Effect of Master Alloy Based on Al and Si with Ti and B on Mechanical Properties of AlSi9 Alloy
Abstract
1. Introduction
2. Materials and Methods
- tβ—average thickness of the β phase in the eutectic, μm.
- lβ—average length of the β phase in the eutectic, μm.
- tα—average thickness of the α phase dendrite arms, μm.
- aβ—average product of the average thickness of the β phase in the eutectic (tβ) and the average length of the β phase in the eutectic (lβ), μm2.
3. Results and Discussion
4. Conclusions
- It is possible to refine the microstructure using titanium or boron introduced into the master alloys based on Al, AlSi7, and AlSi7Mg;
- The effect of the same amounts of titanium or boron on changes in the microstructure and mechanical properties in the analyzed test plan was highest for the master alloy based on AlSi7;
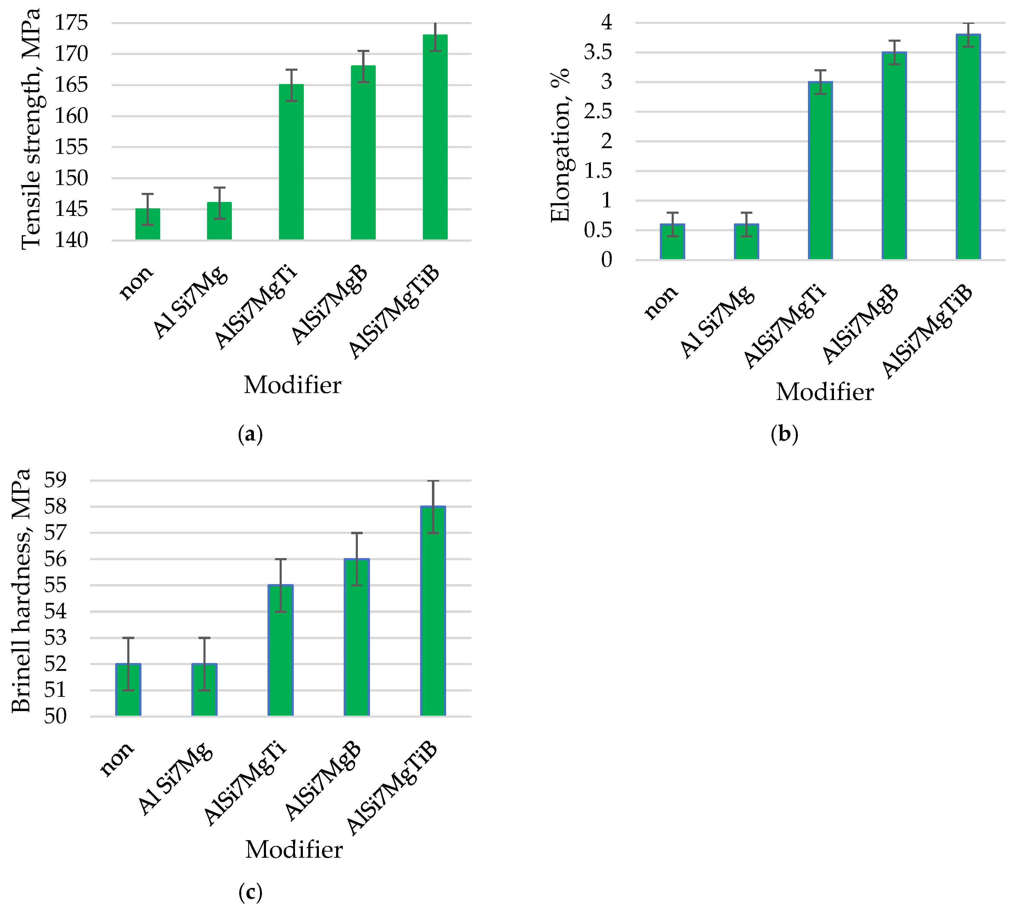
- The addition of magnesium to AlSi7TiB caused a reduction in the analyzed mechanical properties by several percentages;
- As a result of treatment the aluminum-based master alloy containing titanium and boron, compared to the untreated alloy, the tensile strength increased by 26 MPa (18%), elongation by 3.1% (representing a 516% increase), and Brinell hardness by 5 HB (10%);
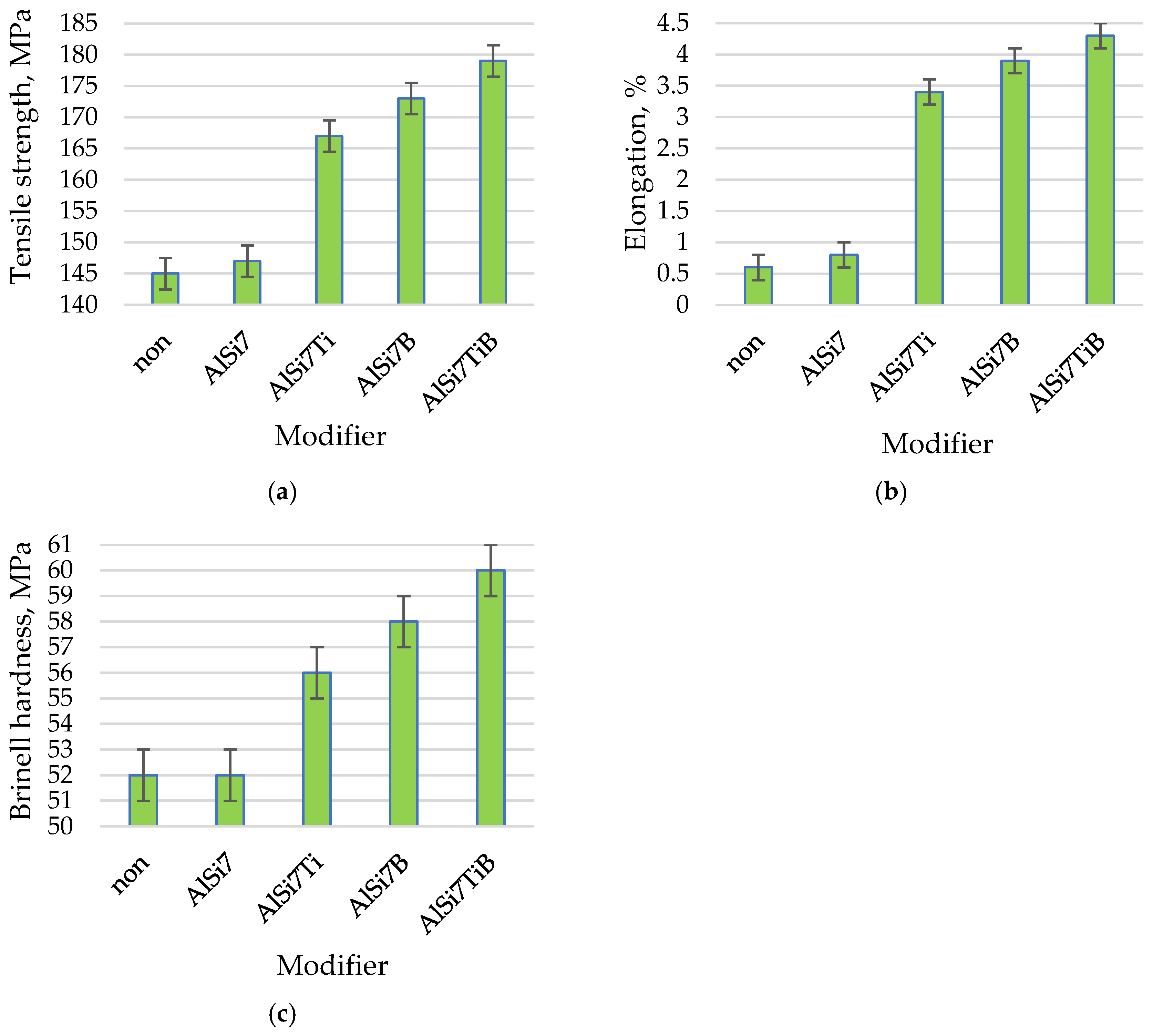
- As a result of treatment, the AlSi7-based master alloy containing titanium and boron, compared to the untreated alloy, the tensile strength increased by 34 MPa (23%), elongation by 3.7% (representing a 616% increase), and Brinell hardness by 8 HB (15%). The addition of magnesium, titanium, and boron increased the tensile strength by 28 MPa (19%), elongation by 3.2% (representing a 533% increase), and Brinell hardness by 6 HB (12%).
Funding
Institutional Review Board Statement
Informed Consent Statement
Data Availability Statement
Conflicts of Interest
References
- Flemings, M.C. Solidification processing. Metall. Mater. Tran. B 1974, 5, 2121–2134. [Google Scholar] [CrossRef]
- Kurz, W.; Fisher, D.J. Fundamentals of Solidifications; TTP: Erlenbach, Switzerland, 1986. [Google Scholar]
- Magnin, P.; Mason, J.T.; Trivedi, R. Growth of irregular eutectics and the Al-Si system. Acta Metall. Mater. 1991, 39, 469–480. [Google Scholar] [CrossRef]
- Ye, K.F.; Cai, X.L.; Sun, B.; Zhou, L.; Ma, S.L.; Yue, Y.C.; Xu, F.S.; Tan, J.H.; Chen, Y.P. Microscopic mechanism of mechanical property improvement of the casted Al-7Si- 0.4Mg-0.3Y alloy. J. Sci. Adv. Mater. Devices 2023, 8, 100630. [Google Scholar] [CrossRef]
- Elliott, R. Eutectic Solidification Processing; Butterworts: London, UK, 1983. [Google Scholar]
- Li, J.H.; Zarif, M.Z.; Albu, M.; Mckay, B.J.; Hofer, F.; Schumacher, P. Nucleation kinetics of entrained eutectic Si in Al–5Si alloys. Acta Mater. 2014, 72, 80–98. [Google Scholar] [CrossRef]
- Lu, S.Z.; Hellawell, A. Growth mechanisms of silicon in Al-Si alloys. J. Cryst. Growth 1985, 73, 316–328. [Google Scholar] [CrossRef]
- Dudek, P.; Darłak, P.; Fajkiel, A.; Reguła, T. Evaluating the feasibility of making aluminium alloy nanomodifiers by the method of mechanical alloying. Work. Foundry Inst. 2008, 3, 31–47. (In Polish) [Google Scholar]
- Heidarzadeh, A.; Khorshidi, M.; Mohammadzadeh, R.; Khajeh, R.; Mofarrehi, M.; Javidani, M.; Chen, X.-G. Multipass Friction Stir Processing of Laser-Powder Bed Fusion AlSi10Mg: Microstructure and Mechanical Properties. Materials 2023, 16, 1559. [Google Scholar] [CrossRef]
- Mondolfo, L.F. Aluminum Alloys: Structure and Properties; Butterworths: London, UK, 1978. [Google Scholar]
- Kang, C.; Lee, Y.; Park, H.; Park, J.M.; Zhanfeng, T.; Roh, J.; Park, S.; Cho, Y.; Lee, J.I.; Jo, Y. Correlation between microstructure, tensile properties, and thermal conductivity of non-heat-treated Al-Si casting alloys fabricated by high-pressure die-casting. J. Mater. Res. Technol. 2025, 39, 9848–9860. [Google Scholar] [CrossRef]
- Horký, R.; Kuśmierczak, S.; Náprstková, N.; Kambarová, I. Effect of Heat Treatment and Corrosion Load on the Micro-structure of the Ti6Al4V Alloy. Manuf. Technol. 2024, 24, 914–928. [Google Scholar] [CrossRef]
- Michna, S.; Knaislová, A.; Svobodová, J.; Novotný, J.; Michnová, L. Possibility of Eliminating Iron in Aluminium Alloy Through Sedimentation. Manuf. Technol. 2024, 24, 802–810. [Google Scholar] [CrossRef]
- Ceschini, L.; Boromei, I.; Morri, A.; Seifeddine, S.; Svensson, I.L. Microstructure, tensile and fatigue properties of the Al–10%Si–2%Cu alloy with different Fe and Mn content cast under controlled conditions. J. Mater. Process. Technol. 2009, 209, 5669–5679. [Google Scholar] [CrossRef]
- Huter, P.; Renhart, P.; Oberfrank, P.; Schwab, M.; Grün, F.; Stauder, B. High- and low- cycle fatigue influence of silicon, copper, strontium and iron on hypo-eutectic Al–Si–Cu and Al–Si–Mg cast alloys used in cylinder heads. Int. J. Fatigue 2016, 82, 588–601. [Google Scholar] [CrossRef]
- Li, S.; Yue, X.; Peng, Q.L.; Dong, B.; Liu, T.; Yang, H.; Fan, J.; Shu, S.; Qiu, F.; Jiang, Q. Development and applications of aluminum alloys for aerospace industry. J. Mater. Res. Technol. 2023, 27, 944–983. [Google Scholar] [CrossRef]
- Lee, Y.C.; Dahle, A.K.; StJohn, D.H.; Hutt, J.E.C. The effect of grain refinement and silicon content on grain formation in hypo-eutectic Al–Si alloys. Mater. Sci. Eng. A 1999, 259, 43–52. [Google Scholar] [CrossRef]
- Michna, S.; Lukac, I.; Ocenasek, V.; Koreny, R.; Drapala, J.; Schneider, H.; Miskufova, A. Encyclopaedia of Aluminium; Adin s.r.o.: Presov, Slovakia, 2005. (In Czech) [Google Scholar]
- Novak, M.; Naprstkova, N.; Ruzicka, L. New ways in aluminium alloys grinding. Key Eng. Mater. 2012, 496, 132–137. [Google Scholar]
- Romankiewicz, R. The Study on Tensile Stength of AlSi21CuNimg Silumin in the Final Stage of Solidification and the Initial Stage of Self-Cooling. In Proceedings of the 73rd World Foundry Congress “Creative Foundry” WFC 2018, Kraków, Poland, 23–27 September 2018. [Google Scholar]
- Jackson, K.A.; Beatty, K.M.; Gudgel, K.A. An analytical model for non-equilibrium segregation during crystallization. J. Cryst. Growth 2004, 271, 481–494. [Google Scholar] [CrossRef]
- Ourdjini, A.; Yilmaz, F.; Hamed, Q.S.; Elliott, R. Microstructure and mechanical properties of directionally solidified Al-Si eutectic alloys with and without antimony. Mater. Sci. Technol. 1992, 8, 764–776. [Google Scholar] [CrossRef]
- Pierantoni, M.; Gremaud, M.; Magnin, P.; Stoll, D.; Kurz, W. The coupled zone of rapidly solidified Al-Si alloys in laser treatment. Acta Metall. Mater. 1992, 40, 1637–1644. [Google Scholar] [CrossRef]
- Di Egidio, G.; Martini, C.; Börjesson, J.; Ghassemali, E.; Ceschini, L.; Morri, A. Influence of Microstructure on Fracture Mechanisms of the Heat-Treated AlSi10Mg Alloy Produced by Laser-Based Powder Bed Fusion. Materials 2023, 16, 2006. [Google Scholar] [CrossRef]
- Lipiński, T. Influence of Surface Refinement on Microstructure of Al-Si Cast Alloys Processed by Welding Method. Manuf. Technol. 2015, 15, 576–581. [Google Scholar] [CrossRef]
- Wang, H.; He, L.; Zhang, Q.; Yuan, Y. Influence of Ni Contents on Microstructure and Mechanical Performance of AlSi10Mg Alloy by Selective Laser Melting. Materials 2023, 16, 4679. [Google Scholar] [CrossRef]
- Wang, Q.; Kang, N.; Mansori, M.; Yu, T.; Hadrouz, M.; Huang, X.; Lin, X. Effect of Ti on the microstructure and wear behavior of a selective laser melted Al-Cu-Mg-Si alloy. Wear 2023, 523, 204790. [Google Scholar] [CrossRef]
- Yang, J.; Oliveira, J.P.; Li, Y.; Tan, C.; Gao, C.; Zhao, Y.; Yu, Z. Laser techniques for dissimilar joining of aluminum alloys to steels: A critical review. J. Mater. Process. Technol. 2022, 301, 117443. [Google Scholar] [CrossRef]
- Zaguliaev, D.; Konovalov, S.; Ivanov, Y.; Gromov, V. Effect of electron-plasma alloying on structure and mechanical properties of Al-Si alloy. Appl. Surf. Sci. 2019, 498, 143767. [Google Scholar] [CrossRef]
- Abd El-Aziz, K.; Saber, D. Studying the impact of T4 and T6 heat treatments on corrosion and mechanical properties of 6082-Al alloy treated with Al-5Ti-1B grain refiner. J. Bio Tribo Corros. 2025, 11, 28. [Google Scholar] [CrossRef]
- Horký, R.; Kuśmierczak, S.; Vlach, T. Influence of Selected Heat Treatment on Alloy Properties of Ti–6Al–4V Alloy. Manuf. Technol. 2025, 25, 482–488. [Google Scholar] [CrossRef]
- Naprstkova, N.; Cais, J.; Ingaldi, M. Modification of AlSi9CuMnNi alloy by antimony and heat treatment and their in-fluence on tool wear after turning. Manuf. Technol. 2016, 16, 209–214. [Google Scholar] [CrossRef]
- Wang, X.; Liu, Y.; Huang, Y. Improving Precipitation in Cryogenic Rolling 6016 Aluminum Alloys during Aging Treatment. Materials 2023, 16, 3336. [Google Scholar] [CrossRef]
- Mician, M.; Kantoríková, E.; Borowiecka-Jamrozek, J.; Kasińska, J. Analysis of Heat Treatment of AlSi7Cu0.5Mg Alloy. Materials 2025, 18, 733. [Google Scholar] [CrossRef]
- Murty, B.S.; Kori, S.A.; Chakraborty, M. Grain refinement of aluminium and its alloys by heterogeneous nucleation and alloying. Int. Mater. Rev. 2002, 47, 3–29. [Google Scholar] [CrossRef]
- Qiu, D.; Taylor, J.A.; Zhang, M.-X.; Kelly, P.M. A mechanism for the poisoning effect of silicon on the grain refinement of Al–Si alloys. Acta Mater. 2007, 55, 1447–1456. [Google Scholar] [CrossRef]
- Zhang, Z.W.; Wang, J.L.; Zhang, Q.L.; Zhang, S.P.; Shi, Q.N.; Qi, H.R. Research on Grain Refinement Mechanism of 6061 Aluminum. Alloy Processed by Combined SPD Methods of ECAP and MAC. Materials 2018, 11, 1246. [Google Scholar] [CrossRef]
- Lipiński, T. Modification of Al-Si alloys with the use of a homogenous modifiers. Arch. Metall. Mater. 2008, 53, 193–197. [Google Scholar]
- Lipiński, T. The structure and mechanical properties of Al-7%SiMg alloy treated with a homogeneous modifier. Solid. State Phenom. 2010, 163, 183–186. [Google Scholar] [CrossRef]
- Zhang, S.; Yi, W.; Zhong, J.; Gao, J.; Lu, Z.; Zhang, L. Computer Alloy Design of Ti Modified Al-Si-Mg-Sr Casting Alloys for Achieving Simultaneous Enhancement in Strength and Ductility. Materials 2023, 16, 306. [Google Scholar] [CrossRef] [PubMed]
- Lipiński, T. Microstructure and Mechanical Properties of the AlSi13Mg1CuNi Alloy with Ecological Modifier. Manuf. Technol. 2011, 11, 40–44. [Google Scholar]
- Lipiński, T.; Karpisz, D. Effect of NaNO3, NaClO3 and TiO2 on mechanical properties AlSi7Mg alloy. In METAL 2020, Proceedings of the 29th International Conference on Metallurgy and Materials, Brno, Czech Republic, 20–22 May 2020; TANGER Ltd.: Ostrava-Zabreh, Czech Republic, 2020. [Google Scholar] [CrossRef]
- Hren, I.; Svobodova, J. Fractographic analysis of strontium-modified Al-Si alloys. Manuf. Technol. 2018, 18, 900–905. [Google Scholar] [CrossRef]
- Kori, S.A.; Murty, B.S.; Chakraborty, M. Development of an efficient grain refiner for Al–7Si alloy and its modification with strontium. Mater. Sci. Eng. A 2000, 283, 94–104. [Google Scholar] [CrossRef]
- Lipiński, T. Microstructure and Mechanical Properties AlSi7Mg Alloy with Sr, Al and AlSi7Mg. Manuf. Technol. 2024, 24, 227–234. [Google Scholar] [CrossRef]
- Liao, H.; Sun, Y.; Sun, G. Effect of Al-5Ti-1B on the microstructure of near-eutectic Al-13.0%Si alloys modified with Sr. J. Mater. Sci. 2002, 37, 3489–3495. [Google Scholar] [CrossRef]
- Barrirero, J.; Li, J.; Engstler, M.; Ghafoor, N.; Schumacher, P.; Odén, M.; Mücklich, M. Cluster formation at the Si/liquid inter-face in Sr and Na modified Al–Si alloys. Scr. Mater. 2016, 117, 16–19. [Google Scholar] [CrossRef]
- Lipiński, T. Effect of Sr, Ti and B additions as powder and a preliminary alloy with Al on microstructure and tensile strength AlSi9Mg alloy. Manuf. Technol. 2019, 19, 807–812. [Google Scholar] [CrossRef]
- Náprstková, N.; Kusmierczak, S.; Cais, J. Modification of AlSi7Mg0.3 alloy by strontium. Manuf. Technol. 2013, 13, 373–380. [Google Scholar] [CrossRef]
- Nová, I.; Frana, K.; Lipiński, T. Monitoring of the interaction of aluminum alloy and sodium chloride as the basis for ecological production of expanded aluminum. Phys. Met. Metallogr. 2021, 122, 1288–1300. [Google Scholar] [CrossRef]
- Nova, I.; Frana, K.; Sobotka, I.; Solfronk, P.; Korecek, D.; Novakova, I. Production of porous aluminium using sodium chloride. Manuf. Technol. 2019, 19, 817–822. [Google Scholar] [CrossRef]
- Zhang, L.; Ji, Z.; Zhao, J.; He, J.; Jiang, H. Factors affecting eutectic Si modification in Al-Si hypoeutectic alloy with the addition of Na, Sr, Eu and Yb. Mater. Lett. 2022, 308, 131206. [Google Scholar] [CrossRef]
- Zou, J.; Zhang, H.; Yu, C.; Wu, Z.; Guo, C.; Nagaumi, H. Optimizing the solidification structure and performance of Al–Si–Mg cast alloys subjected to combined Sr–Ca modification and rotating magnetic fields. J. Alloys Compd. 2025, 1046, 184889. [Google Scholar] [CrossRef]
- Martinovsky, M.; Madl, J. The effect of different modifiers on cutting temperature in turning of AlSi7Mg0.3 alloy. Manuf. Technol. 2018, 18, 950–953. [Google Scholar] [CrossRef]
- Lipiński, T. Effect of combinative cooled addition of strontium and aluminium on mechanical properties AlSi12 alloy. J. Achiev. Mater. Manuf. Eng. 2017, 83, 5–11. [Google Scholar] [CrossRef]
- Michna, Š.; Hren, I.; Cais, J.; Michnová, L. The research of the different properties and production parameters having influence on deep-drawing sheets made of AlMg3 alloy. Manuf. Technol. 2020, 20, 347–354. [Google Scholar] [CrossRef]
- Lipiński, T. Use Properties of the AlSi9Mg Alloy with Exothermical Modifier. Manuf. Technol. 2011, 11, 44–49. [Google Scholar]
- Michna, S.; Svobodova, J.; Knaislova, A.; Novotny, J.; Michnova, L. Structural Analysis of the Newly Prepared Ti55A27Mo13 Alloyby Aluminothermic Reaction. Materials 2025, 18, 3583. [Google Scholar] [CrossRef]
- Lipiński, T.; Szabracki, P. Modification of the hypoeutectic Al-Si alloys with an exothermic modifier. Arch. Metall. Mater. 2013, 58, 453–458. [Google Scholar] [CrossRef]
- Zupanic, F.; Žist, S.; Albu, M.; Letofsky-Papst, I.; Burja, J.; Voncina, M.; Boncina, T. Dispersoids in Al-Mg-Si Alloy AA 6086 Modified by Sc and Y. Materials 2023, 16, 2949. [Google Scholar] [CrossRef]
- Konovalov, S.V.; Zagulyaev, D.V.; Ivanov, Y.F.; Gromov, V.E. Effect of yttrium oxide modification of Al-Si alloy on microhardness and microstructure of surface layers. Metalurgija 2018, 57, 253–256. [Google Scholar]
- Lei, W.B.; Liu, X.T.; Wang, W.M.; Sun, Q.; Xu, Y.Z.; Cui, J.Z. On the influences of Li on the microstructure and properties of hypoeutectic Al-7Si alloy. J. Alloy. Compd. 2017, 729, 703–709. [Google Scholar] [CrossRef]
- Naprstkova, N.; Kraus, P.; Stancekova, D. Calcium and its using for modification of AlSi7Mg0.3 alloy from view of final microstructure and hardness. Proc. Eng. Rural. Dev. 2018, 17, 2003–2008. [Google Scholar] [CrossRef]
- Xiufang, B.; Weimin, W.; Jingyu, Q. Liquid structure of Al-12.5% Si alloy modified by antimony. Mater. Charact. 2001, 46, 25–29. [Google Scholar] [CrossRef]
- Zhang, X.; Yan, L.; Li, Z.; Li, X.; Gao, G.; Yan, H.; Wen, K.; Zhang, Y.; Xiong, B. Effects of Cu Addition on Age Hardening Behavior and Mechanical Properties of High-Strength Al-1.2Mg-1.2Si Alloy. Materials 2023, 16, 3126. [Google Scholar] [CrossRef]
- Bolibriichová, D.; Hajdúch, P.; Bruna, M. Influence of molybdenum, zircon and copper on structure of aluminum alloy Al-Sil0Mg(Cu) (En Ac-43200). Manuf. Technol. 2018, 18, 709–718. [Google Scholar] [CrossRef]
- Lipiński, T. Modification of Al-11% Si alloy with Cl-based modifier. Manuf. Technol. 2015, 15, 581–587. [Google Scholar] [CrossRef]
- Knuutinen, A.; Nogita, K.; McDonald, S.D.; Dahle, A.K. Modification of Al–Si alloys with Ba, Ca, Y and Yb. J. Light. Met. 2001, 1, 229–240. [Google Scholar] [CrossRef]
- Michna, S.; Knaislová, A.; Hren, I.; Novotný, J.; Michnová, L.; Svobodová, J. Chemical and Structural Analysis of Newly Prepared Co-W-Al Alloy by Aluminothermic Reaction. Materials 2022, 15, 658. [Google Scholar] [CrossRef] [PubMed]
- Nogita, K.; Knuutinen, A.; McDonald, S.D.; Dahle, A.K. Mechanisms of eutectic solidification in Al–Si alloys modified with Ba, Ca, Y and Yb. J. Light. Met. 2001, 1, 219–228. [Google Scholar]
- Romankiewicz, R.; Romankiewicz, F. Influence of modifcation on the refinement of primary silicon crystals in hypereutectic silumin AlSi21CuNi. Prod. Eng. Arch. 2018, 19, 30–36. [Google Scholar] [CrossRef]
- Chen, Z.; Kang, H.; Fan, G.; Li, J.; Lu, Y.; Jie, J.; Zhang, Y.; Li, T.; Jian, X.; Wang, T. Grain refinement of hypoeutectic Al-Si alloys with B. Acta Mater. 2016, 120, 168–178. [Google Scholar] [CrossRef]
- Lipiński, T. Influence of Ti and melt number on microstructure and mechanical properties of Al-Si alloy on agriculture machine parts. Proc. Eng. Rural. Dev. 2018, 17, 1431–1436. [Google Scholar] [CrossRef]
- Wu, Y.N.; Zhang, J.F.; Liao, H.C.; Li, G.Y.; Wu, Y.P. Development of high performance near eutectic Al-Si-Mg alloy profile by micro alloying with Ti. J. Alloys Compd. 2016, 660, 141–147. [Google Scholar] [CrossRef]
- Zhao, Z.; Li, D.; Yan, X.; Chen, Y.; Jia, Z.; Zhang, D.; Han, M.; Wang, X.; Liu, G.; Liu, X.; et al. Insights into the dual effects of Ti on the grain refinement and mechanical properties of hypoeutectic Al-Si alloys. J. Mater. Sci. Technol. 2024, 189, 44. [Google Scholar] [CrossRef]
- Birol, Y. Effect of silicon content in grain refining hypoeutectic Al–Si foundry alloys with boron and titanium additions. Mater. Sci. Technol. 2012, 28, 385–389. [Google Scholar] [CrossRef]
- Fan, Z.; Wang, Y.; Zhang, Y.; Qin, T.; Zhou, X.R.; Thompson, G.E.; Pennycook, T.; Hashimoto, T. Grain refining mechanism in the Al/Al–Ti–B system. Acta Mater. 2015, 84, 292–304. [Google Scholar] [CrossRef]
- Grobner, J.; Mirkovic, D.; Schmid-Fetzer, R. Thermodynamic aspects of grain refinement of Al–Si alloys using Ti and B. Mater. Sci. Eng. 2005, 395, 10–21. [Google Scholar] [CrossRef]
- Wang, T.; Fu, H.; Chen, Z.; Xu, J.; Zhu, J.; Cao, F.; Li, T. A novel fading-resistant Al–3Ti–3B grain refiner for Al–Si alloys. J. Alloy. Compd. 2012, 511, 45–49. [Google Scholar] [CrossRef]
- Wang, Y.; Que, Z.; Hashimoto, T.; Zhou, X.; Fan, Z. Mechanism for Si Poisoning of Al-Ti-B Grain Refiners in Al Alloys. Metall. Mater. Trans. A 2020, 51, 5743–5757. [Google Scholar] [CrossRef]
- Abd El-Aziz, K.; Saber, D. Utilization of Die Casting with Varying Mold Wall Thicknesses to Produce 6082 Aluminum Alloy treated with Al5Ti1B Grain Refiner and Assess its Mechanical Properties. Inter. J. Metalcast. 2024, 19, 2848–2863. [Google Scholar] [CrossRef]
- El-Aziz, K.A.; Ahmed, E.M.; Alghtani, A.H.; Felemban, B.F.; Ali, H.T.; Megahed, M.; Saber, D. Development of Al–Mg–Si alloy performance by addition of grain refiner Al–5Ti–1B alloy. Sci. Prog. 2021, 104, 00368504211029469. [Google Scholar] [CrossRef] [PubMed]
- Lipiński, T.; Bramowicz, M.; Szabracki, P. The Microstructure and Mechanical Properties of Al-7%SiMg Alloy Treated with an Exothermic Modifier Containing Na and B. Solid State Phenom. 2013, 203–204, 250–253. [Google Scholar] [CrossRef]
- Ma, S.; Zong, N.; Dong, Z.; Hu, Y.; Jing, T.; Li, Y.; Mathiesen, R.H.; Dong, H. Ti-adsorption induced strain release in promoting α-Al nucleation at TiB2-al interfaces. Appl. Surf. Sci. 2023, 639, 158185. [Google Scholar] [CrossRef]
- Fang, C.; Wang, Y.; Fan, Z. Si segregation deters prenucleation at the interfaces between liquid-aluminum and TiB2 sub-strates, the origin of Si poisoning. Scr. Mater. 2025, 256, 116445. [Google Scholar] [CrossRef]
- Li, Q.; Qiu, F.; Dong, B.X.; Gao, X.; Shu, S.L.; Yang, H.Y.; Jiang, Q.C. Processing, multiscale microstructure refinement and mechanical property enhancement of hypoeutectic Al–Si alloys via in situ bimodal-sized TiB2 particles. Mater. Sci. Eng. A 2020, 777, 139081. [Google Scholar] [CrossRef]
- Li, Y.; Hu, B.; Liu, B.; Nie, A.; Gu, Q.; Wang, J.; Li, Q. Insight into Si poisoning on grain refinement of Al-Si/Al-5Ti-B system. Acta Mater. 2020, 187, 51–65. [Google Scholar] [CrossRef]
- Wang, J.; Horsfield, A.; Schwingenschlogl, U.; Lee, P.D. Heterogeneous nucleation of solid Al from the melt by TiB and Al3Ti: Anab initio molecular dynamics study. Phys. Rev. B 2010, 82, 184203. [Google Scholar] [CrossRef]
- Zhang, Y.H.; Ye, C.Y.; Shen, Y.P.; Chang, W.; StJohn, D.H.; Wang, G.; Zhai, Q.J. Grain refinement of hypoeutectic Al-7wt.%Si alloy induced by an Al–V–B master alloy. J. Alloys Compd. 2020, 812, 152022. [Google Scholar] [CrossRef]
- Zhao, C.; Li, Y.; Xu, J.; Luo, Q.; Jiang, Y.; Xiao, Q.; Li, Q. Enhanced grain refinement of Al-Si alloys by novel Al-V-B refiners. J. Mater. Sci. Technol. 2021, 94, 104–112. [Google Scholar] [CrossRef]
- Li, Y.; Jiang, Y.; Hu, B.; Li, Q. Novel Al-Ti-Nb-B grain refiners with superior efficiency for Al-Si alloys. Sr. Mater. 2020, 187, 262–267. [Google Scholar] [CrossRef]
- Lipiński, T. Double modification of AlSi9Mg alloy with boron, titanium and strontium. Arch. Metall. Mater. 2015, 60, 2415–2419. [Google Scholar] [CrossRef]
- Ma, S.; Zong, N.; Dong, H.; Jing, T. Effect of Al-V-B grain refiner on refining aluminium alloys: Estimation from ab initio calculations. IOP Conf. Ser. Mater. Sci. Eng. 2020, 861, 012047. [Google Scholar] [CrossRef]
- Michna, S.; Hren, I.; Novotny, J.; Michnová, L.; Svorcik, V. Comprehensive research and analysis of a coated machining tool with a new TiAlN composite microlayer using magnetron sputterin. Materials 2021, 14, 3633. [Google Scholar] [CrossRef]
- Lipiński, T. Analysis of Mechanical Properties of AlSi9Mg Alloy with Al, Ti and B Additions. Manuf. Technol. 2017, 17, 761–766. [Google Scholar] [CrossRef]
- Romankiewicz, R. Changes in the structure of the ak7 alloy in terms of modification. Syst. Saf. Hum. Human. Tech. Facil. Environ. 2024, 6, 384–394. [Google Scholar] [CrossRef]
- Romankiewicz, R. Effect of Sr and B modification on impact strength and fracture behavior of AlSi9Mg alloy for marine applications. Sci. J. Marit. Univ. Szczec. 2025, 84, 56–67. [Google Scholar]
- Wen, Y.; Wu, Y.; Wu, Y.; Gao, T.; Wei, Z.; Liu, X. Effect of Al-5Ti-0.25C-0.25B and Al-5Ti-1B Master Alloys on the Microstructure and Mechanical Properties of Al-9.5Si-1.5Cu-0.8Mn-0.6Mg Alloy. Materials 2023, 16, 1246. [Google Scholar] [CrossRef] [PubMed]
- Xua, J.; Li, Y.; Maa, K.; Fub, Y.; Guoc, E.; Chenc, Z.; Gud, Q.; Hane, Y.; Wangc, T.; Li, Q. In-situ observation of grain refinement dynamics of hypoeutectic Al-Si alloy inoculated by Al-Ti-Nb-B alloy. Scr. Mater. 2020, 187, 142–147. [Google Scholar] [CrossRef]
- Lia, P.; Liub, S.; Zhanga, L.; Liu, X. Grain refinement of A356 alloy by Al–Ti–B–C master alloy and its effect on mechanical properties. Mater. Des. 2013, 47, 522–528. [Google Scholar] [CrossRef]
- Zheng, Q.; Zhang, B.; Chen, T.; Wu, J. Achieving superior grain refinement efficiency for Al–Si casting alloys through a novel Al–La–B grain refiner. J. Mater. Res. Technol. 2024, 30, 52–60. [Google Scholar] [CrossRef]
- Lipiński, T. The Influence of the Proportions of Titanium and Boron in the Al and AlSi7-Based Master Alloy on the Microstructure and Mechanical Properties of Hypoeutectic Silumin, AlSi7Mg. Appl. Sci. 2023, 13, 12590. [Google Scholar] [CrossRef]
- EN 1706:2020; Aluminium and Aluminium Alloys—Castings—Chemical Composition and Mechanical Properties. European Committee for Standardization (CEN): Brussels, Belgium, 2020.
- ISO 6506-1:2014; Metallic Materials—Brinell Hardness Test Part 1: Test Method. International Organization for Standardization (ISO): Geneva, Switzerland, 2014.
- ISO 6892-1:2019(en); Metallic Materials—Tensile Testing—Part 1: Method of Test at Room Temperature. International Organization for Standardization (ISO): Geneva, Switzerland, 2019.








| Chemical Element | Si wt. % | Mg wt. % | Mn wt. % | Fe wt. % | Cu wt. % | Ni wt. % | Cr wt. % | Zn wt. % | Na wt. % | Ti wt. % | B wt. % | Al wt. % |
|---|---|---|---|---|---|---|---|---|---|---|---|---|
| Average contents | 9.20 | <0.01 | 0.05 | 0.10 | 0.03 | 0.01 | 0.01 | 0.04 | 0.00 | <0.01 | 0.00 | bal. |
| Stereological | Master Alloy | ||||
|---|---|---|---|---|---|
| Parameters | non | Al. | AlTi | AlB | AlTiB |
| tβ, μm | 3.59 | 2.74 | 2.34 | 1.42 | 1.15 |
| lβ, μm | 28.42 | 24.03 | 23.22 | 21.49 | 10.4 |
| tα, μm | - | 37.91 | 36.56 | 30.64 | 28.66 |
| aβ, μm2 | 102.0278 | 65.8422 | 54.3348 | 30.5158 | 11.96 |
| Stereological | Master Alloy | |||
|---|---|---|---|---|
| Parameters | AlSi7 | AlSi7Ti | AlSi7B | AlSi7TiB |
| tβ, μm | 1.9 | 1.34 | 0.92 | 0.81 |
| lβ, μm | 18.01 | 15.53 | 6.24 | 3.73 |
| tα, μm | 31.46 | 30.31 | 25.48 | 21.02 |
| aβ, μm2 | 34.219 | 20.8102 | 5.7408 | 3.0213 |
| Stereological | Master Alloy | |||
|---|---|---|---|---|
| Parameters | AlSi7Mg | AlSi7MgTi | AlSi7MgB | AlSi7MgTiB |
| tβ, μm | 2.63 | 1.88 | 1.26 | 0.95 |
| lβ, μm | 22.86 | 20.08 | 12.79 | 6.35 |
| tα, μm | 32.37 | 28.92 | 27.45 | 25.98 |
| aβ, μm2 | 60.12 | 37.75 | 16.12 | 6.03 |
| Master Alloy | Rm | A | HB | Master Alloy | Rm | A | HB | Master Alloy | Rm | A | HB |
|---|---|---|---|---|---|---|---|---|---|---|---|
| non | 145 | 0.6 | 52 | non | 145 | 0.6 | 52 | non | 145 | 0.6 | 52 |
| Al | 145 | 0.6 | 52 | AlSi7 | 147 | 0.8 | 52 | Al Si7Mg | 146 | 0.6 | 52 |
| AlTi | 162 | 2.8 | 54 | AlSi7Ti | 167 | 3.4 | 56 | AlSi7MgTi | 165 | 3 | 55 |
| AlB | 167 | 3.4 | 55 | AlSi7B | 173 | 3.9 | 58 | AlSi7MgB | 168 | 3.5 | 56 |
| AlTiB | 171 | 3.7 | 57 | AlSi7TiB | 179 | 4.3 | 60 | AlSi7MgTiB | 173 | 3.8 | 58 |
Disclaimer/Publisher’s Note: The statements, opinions and data contained in all publications are solely those of the individual author(s) and contributor(s) and not of MDPI and/or the editor(s). MDPI and/or the editor(s) disclaim responsibility for any injury to people or property resulting from any ideas, methods, instructions or products referred to in the content. |
© 2026 by the author. Licensee MDPI, Basel, Switzerland. This article is an open access article distributed under the terms and conditions of the Creative Commons Attribution (CC BY) license.
Share and Cite
Lipiński, T. Effect of Master Alloy Based on Al and Si with Ti and B on Mechanical Properties of AlSi9 Alloy. Materials 2026, 19, 431. https://doi.org/10.3390/ma19020431
Lipiński T. Effect of Master Alloy Based on Al and Si with Ti and B on Mechanical Properties of AlSi9 Alloy. Materials. 2026; 19(2):431. https://doi.org/10.3390/ma19020431
Chicago/Turabian StyleLipiński, Tomasz. 2026. "Effect of Master Alloy Based on Al and Si with Ti and B on Mechanical Properties of AlSi9 Alloy" Materials 19, no. 2: 431. https://doi.org/10.3390/ma19020431
APA StyleLipiński, T. (2026). Effect of Master Alloy Based on Al and Si with Ti and B on Mechanical Properties of AlSi9 Alloy. Materials, 19(2), 431. https://doi.org/10.3390/ma19020431

