Sign in to use this feature.

Years

Between: -

Subjects

remove_circle_outline
remove_circle_outline
remove_circle_outline
remove_circle_outline
remove_circle_outline
remove_circle_outline
remove_circle_outline
remove_circle_outline
remove_circle_outline

Journals

Article Types

Countries / Regions

remove_circle_outline
remove_circle_outline
remove_circle_outline
remove_circle_outline

Search Results (289)

Search Parameters:
Keywords = 6061

Order results
Result details
Results per page
Select all
Export citation of selected articles as:
14 pages, 7639 KB  
Article
Advanced Parameter Optimization for Laser Engraving Machines via Genetic Algorithms
by Chen-Yu Lee, Chuin-Mu Wang and Jia-Xian Jian
Appl. Sci. 2025, 15(22), 11925; https://doi.org/10.3390/app152211925 - 10 Nov 2025
Viewed by 172
Abstract
Laser engraving may be used in a variety of industries, from medicine to defense, and it has many uses that require high-quality precision production. However, in practice, operators have to adjust the laser settings manually, which can result in wasted material and poor [...] Read more.
Laser engraving may be used in a variety of industries, from medicine to defense, and it has many uses that require high-quality precision production. However, in practice, operators have to adjust the laser settings manually, which can result in wasted material and poor color quality and even decrease productivity. Current optimization approaches mostly concentrate on single objectives, making it impossible to co-optimize engraving quality and production efficiency simultaneously. In this paper, an approach based on a multi-objective genetic algorithm, a combination of NSGA-II, SPEA2, and MOEA/D, is proposed to automatically establish the relationship between CMYK color attributes, which are extracted from images of engravings, and laser parameters (power, speed, and frequency). Anodized aluminum 6061 was laser-processed using an SPI 30W fiber laser. While the proposed framework is general, the experimental validation in this study was specifically constrained to this material. The results also indicate that MOEA/D converges in a short time and becomes relatively stable after 20 generations. NSGA-II results in solutions that are more diverse, and SPEA2 offers a good trade-off between the speed of convergence and solution size. This approach resulted in optimization in terms of both a decrease in material used and color matching between manual operations, with the average CMYK improvement being up to 28%. Our results indicate that multi-objective evolutionary optimization is feasible for the optimization of efficiency and quality in laser cutting. Full article
(This article belongs to the Special Issue Innovative Applications of Big Data and Cloud Computing, 2nd Edition)
Show Figures

Figure 1

17 pages, 3765 KB  
Article
Use of Accelerometers to Monitor Motor Activity During HABIT-ILE for Chronic Stroke: An Exploratory Study
by Merlin Somville, Zélie Rosselli, Edouard Ducoffre, Massimo Penta, Tristan Smeesters, Yannick Bleyenheuft and Geoffroy Saussez
Sensors 2025, 25(21), 6656; https://doi.org/10.3390/s25216656 - 31 Oct 2025
Viewed by 477
Abstract
(1) Background: Hand and Arm Bimanual Intensive Therapy Including Lower Extremities (HABIT-ILE) is a high-dose evidence-based neurorehabilitation. This study aims to develop and validate a protocol using three inertial measurement units (IMUs) to objectively document upper and lower extremities’ (UE; LE) motor activity [...] Read more.
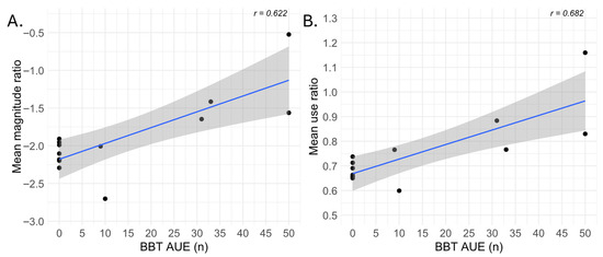
(1) Background: Hand and Arm Bimanual Intensive Therapy Including Lower Extremities (HABIT-ILE) is a high-dose evidence-based neurorehabilitation. This study aims to develop and validate a protocol using three inertial measurement units (IMUs) to objectively document upper and lower extremities’ (UE; LE) motor activity during a HABIT-ILE intervention in chronic stroke adults. (2) Method: Thirteen adults (57.1 y ± 11.3) who completed 65 h of HABIT-ILE (2 weeks, 6.5 h/d) were included. Daily motor activity was recorded with IMUs placed on both wrists and one thigh with nine IMU-derived variables extracted to evaluate motor activity and posture. Each variable was correlated with baseline abilities and day-to-day patterns were observed with subgroup analyses based on baseline dexterity and walking endurance. Day-to-day patterns were highlighted based on mean values and effect size analyses. (3) Results: Only the Magnitude and Use ratios showed high correlations with baseline abilities, with a day-to-day specific pattern highlighted for participants with moderate to good dexterity at baseline. (4) Conclusions: All participants reported a high level of engagement during HABIT-ILE independently of their baseline abilities. Although we could not detect a global trend to document the content of a HABIT-ILE intervention, these exploratory results suggest IMU monitoring to be relevant to characterize therapeutic content. Full article
Show Figures

Figure 1

22 pages, 175162 KB  
Article
A Test for Susceptibility to Solidification Cracking and Liquation Cracking in Additive Manufacturing
by Soumyadeep Dasgupta, Dan Thoma and Sindo Kou
Metals 2025, 15(10), 1147; https://doi.org/10.3390/met15101147 - 16 Oct 2025
Viewed by 492
Abstract
Solidification cracking and liquation cracking have been reported frequently in additive manufacturing (AM) as well as welding. In the vast majority of weldability tests, a single-pass, single-layer weld is tested, though multiple-pass, multiple-layer welding is common in welding practice. In AM, evaluating the [...] Read more.
Solidification cracking and liquation cracking have been reported frequently in additive manufacturing (AM) as well as welding. In the vast majority of weldability tests, a single-pass, single-layer weld is tested, though multiple-pass, multiple-layer welding is common in welding practice. In AM, evaluating the cracking susceptibility based on the total number or length of cracks per unit volume requires repeated cutting and polishing of a built object, and the cracks are often too small to open easily for fracture-surface examination. The present study identified an existing weldability test and modified it to serve as a cracking susceptibility test for AM. A single-pass, single-layer deposit of metal powder was made along a slender specimen that was pulled like in tensile testing but with acceleration. Cracks were visible on the deposit surface and opened easily for examination. The critical pulling speed, i.e., the minimum pulling speed required to cause cracking, was determined as an index for the cracking susceptibility. The lower the critical pulling speed is, the higher the cracking susceptibility. As a result, 6061 Al showed solidification cracking, and 7075 Al showed liquation cracking, consistent with their high susceptibility to such cracking. Full article
Show Figures

Graphical abstract

36 pages, 9197 KB  
Article
Machine Learning-Guided Energy-Efficient Machining of 8000 Series Aluminum Alloys
by Burak Öztürk, Özkan Küçük, Murat Aydın and Fuat Kara
Machines 2025, 13(10), 906; https://doi.org/10.3390/machines13100906 - 2 Oct 2025
Viewed by 718
Abstract
This study focuses on optimizing the machinability of Al-Fe-Cu (8000 series) alloys by developing new compositions with varying Fe and Cu contents and evaluating their mechanical, microstructural, and energy performance. For this purpose, 6061 Al alloy was melted in an induction furnace and [...] Read more.
This study focuses on optimizing the machinability of Al-Fe-Cu (8000 series) alloys by developing new compositions with varying Fe and Cu contents and evaluating their mechanical, microstructural, and energy performance. For this purpose, 6061 Al alloy was melted in an induction furnace and cast into molds, and samples containing 2.5% and 5% Fe were produced. Microstructural features were analyzed using Python-based image processing, while Specific Energy Consumption (SEC) theory was applied to assess machining efficiency. An alloy with 2.5% Fe and 2.64% Cu showed superior mechanical properties and the lowest energy consumption. Increasing cutting speed and depth of cut notably decreased SEC. Machine learning (ML) analysis confirmed strong predictive capability, with R2 values above 0.80 for all models. Decision Tree (DT) achieved the highest accuracy for SEC prediction (R2 = 0.98634, MAE = 0.02209, MSE = 0.00104), whereas XGBoost (XGB) performed best for SCEC (R2 = 0.96533, MAE = 0.25578, MSE = 0.10178). Response Surface Methodology (RSM) optimization further validated the significant influence of machining parameters on SEC and specific cutting energy consumption (SCEC). Overall, the integration of machine learning (ML), response surface methodology (RSM), and energy equations provides a comprehensive approach to improve the machinability and energy efficiency of 8000 series alloys, offering practical insights for industrial applications. Full article
(This article belongs to the Section Material Processing Technology)
Show Figures

Figure 1

14 pages, 4473 KB  
Article
Research on Microstructure and Corrosion Behavior of Aluminum Alloy Laser-Welded Joints Assisted by Ultrasonic Vibration
by Di Bai, Ao Li, Jia Liu, Yan Shi, Hong Zhang and Li Yang
Micromachines 2025, 16(10), 1118; https://doi.org/10.3390/mi16101118 - 29 Sep 2025
Viewed by 404
Abstract
Laser welding of 6061 aluminum alloy often results in coarse microstructures and inferior corrosion resistance due to rapid solidification. This study introduces ultrasonic vibration as an auxiliary technique to address these limitations. The paper systematically investigates the influence of laser weld ultrasonic assistance [...] Read more.
Laser welding of 6061 aluminum alloy often results in coarse microstructures and inferior corrosion resistance due to rapid solidification. This study introduces ultrasonic vibration as an auxiliary technique to address these limitations. The paper systematically investigates the influence of laser weld ultrasonic assistance on the microstructure and corrosion behavior of a 6061-T6 aluminum alloy welded joint. The results demonstrate that ultrasonic assistance refined the grain structure and reduced the corrosion current density by 19.1% compared to conventional laser welding, achieving 73.6% of the base metal’s corrosion resistance. The enhancement is attributed to ultrasonic-induced acoustic streaming and cavitation, which promote equiaxed grain formation and impede corrosive penetration. The enhancement is attributed to ultrasonic-induced acoustic streaming and cavitation, which promote equiaxed grain formation and impede corrosive penetration. Under the ultrasonic effect, the number of dimples in the weld fracture increased and the depth was significant, which enhanced the tensile strength of the 6061 Aluminum alloy weld. This work provides a reliable and efficient strategy for producing high-performance aluminum alloy welded structures in industrial applications. Full article
(This article belongs to the Special Issue Optical and Laser Material Processing, 2nd Edition)
Show Figures

Figure 1

17 pages, 2954 KB  
Article
Reliability and Failure Probability Analysis of Al-Mg-Si/Al2O3–SiC Composites Cast Under Different Mold Conditions Using Classical and Bayesian Weibull Models
by Mohammed Y. Abdellah, Fadhel T. Alabdullah, Fadhel Alshqaqeeq and Mohamed K. Hassan
Crystals 2025, 15(9), 791; https://doi.org/10.3390/cryst15090791 - 4 Sep 2025
Cited by 1 | Viewed by 567
Abstract
This study analyzes the compressive behavior and reliability of Al-Mg-Si (6061) metal matrix composites reinforced with different weight fractions of Al2O3 and SiC ceramics and cast with graphite and steel molds. Compression tests were carried out according to ASTM E9 [...] Read more.
This study analyzes the compressive behavior and reliability of Al-Mg-Si (6061) metal matrix composites reinforced with different weight fractions of Al2O3 and SiC ceramics and cast with graphite and steel molds. Compression tests were carried out according to ASTM E9 with 0–8 wt.% reinforcement. The mold material significantly influenced the strength due to the cooling rate and interfacial adhesion. A two-parameter Weibull model assessed statistical reliability and extracted the shape (β) and scale (η) parameters using linear regression. Advanced models—lifelines (frequentist) and Bayesian models—were also applied. Graphite molds yielded composites with higher shape parameters (β = 6.27 for Al2O3; 5.49 for SiC) than steel molds (β = 4.66 for Al2O3; 4.79 for SiC). The scale values ranged from 490–523 MPa. The lifelines showed similar trends, with the graphite molds exhibiting higher consistency and scale (ρ = 7.45–9.36, λ = 479.71–517.49 MPa). Bayesian modeling using PyMC provided posterior distributions that better captured the uncertainty. Graphite mold samples had higher shape parameters (α = 6.98 for Al2O3; 8.46 for SiC) and scale values of 489.07–530.64 MPa. Bayesian models provided wider reliability limits, especially for SiC steel. Both methods confirmed the Weibull behavior. Lifelines proved to be computationally efficient, while Bayesian analysis provided deeper insight into reliability and variability. Full article
(This article belongs to the Special Issue Microstructural Characterization and Property Analysis of Alloys)
Show Figures

Figure 1

13 pages, 5650 KB  
Article
Coaxial Wire Feeding-Friction Stir Additive Manufacturing
by Mengmeng Liu, Rui Wang, Xiaohu Zhu, Ximing Cheng and Songmo Li
Crystals 2025, 15(9), 784; https://doi.org/10.3390/cryst15090784 - 31 Aug 2025
Viewed by 654
Abstract
At present, most studies in the field of Wire-Friction Stir Additive Manufacturing (W-FSAM) adopt the side wire feeding method. However, the side wire feeding method has problems in that the wire feeding tube occupies working space and the tool is prone to clogging. [...] Read more.
At present, most studies in the field of Wire-Friction Stir Additive Manufacturing (W-FSAM) adopt the side wire feeding method. However, the side wire feeding method has problems in that the wire feeding tube occupies working space and the tool is prone to clogging. To address this, this study proposes a Coaxial Wire Feeding-Friction Stir Additive Manufacturing (CWF-FSAM) method. The CWF-FSAM device adopts a structure where a fixed shaft is coaxially nested inside the stirring shaft, and the fixed shaft is machined with through-channels along the circumferential direction for wire feeding, which eliminates the limitation of the wire feeding tube. This study elaborates on the structure of the CWF-FSAM device, then uses 6061 aluminum alloy as the deposition material for additive manufacturing, and conducts characterization and analysis on the microstructure and mechanical properties of the deposited components. The results show that the interlayer bonding of the deposited components is dense without defects. The components exhibit uniform and fine equiaxed grains, with the average grain sizes of the top, middle, and bottom parts being 3.52 µm, 3.35 µm, and 4.07 µm, respectively. In terms of mechanical properties, the tensile strengths of the components along the building direction (BD) and longitudinal direction (LD) both reach 70% of that of the base material (BM) wire. The hardness ranges from 36 HV to 42 HV. In addition, closed-loop components were prepared by continuous counterclockwise deposition using the CWF-FSAM device. The tensile strengths of the overlapping area, straight section, and corner were 124.45 MPa, 125.88 MPa, and 126.95 MPa, respectively. The overall performance of the closed-loop components is uniform and stable, which indicates that the CWF-FSAM-deposited components have good mechanical property isotropy. Full article
(This article belongs to the Special Issue Advanced Welding and Additive Manufacturing)
Show Figures

Figure 1

20 pages, 5277 KB  
Article
Formation of Black Coatings on AA7075 and AA6061 by Low-Voltage Plasma Electrolytic Oxidation for Use as Flat Solar Absorbers in the Aerospace
by Lorena Kostelac, Alberto Piccinotti, Luca Pezzato, Elena Colusso, Mirko Pigato, Gioele Pagot, Vito Di Noto, Manuele Dabalà and Katya Brunelli
Coatings 2025, 15(9), 989; https://doi.org/10.3390/coatings15090989 - 25 Aug 2025
Viewed by 909
Abstract
In this work, a unique approach was used to synthesise black coatings on aluminium alloys (AA) 6061 and 7075 for applications in the aerospace field. In detail, plasma electrolytic oxidation (PEO) technology was used, maintaining the voltage constant at a relatively low value [...] Read more.
In this work, a unique approach was used to synthesise black coatings on aluminium alloys (AA) 6061 and 7075 for applications in the aerospace field. In detail, plasma electrolytic oxidation (PEO) technology was used, maintaining the voltage constant at a relatively low value (Vmax ≤ 292 V) during the process. NaVO3 additive was used in the silicate-based electrolyte to obtain a black colour. The coatings were characterised by SEM-EDS, XPS, XRD, VIS-NIR spectroscopy, and EIS. The presence of vanadium oxides in the PEO coatings was detected by EDS, XPS, and XRD analyses. PEO coatings on AA7075 produced with 10 g/L of NaVO3 exhibited exceptional optical characteristics, with a solar absorptance value of 95.3% in the VIS-NIR spectrum (wavelength range of 400–2000 nm). All the coatings improved the corrosion performances of the tested AA6061 and AA7075 by two or three orders of magnitude in 3.5 wt. % aqueous NaCl. Moreover, there was no sign of delamination, cracks, or any visible changes on coatings after thermal shock, performed by cycling samples between two extreme temperatures, −196 °C and 150 °C, respectively. Full article
(This article belongs to the Section Plasma Coatings, Surfaces & Interfaces)
Show Figures

Graphical abstract

19 pages, 4825 KB  
Article
Design of a Novel Electromagnetic Ultrasonic Transducer for Stress Detection
by Changhong Chen, Chunguang Xu, Guangcan Yang, Yongjiang Ma and Shuangxu Yang
Sensors 2025, 25(16), 5205; https://doi.org/10.3390/s25165205 - 21 Aug 2025
Cited by 1 | Viewed by 1116
Abstract
Accurate stress evaluation of structural components during manufacturing and operation is essential for ensuring the safety and reliability of advanced equipment in aerospace, defense, and other high-performance fields. However, existing electromagnetic ultrasonic stress detection methods are often limited by low signal amplitude and [...] Read more.
Accurate stress evaluation of structural components during manufacturing and operation is essential for ensuring the safety and reliability of advanced equipment in aerospace, defense, and other high-performance fields. However, existing electromagnetic ultrasonic stress detection methods are often limited by low signal amplitude and limited adaptability to complex environments, hindering their practical deployment for in situ testing. This study proposes a novel surface wave transducer structure for stress detection based on acoustoelastic theory combined with electromagnetic ultrasonic technology. It innovatively designs a surface wave transducer composed of multiple proportionally scaled dislocation meandering coils. This innovative configuration significantly enhances the Lorentz force distribution and coupling efficiency, which accurately measure the stress of components through acoustic time delays and present an experimental method for applying electromagnetic ultrasonic technology to in situ stress detection. Finite element simulations confirmed the optimized acoustic field characteristics, and experimental validation on 6061 aluminum alloy specimens demonstrated a 111.1% improvement in signal amplitude compared to conventional designs. Through multiple experiments and curve fitting, the average relative error of the measurement results is less than 4.53%, verifying the accuracy of the detection method. Further testing under random stress conditions validated the transducer’s feasibility for in situ testing in production and service environments. Owing to its enhanced signal strength, compact structure, and suitability for integration with automated inspection systems, the proposed transducer shows strong potential for in situ stress monitoring in demanding industrial environments. Full article
(This article belongs to the Section Fault Diagnosis & Sensors)
Show Figures

Figure 1

18 pages, 2670 KB  
Article
Score Your Way to Clinical Reasoning Excellence: SCALENEo Online Serious Game in Physiotherapy Education
by Renaud Hage, Frédéric Dierick, Joël Da Natividade, Simon Daniau, Wesley Estievenart, Sébastien Leteneur, Jean-Christophe Servotte, Mark A. Jones and Fabien Buisseret
Educ. Sci. 2025, 15(8), 1077; https://doi.org/10.3390/educsci15081077 - 21 Aug 2025
Viewed by 2299
Abstract
SCALENEo (Smart ClinicAL rEasoning iN physiothErapy) is an innovative online serious game designed to improve clinical reasoning in musculoskeletal physiotherapy education. Adapted from the “Happy Families” card game, it provides an interactive, structured approach to developing students/learners’ ability to categorize clinical information into [...] Read more.
SCALENEo (Smart ClinicAL rEasoning iN physiothErapy) is an innovative online serious game designed to improve clinical reasoning in musculoskeletal physiotherapy education. Adapted from the “Happy Families” card game, it provides an interactive, structured approach to developing students/learners’ ability to categorize clinical information into families of hypotheses. This digital platform supports both self-directed and collaborative learning, eliminating the need for continuous instructor supervision while ensuring meaningful engagement. SCALENEo features a unique feedback and scoring system that not only assesses students/learners’ decision-making processes but also promotes cautious and reflective reasoning over random guessing. By aligning with evidence-based pedagogical strategies, such as serious games and formative assessment, SCALENEo offers educators a powerful tool to reinforce critical thinking, improve student/learner engagement, and facilitate deeper learning in clinical reasoning education. Full article
Show Figures

Figure 1

20 pages, 5785 KB  
Article
Retrofitting of a High-Performance Aerospace Component via Topology Optimization and Additive Manufacturing
by Jorge Crespo-Sánchez, Claudia Solek, Sergio Fuentes del Toro, Ana M. Camacho and Alvaro Rodríguez-Prieto
Machines 2025, 13(8), 700; https://doi.org/10.3390/machines13080700 - 8 Aug 2025
Viewed by 698
Abstract
This research presents a novel methodology for lightweighting and cost reduction of components with high structural demands by integrating advanced design and manufacturing techniques. Specifically, it combines topology optimization (TO) with additive manufacturing (AM), also known as 3D printing. Unlike conventional approaches, the [...] Read more.
This research presents a novel methodology for lightweighting and cost reduction of components with high structural demands by integrating advanced design and manufacturing techniques. Specifically, it combines topology optimization (TO) with additive manufacturing (AM), also known as 3D printing. Unlike conventional approaches, the proposed method first determines the optimal geometry using an artificially stiff material, and only then evaluates real materials for structural and manufacturing feasibility. This design-first, material-second strategy enables broader material screening and maximizes weight reduction without compromising performance. The proposed workflow is applied to the design of a turbofan air intake—an aeronautical component operating under supersonic conditions—addressing both structural integrity and manufacturing feasibility. Three materials from distinct classes are assessed: two metallic alloys (aluminum alloy 6061 and titanium alloy, Ti6Al4V) and a high-performance polymer (polyetheretherketone, PEEK). This last option is preliminarily discarded after being analyzed for this specific application. Finite element (FE) simulations are used to evaluate the mechanical behavior of the optimized geometries, including bird-strike conditions. Among the evaluated manufacturing techniques, Selective Laser Melting (SLM) is identified as the most suitable for the metallic materials selected, providing an effective balance between performance, manufacturability, and aerospace compliance. This study illustrates the potential of TO–AM synergy as a sustainable and efficient design approach for next-generation aerospace components. Simulation results demonstrate a weight reduction of up to 71% while preserving critical functional regions and maintaining structural integrity in Al 6061 and Ti6Al4V cases, under the diverse loading conditions typical of real flight scenarios, while PEEK remains an attractive option for uses where mechanical demands are less stringent. Full article
Show Figures

Figure 1

9 pages, 4187 KB  
Proceeding Paper
Advanced Design and Analysis of Engine Fins to Improve Heat Transfer Rate
by Pritam Kumar Das, Mohammed Zubbairuddin, Jitendra Patra and Santosh Kumar Dash
Eng. Proc. 2025, 93(1), 23; https://doi.org/10.3390/engproc2025093023 - 7 Aug 2025
Viewed by 1248
Abstract
Fin analysis is crucial to improve the rate of heat transfer. The main objective of this research is to investigate various fin designs in order to enhance the heat transfer efficiency of cooling fins through modifications in the geometry of the cylinder fins. [...] Read more.
Fin analysis is crucial to improve the rate of heat transfer. The main objective of this research is to investigate various fin designs in order to enhance the heat transfer efficiency of cooling fins through modifications in the geometry of the cylinder fins. The investigation of thermal analysis of the cylinder through variation in material, geometry, number, and size of the fins is carried out. Different materials are considered to design the fins, including cast iron, aluminum alloy 6061, and copper. The design of the engine, featuring various fins, is modeled with CATIA, and analysis is performed with ANSYS 2023 R2. The findings indicate that for the modified design-2, the total heat flux is more for aluminum alloy 6061 compared to the other two materials. Additionally, the use of aluminum alloy 6061 results in lower weight, making it a better choice compared to cast iron and copper. Full article
(This article belongs to the Proceedings of International Conference on Mechanical Engineering Design)
Show Figures

Figure 1

16 pages, 3072 KB  
Article
Process Development to Repair Aluminum Components, Using EHLA and Laser-Powder DED Techniques
by Adrienn Matis, Min-Uh Ko, Richard Kraft and Nicolae Balc
J. Manuf. Mater. Process. 2025, 9(8), 255; https://doi.org/10.3390/jmmp9080255 - 31 Jul 2025
Viewed by 1082
Abstract
The article presents a new AM (Additive Manufacturing) process development, necessary to repair parts made from Aluminum 6061 material, with T6 treatment. The laser Directed Energy Deposition (DED) and Extreme High-Speed Directed Energy Deposition (EHLA) capabilities are evaluated for repairing Al large components. [...] Read more.
The article presents a new AM (Additive Manufacturing) process development, necessary to repair parts made from Aluminum 6061 material, with T6 treatment. The laser Directed Energy Deposition (DED) and Extreme High-Speed Directed Energy Deposition (EHLA) capabilities are evaluated for repairing Al large components. To optimize the process parameters, single-track depositions were analyzed for both laser-powder DED (feed rate of 2 m/min) and EHLA (feed rate 20 m/min) for AlSi10Mg and Al6061 powders. The cross-sections of single tracks revealed the bonding characteristics and provided laser-powder DED, a suitable parameter selection for the repair. Three damage types were identified on the Al component to define the specification of the repair process and to highlight the capabilities of laser-powder DED and EHLA in repairing intricate surface scratches and dents. Our research is based on variation of the powder mass flow and beam power, studying the influence of these parameters on the weld bead geometry and bonding quality. The evaluation criteria include bonding defects, crack formation, porosity, and dilution zone depth. The bidirectional path planning strategy was applied with a fly-in and fly-out path for the hatching adjustment and acceleration distance. Samples were etched for a qualitative microstructure analysis, and the HV hardness was tested. The novelty of the paper is the new process parameters for laser-powder DED and EHLA deposition strategies to repair large Al components (6061 T6), using AlSi10Mg and Al6061 powder. Our experimental research tested the defect-free deposition and the compatibility of AlSi10Mg on the Al6061 substrate. The readers could replicate the method presented in this article to repair by laser-powder DED/EHLA large Al parts and avoid the replacement of Al components with new ones. Full article
Show Figures

Figure 1

15 pages, 6090 KB  
Article
Vacuum Brazing of 6061 Aluminum Using Al-Si-Ge Filler Metals with Different Si Contents
by Sen Huang, Jiguo Shan, Jian Qin, Yuanxun Shen, Chao Jiang and Peiyao Jing
Metals 2025, 15(8), 857; https://doi.org/10.3390/met15080857 - 31 Jul 2025
Viewed by 860
Abstract
Al-xSi-35Ge (x = 4, 6, 8, 10, 12, wt.%) filler metals were prepared to vacuum braze 6061 aluminum alloy. The wettability of filler metals was studied. A thermodynamics model of the Al-Si-Ge ternary alloy was established to analyze the mechanism and impact of [...] Read more.
Al-xSi-35Ge (x = 4, 6, 8, 10, 12, wt.%) filler metals were prepared to vacuum braze 6061 aluminum alloy. The wettability of filler metals was studied. A thermodynamics model of the Al-Si-Ge ternary alloy was established to analyze the mechanism and impact of Si in the microstructure of the brazed joint. The findings indicated that Si addition had a slight effect on the melting point of Al-xSi-35Ge filler metals. Great molten temperature region of fillers was responsible for the loss of Ge during the wetting process, making residual filler metal difficult to melt. The microstructure of the joint was characterized by a multilayer structure that was primarily composed of three zones: two transition regions (Zone I) and a filler residual region (Zone II). There was liquidation of filler metal for Al-Si-35Ge filler metals during brazing, resulting in holes and cracks in joints. Increasing the Si content in fillers could alleviate the liquidation of filler metal, owing to diminishing difference of chemical potential of Ge (μGe) in fillers and 6061 substrates, hindering the diffusion of Ge from filler metal to substrates. Full article
Show Figures

Figure 1

20 pages, 28281 KB  
Article
Infrared-Guided Thermal Cycles in FEM Simulation of Laser Welding of Thin Aluminium Alloy Sheets
by Pasquale Russo Spena, Manuela De Maddis, Valentino Razza, Luca Santoro, Husniddin Mamarayimov and Dario Basile
Metals 2025, 15(8), 830; https://doi.org/10.3390/met15080830 - 24 Jul 2025
Cited by 2 | Viewed by 1026
Abstract
Climate concerns are driving the automotive industry to adopt advanced manufacturing technologies that aim to improve energy efficiency and reduce vehicle weight. In this context, lightweight structural materials such as aluminium alloys have gained significant attention due to their favorable strength-to-weight ratio. Laser [...] Read more.
Climate concerns are driving the automotive industry to adopt advanced manufacturing technologies that aim to improve energy efficiency and reduce vehicle weight. In this context, lightweight structural materials such as aluminium alloys have gained significant attention due to their favorable strength-to-weight ratio. Laser welding plays a crucial role in assembling such materials, offering high flexibility and fast joining capabilities for thin aluminium sheets. However, welding these materials presents specific challenges, particularly in controlling heat input to minimize distortions and ensure consistent weld quality. As a result, numerical simulations based on the Finite Element Method (FEM) are essential for predicting weld-induced phenomena and optimizing process performance. This study investigates welding-induced distortions in laser butt welding of 1.5 mm-thick Al 6061 samples through FEM simulations performed in the SYSWELD 2024.0 environment. The methodology provided by the software is based on the Moving Heat Source (MHS) model, which simulates the physical movement of the heat source and typically requires extensive calibration through destructive metallographic testing. This transient approach enables the detailed prediction of thermal, metallurgical, and mechanical behavior, but it is computationally demanding. To improve efficiency, the Imposed Thermal Cycle (ITC) model is often used. In this technique, a thermal cycle, extracted from an MHS simulation or experimental data, is imposed on predefined subregions of the model, allowing only mechanical behavior to be simulated while reducing computation time. To avoid MHS-based calibration, this work proposes using thermal cycles acquired in-line during welding via infrared thermography as direct input for the ITC model. The method was validated experimentally and numerically, showing good agreement in the prediction of distortions and a significant reduction in workflow time. The distortion values from simulations differ from the real experiment by less than 0.3%. Our method exhibits a slight decrease in performance, resulting in an increase in estimation error of 0.03% compared to classic approaches, but more than 85% saving in computation time. The integration of real process data into the simulation enables a virtual representation of the process, supporting future developments toward Digital Twin applications. Full article
(This article belongs to the Special Issue Manufacturing Processes of Metallic Materials)
Show Figures

Figure 1

Back to TopTop