Full article
(This article belongs to the Special Issue Feature Papers in Reactions in 2025)
Show Figures

Graphical abstract

12 pages, 809 KB  
Review
Managing Shared Waters: The Elusive Quest for Cooperative Governance in the Nile Basin
by Duncan Kikoyo and Smith Patricia
Water 2026, 18(2), 157; https://doi.org/10.3390/w18020157 - 7 Jan 2026
Viewed by 379
Abstract
The Nile River Basin—shared by eleven countries and supporting over 300 million people—exemplifies the complexity of managing shared waters amid asymmetrical power relations, historical legacies, and competing development priorities. To advance the understanding of transboundary water governance and guide future cooperative strategies in [...] Read more.
The Nile River Basin—shared by eleven countries and supporting over 300 million people—exemplifies the complexity of managing shared waters amid asymmetrical power relations, historical legacies, and competing development priorities. To advance the understanding of transboundary water governance and guide future cooperative strategies in the Nile Basin, a synthesis linking historical governance regimes with current contemporary frameworks is essential, as the existing literature is largely episodic, and its scope rarely includes recent governance developments. This review traces over a century of governance evolution, from pre-colonial and colonial allocation treaties through post-independence bilateral agreements to current institutional innovations and basin-wide initiatives. Historical and contemporary arrangements are assessed against principles of equitable and reasonable utilization, revealing persistent gaps in fairness, enforceability, and adaptive capacity. The analysis concludes by exploring emerging cooperation mechanisms and opportunities to transform the Nile from a locus of geopolitical tension into a model of equity-driven, cooperative governance. Full article
(This article belongs to the Special Issue Working Across Borders to Address Water Scarcity)
Show Figures

Figure 1

24 pages, 1889 KB  
Review
Symmetry and Asymmetry in Biogenic Carbonaceous Materials: A Framework for Sustainable Waste Valorization
by Pablo Gutiérrez-Sánchez, Gemma Vicente and Luis Fernando Bautista
Symmetry 2026, 18(1), 42; https://doi.org/10.3390/sym18010042 - 25 Dec 2025
Viewed by 317
Abstract
The increasing generation of biomass-derived waste has accelerated the development of sustainable strategies for its valorization into functional materials. Activated carbon (AC), due to its high surface area, tunable porosity, and chemical versatility, has emerged as a key product for applications in adsorption, [...] Read more.
The increasing generation of biomass-derived waste has accelerated the development of sustainable strategies for its valorization into functional materials. Activated carbon (AC), due to its high surface area, tunable porosity, and chemical versatility, has emerged as a key product for applications in adsorption, catalysis, energy storage, and biosensing, among others. Recent studies have highlighted the importance of symmetry and asymmetry in determining the structural and functional performance of AC. Symmetric architectures, typically generated via templating methods, yield ordered pore networks, whereas asymmetric structures, commonly produced through direct chemical activation or heteroatom doping, exhibit hierarchical porosity and heterogeneous surface functionalities. This work critically examines the fundamentals of symmetry and asymmetry in AC materials, as well as their influence on design and use. It discusses synthesis strategies, characterization techniques, and recent approaches that enable the rational engineering of carbon structures. Application-specific case studies are presented, along with current challenges related to feedstock variability, scalability, and regulatory integration. By highlighting the interplay between structural order and functional diversity, this work provides a conceptual framework for guiding future research in the development on symmetrical and asymmetrical carbonaceous materials for sustainable waste valorization. Full article
Show Figures

Figure 1

10 pages, 2290 KB  
Article
4,5-Dihydro-2H-pyridazin-3-ones as a Platform for the Construction of Chiral 4,4-Disubstituted-dihydropyridazin-3-ones
by Paul Joël Henry, Gabriel Burel, William Nzegge, Mario Waser and Jean-François Brière
Molecules 2026, 31(1), 83; https://doi.org/10.3390/molecules31010083 - 24 Dec 2025
Viewed by 384
Abstract
4,5-Dihydro-2H-pyridazin-3-ones (DHPDOs) are important synthetic as well as naturally occurring heterocycles. We herein report the synthesis of various 4-monofunctionalized 4,5-dihydro-2H-pyridazin-3-ones and their use as starting materials to access 4,4-disubstituted dihydropyridazin-3-ones in an asymmetric fashion. By using chiral ammonium salt [...] Read more.
4,5-Dihydro-2H-pyridazin-3-ones (DHPDOs) are important synthetic as well as naturally occurring heterocycles. We herein report the synthesis of various 4-monofunctionalized 4,5-dihydro-2H-pyridazin-3-ones and their use as starting materials to access 4,4-disubstituted dihydropyridazin-3-ones in an asymmetric fashion. By using chiral ammonium salt phase-transfer catalysts, conjugate additions of these scaffolds to classical acrylate-based Michael acceptors, as well as quinone methides, can be carried out with moderate to good enantioselectivities and in reasonable yields, affording a new pathway to dihydropyridazin-3-one derivatives with an all-carbon stereocenter. Full article
(This article belongs to the Special Issue Feature Papers in Organic Chemistry—Third Edition)
Show Figures

Graphical abstract

19 pages, 745 KB  
Review
Two Languages and One Aphasia: A Systematic Scoping Review of Primary Progressive Aphasia in Chinese Bilingual Speakers, and Implications for Diagnosis and Clinical Care
by Weifeng Han, Lin Zhou, Juan Lu and Shane Pill
Brain Sci. 2026, 16(1), 20; https://doi.org/10.3390/brainsci16010020 - 24 Dec 2025
Viewed by 529
Abstract
Background/Objectives: Primary progressive aphasia (PPA) is characterised by progressive decline in language and communication. However, existing diagnostic frameworks and assessment tools are largely based on Indo-European languages, which limits their applicability to Chinese bilingual speakers whose linguistic profiles differ markedly in tonal [...] Read more.
Background/Objectives: Primary progressive aphasia (PPA) is characterised by progressive decline in language and communication. However, existing diagnostic frameworks and assessment tools are largely based on Indo-European languages, which limits their applicability to Chinese bilingual speakers whose linguistic profiles differ markedly in tonal phonology, logographic writing, and bilingual organisation. This review aimed to (a) describe how PPA presents in Chinese bilingual speakers, (b) evaluate how well current speech–language and neuropsychological assessments capture these impairments, and (c) identify linguistically and culturally informed strategies to improve clinical practice. Methods: A systematic review was conducted in accordance with the PRISMA-ScR guidelines. Four databases (PubMed, Scopus, Web of Science, PsycINFO) were searched, complemented by backward and forward citation chaining. Eight empirical studies met the inclusion criteria. Data were extracted on participant characteristics, PPA variant, language background, speech–language and writing profiles, and assessment tools used. Thematic analysis was applied to address the research questions. Results: Across variants, Chinese bilingual speakers demonstrated universal PPA features expressed through language-specific pathways. Mandarin speakers exhibited tone-segment integration errors, tonal substitution, and disruptions in logographic writing. Lexical-semantic degradation reflected homophony and compounding characteristics. Bilingual individuals showed parallel or asymmetric decline influenced by dominance and usage. Standard English-based naming, repetition, and writing assessments did not reliably capture tone accuracy, radical-level writing errors, or bilingual patterns. Sociocultural factors, including stigma, delayed help-seeking, and family-centred care expectations, further shaped diagnostic pathways. Conclusions: Chinese PPA cannot be meaningfully assessed using tools designed for Indo-European languages. Findings highlight the need for tone-sensitive repetition tasks, logographic writing assessments, bilingual diagnostic protocols, and culturally responsive communication-partner support. This review provides a comprehensive synthesis to date on Chinese bilingual PPA and establishes a foundation for linguistically inclusive diagnostic and clinical models. Full article
Show Figures

Figure 1

Back to TopTop