Sign in to use this feature.

Years

Between: -

Subjects

remove_circle_outline
remove_circle_outline
remove_circle_outline
remove_circle_outline
remove_circle_outline
remove_circle_outline
remove_circle_outline
remove_circle_outline
remove_circle_outline

Journals

remove_circle_outline
remove_circle_outline
remove_circle_outline
remove_circle_outline
remove_circle_outline
remove_circle_outline
remove_circle_outline
remove_circle_outline
remove_circle_outline
remove_circle_outline
remove_circle_outline
remove_circle_outline
remove_circle_outline

Article Types

Countries / Regions

remove_circle_outline
remove_circle_outline
remove_circle_outline
remove_circle_outline
remove_circle_outline

Search Results (921)

Search Parameters:
Keywords = ALK2

Order results
Result details
Results per page
Select all
Export citation of selected articles as:
14 pages, 860 KB  
Article
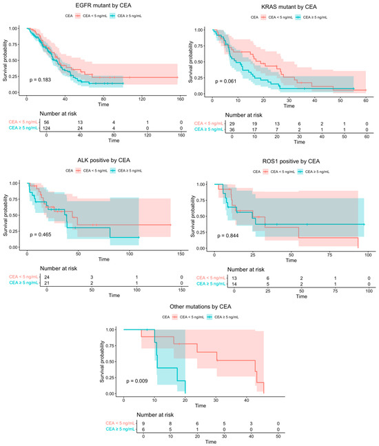
Serum Carcinoembryonic Antigen Levels Across Molecular Subtypes and Their Clinical and Prognostic Implications in Metastatic Non-Small Cell Lung Cancer
by Ali Aytac, Bilgin Demir, Meltem Demirtas Gulmez, Hayati Arvas, Tuba Ugur Tuzcu, Enes Erul, Salih Tunbekici, Tahir Yerlikaya, Sezai Tunc, Halil Ibrahim Ellez, Yasemin Aydinalp Camadan, Kubra Canaslan, Rumeysa Colak, Zuhat Urakci, Elif Berna Koksoy, Ozan Yazici, Ali Alkan, Ozgur Tanriverdi, Erdem Goker and Ahmet Demirkazik
Medicina 2026, 62(4), 718; https://doi.org/10.3390/medicina62040718 (registering DOI) - 9 Apr 2026
Abstract
Background and Objectives: Serum carcinoembryonic antigen (CEA) is a widely used biomarker in non-small cell lung cancer (NSCLC). However, its association with oncogenic driver alterations and prognostic significance across molecular subtypes in metastatic disease remains insufficiently defined. Materials and Methods: This [...] Read more.
Background and Objectives: Serum carcinoembryonic antigen (CEA) is a widely used biomarker in non-small cell lung cancer (NSCLC). However, its association with oncogenic driver alterations and prognostic significance across molecular subtypes in metastatic disease remains insufficiently defined. Materials and Methods: This retrospective multicenter study included 332 patients with metastatic NSCLC harboring oncogenic alterations (EGFR, ALK, ROS1, KRAS, and others) from eight oncology centers in Türkiye. Baseline serum CEA levels measured at metastatic diagnosis were analyzed on the natural logarithmic scale. Associations between CEA levels, molecular subtypes, clinical features, and overall survival (OS) were evaluated using generalized linear models and Cox proportional hazards regression. Results: Baseline CEA levels differed significantly across molecular subtypes (p = 0.001), with EGFR-mutant tumors showing the highest median levels. Multivariable analysis identified driver alteration, histology, and metastatic burden as independent determinants of baseline CEA. Higher baseline CEA and metastatic site count were independently associated with increased mortality risk (HR 1.151 and 1.279 per unit increase, respectively; p < 0.001), while female sex was protective (HR 0.626; p = 0.004). KRAS mutations were associated with poorer survival compared with EGFR (HR 2.370; p < 0.001). Kaplan–Meier analyses showed a consistent trend toward longer OS in patients with CEA < 5 ng/mL, with significance only in the rare alteration subgroup. Conclusions: Baseline CEA may reflect underlying tumor biology across molecular subtypes and are associated with survival outcomes in metastatic NSCLC. However, given the variability across subgroups and modest effect sizes, these findings should be interpreted with caution. Prospective studies evaluating longitudinal CEA dynamics are warranted. Full article
Show Figures

Figure 1

15 pages, 1808 KB  
Article
Investigation of the Prevalence of Associated Genetic Mutations (Co-Mutations) in Patients with Actionable Driver Mutations in Lung Cancer: A Retrospective Study
by Abed Agbarya, Walid Shalata, Edmond Sabo, Leonard Saiegh, Yuval Shaham, Haitam Nasrallah, Kamel Mhameed, Salam Mazareb, Mohammad Sheikh-Ahmad and Dan Levy Faber
Diagnostics 2026, 16(7), 1106; https://doi.org/10.3390/diagnostics16071106 - 7 Apr 2026
Viewed by 42
Abstract
Background/Objectives: Lung cancer remains the leading cause of cancer-related mortality globally. Approximately 45% of these tumors harbor oncogenic mutations that drive carcinogenesis and are amenable to targeted therapies. Other predictive biomarkers—e.g., PD-L1, TMB, and MSI—play a crucial role in patients’ management. This [...] Read more.
Background/Objectives: Lung cancer remains the leading cause of cancer-related mortality globally. Approximately 45% of these tumors harbor oncogenic mutations that drive carcinogenesis and are amenable to targeted therapies. Other predictive biomarkers—e.g., PD-L1, TMB, and MSI—play a crucial role in patients’ management. This study aims to investigate the existence of mutation clusters (co-mutations) and evaluate the correlation of these clusters with various clinical and laboratory parameters. Methods: A retrospective study was conducted utilizing pathological samples from lung cancer patients harboring mutations in EGFR, KRAS, ALK, BRAF, MET, HER2, ROS1, NTRK, and NRG1. Data were collected from the Institute of Pathology at Carmel Medical Center between the years 2022 and 2024. Patients were stratified using a Two-Step Cluster Analysis algorithm based on actionable mutations and co-mutations. Heatmaps and dendrograms were generated to assess the correlation between these genomic clusters, clinical metrics, and predictive biomarkers. Results: The study cohort included 129 patients with actionable mutations. Five distinct clusters were identified: Clusters 1, 2, and 3 exhibited a high expression of STK11 and TP53 co-mutations alongside KRAS drivers (n = 38, n = 12, and n = 23, respectively). Clusters 4 and 5 demonstrated high expression of ALK alterations and tumor suppressor gene mutations (n = 31 and n = 25, respectively). Cluster comparisons demonstrated statistically significant differences between clusters regarding age, gender, PD-L1 expression, and tumor mutational burden. No significant associations were found regarding ethnicity or microsatellite instability status. Conclusions: By constructing clusters based on the aggregate of genomic alterations in patients with actionable mutations, it is possible to predict associations with distinct demographic and clinical characteristics. Future research should apply this analytical approach to larger cohorts to further characterize these subgroups and investigate potential correlations with therapeutic efficacy. Full article
(This article belongs to the Special Issue Advancements and Innovations in the Diagnosis of Lung Cancer)
Show Figures

Figure 1

29 pages, 4241 KB  
Article
Research on Integrated Energy System Optimal Operation Considering Electrolyzer Dynamic Operation and Lifetime Degradation
by Ning Wang, Weihao Niu and Teng Zhang
Sustainability 2026, 18(7), 3423; https://doi.org/10.3390/su18073423 - 1 Apr 2026
Viewed by 222
Abstract
While green hydrogen is vital for sustainable energy transitions, the volatility of renewable power adversely affects the dynamic operation and service life of electrolyzers in integrated energy systems (IESs). To mitigate these effects while minimizing operational costs and extending the service life of [...] Read more.
While green hydrogen is vital for sustainable energy transitions, the volatility of renewable power adversely affects the dynamic operation and service life of electrolyzers in integrated energy systems (IESs). To mitigate these effects while minimizing operational costs and extending the service life of electrolyzers, this paper proposes an optimization method for the operation of IESs that considers the dynamic operating characteristics and lifetime degradation of multiple types of electrolyzers. Firstly, detailed models for alkaline (ALK) electrolyzer and proton exchange membrane (PEM) electrolyzer are developed, and their start–stop characteristics and lifetime degradation characteristics are analyzed. Secondly, an optimal operation model for IES is established, taking economy as the optimization objective and considering the dynamic operating characteristics and lifetime degradation of multiple types of electrolyzers. By piecewise linearizing the hydrogen production rate of the electrolyzer, the original model is transformed into a mixed-integer linear programming model for solution. The results indicate that the proposed method can reduce the operational costs of IES, increase the proportion of stable operation time for the electrolyzer, decrease the number of startups and shutdowns, subsequently reduce the cost associated with the lifetime degradation of the electrolyzer, and specifically extend the actual lifetime of the PEM electrolyzer by 12.17% versus its rated life. Ultimately, this approach not only improves the economic viability of the system but also ensures the long-term sustainability of green hydrogen projects by minimizing equipment replacement cycles and maximizing renewable energy accommodation. Full article
Show Figures

Figure 1

14 pages, 1206 KB  
Review
Determinants of Rice Grain Quality: Synergistic Roles of Genetics, Environment, and Agronomic Practices
by Liqun Tang, Honghuan Fan, Junmin Wang, Kaizhen Zhong, Hong Tan, Fuquan Ding, Ling Wang, Jian Song and Mingli Han
Int. J. Mol. Sci. 2026, 27(7), 3088; https://doi.org/10.3390/ijms27073088 - 28 Mar 2026
Viewed by 354
Abstract
Rice (Oryza sativa L.) grain quality is a critical determinant of market value, consumer acceptance, and nutritional security. This multifaceted trait is governed by the dynamic interaction of genotype (G), environment (E), and management practices (M). In this review, we synthesize recent [...] Read more.
Rice (Oryza sativa L.) grain quality is a critical determinant of market value, consumer acceptance, and nutritional security. This multifaceted trait is governed by the dynamic interaction of genotype (G), environment (E), and management practices (M). In this review, we synthesize recent advances in understanding these multifaceted determinants. We first delineate the genetic architecture, emphasizing key genes and quantitative trait loci (QTLs) such as Wx, ALK, Chalk5, and the GS3/GW families, which control starch composition, gelatinization temperature, chalkiness, and grain dimensions, forming the foundational blueprint for quality potential. We examine how this genetic potential is influenced by environmental factors, focusing on the detrimental impacts of abiotic stresses, particularly high temperatures during grain filling and drought, which impair milling yield, increase chalkiness, and modify starch and protein profiles. Furthermore, we discuss how optimized agronomic strategies—including precision water management (e.g., alternate wetting and drying), balanced nitrogen fertilization, and targeted micronutrient (e.g., silicon) application—can mitigate these adverse effects and potentially improve specific quality parameters. Post-harvest handling is identified as the final determinant of product quality. We conclude that achieving high and stable rice quality under climate variability requires an integrated G × E × M approach. Prospects include next-generation breeding for climate-resilient quality, precision agronomy guided by real-time sensing, synergistic soil health management, and the integration of systems biology with digital agriculture to design sustainable, high-quality rice production systems. Full article
(This article belongs to the Special Issue Molecular Research on Crop Quality)
Show Figures

Figure 1

26 pages, 5846 KB  
Review
The N6-Methyladenosine RNA Demethylase AlkB Homolog 5 (ALKBH5) in Metabolic Diseases: Molecular Mechanisms and Pharmacological Implications—A Review
by Guida Cai, Leyi Fu, Xi Zhang and Meiling Yan
Biomolecules 2026, 16(4), 499; https://doi.org/10.3390/biom16040499 - 26 Mar 2026
Viewed by 494
Abstract
Metabolic diseases, including type 2 diabetes mellitus (T2DM) and metabolic dysfunction-associated fatty liver disease (MAFLD), are chronic disorders characterized by dysregulated glucose and lipid homeostasis and represent major contributors to insulin resistance, cardiovascular complications, and liver injury. Despite considerable progress in elucidating their [...] Read more.
Metabolic diseases, including type 2 diabetes mellitus (T2DM) and metabolic dysfunction-associated fatty liver disease (MAFLD), are chronic disorders characterized by dysregulated glucose and lipid homeostasis and represent major contributors to insulin resistance, cardiovascular complications, and liver injury. Despite considerable progress in elucidating their pathogenesis, effective preventive and therapeutic strategies remain limited. N6-methyladenosine (m6A) RNA demethylase AlkB homolog 5 (ALKBH5), a nuclear epitranscriptomic “eraser,” broadly regulates post-transcriptional gene expression by modulating RNA splicing, nuclear export, stability, and translation. Dysregulation of ALKBH5 has been implicated in tumorigenesis, immune dysfunction, and stress responses, underscoring its wide-ranging biological significance. Emerging evidence further indicates that ALKBH5 plays a pivotal role in maintaining metabolic homeostasis. However, most existing reviews have focused primarily on its roles in cancer, leaving its functions in metabolic diseases relatively unexplored. In this context, this review summarizes the structural characteristics and molecular mechanisms of ALKBH5 and discusses its emerging roles across a spectrum of metabolic diseases, including MAFLD, metabolic complications such as diabetic retinopathy (DR), diabetes-associated cognitive impairment (DACI), atherosclerosis (AS), and diabetic cardiomyopathy (DCM), as well as metabolism-related inflammatory diseases represented by rheumatoid arthritis (RA). Furthermore, recent pharmacological strategies targeting ALKBH5 are discussed, with attention to the challenges posed by its context-dependent, tissue-specific, and disease stage-specific activities. Overall, ALKBH5 emerges as a key epitranscriptomic regulator in metabolic diseases, and advancing therapeutic strategies that account for molecular context and tissue specificity will be critical for achieving safe and effective clinical interventions. Full article
(This article belongs to the Section Biomacromolecules: Proteins, Nucleic Acids and Carbohydrates)
Show Figures

Graphical abstract

9 pages, 629 KB  
Perspective
“HER2-Low” and the Challenge of Repurposing Legacy HER2 IHC Biomarker Assays
by Emina E. Torlakovic and Allen M. Gown
Curr. Oncol. 2026, 33(4), 181; https://doi.org/10.3390/curroncol33040181 - 25 Mar 2026
Viewed by 251
Abstract
In September 2022, the US Food and Drug Administration (FDA) expanded approval of the legacy Roche monoclonal antibody 4B5-based immunohistochemistry (IHC) assay to identify patients with HER2-low breast cancers predicted to respond to trastuzumab deruxtecan (T-DXd), based on findings from the DESTINY-Breast04 and [...] Read more.
In September 2022, the US Food and Drug Administration (FDA) expanded approval of the legacy Roche monoclonal antibody 4B5-based immunohistochemistry (IHC) assay to identify patients with HER2-low breast cancers predicted to respond to trastuzumab deruxtecan (T-DXd), based on findings from the DESTINY-Breast04 and DESTINY-Breast06 clinical trials. However, this repurposing of a legacy biomarker assay raises significant clinical and technical validation concerns. The legacy HER2 IHC assay was originally developed to identify tumors with HER2 overexpression (3+) resulting from gene amplification, which leads to substantially higher HER2 receptor expression than in low/ultralow expression tumors. The current application to distinguish HER2-low and HER2-ultralow tumors from truly HER2-negative tumors represents a fundamentally different biological and clinical purpose, yet the assay’s analytical and clinical validation for this new purpose remains incomplete. Critical gaps include the lack of established analytical sensitivity and specificity for identifying 1+ HER2 cases, poor reproducibility of pathologist scoring at low HER2 levels, and the absence of alternative methodologies for orthogonal validation. While more sensitive quantitative approaches (such as AQUA) may detect additional low HER2 expression cases missed by conventional IHC, increased analytical sensitivity does not automatically translate to clinical utility. Furthermore, the ASCO/CAP guidelines cutoffs were developed for HER2 overexpression detection and may not be the best choice for HER2-low/ultralow identification without clinical validation and determination of fit-for-purpose analytical specifications. We examine the current challenges of repurposing legacy HER2 IHC biomarker assays for HER2-low detection, evaluating the precedent of other repurposed IHC assays (ALK, CD30, and PD-L1), and emphasizing the necessity for proper technical and clinical validation before widespread implementation. We conclude that prospective clinical trials are essential to establish clinically meaningful cutoffs and analytical specifications appropriate for patient selection in HER2-low disease. Full article
(This article belongs to the Section Oncology Biomarkers)
Show Figures

Figure 1

21 pages, 3510 KB  
Article
Optimal Investment Strategy for Off-Grid Offshore Wind Hydrogen Production: Hybrid and Standalone PEM Electrolyzer Configuration Comparison
by Hanyi Lin, Qing Tong, Sheng Zhou and Cuiping Liao
Clean Technol. 2026, 8(2), 45; https://doi.org/10.3390/cleantechnol8020045 - 24 Mar 2026
Viewed by 255
Abstract
Developing far-offshore wind power integrated with hydrogen production represents a critical pathway for China’s energy decarbonization. However, the investment prospects of off-grid offshore wind-to-hydrogen projects remain highly uncertain due to volatile technology costs and hydrogen prices, complicating the evaluation of project value and [...] Read more.
Developing far-offshore wind power integrated with hydrogen production represents a critical pathway for China’s energy decarbonization. However, the investment prospects of off-grid offshore wind-to-hydrogen projects remain highly uncertain due to volatile technology costs and hydrogen prices, complicating the evaluation of project value and optimal timing. To address the oversimplified treatment of electrolyzer operation and the limited consideration of alkaline electrolyzers in the existing studies, this paper proposes an integrated assessment framework that combines time-series operational simulation with real options analysis. A detailed dynamic model of an alkaline (ALK)–proton exchange membrane (PEM) hybrid configuration is developed to simulate the coordinated hydrogen production under fluctuating wind power. Technical learning effects and stochastic hydrogen price processes are incorporated, and the least-squares Monte Carlo method is applied to determine the optimal investment strategies. A case study of a planned far-offshore wind farm in Guangdong indicates that, compared with a standalone PEM configuration, the hybrid configuration reduces the levelized hydrogen cost by about 15%, increases the investment value by up to 17 times under slow technological progress, and brings forward the optimal investment year by five years, from 2039 to 2034. Sensitivity analysis shows that expected hydrogen prices and discount rates dominate the investment outcomes. Full article
Show Figures

Figure 1

19 pages, 1557 KB  
Article
Identification of Actionable Gene Variants in Pulmonary Large-Cell Neuroendocrine Carcinoma: A Real-World Analysis of a Polish Cohort
by Adam Szpechcinski, Magdalena Pelc, Urszula Lechowicz, Malgorzata Szolkowska, Joanna Moes-Sosnowska, Piotr Rudzinski, Emil Wojda, Paulina Skronska, Elzbieta Podgorska, Krystyna Maszkowska-Kopij, Mateusz Polaczek, Tadeusz Orlowski, Renata Langfort and Joanna Chorostowska-Wynimko
Int. J. Mol. Sci. 2026, 27(7), 2939; https://doi.org/10.3390/ijms27072939 - 24 Mar 2026
Viewed by 222
Abstract
Pulmonary large-cell neuroendocrine carcinoma (LCNEC) is a rare lung malignancy characterized by an aggressive clinical course and an unfavorable prognosis. Next-generation sequencing (NGS) has revealed that LCNECs exhibit molecular features resembling either small-cell lung carcinoma (SCLC-like LCNEC) or non-small cell lung carcinoma (NSCLC-like [...] Read more.
Pulmonary large-cell neuroendocrine carcinoma (LCNEC) is a rare lung malignancy characterized by an aggressive clinical course and an unfavorable prognosis. Next-generation sequencing (NGS) has revealed that LCNECs exhibit molecular features resembling either small-cell lung carcinoma (SCLC-like LCNEC) or non-small cell lung carcinoma (NSCLC-like LCNEC). This study aimed to characterize the incidence of actionable gene variants in a retrospective cohort of LCNEC patients using a targeted NGS approach. Microscopic diagnosis was established according to the 2021 World Health Organization (WHO) classification using a standard immunohistochemical (IHC) panel. In total, 216 LCNEC tumor samples were analyzed for molecular variants in 17 genes using the RNA-based Archer FusionPlex Lung NGS assay (Integrated DNA Technologies, USA) and the MiSeq platform (Illumina, USA)—an algorithm utilized for routine NSCLC diagnosis. Overall, 46 variants were identified in 46/216 (21.3%) tumor samples, with 28/216 (13%) LCNECs harboring at least one actionable molecular variant potentially targetable by registered or investigational agents. KRAS variants (5%; including G12C at 2%) and PIK3CA variants (5%) were the most prevalent, followed by RET single-nucleotide variants (3%), uncommon EGFR variants (1%), and BRAF class II and III variants (<1%). Notably, no classical EGFR exon 18–21 mutations nor ALK, FGFR1/2/3, or ROS1 alterations (mutations or fusions) were detected, despite the technical capability of the assay to identify such variants. A novel in-frame gene fusion (TMEM79::NTRK1) was identified in a single tumor sample (0.5%). Our results confirm that LCNECs harbor potentially targetable alterations in KRAS, PIK3CA, RET, BRAF, and NTRK1, albeit at lower frequencies than those typically observed in NSCLC. Full article
(This article belongs to the Special Issue Research on Gene Mutations in Cancer and Chronic Diseases)
Show Figures

Figure 1

25 pages, 5580 KB  
Article
Pan-Cancer Targeted Sequencing Reveals Genomic Heterogeneity and Prognostic Subgroups in Urothelial Bladder Cancer
by Dimitar Ugrinovski, Skender Saidi, Viktor Stankov, Martina Ambardjieva, Slavica Josifovska, Anne-Katrin Koehler, Joerg Gabert and Sasho Panov
Cancers 2026, 18(6), 1026; https://doi.org/10.3390/cancers18061026 - 22 Mar 2026
Viewed by 507
Abstract
Background: Urothelial bladder cancer (UBC) is a molecularly heterogeneous disease, and most sequencing studies have relied on bladder-specific or solid tumor-restricted panels. Whether broader pan-cancer assays provide additional clinically relevant information remains unclear. Methods: We performed targeted next-generation sequencing using an [...] Read more.
Background: Urothelial bladder cancer (UBC) is a molecularly heterogeneous disease, and most sequencing studies have relied on bladder-specific or solid tumor-restricted panels. Whether broader pan-cancer assays provide additional clinically relevant information remains unclear. Methods: We performed targeted next-generation sequencing using an extended gene panel on tumor samples from 100 patients with UBC treated at a tertiary center. Somatic single-nucleotide variants, small insertions/deletions, copy-number alterations, and gene co-occurrence patterns were analyzed and correlated with clinicopathological features, disease-free survival (DFS), and overall survival (OS). Results: Recurrent alterations were identified in FGFR3 (≈50%), TP53 (≈35%), STAG2 (≈25%), and PIK3CA (≈20%), consistent with established molecular pathways in UBC. Less frequent but potentially actionable alterations, including mutations in BRCA1 and ALK, were also detected, reflecting the extended coverage of the panel. TP53 mutations were independently associated with worse OS, whereas STAG2 alterations were associated with improved OS, particularly in tumors without concurrent TP53 mutations. FGFR3 mutations showed a favorable but non-independent trend. No gene retained independent prognostic significance for DFS. Co-occurrence analysis revealed an FGFR3/PIK3CA-associated pathway and relative mutual exclusivity between FGFR3 and TP53. Copy-number alterations were modest overall. Comparison with TCGA data demonstrated a higher frequency of FGFR3 alterations in our cohort, likely reflecting the larger proportion of non–muscle-invasive tumors. Conclusions: Pan-cancer targeted sequencing provided a comprehensive genomic landscape of UBC, capturing canonical drivers and additional alterations that may be overlooked by bladder-restricted assays. The identification of TP53 and STAG2 as prognostic markers highlights the potential value of broader genomic profiling for biologically informed risk stratification in urothelial bladder cancer. Full article
(This article belongs to the Section Cancer Biomarkers)
Show Figures

Figure 1

18 pages, 935 KB  
Article
Comparative Efficacy and Safety of First-Line Immune Checkpoint Inhibitors Plus Chemotherapy with or Without Bevacizumab in Advanced Non-Squamous Non-Small Cell Lung Carcinoma
by Ping Chen, Mengchi Wang, Siyan Peng, Honglin Zhu, Yanming Wang, Zixuan Wan, Xuan Yang, Zhixin Yu and Yixin Zhou
Curr. Oncol. 2026, 33(3), 173; https://doi.org/10.3390/curroncol33030173 - 18 Mar 2026
Viewed by 466
Abstract
Background: First-line chemoimmunotherapy (I + C) is the standard of care for advanced non-squamous non-small cell lung cancer (NSCLC) without oncogenic mutation. Bevacizumab has been shown to enhance the efficacy of chemotherapy in non-squamous NSCLC, yet its added value when combined with I [...] Read more.
Background: First-line chemoimmunotherapy (I + C) is the standard of care for advanced non-squamous non-small cell lung cancer (NSCLC) without oncogenic mutation. Bevacizumab has been shown to enhance the efficacy of chemotherapy in non-squamous NSCLC, yet its added value when combined with I + C (I + C + B) remains unclear. To address this gap, we conducted a real-world comparative study and a network meta-analysis to evaluate I + C + B versus I + C in this setting. Methods: This retrospective study included patients with advanced EGFR/ALK-negative non-squamous NSCLC treated with first-line I + C + B or I + C. Propensity score matching (PSM) was employed to balance baseline characteristics between groups. Efficacy endpoints were progression-free survival (PFS) and overall survival (OS). Subgroup analyses examined outcomes by PD-L1 expression, age, metastases, and chemotherapy, among other factors. In parallel, a network meta-analysis of four randomized trials (n = 2026) indirectly compared I + C + B against I + C for PFS, OS, and safety outcomes. Results: A total of 277 patients were included, with 167 (60.3%) receiving I + C + B and 110 (39.7%) receiving I + C. Before PSM, the I + C + B regimen significantly prolonged PFS versus I + C (hazard ratio [HR] = 0.69, 95% CI 0.52–0.92, p = 0.010), with this benefit maintaining post-matching (HR = 0.70, 95% CI 0.49–0.99, p = 0.045). However, OS did not differ significantly between groups in either the pre-PSM (HR = 0.93, 95% CI: 0.67–1.30; p = 0.665) or matched analyses (HR = 0.84, 95% CI: 0.54–1.29; p = 0.421). Subgroup analyses suggested greater PFS benefit from I + C + B among PD-L1-negative, older patients, those with brain metastases or multiple metastatic sites, and in patients receiving specific chemotherapy doublets. The network meta-analysis confirmed a PFS advantage for I + C + B over I + C (HR = 0.84, 95% CI: 0.71–0.98) without an OS benefit (HR = 0.95, 95% CI: 0.79–1.14). Toxicity was higher with I + C + B; rates of grade 3–5 adverse events, serious adverse events, and treatment discontinuation were all significantly increased compared to I + C. Conclusions: In the first-line treatment of advanced EGFR/ALK-negative non-squamous NSCLC, adding bevacizumab to I + C improved PFS but did not translate into an OS gain. Although PFS benefits were observed in certain subgroups, these were accompanied by significantly increased treatment-related toxicities. Our findings suggest that no clear subgroup has been identified where the benefit outweighs the risks, necessitating extreme clinical caution. Full article
(This article belongs to the Section Thoracic Oncology)
Show Figures

Graphical abstract

16 pages, 3201 KB  
Systematic Review
Artificial Intelligence in ALK-Rearranged NSCLC: Forecasting Response and Resistance
by Andreas Koulouris, Christos Tsagkaris, Konstantinos Kalaitzidis, Georgios Tsakonas and Giannis Mountzios
Cancers 2026, 18(6), 973; https://doi.org/10.3390/cancers18060973 - 18 Mar 2026
Viewed by 474
Abstract
Background/Objectives: The management and prognosis of ALK-rearranged non-small-cell lung cancer have substantially improved over the past decade. However, challenges remain in timely molecular identification, prediction of treatment response, and understanding resistance mechanisms. This systematic review evaluates and synthesizes the evidence on artificial [...] Read more.
Background/Objectives: The management and prognosis of ALK-rearranged non-small-cell lung cancer have substantially improved over the past decade. However, challenges remain in timely molecular identification, prediction of treatment response, and understanding resistance mechanisms. This systematic review evaluates and synthesizes the evidence on artificial intelligence (AI) approaches leveraging imaging, pathology, molecular, and clinical data in this setting. Methods: A systematic search was conducted for peer-reviewed studies published between 2020 and 2025. Eligible studies involved human subjects and applied AI, machine learning, or deep learning methods to predict ALK status or treatment-related outcomes using imaging, pathology, molecular, or multimodal data. Study selection followed the PRISMA 2020 guidelines. Data were extracted on study design, data modality, AI methodology, clinical objectives, and performance metrics. Bibliometric co-occurrence analysis was performed to characterize thematic patterns and temporal trends. Results: Thirteen studies met the inclusion criteria, most of which were retrospective and single-center. AI approaches were applied to radiologic, pathologic, molecular, or multimodal data. Models predicting ALK status reported area under the curve values ranging from 0.73 to 0.99, while prognostic and treatment-response models reported moderate to high discriminative performance. Bibliometric analysis identified two dominant research themes focused on molecular characterization and computational methodology, with a recent shift toward treatment-specific and integrative analyses. External validation and clinical implementation remained limited across studies. Conclusions: AI shows promising potential to support diagnosis, prognostication, and treatment assessment in ALK-rearranged lung cancer. However, methodological heterogeneity, limited external validation, and a lack of prospective studies currently constrain clinical translation. Full article
(This article belongs to the Special Issue ALK in Cancer: Lessons from the Future (2nd Edition))
Show Figures

Graphical abstract

14 pages, 3077 KB  
Article
Antifibrotic Effect of the TGF-β Type I Receptor Inhibitor EW-7197 on Anastomotic Healing in a Rat Choledochojejunostomy Model
by Fırat Aslan, Serhat Binici, Iklil Eryılmaz, Burhan Beger, Orhan Beger, Ümit Haluk İliklerden, İbrahim Özalp, Zehra Akman İlik, Feyruz Karakoyun, Şahin Şahinalp, Muzaffer Önder Öner and Mehmet Çetin Kotan
Biomedicines 2026, 14(3), 698; https://doi.org/10.3390/biomedicines14030698 - 17 Mar 2026
Viewed by 308
Abstract
Background/Aim: Anastomotic stricture following choledochojejunostomy (CJS) is largely driven by fibrotic remodeling at the anastomotic site, a process mediated by transforming growth factor-β (TGF-β) signaling. This problem is particularly relevant in emergency biliary surgery, where CJS is frequently performed under suboptimal conditions [...] Read more.
Background/Aim: Anastomotic stricture following choledochojejunostomy (CJS) is largely driven by fibrotic remodeling at the anastomotic site, a process mediated by transforming growth factor-β (TGF-β) signaling. This problem is particularly relevant in emergency biliary surgery, where CJS is frequently performed under suboptimal conditions and anastomotic leakage is common, predisposing to exaggerated fibrosis and late strictures. This study aimed to evaluate the effect of the TGF-β type I receptor (ALK5) inhibitor EW-7197 (vactosertib) on histopathological parameters of anastomotic healing, with a particular focus on fibrosis, in a rat CJS model. Materials and Methods: Twenty-four male Wistar Albino rats were randomized into three groups (n = 8 each): control (G1), CJS only (G2), and CJS plus EW-7197 (G3). EW-7197 was administered as a single intraperitoneal dose (20 mg/kg) immediately after completion of the anastomosis. On postoperative day 21, choledochojejunal anastomotic tissues were harvested and evaluated histologically using hematoxylin–eosin and Masson’s trichrome staining. Edema, hyperemia, inflammation, and fibrosis were graded using a semi-quantitative scoring system, and intergroup comparisons were performed using non-parametric statistical tests. Results: Compared with surgery alone, EW-7197 treatment resulted in a statistically significant reduction in fibrosis severity at the anastomotic site (p < 0.001) and a significant attenuation of hyperemia (p = 0.007). Edema scores showed a downward trend in the EW-7197-treated group but did not reach statistical significance, while inflammation scores did not differ significantly between the surgical groups. Conclusions: In this experimental rat choledochojejunostomy model, administration of the selective ALK5 inhibitor EW-7197 significantly reduced histopathological fibrosis and hyperemia at the anastomotic site on postoperative day 21 without affecting inflammation severity. These findings support the role of the TGF-β/Smad pathway in bilioenteric anastomotic fibrotic remodeling. However, further studies including molecular validation and functional assessments are required to clarify the translational relevance of these results. Full article
(This article belongs to the Section Drug Discovery, Development and Delivery)
Show Figures

Figure 1

32 pages, 5477 KB  
Article
Novel Adenine–Hydrazone Hybrids Against Human Lung Adenocarcinoma (A549): Design, Synthesis, Cellular Mechanistic Investigation and Molecular Docking Studies
by Emre Menteşe, Nedime Çalışkan, Didem Aksu, Mustafa Emirik, Adem Güner and Fatih Yılmaz
Pharmaceuticals 2026, 19(3), 474; https://doi.org/10.3390/ph19030474 - 13 Mar 2026
Viewed by 327
Abstract
Background/Objectives: Adenine derivatives are promising anticancer scaffolds, but their cellular mechanisms remain unclear. This study aimed to synthesize adenine–hydrazone hybrids and evaluate their cytotoxic effects in human lung adenocarcinoma (A549) cells. Methods: A series of adenine–hydrazone compounds (3ar [...] Read more.
Background/Objectives: Adenine derivatives are promising anticancer scaffolds, but their cellular mechanisms remain unclear. This study aimed to synthesize adenine–hydrazone hybrids and evaluate their cytotoxic effects in human lung adenocarcinoma (A549) cells. Methods: A series of adenine–hydrazone compounds (3ar) was synthesized and tested for cytotoxicity in A549 and MRC-5 cells. Selected compounds were further analyzed for LDH release, oxidative stress markers, ROS production, mitochondrial membrane potential, cell-cycle distribution, apoptosis, and in silico docking against VEGFR2, ALK5, and EGFR. Results: Compounds with electron-withdrawing or donor–acceptor substituents showed the highest cytotoxicity, while halogenated and methoxy analogs were moderately active. Among the synthesized derivatives, 4F-substituted derivatives (3c) showed more activity than 2F- and 3F-substituted ones (3a and 3b). 4F- and 3Br-substituted derivatives (3f) showed more activity than only 4F-substituted ones (3c). 4-Nitro-substituted derivative (3i) showed more activity than 4F- (3c), 4Cl- (3d) and 4OMe- (3h) derivatives. Trimethoxy-substituted derivative (3l) showed more activity than di- and mono-substituted methoxy derivatives (3g, 3h, 3j and 3k). Among the salicyl aldehydederivatives (3mr), 4-N(et)2-substituted derivative (3r) showed more activity than non-substituted (3m), 5Br-(3n), 5Cl-(3o), 5Me (3p) and 3OCH3 (3q) derivatives. Treatment induced oxidative stress, mitochondrial depolarization, Sub-G1 cell-cycle accumulation, and apoptosis. Docking studies indicated strong binding to VEGFR2 and ALK5, suggesting dual inhibition as a potential mechanism. Conclusions: Adenine–hydrazone derivatives exert substituent-dependent anticancer effects by inducing redox imbalance-associated mitochondrial dysfunction and regulated cell death. These results highlight their potential as lead structures for lung cancer therapy. Full article
Show Figures

Graphical abstract

15 pages, 777 KB  
Review
Oligoprogression in NSCLC with Other Actionable Oncogenic Drivers Beyond EGFR and ALK: An Emerging Entity
by Ilaria Mariangela Scaglione, Adele Bonato, Alessandra Dodi, Marco Sposito, Serena Eccher, Alice Avancini, Daniela Tregnago, Jessica Insolda, Michele Milella, Sara Pilotto and Lorenzo Belluomini
Int. J. Mol. Sci. 2026, 27(6), 2643; https://doi.org/10.3390/ijms27062643 - 13 Mar 2026
Viewed by 491
Abstract
Oligoprogressive disease (OPD) in non-small-cell lung cancer (NSCLC) is a clinical entity with peculiar behavior and treatment. OPD patients, during systemic therapy, may receive local ablative treatment (LAT) with survival benefit. The importance of OPD and the role of LAT has been comprehensively [...] Read more.
Oligoprogressive disease (OPD) in non-small-cell lung cancer (NSCLC) is a clinical entity with peculiar behavior and treatment. OPD patients, during systemic therapy, may receive local ablative treatment (LAT) with survival benefit. The importance of OPD and the role of LAT has been comprehensively assessed in the setting of EGFR mutant and ALK-rearranged NSCLC during tyrosine kinase inhibitor (TKI) treatment, but it is still almost unexplored in the context of NSCLC harboring actionable oncogenic drivers other than EGFR and ALK. The aim of our review is to collect and discuss the available data about standard treatment in this latter setting, with special consideration given to the role of LAT in case of OPD in systemic treatment. Through a comprehensive PubMed and ClinicalTrials.gov search, we identified the available data and ongoing clinical trials addressing these aims. To date, only limited evidence supports the use of LAT in OPD involving NSCLC driven by these molecular alterations, mainly deriving from case reports and retrospective series. This highlights an unmet clinical need that warrants systematic and multicentric data collection to generate more robust evidence. Full article
Show Figures

Figure 1

7 pages, 854 KB  
Case Report
Rare Inflammatory Myofibroblastic Tumor of the Urinary Bladder: A Case Report and Review of the Literature
by Zilvinas Venclovas, Agne Talackaite, Gabija Dadurkaite, Stasys Auskalnis, Mindaugas Jievaltas, Ieva Rubaviciute and Daimantas Milonas
J. Clin. Med. 2026, 15(5), 2047; https://doi.org/10.3390/jcm15052047 - 7 Mar 2026
Viewed by 350
Abstract
Background: An inflammatory myofibroblastic tumor (IMT) is a rare mesenchymal tumor, sometimes with urinary bladder involvement (though this is extremely uncommon). Due to its rarity, the exact etiology and optimal treatment strategy remain unclear. Methods: A review of the existing literature [...] Read more.
Background: An inflammatory myofibroblastic tumor (IMT) is a rare mesenchymal tumor, sometimes with urinary bladder involvement (though this is extremely uncommon). Due to its rarity, the exact etiology and optimal treatment strategy remain unclear. Methods: A review of the existing literature on IMT of the urinary bladder was performed. Results: We report a case of a 32-year-old female presenting with frequent urination, hematuria with clots, and lower abdominal pain for one month. Initially misdiagnosed as acute cystitis, the symptoms persisted despite antibiotic therapy. Laboratory findings revealed severe anemia, and imaging studies identified a large bladder mass. Transurethral resection of the bladder tumor (TURB) was performed, and a 96 g mass was removed. Histopathological examination confirmed IMT of the urinary bladder (IMTUB) with positive immunohistochemical staining for ALK, vimentin, and actin. Follow-up at 30 months showed no recurrence, with annual cystoscopy and CT scans confirming remission. Conclusions: IMTUB should be considered in young patients presenting with hematuria and lower urinary tract symptoms. Early diagnosis through cystoscopy, imaging, and histopathological confirmation is essential for appropriate management. TURB remains the gold standard for treatment, with ALK inhibitors providing additional therapeutic options in select cases. Long-term follow-up is necessary due to the unknown malignant potential of IMTUB. Full article
(This article belongs to the Special Issue Genitourinary Cancers: Clinical Advances and Practice Updates)
Show Figures

Figure 1

Back to TopTop