Sign in to use this feature.

Years

Between: -

Subjects

remove_circle_outline
remove_circle_outline
remove_circle_outline
remove_circle_outline
remove_circle_outline
remove_circle_outline
remove_circle_outline
remove_circle_outline
remove_circle_outline

Journals

Article Types

Countries / Regions

remove_circle_outline
remove_circle_outline
remove_circle_outline
remove_circle_outline
remove_circle_outline

Search Results (593)

Search Parameters:
Keywords = Al-Si-based alloys

Order results
Result details
Results per page
Select all
Export citation of selected articles as:
16 pages, 2907 KB  
Article
Parallel Hybrid Modeling of Al–Mg–Si Tensile Properties Using Density-Based Weighting
by Christian Dalheim Øien, Ole Runar Myhr and Geir Ringen
Metals 2026, 16(2), 142; https://doi.org/10.3390/met16020142 (registering DOI) - 25 Jan 2026
Abstract
A hybrid modeling framework for predicting the mechanical properties of Al-Mg-Si alloys, that blends physics-based and machine-learning models, is developed and tested. Motivated by a demand for post-consumer material (PCM) content in wrought aluminium applications, this work proposes, analyses, and discusses a parallel [...] Read more.
A hybrid modeling framework for predicting the mechanical properties of Al-Mg-Si alloys, that blends physics-based and machine-learning models, is developed and tested. Motivated by a demand for post-consumer material (PCM) content in wrought aluminium applications, this work proposes, analyses, and discusses a parallel framework that applies an adaptive weighting coefficient derived from local observation density. Based on existing datasets from a range of Al-Mg-Si alloys, such a model is trained and tested in an iterative manner to study its robustness, by emulating a shift in observed alloy composition. The results indicate that the hybrid model is able to combine the interpolative strength of machine learning for cases similar to previous observations with the explorative strength of physics-based (Kampmann–Wagner Numerical) modeling for previously unobserved parameter combinations, as the hybrid model shows higher or similar accuracy than the best of its constituents across the majority of the sequence. The observed model characteristics are promising for predicting the effect of increased compositional variation inherent in PCM. Finally, possible future research is discussed. Full article
(This article belongs to the Special Issue Application of Machine Learning in Metallic Materials)
Show Figures

Figure 1

18 pages, 9224 KB  
Article
Coupled Effects of Mg/Si Ratio and Recrystallization on Strength and Electrical Conductivity in Al-xMg-0.5Si Alloys
by Shanquan Deng, Xingsen Zhang, Junwei Zhu, Meihua Bian and Heng Chen
Crystals 2026, 16(1), 78; https://doi.org/10.3390/cryst16010078 (registering DOI) - 22 Jan 2026
Viewed by 16
Abstract
The strategic balance between strength and electrical conductivity in Al-Mg-Si alloys is a critical challenge that must be overcome to enable their widespread adoption as viable alternatives to copper conductors in power transmission systems. To address this, the present study comprehensively investigates model [...] Read more.
The strategic balance between strength and electrical conductivity in Al-Mg-Si alloys is a critical challenge that must be overcome to enable their widespread adoption as viable alternatives to copper conductors in power transmission systems. To address this, the present study comprehensively investigates model alloys with Mg/Si ratios ranging from 1.0 to 2.0. A multi-faceted experimental approach was employed, combining tailored thermo-mechanical treatments (solution treatment, cold drawing, and isothermal annealing) with comprehensive microstructural characterization techniques, including electron backscatter diffraction (EBSD) and scanning electron microscopy (SEM). The results elucidate a fundamental competitive mechanism governing property optimization: excess Mg atoms concurrently contribute to solid-solution strengthening via the formation of Cottrell atmospheres around dislocations, while simultaneously enhancing electron scattering, which is detrimental to conductivity. A critical synergy was identified at the Mg/Si ratio of 1.75, which promotes the dense precipitation of fine β″ phase while facilitating extensive recovery of high dislocation density. Furthermore, EBSD analysis confirmed the development of a microstructure comprising 74.1% high-angle grain boundaries alongside a low dislocation density (KAM ≤ 2°). This specific microstructural configuration effectively minimizes electron scattering while providing moderate grain boundary strengthening, thereby synergistically achieving an optimal balance between strength and electrical conductivity. Consequently, this work elucidates the key quantitative relationships and competitive mechanisms among composition (Mg/Si ratio), processing parameters, microstructure evolution, and final properties within the studied Al-xMg-0.5Si alloy system. These findings establish a clear design guideline and provide a fundamental understanding for developing high-performance aluminum-based conductor alloys with tailored Mg/Si ratios. Full article
(This article belongs to the Special Issue Microstructure, Properties and Characterization of Aluminum Alloys)
Show Figures

Figure 1

16 pages, 8364 KB  
Article
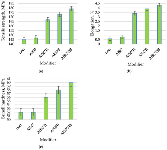
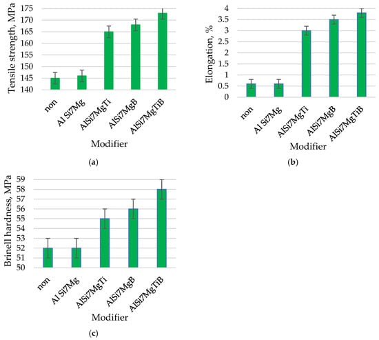
Effect of Master Alloy Based on Al and Si with Ti and B on Mechanical Properties of AlSi9 Alloy
by Tomasz Lipiński
Materials 2026, 19(2), 431; https://doi.org/10.3390/ma19020431 - 22 Jan 2026
Viewed by 14
Abstract
Hypoeutectic aluminum–silicon casting alloys in their unmodified state have a coarse-grained eutectic (α + β), which results in poor mechanical properties and brittleness. Microstructure refinement and improved mechanical properties are possible, among other things, by introducing various elements and chemical compounds. The literature [...] Read more.
Hypoeutectic aluminum–silicon casting alloys in their unmodified state have a coarse-grained eutectic (α + β), which results in poor mechanical properties and brittleness. Microstructure refinement and improved mechanical properties are possible, among other things, by introducing various elements and chemical compounds. The literature presents numerous studies on the modification of hypoeutectic silumins, but there are no results confirming the effectiveness of the interaction of a master alloy containing titanium and boron with its main component, which may be aluminum, aluminum with silicon, or aluminum with silicon and magnesium. This paper presents the results of microstructure refinement using titanium or boron introduced into the Al, AlSi7, and AlSi7Mg master alloys. The introduction of titanium and boron into the aluminum-based master alloy resulted in microstructure refinement and improved mechanical properties. The results indicate that the most favorable results were obtained when titanium and boron were introduced into the AlSi7 master alloy. The addition of magnesium to the master alloy AlSi7 resulted in less effective microstructure refinement of the AlSi9 silumin, which resulted in lower mechanical properties than those obtained for the master alloy without Mg. Full article
Show Figures

Figure 1

24 pages, 14631 KB  
Article
Influences of (Al, Si) Equi-Molar Co-Addition on Microstructure, Mechanical Properties and Corrosion Resistance of Co-Free Fe-Rich High Entropy Alloys
by Shufeng Xie, Ziming Chen, Chuanming Qiao, Wanwan Sun, Yanzhe Wang, Junyang Zheng, Xiaoyu Wu, Lingjie Chen, Bin Kong, Chen Chen, Kangwei Xu and Jiajia Tian
Metals 2026, 16(1), 92; https://doi.org/10.3390/met16010092 - 14 Jan 2026
Viewed by 210
Abstract
In this paper, a series of Co-free FeCr0.6Ni0.6(AlSi)x (x = 0, 0.1, 0.12, 0.14, 0.16) high-entropy alloys (HEAs) were designed and fabricated by suction casting, and the effects of equi-molar (Al, Si) co-addition in these Fe-rich Fe-Cr-Ni-based HEAs [...] Read more.
In this paper, a series of Co-free FeCr0.6Ni0.6(AlSi)x (x = 0, 0.1, 0.12, 0.14, 0.16) high-entropy alloys (HEAs) were designed and fabricated by suction casting, and the effects of equi-molar (Al, Si) co-addition in these Fe-rich Fe-Cr-Ni-based HEAs on microstructure, mechanical properties, and corrosion resistance were systematically investigated. It is found that equi-molar (Al, Si) co-addition could cause the phase formation from FCC to FCC + BCC, while the morphologies of the phases change from dendrite-type to sideplate-type. Moreover, trade-off between strength and plasticity occurs with the increase in (Al, Si) co-addition, and the production of ultimate tensile strength and plasticity reaches the highest value when x = 0.12, while there exists a narrow region for x values to realize excellent comprehensive mechanical properties. In addition, similar corrosion resistance in 3.5 wt.% NaCl solution higher than 316L stainless steel could be realized in the HEAs with x = 0.12 and 0.14, while the latter one is slightly lower in pitting corrosion and the width of passive region, which is possibly caused by the increase in the density of phase boundaries. This work provides a novel insight on designing high-performance cost-effective Fe-rich and (Al, Si)-containing (Fe-Cr-Ni)-based HEAs combining high mechanical properties and corrosion resistance. Full article
(This article belongs to the Section Entropic Alloys and Meta-Metals)
Show Figures

Figure 1

31 pages, 8520 KB  
Article
The ESTPHAD Concept: An Optimised Set of Simplified Equations to Estimate the Equilibrium Liquidus and Solidus Temperatures, Partition Ratios and Liquidus Slopes for Quick Access to Equilibrium Data in Solidification Software Part III: Ternary Eutectic-Type Equilibrium Phase Diagram
by Gergely Kőrösy, András Roósz, Ádám Végh and Tamás Mende
Metals 2026, 16(1), 80; https://doi.org/10.3390/met16010080 - 11 Jan 2026
Viewed by 156
Abstract
The liquidus and solidus temperatures, the initial temperature of the solidification of binary eutectics, and the partition ratios of the solid solution at the Al corner of the ternary eutectic-type Al-Si-Cu alloy system were calculated using the thermodynamically based ESTPHAD method. It is [...] Read more.
The liquidus and solidus temperatures, the initial temperature of the solidification of binary eutectics, and the partition ratios of the solid solution at the Al corner of the ternary eutectic-type Al-Si-Cu alloy system were calculated using the thermodynamically based ESTPHAD method. It is shown that these data can be calculated from the liquidus and solidus data of the two binary equilibrium phase diagrams (first estimation), the binary phase diagram and the eutectic valleys in the ternary system (second estimation), as well as the binary phase diagram, the eutectic valleys, and one (third estimation) and more (fourth estimation) liquidus and solidus temperatures of the ternary equilibrium phase diagram with varying precisions. A database calculated with Thermo-Calc software (version 4.1.0.4995), was used for the calculations. Full article
Show Figures

Figure 1

27 pages, 4899 KB  
Review
Advances in Texturing of Polycrystalline Diamond Tools in Cutting Hard-to-Cut Materials
by Sergey N. Grigoriev, Anna A. Okunkova, Marina A. Volosova, Khaled Hamdy and Alexander S. Metel
J. Manuf. Mater. Process. 2026, 10(1), 27; https://doi.org/10.3390/jmmp10010027 - 9 Jan 2026
Viewed by 357
Abstract
The operational ability of a unit or mechanism depends mainly on the quality of the mechanically produced working surfaces. Many materials can be assigned to a group of hard-to-cut materials that includes titanium- and aluminum-based alloys, a new class of heat-resistant alloys, SiCp/Al [...] Read more.
The operational ability of a unit or mechanism depends mainly on the quality of the mechanically produced working surfaces. Many materials can be assigned to a group of hard-to-cut materials that includes titanium- and aluminum-based alloys, a new class of heat-resistant alloys, SiCp/Al composites, hard alloys, and other alloys. The difficulties in their machining are related not only to the high temperatures achieved on the contact pads under mechanical load and the extreme cutting conditions but also to the properties of those materials, which affect the adhesion of the chip to the tool faces, hindering chip flow. One of the possible solutions to reduce those effects and improve the operational life of the tool, and as a consequence, the final quality of the working surface of the unit, is texturing the rake face of the tool with microgrooves or nanogrooves, microholes or nanoholes (pits, dimples), micronodes, cross-chevron textures, and other microtextures, the depth of which is in the range of 3.0–200.0 µm. This review is addressed at systematizing the data obtained on micro- and nanotexturing of PCD tools for cutting hard-to-cut materials by different techniques (fiber laser graving, femto- and nanosecond laser, electrical discharge machining, fused ion beam), additionally subjected to fluorination and dip- and drop-based coatings, and the effect created by the use of the textured PCD tool on the machined surface. Full article
Show Figures

Figure 1

13 pages, 5447 KB  
Article
The Effects of Sn, Mn, Er and Zr on Homogenized Microstructure and Mechanical Properties of 6082 Aluminum Alloy
by Jiayi Zhang, Yi Lu, Shengping Wen, Xiaolan Wu, Kunyuan Gao, Li Rong, Wu Wei, Hui Huang and Zuoren Nie
Coatings 2026, 16(1), 60; https://doi.org/10.3390/coatings16010060 - 5 Jan 2026
Viewed by 256
Abstract
This research systematically investigates the influence of multi-microalloying with Sn, Mn, Er, and Zr on the homogenized microstructure, aging behavior, and mechanical properties of a 6082 Al-Mg-Si alloy. The optimization of the homogenization treatment for the alloy was based on isochronal aging curves [...] Read more.
This research systematically investigates the influence of multi-microalloying with Sn, Mn, Er, and Zr on the homogenized microstructure, aging behavior, and mechanical properties of a 6082 Al-Mg-Si alloy. The optimization of the homogenization treatment for the alloy was based on isochronal aging curves and conductivity measurements. The results show that the addition of Mn, Er, and Zr can precipitate thermally stable Al(Fe,Mn)Si dispersoids and Al(Er,Zr) dispersoids. The three-stage homogenization treatment resulted in the precipitation of more heat-resistant dispersoids, thereby achieving the best thermal stability. During direct artificial aging, the initial hardening rate of the Mn-containing alloy was slightly delayed, but its peak hardness was significantly increased. This is due to the dispersoids offering additional heterogeneous nucleation sites for the strengthening precipitates. Meanwhile, the Sn atoms release their trapped vacancies at the aging temperature, thereby promoting atomic diffusion. However, short-term natural aging before artificial aging accelerated the early-stage aging response of the Sn-containing alloy but resulted in a reduced peak hardness. Notably, the co-microalloying with Mn and Sn led to a higher peak hardness during direct artificial aging, while it caused a more significant hardness loss when a natural aging preceded artificial aging, revealing a distinct synergistic negative effect. The reason for the negative synergy effect might be related to the weakened ability of Sn to release vacancies after natural aging. This study clarifies the process dependence of microalloying effects, providing a theoretical basis for optimizing aluminum alloy properties through the synergistic design of composition and processing routes. Full article
(This article belongs to the Special Issue Manufacturing and Surface Engineering, 5th Edition)
Show Figures

Figure 1

18 pages, 2591 KB  
Article
Enabling Sensor-Integrated and Sustainable Aerospace Structures Through Additively Manufactured Aluminium Mechanisms for CubeSats
by Bernardo Alves, Rafael Sousa, Ricardo Coelho, Daniel Gatões, Luís Cacho, Ricardo Branco, Vítor Miguel Santos and Patrícia Freitas Rodrigues
Sensors 2026, 26(1), 281; https://doi.org/10.3390/s26010281 - 2 Jan 2026
Viewed by 325
Abstract
CubeSats are a fundamental tool of space exploration, allowing for the testing of novel ideas that can be upscaled to more efficient satellite systems. This work presents the development and characterisation of an additively manufactured aluminium mechanism designed to enable the self-functionalisation of [...] Read more.
CubeSats are a fundamental tool of space exploration, allowing for the testing of novel ideas that can be upscaled to more efficient satellite systems. This work presents the development and characterisation of an additively manufactured aluminium mechanism designed to enable the self-functionalisation of CubeSat structures through material extrusion metal additive manufacturing, as a foundation for sensor integration. A space-grade AlSi7Mg alloy was selected and prepared as a filament to print a fully functional hinge geometry, aiming to evaluate the feasibility of producing movable metallic components using a low-cost and sustainable extrusion-based process. Produced parts were subjected to debinding and vacuum sintering, achieving a densification above 85% and an average hardness of 52.2 HV. Further characterisation, including micro-computed tomography, X-ray diffraction and dynamic mechanical analysis, was used to assess the microstructural integrity, present phase, and mechanical behaviour of the sintered components. The designed shrinkage-compensated hinge mechanism preserved its rotational mobility after sintering, validating the mechanical inter-locking strategy and the design for additive manufacturing methodology used. The results demonstrate that material extrusion enables the fabrication of lightweight, functional, and integrated aluminium mechanisms suitable for sensor incorporation and actuation in small satellite systems. This proof-of-concept highlights material extrusion as a sustainable and economically viable route for developing intelligent aero-space structures, paving the way for future adaptive and sensor-integrated CubeSat subsystems. Full article
(This article belongs to the Special Issue Artificial Intelligence and Sensing Technology in Smart Manufacturing)
Show Figures

Figure 1

22 pages, 11007 KB  
Article
Microstructure and Mechanical Properties of 7072 Aluminum Alloy Joints Brazed Using (Ni, Y)–Modified Al–Si–Cu–Zn Filler Alloys
by Wei Guo, Ruihua Zhang, Zhen Xue, Hui Wang and Xinyu Zhang
Materials 2026, 19(1), 138; https://doi.org/10.3390/ma19010138 - 31 Dec 2025
Viewed by 338
Abstract
Aluminum–based brazing alloys have been developed for joining 7072 high–strength aluminum alloys. However, challenges related to their high melting points and joint softening still require further exploration. This study employs a combination of first–principles calculations and experimental techniques to examine the microstructure and [...] Read more.
Aluminum–based brazing alloys have been developed for joining 7072 high–strength aluminum alloys. However, challenges related to their high melting points and joint softening still require further exploration. This study employs a combination of first–principles calculations and experimental techniques to examine the microstructure and mechanical properties of 7072 aluminum alloy joints brazed with (Ni, Y)–modified Al–Si–Cu–Zn filler alloys. Through the virtual crystal approximation (VCA) method, it was observed that the Al–10Si–10Cu–5Zn–xNi–yY (x = 0, 1.0, 2.0, 3.0, y = 0.2, 0.4, 0.6) filler alloy exhibits excellent mechanical stability, combining both high strength and reasonable ductility. Seven brazed joint samples with varying Ni and Y contents were fabricated using melting brazing and analyzed. The findings showed that Ni reduces the liquidus temperature of the filler, narrowing the melting range. This facilitates the conversion of the brittle Al2Cu phase into a more ductile Al2(Cu,Ni) phase, thus enhancing joint strength. Y acts as a heterogeneous nucleation site, promoting local undercooling, increasing the nucleation rate, and refining the microstructure. When the Ni content was 2.0 wt.% and the Y content was 0.4 wt.%, the tensile strength of the brazed joint reached a peak value of 295.1 MPa. Computational predictions align with the experimental results, confirming that first–principles calculations are a reliable method for predicting the properties of aluminum alloy brazing materials. Full article
Show Figures

Figure 1

15 pages, 5594 KB  
Article
Presence and Distribution of Second Phases in Continuous Rheological Extrusion (CRE) La-Bearing Refiners and the Effect on Al-Si-Based Alloy Refinement
by Qing He, Guangzong Zhang, Yongfei Li, Haibo Qiao, Shuo Zhang, Haifeng Liu, Shide Li, Qiang Liu, Siqi Yin, Shuji Liu, Jinqiao Zhu and Renguo Guan
Metals 2026, 16(1), 38; https://doi.org/10.3390/met16010038 - 28 Dec 2025
Viewed by 184
Abstract
This study investigates the presence and distribution of second phases in continuous rheo-extrusion (CRE)-processed Al-La-Ti-B grain refiners and their effect on refining A356 Al-Si alloy. Thermodynamic calculations and microstructural characterization revealed that the main second phases include α-Al, TiAl3, TiB2 [...] Read more.
This study investigates the presence and distribution of second phases in continuous rheo-extrusion (CRE)-processed Al-La-Ti-B grain refiners and their effect on refining A356 Al-Si alloy. Thermodynamic calculations and microstructural characterization revealed that the main second phases include α-Al, TiAl3, TiB2, Al11La3, LaB6, and Ti2AL20La, with their types evolving with varying Ti/La ratios. The CRE process effectively refined and homogenized these phases. Among the tested refiners, the addition of 0.2 wt.% Al-2.5La-1Ti-1B showed the most effective refinement for A356 alloy, achieving the smallest average α-Al grain size of 221 μm and secondary dendrite arm spacing (SDAS) of 24.62 μm. This optimal refinement corresponded to superior mechanical properties: a tensile strength of 164.52 MPa and elongation of 9.0% in the as-cast state, which were further improved to be 261.13 MPa after T6 heat treatment with elongation of 5.5%. The enhancement is attributed to La’s dual role in modifying the morphology and distribution of TiB2 and TiAl3 phases and acting as a surface-active element to reduce nucleation work, thereby promoting heterogeneous nucleation. This work demonstrates that the CRE process is an effective route to fabricate high-performance La-bearing refiners with engineered microstructures and reveals that optimizing the Ti/La ratio is critical for maximizing grain refinement and mechanical performance in Al-Si alloys. Full article
(This article belongs to the Special Issue Processing, Properties, Applications and Recycling of Light Alloys)
Show Figures

Figure 1

20 pages, 6603 KB  
Article
Effect of Cryogenic Treatment on Low-Density Magnesium Multicomponent Alloys with Exceptional Ductility
by Yu Fang, Michael Johanes and Manoj Gupta
Materials 2026, 19(1), 100; https://doi.org/10.3390/ma19010100 - 27 Dec 2025
Viewed by 334
Abstract
There is growing emphasis on lightweight and energy-efficient metallic materials, with multicomponent alloying (MCA) being one strategy to achieve this. This was combined with the inherently lightweight magnesium (Mg) as the base metal. Two Mg-based MCAs, namely Mg-71MCA and Mg-80MCA (Mg-10Li-9Al-6Zn-4Si and Mg-10Li-6Al-2Zn-2Si, [...] Read more.
There is growing emphasis on lightweight and energy-efficient metallic materials, with multicomponent alloying (MCA) being one strategy to achieve this. This was combined with the inherently lightweight magnesium (Mg) as the base metal. Two Mg-based MCAs, namely Mg-71MCA and Mg-80MCA (Mg-10Li-9Al-6Zn-4Si and Mg-10Li-6Al-2Zn-2Si, respectively, wt.%), with density in the range of 1.55–1.632 g/cc akin to plastics were synthesized via the Disintegrated Melt Deposition method in this work. The effects of cryogenic treatment (CT) at –20 °C, 80 °C, and –196 °C (LN) on the physical, microstructural, thermal, and mechanical properties were systematically evaluated. CT resulted in densification, significant grain refinement (up to a 27.9% reduction in grain diameter after LN treatment), alterations in crystallographic texture, and notable changes to secondary phases—namely, an increased precipitate area fraction. These led to enhanced mechanical performance such as damping capacity, microhardness, and compressive response (most apparent for Mg-71MCA with 12.1%, 6.7%, and 1.6% increase in yield strength, ultimate compressive strength, and energy absorbed, respectively, after RF20 treatment), coupled with exceptional ductility (>80% strain without fracture), which is superior to pure Mg and commercial Mg alloys. Overall, this work showcases the potential of MCAs compared to existing conventional lightweight materials, as well as the property-enhancing/tailoring effects brought upon by different CT temperatures. This highlights the multi-faceted nature of material designs where compositional control and judicious processing parameter selection need to be both leveraged to optimize final properties, and serves as a baseline for further lightweight MCA development to meet future needs. Full article
Show Figures

Graphical abstract

65 pages, 30714 KB  
Article
Directional Solidification of a Refractory Complex Concentrated Alloy (RCCA) Using Optical Floating Zone (OFZ) Solidification Processing: Implications for Alloy Design and Development
by Nik Tankov, Claire Utton and Panos Tsakiropoulos
Alloys 2025, 4(4), 29; https://doi.org/10.3390/alloys4040029 - 18 Dec 2025
Viewed by 450
Abstract
Some cast metallic alloys for ultra-high-temperature structural applications can have better mechanical properties compared with Ni-based superalloys. Research on the directional solidification (DS) of such alloys is limited. The production of DS components of these alloys with “tailor-made” microstructures in different parts of [...] Read more.
Some cast metallic alloys for ultra-high-temperature structural applications can have better mechanical properties compared with Ni-based superalloys. Research on the directional solidification (DS) of such alloys is limited. The production of DS components of these alloys with “tailor-made” microstructures in different parts of the component has not been considered. This paper attempts to address these issues. A bar of the RCCA/RM(Nb)IC with nominal composition 3.5Al–4Crc6Ge–1Hf–5Mo–36Nb–22Si–1.5Sn–20Ti–1W (at.%) was directionally grown using OFZ processing, where the growth rate R increased from 1.2 to 6 and then to 15 cm/h. The paper studies how the macrosegregation of the elements affected the microstructure in different parts of the bar. It was shown that the synergy of macrosegregation and growth rate produced microstructures from the edge to the centre of the OFZ bar and along the length of the OFZ bar that differed in type and chemical composition as R increased. Contamination with oxygen was confined to the “root” of the part of the bar that was grown with R = 1.2 cm/h. The concentrations of elements in the bar were related (a) to each of the parameters VEC, Δχ, and δ for different sections, (i) across the thickness and (ii) along the length of the bar, or to each other for different sections of the bar, and demonstrated the synergy and entanglement of processing, parameters, and elements. In the centre of the bar, the phases were the Nbss and Nb5Si3 for all R values. In the bar, the silicide formed with Nb/(Ti + Hf) less or greater than one. There was synergy of solutes in the solid solution and the silicide for all R values, and synergy and entanglement of the two phases. Owing to the synergy and entanglement of processing, parameters, elements, and phases, properties would “emerge” in each part of the bar. The creep and oxidation properties of the bar were calculated as guided by the alloy design methodology NICE. It was suggested that, in principle, a component based on a metallic UHTM with “functionally graded” composition, microstructure and properties could be directionally grown. Full article
Show Figures

Figure 1

20 pages, 11502 KB  
Article
Laser Remelting of Biocompatible Ti-Based Glass-Forming Alloys: Microstructure, Mechanical Properties, and Cytotoxicity
by Aleksandra Małachowska, Wiktoria Drej, Agnieszka Rusak, Tomasz Kozieł, Denis Pikulski and Wojciech Stopyra
Materials 2025, 18(24), 5687; https://doi.org/10.3390/ma18245687 - 18 Dec 2025
Viewed by 421
Abstract
Titanium-based bulk metallic glasses (BMGs) offer high strength, lower stiffness than Ti-6Al-4V, and superior corrosion resistance, but conventional Ti glass-forming systems often contain toxic Ni, Be, or Cu. This work investigates five novel Ti-based alloys free of these elements—Ti42Zr35Si [...] Read more.
Titanium-based bulk metallic glasses (BMGs) offer high strength, lower stiffness than Ti-6Al-4V, and superior corrosion resistance, but conventional Ti glass-forming systems often contain toxic Ni, Be, or Cu. This work investigates five novel Ti-based alloys free of these elements—Ti42Zr35Si5Co12.5Sn2.5Ta3, Ti42Zr40Ta3Si15, Ti60Nb15Zr10Si15, Ti39Zr32Si29, and Ti65.5Fe22.5Si12—synthesized by arc melting and suction casting. Single-track laser remelting using a selective laser melting (SLM) system was performed to simulate additive manufacturing and examine microstructural evolution, cracking behavior, mechanical properties, and cytocompatibility. All alloys solidified into fully crystalline α/β-Ti matrices with Ti/Zr silicides; no amorphous structures were obtained. Laser remelting refined the microstructure but did not induce glass formation, consistent with the known limited glass-forming ability of Cu/Ni/Be-free Ti systems. Cracking was observed at low laser energies but crack density decreased as laser energy increased. Cracks were eliminated above ~0.4 J/mm for most alloys. Ti42Zr35Si5Co12.5Sn2.5Ta3 exhibited the lowest stiffness (~125 GPa), while Ti60Nb15Zr10Si15 showed the highest due to silicide precipitation. Cytotoxicity tests (ISO 10993-5) confirmed all alloys to be non-toxic, with some extracts even enhancing fibroblast proliferation. This rapid laser-remelting approach enables cost-effective screening of Ti-based glass-forming alloys for additive manufacturing. Ti–Zr–Ta–Si systems demonstrated the most promising properties for further testing using the powder bed method. Full article
(This article belongs to the Section Biomaterials)
Show Figures

Figure 1

25 pages, 1343 KB  
Review
A Critical Review of Diffusion—Thermomechanical and Composite Reinforcement Approaches for Surface Hardening of Aluminum Alloys and Matrix Composites
by Narayana Swamy Rangaiah, Ananda Hegde, Sathyashankara Sharma, Gowrishankar Mandya Channegowda, Umanath R. Poojary and Niranjana Rai
J. Compos. Sci. 2025, 9(12), 689; https://doi.org/10.3390/jcs9120689 - 12 Dec 2025
Viewed by 1121
Abstract
Aluminum alloys require improved surface performance to satisfy the demands of today’s aerospace, automotive, marine, and structural applications. This paper compares three key surface hardening methods: diffusion-assisted microalloying, thermomechanical deformation-based treatments, and composite/hybrid reinforcing procedures. Diffusion-assisted Zn/Mg enrichment allows for localized precipitation hardening [...] Read more.
Aluminum alloys require improved surface performance to satisfy the demands of today’s aerospace, automotive, marine, and structural applications. This paper compares three key surface hardening methods: diffusion-assisted microalloying, thermomechanical deformation-based treatments, and composite/hybrid reinforcing procedures. Diffusion-assisted Zn/Mg enrichment allows for localized precipitation hardening but is limited by the native Al2O3 barrier, slow solute mobility, alloy-dependent solubility, and shallow hardened depths. In contrast, thermomechanical techniques such as shot peening, surface mechanical attrition treatment (SMAT), and laser shock peening produce ultrafine/nanocrystalline layers, high dislocation densities, and deep compressive residual stresses, allowing for predictable increases in hardness, fatigue resistance, and corrosion performance. Composite and hybrid reinforcement systems, such as SiC, B4C, graphene, and graphite-based aluminum matrix composites (AMCs), use load transfer, Orowan looping, interfacial strengthening, and solid lubrication effects to enhance wear resistance and through-thickness strengthening. Comparative evaluations show that, while diffusion-assisted procedures are still labor-intensive and solute-sensitive, thermomechanical treatments are more industrially established and scalable. Composite and hybrid systems provide the best tribological and load-bearing performance but necessitate more sophisticated processing approaches. Recent corrosion studies show that interfacial chemistry, precipitate distribution, and galvanic coupling all have a significant impact on pitting and stress corrosion cracking (SCC). These findings highlight the importance of treating corrosion as a fundamental design variable in all surface hardening techniques. This work uses unified tables and drawings to provide a thorough examination of strengthening mechanisms, corrosion and fatigue behavior, hardening depth, alloy suitability, and industrial feasibility. Future research focuses on overcoming diffusion barriers, establishing next-generation gradient topologies and hybrid processing approaches, improving strength ductility corrosion trade-offs, and utilizing machine-learning-guided alloy design. This research presents the first comprehensive framework for selecting multifunctional aluminum surfaces in demanding aerospace, automotive, and marine applications by seeing composite reinforcements as supplements rather than strict alternatives to diffusion-assisted and thermomechanical approaches. Full article
(This article belongs to the Section Metal Composites)
Show Figures

Figure 1

19 pages, 2362 KB  
Article
Experimental and Simulation Analysis of Die Gating System Design for AlSi9Cu3 Alloy Castings
by Juraj Ružbarský and Jozef Žarnovský
Appl. Sci. 2025, 15(23), 12766; https://doi.org/10.3390/app152312766 - 2 Dec 2025
Viewed by 512
Abstract
This study investigates the melt-flow behavior of the AlSi9Cu3 alloy during high-pressure die casting using a combined experimental and numerical approach. A transparent die and a high-speed camera were used to capture the transient motion of the melt front, while [...] Read more.
This study investigates the melt-flow behavior of the AlSi9Cu3 alloy during high-pressure die casting using a combined experimental and numerical approach. A transparent die and a high-speed camera were used to capture the transient motion of the melt front, while a validated computational model reproduced the filling dynamics under identical boundary conditions. The influence of the gating-system geometry—particularly the gate thickness, flow-path length, and inlet cross-section—was analyzed with respect to filling velocity, filling time, and flow stability. To quantify hydraulic losses that arise in practical die-casting conditions, an empirical correction coefficient k2 was introduced. Its value was obtained by regression analysis based on ten repeated measurements of filling time for each configuration. The deviation between the simulated and experimental velocities did not exceed 5%, demonstrating the reliability of the numerical model within the tested parameter range. The results show that the optimized gating design reduces flow instability, suppresses air entrapment zones, and yields a more uniform velocity distribution across the cavity. The empirical relations derived involving k2 provide a practical tool for preliminary design of gating systems, enabling faster optimization without extensive trial-and-error procedures. The methodology presented in this work offers a validated basis for improving gating-system performance in high-pressure die casting of aluminum alloys. Full article
(This article belongs to the Section Mechanical Engineering)
Show Figures

Figure 1

Back to TopTop