Next Article in Journal
Revealing the Bioactive Potential of Romanian Wild Hop Cones: An Integrative Chemical, Antimicrobial, and Antibiofilm Activity and In Silico Docking Analysis
Previous Article in Journal
Coffee Cascara as a Source of Natural Antimicrobials: Chemical Characterization and Activity Against ESKAPE Pathogens
 
 
Font Type:
Arial Georgia Verdana
Font Size:
Aa Aa Aa
Line Spacing:
Column Width:
Background:
Article

A Concise Asymmetric Synthesis of the Aggregation Pheromone of Cryptolestes ferrugineus, Ferrulactone II, and Its Enantiomer

Department of Applied Chemistry, China Agricultural University, Beijing 100193, China
*
Author to whom correspondence should be addressed.
Molecules 2026, 31(3), 404; https://doi.org/10.3390/molecules31030404 (registering DOI)
Submission received: 24 December 2025 / Revised: 15 January 2026 / Accepted: 20 January 2026 / Published: 24 January 2026
(This article belongs to the Section Applied Chemistry)

Abstract

A concise and efficient synthesis of the aggregation pheromone of Cryptolestes ferrugineus, Ferrulactone II, and its enantiomer has been developed. The synthetic route features CBS reduction, the zipper reaction, a copper(I)-catalyzed coupling, stereoselective partial hydrogenation, Yamaguchi esterification, and the Mitsunobu inversion reaction. The structures and absolute configurations of both enantiomers of the target pheromone were confirmed by NMR, HRMS, specific rotation, and ECD spectroscopy. This study provides a reliable supply of material for further biological evaluation.

Graphical Abstract

1. Introduction

The rusty grain beetle, Cryptolestes ferrugineus (Stephens), is a serious storage pest found in more than 110 countries on different continents [1,2]. This pest could rapidly multiply and damage wheat, beans, maize, and other cereals, causing great threats to stored grains and significant economic losses [3,4]. Fumigation with phosphine (PH3) is the primary strategy to control the rusty grain beetle [5,6]. However, its prolonged, extensive, and inefficient use has led to high levels and widespread phosphine resistance in C. ferrugineus [7,8], driving the need for alternative, more efficient, and eco-friendly control [9,10].
Pheromones offer innovative and sustainable approaches to control the stored product pest, with the advantages of being effective, benign to the environment, and rarely inducing pest resistance [11,12]. In 1983, Wong and co-workers identified that the aggregation pheromone of C. ferrugineus was (E,E)-4,8-dimethyl-4,8-decadien-10-olide (Ferrulactone I) and (3Z,11S)-3-dodecen-11-olide (Ferrulactone II) (Scheme 1), and found that the pheromone could attract male and female rusty grain beetles [13]. Later, Oehlschlager and co-workers used a mixture of the synthetic Ferrulactone I and racemic Ferrulactone II to trap the rusty grain beetle in farm bins [14].
Due to its significant bioactivity and the application of mass trapping [14], its synthesis has previously been studied by several groups. The previous syntheses of Ferrulactone II and its enantiomer are mainly based on chiral sources of ethyl (S)-3-hydroxybutanoate [15] and (S)- and (R)-methyloxirane [16,17], TBADH catalyzed reduction [18], and Lipase AK or PPL-catalyzed acetylation [19,20]. However, these synthetic strategies have disadvantages such as many steps or low total yields (Scheme 2). Hence, a more concise and efficient asymmetric synthesis of Ferrulactone II and its enantiomer is needed in order to facilitate its implementation as a biorational tool in the management of the rusty grain beetle.
Herein, we report an enantioselective synthesis of Ferrulactone II (S)-1 and its enantiomer (R)-1 (Scheme 1). The key steps of this route include CBS reduction, Yamaguchi esterification, and Mitsunobu-macrolactonization with inversion of the chiral hydroxyl group. Overall, the approach features a concise seven-step sequence with a high overall yield, avoids the use of protecting groups, and enables access to both S- and R-enantiomers using a single chiral catalyst.

2. Results and Discussion

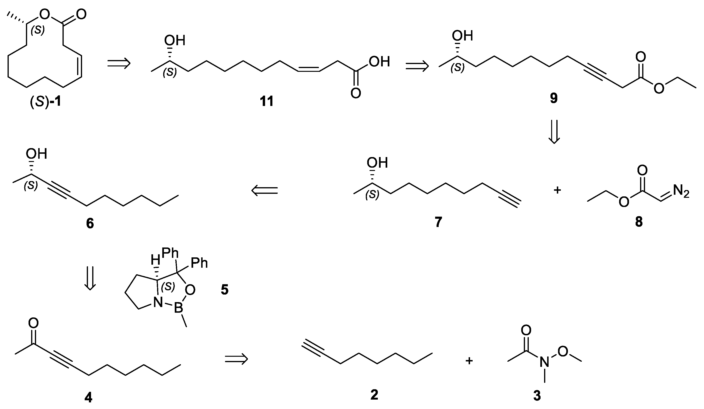
2.1. Retrosynthetic Analysis

The retrosynthetic analysis of Ferrulactone II (S)-1 is illustrated in Scheme 3. The target macrolactone (S)-1 could be prepared through Yamaguchi esterification of (S,Z)-11-hydroxydodec-3-enoic acid (11). The cis double bond in hydroxyl acid 11 could be generated via partial hydrogenation of (S)-11-hydroxydodec-3-ynoate (9) catalyzed with Brown’s P2-Ni system. Alkynyl ester 9 could be synthesized by a copper(I)-catalyzed coupling of terminal alkyne 7 with ethyl diazoacetate (8). The chiral hydroxy of propargylic alcohol 6 was envisioned to be introduced by an enantioselective CBS reduction of dec-3-yn-2-one (4), which could be achieved from Weinreb’s amide 3 and oct-1-yne (2).

2.2. Synthesis of (S,Z)-11-Hydroxydodec-3-enoic Acid (11)

Our investigation commenced with the synthesis of (S,Z)-11-hydroxydodec-3-enoic acid (11), the key precursor of the target pheromone (Scheme 4). The reaction of Weinreb’s amide 3 with an alkynyllithium, prepared in situ from oct-1-yne (2) and n-butyllithium, afforded dec-3-yn-2-one (4) in a near quantitative yield (99%) [21,22]. The construction of the crucial stereocenter was then achieved through a catalytic enantioselective CBS (Corey–Bakshi–Shibata) reduction [23,24]. Employing oxazaborolidine 5 and the complex of borane-dimethyl sulfide converted ynone 4 to (S)-dec-3-yn-2-ol (6) (79% yield, 90% ee, determined by chiral HPLC of its 3,5-dinitrobenzoate; see Supplementary Materials for details). Moreover, the specific rotation of 6 ( [ α ] D 25 = −22.05 (c = 2.54, CHCl3) was consistent with the data of the literature [25] ( [ α ] D 22 = −23.7 (c = 10.2), the enantiomeric purity). The subsequent zipper reaction relocated the triple bond of chiral propargylic alcohol 6 to the terminal position, delivering (S)-dec-9-yn-2-ol (7) in 92% yield [26,27,28,29]. A pivotal carbon–carbon bond formation developed by Fu and co-workers was realized through a copper(I)-catalyzed coupling of terminal alkyne 7 with ethyl diazoacetate (8) to furnish ethyl (S)-11-hydroxydodec-3-ynoate (9) [30]. The stereoselective partial hydrogenation of alkynyl ester 9 catalyzed with Ni(OAc)2/NaBH4 provided the corresponding cis alkenyl ester 10 (84% yield, Z:E > 99:1, determined by 13C NMR spectra) [31,32,33,34]. Finally, the saponification of ethyl (S,Z)-11-hydroxydodec-3-enoate (10) with lithium hydroxide proceeded successfully to yield hydroxyl acid 11 almost quantitatively [35].

2.3. Synthesis of Ferrulactone II (S)-1 and Its Enantiomer (R)-1

With the key precursor (S,Z)-11-hydroxydodec-3-enoic acid (11) in hand, both enantiomers of the target macrolactone (S)- and (R)-1 were synthesized (Scheme 5). Ferrulactone II ((S)-1) was prepared firstly using Yamaguchi esterification, which has advantages of mild conditions and high efficiency [36,37]. Treatment of hydroxy acid 11 with 2,4,6-trichlorobenzoyl chloride and triethylamine in THF generated the mixed anhydride in situ, and the subsequent DMAP-catalyzed cyclization in toluene afforded (S,Z)-3-dodecen-11-olide ((S)-1) [38]. Mitsunobu-macrolactonization could invert the configuration of the chiral carbon; therefore, we choose this strategy to prepare the enantiomer of Ferrulactone II [39,40]. The reaction of hydroxy acid 11 with triphenylphosphine and DEAD in toluene provided (R,Z)-3-dodecen-11-olide ((R)-1). The specific rotations of both compounds, (R)-1 and (S)-1, were in agreement with those described in the literature [17,20]. To further corroborate the absolute configuration of the target pheromone, the experimental ECD spectra were compared with the calculated ECD spectra [41,42]. The close match observed for both (S)-1 and (R)-1 (Figure S25) confirmed their absolute stereochemistry.

3. Materials and Methods

3.1. General Information

The details of the instruments and experimental methods are described in the Supporting Information.

3.2. Synthesis of Dec-3-yn-2-one (4) (CAS 91658-50-3)

Under an argon atmosphere, a 250 mL Schlenk flask containing a stir bar was charged with 1-octyne (2) (5.51 g, 50.00 mmol) and anhydrous THF (100 mL) at room temperature. The solution was cooled to −78 °C, then n-BuLi (21 mL, 2.5 M in n-hexane, 52.50 mmol) was added dropwise. The resulting mixture was stirred for 2 h at the same temperature, and N-methoxy-N-methylacetamide (3) (5.67 g, 55.00 mmol) was added slowly. After the reaction mixture was warmed to room temperature and stirred for an additional 7 h, the reaction was quenched with saturated aqueous NH4Cl (30 mL). The organic layer was separated, and the aqueous phase was back-extracted with Et2O (3 × 30 mL). The combined organic layers were washed with brine (90 mL), dried over anhydrous Na2SO4, filtered, and concentrated under reduced pressure. The final purification by silica-gel column chromatography (petroleum ether/EtOAc 100:1) afforded dec-3-yn-2-one (4) (7.60 g, 99% yield) as a pale-yellow oil. 1H NMR (500 MHz, CDCl3) δ 2.28 (t, J = 7.1 Hz, 2H), 2.25 (s, 3H), 1.53–1.48 (m, 2H), 1.36–1.30 (m, 2H), 1.27–1.20 (m, 4H), 0.83 (t, J = 6.8 Hz, 3H). 13C NMR (126 MHz, CDCl3) δ 185.1, 94.4, 81.6, 32.9, 31.4, 28.7, 27.8, 22.6, 19.1, 14.2. HRMS (ESI): calculated for C10H17O [M + H]+: 153.1274, found: 153.1278 (Δ = 2.4 ppm).

3.3. Synthesis of (S)-Dec-3-yn-2-ol (6) (CAS 72132-11-7)

A 250 mL Schlenk flask containing a stir bar and freshly activated 4 Å molecular sieves was evacuated and back-filled with argon three times at room temperature. After being cooled to −40 °C, oxazaborolidine (5) (12 mL, 1 M in toluene, 12.00 mmol) and THF (10 mL) were added. BH3·BMS (12 mL, 2 M in THF, 24.00 mmol) was then added dropwise, and the mixture was stirred for 2 h. Subsequently, a solution of dec-3-yn-2-one (4) (3.04 g, 20.00 mmol) in THF (50 mL) was added via a syringe pump over 48 h. The reaction mixture was stirred for an additional 7 h at −40 °C, and quenched with MeOH (20 mL) at the same temperature. The resulting mixture was warmed to room temperature and stirred for 3 h. The mixture was filtered, and the filtrate was concentrated under reduced pressure. The final purification by silica-gel column chromatography (petroleum ether/EtOAc 20:1) gave (S)-dec-3-yn-2-ol (6) (2.43 g, 79% yield, 90% ee, determined by chiral HPLC of its 3,5-dinitrobenzoate) as a colorless oil. [ α ] D 25 = −22.05 (c = 2.54, CHCl3). Lit [25]. [ α ] D 22 = −23.7 (c = 10.2). 1H NMR (500 MHz, CDCl3) δ 4.54–4.49 (m 1H), 2.19 (td, J = 7.2, 2.0 Hz, 2H), 1.74 (d, J = 4.8 Hz, 1H), 1.51–1.47 (m, 2H), 1.43 (d, J = 6.4 Hz, 3H), 1.40–1.36 (m, 2H), 1.32–1.25 (m, 4H), 0.89 (t, J = 6.9 Hz, 3H). 13C NMR (126 MHz, CDCl3) δ 84.9, 82.3, 58.8, 31.5, 28.8, 28.76, 24.9, 22.7, 18.8, 14.2. HRMS (ESI): calculated for C10H19O [M + H]+: 155.1431, found: 155.1431 (Δ = 0.0 ppm).

3.4. Synthesis of (S)-Dec-9-yn-2-ol (7) (CAS 107351-67-7)

A 100 mL three-necked flask containing a stir bar was charged with freshly activated 4 Å molecular sieves (2.00 g) and NaH (3.46 g, 144.00 mmol, 60% dispersion in mineral oil) at room temperature. 1,3-Propanediamine (25 mL) was added, and the resulting suspension was heated to 60 °C and refluxed for 5 h (caution: gas evolution was observed). Subsequently, the suspension was cooled to 0 °C, and (S)-dec-3-yn-2-ol (6) (2.22 g, 14.40 mmol) was then added. After the reaction mixture was warmed to room temperature and stirred for 4 h, it was quenched with ice water (10 mL) at 0 °C. The mixture was extracted with Et2O (3 × 30 mL), and the combined organic layers were washed with brine (90 mL), dried over Na2SO4, filtered, and concentrated under reduced pressure. The final purification by silica-gel column chromatography (petroleum ether/EtOAc 20:1) afforded (S)-dec-9-yn-2-ol (7) (2.05 g, 92% yield) as a pale-yellow oil. [ α ] D 25 = +9.22 (c = 3.47, CHCl3) [43]. [ α ] D 21.2 = +9.4 (c = 1.02, CHCl3). 1H NMR (500 MHz, CDCl3) δ 3.81–3.76 (m, 1H), 2.19 (td, J = 7.1, 2.6 Hz, 2H), 1.94 (t, J = 2.7 Hz, 1H), 1.56–1.50 (m, 2H), 1.45–1.31 (m, 8H), 1.19 (d, J = 6.2 Hz, 3H). 13C NMR (126 MHz, CDCl3) δ 84.8, 68.3, 68.3, 39.4, 29.2, 28.8, 28.5, 25.8, 23.7, 18.5. HRMS (ESI): calculated for C10H19O [M + H]+: 155.1430, found: 155.1437 (Δ = 0.64 ppm).

3.5. Synthesis of Ethyl (S)-11-Hydroxydodec-3-ynoate (9) (New Compound)

Under an argon atmosphere, a 50 mL Schlenk tube containing a stir bar was charged with CuI (57 mg, 0.30 mmol) and anhydrous MeCN (10 mL) at room temperature. (S)-Dec-9-yn-2-ol (7) (0.93 g, 6.00 mmol) and ethyl diazoacetate (8) (0.82 g, 7.20 mmol) were then added. The reaction mixture was stirred at room temperature for 17 h, filtered, and concentrated under reduced pressure. The final purification by silica-gel column chromatography (petroleum ether/EtOAc, 50:1) afforded ethyl (S)-11-hydroxydodec-3-ynoate (9) (1.08 g, 75% yield) as a colorless oil. [ α ] D 25 = +12.67 (c = 2.21, CHCl3). 1H NMR (500 MHz, CDCl3) δ 4.19 (q, J = 7.1 Hz, 2H), 3.81–3.76 (m, 1H), 3.24 (t, J = 2.5 Hz, 2H), 2.21–2.18 (m, 2H), 1.60 (br s, 1H), 1.52–1.48 (m, 2H), 1.45–1.36 (m, 6H), 1.33–1.31 (m, 2H), 1.28 (t, J = 5.3 Hz, 3H), 1.19 (d, J = 6.1 Hz, 3H). 13C NMR (126 MHz, CDCl3) δ 169.2, 83.9, 71.7, 68.3, 61.6, 39.4, 29.2, 28.9, 28.7, 26.3, 25.7, 23.6, 18.9, 14.3. HRMS (ESI): calculated for C14H25O3 [M + H]+: 241.1798, found: 241.1800 (Δ = 0.66 ppm).

3.6. Synthesis of Ethyl (S,Z)-11-Hydroxydodec-3-enoate (10) (CAS 3054699-79-2)

A 50 mL Schlenk tube containing a stir bar and Ni(OAc)2·4H2O (120 mg, 0.48 mmol) was evacuated and back-filled with H2 three times. NaBH4 (18 mg, 0.48 mmol) in anhydrous EtOH (10 mL) was then added slowly (caution: gas evolution was observed). After stirring for 1 h at room temperature, the mixture was cooled to 0 °C. Ethylenediamine (115 mg, 1.91 mmol) and a solution of ethyl (S)-11-hydroxydodec-3-ynoate (9) (460 mg, 1.91 mmol) in anhydrous EtOH (1 mL) were added sequentially. Under a H2 atmosphere, the reaction mixture was stirred at 0 °C for 1 h, filtered, and concentrated under reduced pressure. The final purification by silica-gel chromatography (petroleum ether/EtOAc 50:1) afforded ethyl (S,Z)-11-hydroxydodec-3-enoate (10) (392 mg, 84% yield, Z:E > 99:1, determined by 13C NMR spectra) as a colorless oil. [ α ] D 25 = +22.46 (c = 2.85, CHCl3). 1H NMR (500 MHz, CDCl3) δ 5.60–5.53 (m, 2H), 4.14 (q, J = 7.0 Hz, 2H), 3.81–3.76 (m, 1H), 3.07 (d, J = 6.0 Hz, 2H), 2.06–2.02 (m, 2H), 1.66 (br s, 1H), 1.45–1.29 (m, 10H), 1.26 (t, J = 7.0 Hz, 3H), 1.19 (d, J = 6.2 Hz, 3H). 13C NMR (126 MHz, CDCl3) δ 172.2, 133.5, 121.0, 68.3, 60.4, 39.5, 33.2, 29.6, 29.4, 29.3, 27.5, 25.8, 23.6, 14.3. HRMS (ESI): calculated for C14H27O3 [M + H]+: 243.1955, found: 243.1952 (Δ = −1.0 ppm).

3.7. Synthesis of (S,Z)-11-Hydroxydodec-3-enoic Acid (11) (CAS 87583-43-5)

Under an argon atmosphere, a 50 mL Schlenk tube containing a stir bar was charged with ethyl (S,Z)-11-hydroxydodec-3-enoate (10) (390 mg, 1.61 mmol), THF (9 mL), and H2O (3 mL) at room temperature. LiOH (1.2 mL, 2 M in H2O, 2.40 mmol) was then added. After the reaction mixture was stirred for 24 h at room temperature, it was acidified to pH 2 with 1 M HCl. The resulting mixture was extracted with EtOAc (3 × 30 mL), and the combined extracts were dried over Na2SO4, filtered, and concentrated under reduced pressure. The final purification by silica-gel column chromatography (petroleum ether/EtOAc 2:1) afforded (S,Z)-11-hydroxydodec-3-enoic acid (11) (344 mg, 99% yield) as a colorless oil. [ α ] D 25 = +21.05 (c = 2.09, CHCl3). 1H NMR (500 MHz, CDCl3) δ 5.64–5.52 (m, 2H), 3.84–3.78 (m, 1H), 3.13 (d, J = 6.4 Hz, 2H), 2.07–2.03 (m, 2H), 1.44–1.36 (m, 4H), 1.32–1.25 (m, 6H), 1.19 (d, J = 6.2 Hz, 3H). 13C NMR (126 MHz, CDCl3) δ 176.9, 134.2, 120.4, 68.4, 39.3, 32.7, 29.4, 29.1, 29.1, 27.4, 25.7, 23.6. HRMS (ESI): calculated for C12H23O3 [M + H]+: 215.1642, found: 215.1641 (Δ = −0.28 ppm).

3.8. Synthesis of (S,Z)-12-Methyloxacyclododec-4-en-2-one ((S)-1) (CAS 86578-99-6)

Under an argon atmosphere, a 10 mL Schlenk tube containing a stir bar was charged with (S,Z)-11-hydroxydodec-3-enoic acid (11) (37 mg, 0.17 mmol) and THF (3 mL) at room temperature. Et3N (86 mg, 0.85 mmol) was then added, followed by 2,4,6-trichlorobenzoyl chloride (63 mg, 0.26 mmol). After the reaction mixture was stirred for 1 h at room temperature, it was filtered and concentrated under reduced pressure to afford the crude 2,4,6-trichlorobenzoic (S,Z)-11-hydroxydodec-3-enoic anhydride.
A 500 mL three-necked flask containing a stir bar and DMAP (415 mg, 3.40 mmol) was evacuated and back-filled with argon three times. Anhydrous toluene (250 mL) was added, and the resulting solution was stirred vigorously. A solution of the above crude anhydride in toluene (40 mL) was then added dropwise via a syringe pump over 2 h. After the reaction mixture was stirred for an additional 16 h at room temperature, it was filtered and concentrated under reduced pressure. The final purification by silica-gel column chromatography (petroleum ether/EtOAc 20:1) afforded (3Z,11S)-3-dodecen-11-olide ((S)-1) (23 mg, 69% yield) as a colorless oil. [ α ] D 25 = +56.08 (c = 1.03, CHCl3). Lit [17]. [ α ] D 22.5 = +70.5 (c = 0.96, CHCl3). 1H NMR (500 MHz, CDCl3) δ 5.59–5.52 (m, 2H), 4.94–4.88 (m, 1H), 3.09–2.98 (m, 2H), 2.07–2.02 (m, 2H), 1.55–1.48 (m, 2H), 1.31–1.25 (m, 8H), 1.20 (d, J = 6.3 Hz, 3H). 13C NMR (126 MHz, CDCl3) δ 171.7, 133.8, 121.3, 71.2, 36.1, 33.8, 29.5, 29.2, 29.2, 27.4, 25.4, 20.3. HRMS (ESI): calculated for C12H21O2 [M + H]+: 197.1536, found: 197.1536 (Δ = 0.0 ppm).

3.9. Synthesis of (R,Z)-12-Methyloxacyclododec-4-en-2-one ((R)-1) (CAS 87583-38-8)

A 25 mL Schlenk tube containing a stir bar and triphenylphosphine (262 mg, 1.00 mmol) was vacuumed and back-filled with argon three times at room temperature. Then, a solution of hydroxy acid (11) (30 mg, 0.14 mmol) in toluene (15 mL) was added and cooled to −10 °C. DIAD (98 mg, 0.56 mmol) was added dropwise over 10 min, and the resulting mixture was warmed to room temperature and stirred for 2 h. The reaction mixture was filtered, and the filtrate was concentrated under reduced pressure. The final purification by silica gel column chromatography (petroleum ether/EtOAc 20:1) afforded (R,Z)-12-methyloxacyclododec-4-en-2-one ((R)-1) (17 mg, 63% yield) as a colorless oil. [ α ] D 25 = −66.17 (c = 1.07, CHCl3). Lit [20]. [ α ] D 22 = −68.1 (c = 0.7, CHCl3) 1H NMR (500 MHz, CHCl3) δ 5.60–5.52 (m, 2H), 4.94–4.89 (m, 1H), 3.10–2.98 (m, 2H), 2.07–2.03 (m, 2H), 1.55–1.49 (m, 2H), 1.29–1.23 (m, 8H), 1.20 (d, J = 6.3 Hz, 3H) 13C NMR (126 MHz, CHCl3) δ 171.8, 133.8, 121.3, 71.2, 36.1, 33.7, 29.9, 29.4, 29.1, 27.4, 25.3, 20.3. HRMS (ESI): calculated for C12H21O2 [M + H]+: 197.1536, found: 197.1539 (Δ = 1.2 ppm).

4. Conclusions

In summary, an efficient and concise asymmetric synthesis of Ferrulactone II, the aggregation pheromone of Cryptolestes ferrugineus, and its enantiomer, has been developed. Compared to previous syntheses, this approach provides a concise and protecting-group-free route with high overall yield, enabling access to both enantiomers using a single chiral catalyst. Ferrulactone II was obtained in seven steps with an overall yield of 31%, while its enantiomer was prepared in seven steps with a total yield of 28%. All synthetic intermediates and final products were fully characterized by 1H and 13C NMR spectroscopy and HRMS (Figures S1–S22). Importantly, this synthetic approach provides reliable access to both enantiomers of Ferrulactone II, supplying well-defined material suitable for future biological evaluation and studies aimed at exploring their potential application in the management of the rusty grain beetle.

Supplementary Materials

The following supporting information can be downloaded at: https://www.mdpi.com/article/10.3390/molecules31030404/s1. Research on the optical purity of chiral alcohol 6, 1H NMR and 13C NMR spectra for all the synthetic compounds, and HPLC chromatography of the 3,5-dinitrobenzoate of 6 and ECD spectra of the target compounds (S)- and (R)-1. Refs. [44,45,46] are cited in the Supplementary Materials.

Author Contributions

Methodology, H.T., B.A. and Y.H.; writing—review and editing, D.L. and Q.B.; and supervision, J.Z. All authors have read and agreed to the published version of the manuscript.

Funding

This research was funded by the National Key Technology Research and Development Program of China (No. 2023YFD1800900).

Institutional Review Board Statement

Not applicable.

Informed Consent Statement

Not applicable.

Data Availability Statement

The original contributions presented in this study are included in the article/Supplementary Materials. Further inquiries can be directed to the corresponding author.

Conflicts of Interest

The authors declare no conflicts of interest.

References

  1. Boopathy, H.; Bharathi, V.S.K.; Jayas, D.S.; Jian, F. Three-dimensional movement and distribution of Tribolium castaneum (Coleoptera: Tenebrionidae) and Cryptolestes ferrugineus (Coleoptera: Laemophloeidae) in stored wheat at different temperatures and at different times. Environ. Entomol. 2025, 54, 15–26. [Google Scholar] [CrossRef]
  2. Bharathi, V.S.K.; Jian, F.; Jayas, D.S. Biology, ecology, and behavior of rusty grain beetle (Cryptolestes ferrugineus (Stephens)). Insects 2023, 14, 590. [Google Scholar] [CrossRef]
  3. Bharathi, V.S.K.; Jayas, D.S.; Jian, F. Effects of insect density, movement period, and temperature on three-dimensional movement and distribution of adult Cryptolestes ferrugineus (Coleoptera: Laemophloeidae). J. Insect Sci. 2022, 22, 3. [Google Scholar] [CrossRef]
  4. Bharathi, V.S.K.; Jayas, D.S.; Jian, F. Study on 300 t of wheat stored in corrugated steel bin for two years in Canada. Part II—Movement and distribution of Cryptolestes ferrugineus (Stephens) and Tribolium castaneum (Herbst). J. Stored Prod. Res. 2023, 100, 102062. [Google Scholar] [CrossRef]
  5. Venkidusamy, M.; Jagadeesan, R.; Nayak, M.K.; Subbarayalu, M.; Subramaniam, C.; Collins, P.J. Relative tolerance and expression of resistance to phosphine in life stages of the rusty grain beetle, Cryptolestes ferrugineus. J. Pest Sci. 2018, 91, 277–286. [Google Scholar] [CrossRef]
  6. Konemann, C.E.; Hubhachen, Z.; Opit, G.P.; Gautam, S.; Bajracharya, N.S. Phosphine resistance in Cryptolestes ferrugineus (Coleoptera: Laemophloeidae) collected from grain storage facilities in Oklahoma, USA. J. Econ. Entomol. 2017, 110, 1377–1383. [Google Scholar] [CrossRef] [PubMed]
  7. Muralitharan, V.; Sonai, R.T.; Chandrasekaran, S.; Mohankumar, S. Phosphine resistance in rusty grain beetle Cryptolestes ferrugineus (Stephens) from south India. Ind. J. Entomol. 2018, 80, 935–941. [Google Scholar] [CrossRef]
  8. Toon, A.; Daglish, G.J.; Ridley, A.W.; Emery, R.N.; Holloway, J.C.; Walter, G.H. Significant population structure in Australian Cryptolestes ferrugineus and interpreting the potential spread of phosphine resistance. J. Stored Prod. Res. 2018, 77, 219–224. [Google Scholar] [CrossRef]
  9. Soltani, A.; Djebbi, T.; Jemaa, J.M.B. Encapsulating Myrtus communis essential oil in date kernel polysaccharides: An innovative approach to controlling Cryptolestes ferrugineus (Coléoptères: Laemophloeidés) (Stephens 1831). J. Plant Dis. Prot. 2025, 132, 111. [Google Scholar] [CrossRef]
  10. Mahmoud, H.A.; Azab, M.M.; Sleem, F.M.A. Bioactivity of Cinnamomum verum powder and extract against Cryptolestes ferrugineus S., Rhyzopertha dominica F. and Sitophilus granarius L. (Coleoptera). Int. J. Trop. Insect Sci. 2023, 43, 629–636. [Google Scholar] [CrossRef]
  11. Anukiruthika, T.; Jayas, D.S. Chemical cues in grain storage: A review on semiochemical types, pest behavior, and control strategies. J. Stored Prod. Res. 2025, 113, 102674. [Google Scholar] [CrossRef]
  12. Yu, L.; Cao, X.-L.; Zheng, W.; Li, J.; Xie, F.-Y.; Zheng, X.-L. Aggregation pheromones of bostrichidae: A review. J. Stored Prod. Res. 2025, 114, 102767. [Google Scholar] [CrossRef]
  13. Wong, J.W.; Verigin, V.; Oehlschlager, A.C.; Borden, J.H.; Pierce, H.D.; Pierce, A.M.; Chong, L. Isolation and identification of two macrolide pheromones from the frass of Cryptolestes ferrugineus (Coleoptera: Cucujidae). J. Chem. Ecol. 1983, 9, 451–474. [Google Scholar] [CrossRef] [PubMed]
  14. Loschiavo, S.R.; Wong, J.; White, N.D.G.; Pierce, H.D.; Borden, J.H.; Oehlschlager, A.C. Field-evaluation of a pheromone to detect adult rusty grain beetles, Cryptolestes ferrugineus (Coleoptera, Cucujidae), in stored grain. Can. Entomol. 1986, 118, 1–8. [Google Scholar] [CrossRef]
  15. Sakai, T.; Mori, K. Pheromone synthesis. Part 82. New synthesis of the macrolide pheromones of the rusty grain beetle, Cryptolestes ferrugineus Stephens. Agric. Biol. Chem. 1986, 50, 177–183. [Google Scholar] [CrossRef]
  16. Czeskis, B.A.; Shpiro, N.A.; Moiseenkov, A.M. Efficient synthesis of (S,Z)-dodec-3-en-11-olide (Ferrulactone II) using (2-carboxyethyl)triphenylphosphonium bromide. Mendeleev Commun. 1993, 3, 96. [Google Scholar] [CrossRef]
  17. Oehlschlager, A.C.; Wong, J.W.; Verigin, V.G.; Pierce, H.D., Jr. Synthesis of two macrolide pheromones of the rusty grain beetle, Cryptolestes ferrugineus (Stephens). J. Org. Chem. 1983, 48, 5009–5017. [Google Scholar] [CrossRef]
  18. Keinan, E.; Sinha, S.C.; Singh, S.P. Thermostable enzymes in organic synthesis. 5. Total synthesis of S-(+)-Z-dodec-3-en-11-olide (Ferrulactone II) using a Thermoanaerobium brockii alcohol dehydrogenase-generated bifunctional chiron. Tetrahedron 1991, 47, 4631–4638. [Google Scholar] [CrossRef]
  19. Mori, K.; Tomioka, H. Synthesis of four macrolide pheromones to define the scope and limitation of enzymatic macrolactonization. Liebigs Ann. Chem. 1992, 1992, 1011–1017. [Google Scholar] [CrossRef]
  20. Pawar, A.S.; Sankaranarayanan, S.; Chattopadhyay, S. Chemoenzymic synthesis of Ferrulactone II and (2E)-9-hydroxydecenoic acid. Tetrahedron Asymmetry 1995, 6, 2219–2226. [Google Scholar] [CrossRef]
  21. Huang, Y.-H.; Liu, Z.-J.; Huang, P.-Q. Enantioselective total syntheses of marine natural products (+)-cylindricines C, D, E and their diastereomers. Org. Chem. Front. 2022, 9, 58–63. [Google Scholar] [CrossRef]
  22. Zhang, N.; Jiang, H.; Ma, Z. Concise synthesis of (±)-myrioneurinol enabled by sequential [2 + 2] cycloaddition/retro-Mannich fragmentation/Mannich reaction. Angew. Chem. Int. Ed. 2022, 61, e202200085. [Google Scholar] [CrossRef]
  23. Kaneko, H.; Takahashi, S.; Kogure, N.; Kitajima, M.; Takayama, H. Asymmetric total synthesis of fawcettimine-type lycopodium alkaloid, lycopoclavamine-A. J. Org. Chem. 2019, 84, 5645–5654. [Google Scholar] [CrossRef]
  24. Corey, E.J.; Bakshi, R.K.; Shibata, S.; Chen, C.P.; Singh, V.K. A stable and easily prepared catalyst for the enantioselective reduction of ketones. Applications to multistep syntheses. J. Am. Chem. Soc. 1987, 109, 7925–7926. [Google Scholar] [CrossRef]
  25. Claesson, A.; Olsson, L.-I. Allenes and acetylenes. 22. Mechanistic aspects of the allene-forming reductions (SN2’ reaction) of chiral propargylic derivatives with hydride reagents. J. Am. Chem. Soc. 1979, 101, 7302–7311. [Google Scholar] [CrossRef]
  26. Brown, C.A.; Yamashita, A. Saline hydrides and superbases in organic reactions. Ix. Acetylene zipper. Exceptionally facile contrathermodynamic multipositional isomeriazation of alkynes with potassium 3-aminopropylamide. J. Am. Chem. Soc. 1975, 97, 891–892. [Google Scholar] [CrossRef]
  27. Brown, C.A.; Yamashita, A. Exceptionally easy isomerization of acetylenic alcohols with potassium 3-aminopropylamide. A new high yield synthesis of functionally differentiated αω-difunctional structures. J. Chem. Soc. Chem. Commun. 1976, 959–960. [Google Scholar] [CrossRef]
  28. Steib, P.; Breit, B. Enantioselective rhodium-catalyzed dimerization of ω-allenyl carboxylic acids: Straightforward synthesis of C2-symmetric macrodiolides. Angew. Chem. Int. Ed. 2018, 57, 6572–6576. [Google Scholar] [CrossRef]
  29. Liu, F.; Zhong, J.; Li, S.; Li, M.; Wu, L.; Wang, Q.; Mao, J.; Liu, S.; Zheng, B.; Wang, M.; et al. Total syntheses of (R)-strongylodiols C and D. J. Nat. Prod. 2016, 79, 244–247. [Google Scholar] [CrossRef]
  30. Suarez, A.; Fu, G.C. A straightforward and mild synthesis of functionalized 3-alkynoates. Angew. Chem. Int. Ed. 2004, 43, 3580–3582. [Google Scholar] [CrossRef] [PubMed]
  31. Brown, C.A.; Ahuja, V.K. P-2 nickel catalyst with ethylenediamine, a novel system for highly stereospecific reduction of alkynes to cis-olefins. J. Chem. Soc. Chem. Commun. 1973, 553–554. [Google Scholar] [CrossRef]
  32. Oehlschlager, A.C.; Czyzewska, E.; Aksela, R.; Pierce, H.D., Jr. Improved syntheses of hydroxy acid precursors of macrolide pheromones of cucujid grain beetles. Can. J. Chem. 1986, 64, 1407–1413. [Google Scholar] [CrossRef]
  33. Morandi, S.; Pellati, F.; Ori, C.; Adinolfi, B.; Nieri, P.; Benvenuti, S.; Prati, F. Isolation, structure elucidation and total synthesis of a cytotoxic dienone from Echinacea pallida. Org. Biomol. Chem. 2008, 6, 4333–4339. [Google Scholar] [CrossRef] [PubMed]
  34. Zhou, Y.; Huang, Y.; Li, S.; Yang, P.; Zhong, J.; Yin, J.; Ji, K.; Yang, Y.; Ye, N.; Wang, L.; et al. Total syntheses of 9-epoxyfalcarindiol and its diastereomer. Tetrahedron Asymmetry 2017, 28, 288–295. [Google Scholar] [CrossRef]
  35. Wang, H.; Jie, X.; Su, T.; Wu, Q.; Kuang, J.; Sun, Z.; Zhao, Y.; Chong, Q.; Guo, Y.; Zhang, Z.; et al. Cobalt-catalyzed chemo- and stereoselective transfer semihydrogenation of 1,3-dienes with water as a hydrogen source. J. Am. Chem. Soc. 2024, 146, 23476–23486. [Google Scholar] [CrossRef]
  36. Heravi, M.M.; Ghalavand, N.; Ghanbarian, M.; Mohammadkhani, L. Applications of Mitsunobu reaction in total synthesis of natural products. Appl. Organomet. Chem. 2018, 32, e4464. [Google Scholar] [CrossRef]
  37. Iwasaki, T.; Tajimi, Y.; Kameda, K.; Kingwell, C.; Wcislo, W.; Osaka, K.; Yamawaki, M.; Morita, T.; Yoshimi, Y. Synthesis of 23-, 25-, 27-, and 29-membered (Z)-selective unsaturated and saturated macrocyclic lactones from 16- and 17-membered macrocyclic lactones and bromoalcohols by Wittig reaction, Yamaguchi macrolactonization, and photoinduced decarboxylative radical macrolactonization. J. Org. Chem. 2019, 84, 8019–8026. [Google Scholar] [CrossRef]
  38. Inanaga, J.; Hirata, K.; Saeki, H.; Katsuki, T.; Yamaguchi, M. A rapid esterification by mixed anhydride and its application to large-ring lactonization. Bull. Chem. Soc. Jpn. 1979, 52, 1989–1993. [Google Scholar] [CrossRef]
  39. Mitsunobu, O.; Yamada, M. Preparation of esters of carboxylic and phosphoric acid via quaternary phosphonium salts. Bull. Chem. Soc. Jpn. 1967, 40, 2380–2382. [Google Scholar] [CrossRef]
  40. Evans, D.A.; Ratz, A.M.; Huff, B.E.; Sheppard, G.S. Total synthesis of the polyether antibiotic lonomycin A (Emericid). J. Am. Chem. Soc. 1995, 117, 3448–3467. [Google Scholar] [CrossRef]
  41. Cui, J.; Hillman, P.F.; Kim, G.J.; Bui, T.T.M.; Moon, K.; Nam, S.-J.; Choi, H.; Oh, D.-C. Configurational assignments of type-I polyketide synthase (PKS)-derived natural products based on spectroscopic and chemical analysis: Methodologies and case studies. Nat. Prod. Rep. 2025, 42, 1136–1174. [Google Scholar] [CrossRef] [PubMed]
  42. Du, K.; Dai, X.-Y.; Zhu, Y.-J.; Wang, M.-Y.; Gao, G.; Zhang, M.-Y.; Feng, W.-S.; Xie, Z.-S.; Chen, H. Structure revision of lyciumamides A-C and their hypoglycemic activities. ACS Omega 2025, 10, 55932–55941. [Google Scholar] [CrossRef] [PubMed]
  43. Sakai, T.; Hamamoto, H.; Mori, K. Pheromone synthesis. Part 85. New synthesis of macrolide pheromones of the flat grain beetle, Cryptolestes pusillus Schoenherr. Agric. Biol. Chem. 1986, 50, 1621–1627. [Google Scholar] [CrossRef]
  44. Miura, K.; Wang, D.; Matsumoto, Y.; Hosomi, A. Highly regio- and stereoselective hydrostannylation of alkynols with a new lewis acidic hydrostannane. Org. Lett. 2005, 7, 503–505. [Google Scholar] [CrossRef]
  45. Lin, C.; Zhu, W.; Wu, S.; Bian, Q.; Zhong, J. Asymmetric synthesis and biological activity of contact pheromone of western flower thrips, frankliniella occidentalis. Int. J. Mol. Sci. 2024, 25, 11699. [Google Scholar] [CrossRef]
  46. Harada, S.; Takita, R.; Ohshima, T.; Matsunaga, S.; Shibasaki, M. Ligand accelerated indium(III)-catalyzed asymmetric alkynylation of aldehydes with 2-methyl-3-butyn-2-ol as an ethyne equivalent donor. Chem. Commun. 2007, 948–950. [Google Scholar] [CrossRef]
Scheme 1. Ferrulactone II and its enantiomer.
Scheme 1. Ferrulactone II and its enantiomer.
Molecules 31 00404 sch001
Scheme 2. Previous syntheses of Ferrulactone II and its enantiomer [15,16,17,18,19,20].
Scheme 2. Previous syntheses of Ferrulactone II and its enantiomer [15,16,17,18,19,20].
Molecules 31 00404 sch002
Scheme 3. Retrosynthetic analysis of Ferrulactone II (S)-1.
Scheme 3. Retrosynthetic analysis of Ferrulactone II (S)-1.
Molecules 31 00404 sch003
Scheme 4. Synthesis of (S,Z)-11-hydroxydodec-3-enoic acid.
Scheme 4. Synthesis of (S,Z)-11-hydroxydodec-3-enoic acid.
Molecules 31 00404 sch004
Scheme 5. Synthesis of Ferrulactone II and its enantiomer.
Scheme 5. Synthesis of Ferrulactone II and its enantiomer.
Molecules 31 00404 sch005
Disclaimer/Publisher’s Note: The statements, opinions and data contained in all publications are solely those of the individual author(s) and contributor(s) and not of MDPI and/or the editor(s). MDPI and/or the editor(s) disclaim responsibility for any injury to people or property resulting from any ideas, methods, instructions or products referred to in the content.

Share and Cite

MDPI and ACS Style

Tang, H.; An, B.; Huang, Y.; Liu, D.; Bian, Q.; Zhong, J. A Concise Asymmetric Synthesis of the Aggregation Pheromone of Cryptolestes ferrugineus, Ferrulactone II, and Its Enantiomer. Molecules 2026, 31, 404. https://doi.org/10.3390/molecules31030404

AMA Style

Tang H, An B, Huang Y, Liu D, Bian Q, Zhong J. A Concise Asymmetric Synthesis of the Aggregation Pheromone of Cryptolestes ferrugineus, Ferrulactone II, and Its Enantiomer. Molecules. 2026; 31(3):404. https://doi.org/10.3390/molecules31030404

Chicago/Turabian Style

Tang, Hong, Biyu An, Yiwen Huang, Dan Liu, Qinghua Bian, and Jiangchun Zhong. 2026. "A Concise Asymmetric Synthesis of the Aggregation Pheromone of Cryptolestes ferrugineus, Ferrulactone II, and Its Enantiomer" Molecules 31, no. 3: 404. https://doi.org/10.3390/molecules31030404

APA Style

Tang, H., An, B., Huang, Y., Liu, D., Bian, Q., & Zhong, J. (2026). A Concise Asymmetric Synthesis of the Aggregation Pheromone of Cryptolestes ferrugineus, Ferrulactone II, and Its Enantiomer. Molecules, 31(3), 404. https://doi.org/10.3390/molecules31030404

Article Metrics

Back to TopTop