Sign in to use this feature.

Years

Between: -

Subjects

remove_circle_outline
remove_circle_outline
remove_circle_outline
remove_circle_outline
remove_circle_outline
remove_circle_outline
remove_circle_outline

Journals

Article Types

Countries / Regions

Search Results (51)

Search Parameters:
Keywords = 4-nitrophenyl active esters

Order results
Result details
Results per page
Select all
Export citation of selected articles as:
10 pages, 1344 KB  
Article
Establishing a Novel E. coli Heterologous Secretion Expression System Mediated by mScarlet3 for the Expression of a Novel Lipolytic Enzyme
by Jun Yang, Mingjun Yang, Huichen Liu, Xinyu Liu, Fei Wang, Wenqiang Li, Yang Liu, Chao Zhai and Lixin Ma
Biomolecules 2025, 15(6), 842; https://doi.org/10.3390/biom15060842 - 9 Jun 2025
Viewed by 1162
Abstract
Our previous study demonstrated that an Escherichia coli heterologous secretion expression system, mediated by superfolder green fluorescent protein (sfGFP) mutants, significantly enhances recombinant lipase yield and reduces large-scale production costs. In this study, we identified mScarlet3, a fast-folding fluorescent protein, as another effective [...] Read more.
Our previous study demonstrated that an Escherichia coli heterologous secretion expression system, mediated by superfolder green fluorescent protein (sfGFP) mutants, significantly enhances recombinant lipase yield and reduces large-scale production costs. In this study, we identified mScarlet3, a fast-folding fluorescent protein, as another effective mediator of secretion expression in E. coli. A novel lipolytic enzyme, named LipHu6, was identified through sequence alignment. Secretion expression of LipHu6 was achieved by fusing mScarlet3 to either its N- or C-terminus. The specific activity of mScarlet3-LipHu6 reached 669,151.75 U/mmol, slightly surpassing that of LipHu6 alone (646,682.69 U/mmol) and markedly exceeding that of sfGFP(-15)-LipHu6 (492,432.39 U/mmol). Notably, N-terminal mScarlet3 fusion had no impact on LipHu6 hydrolytic activity toward short-chain p-nitrophenyl fatty acyl esters (C2–C8). In contrast, mScarlet3-LipHu6 exhibited approximately 1.5- and 1.7-fold increases in hydrolytic activity toward p-nitrophenyl palmitate (p-NPP, C16) and p-nitrophenyl stearate (p-NPS, C18), respectively. In conclusion, this study establishes a novel E. coli heterologous secretion expression system mediated by mScarlet3, offering a highly efficient and cost-effective strategy for the large-scale production of lipolytic enzymes. Full article
(This article belongs to the Section Biomacromolecules: Proteins, Nucleic Acids and Carbohydrates)
Show Figures

Figure 1

19 pages, 4805 KB  
Article
Biochemical Characterization and Polyester-Binding/Degrading Capability of Two Cutinases from Aspergillus fumigatus
by Haizhen Wang, Tianrui Zhang, Kaixiang Chen, Liangkun Long and Shaojun Ding
Microorganisms 2025, 13(5), 1121; https://doi.org/10.3390/microorganisms13051121 - 13 May 2025
Cited by 1 | Viewed by 965
Abstract
Two recombinant cutinases, AfCutA and AfCutB, derived from Aspergillus fumigatus, were heterologously expressed in Pichia pastoris and systematically characterized for their biochemical properties and polyester-degrading capabilities. AfCutA demonstrated superior catalytic performance compared with AfCutB, displaying higher optimal pH (8.0–9.0 [...] Read more.
Two recombinant cutinases, AfCutA and AfCutB, derived from Aspergillus fumigatus, were heterologously expressed in Pichia pastoris and systematically characterized for their biochemical properties and polyester-degrading capabilities. AfCutA demonstrated superior catalytic performance compared with AfCutB, displaying higher optimal pH (8.0–9.0 vs. 7.0–8.0), higher optimal temperature (60 °C vs. 50 °C), and greater thermostability. AfCutA exhibited increased hydrolytic activity toward p-nitrophenyl esters (C4–C16) and synthetic polyesters. Additionally, AfCutA released approximately 3.2-fold more acetic acid from polyvinyl acetate (PVAc) hydrolysis than AfCutB. Quartz crystal microbalance with dissipation monitoring (QCM-D) revealed rapid adsorption of both enzymes onto polyester films. However, their adsorption capacity on poly (ε-caprolactone) (PCL) films was significantly higher than on polybutylene succinate (PBS) films, and was influenced by pH. Comparative modeling of catalytic domains identified distinct structural differences between the two cutinases. AfCutA possesses a shallower substrate-binding cleft, fewer acidic residues, and more extensive hydrophobic regions around the active site, potentially explaining its enhanced interfacial activation and catalytic efficiency toward synthetic polyester substrates. The notably superior performance of AfCutA suggests its potential as a biocatalyst in industrial applications, particularly in polyester waste bioremediation and sustainable polymer processing. Full article
(This article belongs to the Section Microbial Biotechnology)
Show Figures

Graphical abstract

14 pages, 11237 KB  
Article
Domino Synthesis of 1,2,5-Trisubstituted 1H-Indole-3-carboxylic Esters Using a [3+2] Strategy
by Siddhartha Maji, Kwabena Fobi, Ebenezer Ametsetor and Richard A. Bunce
Molecules 2025, 30(3), 444; https://doi.org/10.3390/molecules30030444 - 21 Jan 2025
Cited by 1 | Viewed by 1437
Abstract
A new approach to 1,2,5-trisubstituted 1H-indole-3-carboxylic esters has been developed and studied. The method begins with the preparation of imines from aldehyde and primary amine derivatives. Treatment of these imines with the K2CO3-derived anion from methyl 2-(2-fluoro-5-nitrophenyl)acetate [...] Read more.
A new approach to 1,2,5-trisubstituted 1H-indole-3-carboxylic esters has been developed and studied. The method begins with the preparation of imines from aldehyde and primary amine derivatives. Treatment of these imines with the K2CO3-derived anion from methyl 2-(2-fluoro-5-nitrophenyl)acetate or methyl 2-(5-cyano-2-fluorophenyl)acetate in DMF initiates a [3+2] cyclization by addition of the anion to the imine followed by ring closure of the adduct nitrogen to the activated aromatic moiety via an SNAr process. Twenty-one examples are reported. Temperatures required for the conversion range from 90 to 95 °C for the nitro-activated substrates to 125 to 130 °C for the cyano-activated precursors. Though efficient and atom economical, limitations arise from steric hindrance in the reacting partners. The initial indoline formed is not observed but instead undergoes spontaneous air oxidation to the give the aromatic heterocycle. Imines from nonaromatic aldehydes and amines are also possible, but these give slightly lower yields of 1H-indoles and only react with the nitro-activated substrates. The results are presented with a discussion of the mechanism and the factors important to the success of the reaction. Full article
(This article belongs to the Section Organic Chemistry)
Show Figures

Figure 1

9 pages, 4001 KB  
Article
Hydrolysis Reactions of p-Nitrophenyl Trifluoroacetate and S-Ethyl Trifluorothioacetate
by Jack B. Suggs and Joshua J. Melko
Molecules 2025, 30(2), 268; https://doi.org/10.3390/molecules30020268 - 11 Jan 2025
Viewed by 1469
Abstract
The formation of water structures can provide significant benefits in organic reactions, stabilizing charge and lowering activation energies. Hydrolysis reactions will frequently rely on water networks to accomplish these goals. Here, we used computational chemistry and experimental kinetics to investigate a model thioester [...] Read more.
The formation of water structures can provide significant benefits in organic reactions, stabilizing charge and lowering activation energies. Hydrolysis reactions will frequently rely on water networks to accomplish these goals. Here, we used computational chemistry and experimental kinetics to investigate a model thioester molecule S-ethyl trifluorothioacetate, and extended work on a previously characterized ester p-nitrophenyl trifluoroacetate. We found that the rate-determining steps in these reactions are heavily influenced by the nature of the leaving group. The hydrolysis of S-ethyl trifluorothioacetate was much slower than p-nitrophenyl trifluoroacetate for this reason. We explored differences in the reaction orders with respect to water and examined details of calculated potential energy surfaces of these hydrolysis reactions, highlighting the roles of solvation effects and transition state structures. Full article
Show Figures

Graphical abstract

18 pages, 2358 KB  
Article
Extracellular Lipases of Yarrowia lipolytica Yeast in Media Containing Plant Oils—Studies Supported by the Design of Experiment Methodology
by Agata Fabiszewska, Bartłomiej Zieniuk, Karina Jasińska, Dorota Nowak, Katarzyna Sasal, Joanna Kobus and Urszula Jankiewicz
Appl. Sci. 2024, 14(23), 11449; https://doi.org/10.3390/app142311449 - 9 Dec 2024
Cited by 1 | Viewed by 1482
Abstract
Lipases are enzymes of great application importance in the food industry, in the cosmetic and detergent industries, in pharmacy and medicine, and in organic chemistry. Among lipases of various origins, those from microorganisms are currently the most commonly used. An excellent producer of [...] Read more.
Lipases are enzymes of great application importance in the food industry, in the cosmetic and detergent industries, in pharmacy and medicine, and in organic chemistry. Among lipases of various origins, those from microorganisms are currently the most commonly used. An excellent producer of lipases seems to be the nonconventional Yarrowia lipolytica yeast, but the biosynthesis of valuable metabolites depends on many factors. This study aimed to investigate the biodiversity of extracellular enzymes produced by four strains of Y. lipolytica, and to determine the optimal conditions of catalysis for the enzymes, according to temperature and pH, in a model hydrolysis reaction. Based on the obtained results, the biodiversity and strain dependence in lipase biosynthesis were observed. Using a Central Composite Design, it was found that temperature is the main factor in determining lipase activity. The enzymes produced by four different strains exhibited other substrate specificity, which was investigated using Latin square design methodology. Only two examined yeast strains, KKP 379 and W29, produced extracellular lipases at a high activity level towards medium- and long-chain fatty acid esters. Moreover, extracellular lipase from wild-type strain KKP 379 was further characterized, followed by exploring the activity of whole-cell biocatalyst and lyophilized enzyme solutions, and it was acknowledged that it was a “true” lipase with the highest affinity to p-nitrophenyl oleate. Full article
(This article belongs to the Special Issue Recent Advances in the Improvement of Food Quality and Safety)
Show Figures

Figure 1

15 pages, 2773 KB  
Article
Selection of Yarrowia lipolytica Lipases for Efficient Ester Synthesis or Hydrolysis
by Aline Habibe de Souza, Mylla F. C. de Moura, Rafaelle C. B. Franson, Tamires Carvalho, Marcel G. Martins, Adejanildo da Silva Pereira, Alexandre G. Torres and Priscilla F. F. Amaral
Reactions 2024, 5(4), 1027-1041; https://doi.org/10.3390/reactions5040054 - 2 Dec 2024
Viewed by 1383
Abstract
The species Yarrowia lipolytica is an aerobic yeast that produces different lipase isoforms, including extracellular, intracellular, and membrane-bound ones. The immobilization of lipases, such as those from Y. lipolytica, increases enzyme stability and lowers operational costs, through its reuse. The characterization of [...] Read more.
The species Yarrowia lipolytica is an aerobic yeast that produces different lipase isoforms, including extracellular, intracellular, and membrane-bound ones. The immobilization of lipases, such as those from Y. lipolytica, increases enzyme stability and lowers operational costs, through its reuse. The characterization of those biocatalysts is highly important to orientate their technological applications. The present work aims to obtain different Y. lipolytica lipases, through fermentation and immobilization techniques, and to evaluate the ester synthesis and hydrolysis activity of these biocatalysts in comparison to a commercial lipase produced by Candida rugosa and test them for phytosterol ester production. High immobilization yield was achieved by microencapsulating Y. lipolytica lipase extract on magnetic nanoparticles (>99.7%). However, immobilization significantly reduced their activity (more than 90%). Lipases from Y. lipolytica showed greater 4-nitrophenyl laurate synthesis in relation to the lipase from C. rugosa. However, C. rugosa lipase was still the best biocatalyst for β-sitosterol oleate synthesis, with a conversion of more than 99%. Y. lipolytica lipases can be good catalysts for ester hydrolysis reactions, even for ester synthesis, but are not good catalysts specifically for phytosterol esters synthesis. Full article
Show Figures

Figure 1

30 pages, 5760 KB  
Article
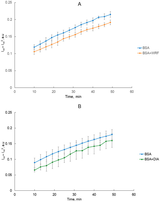
Modulation of Albumin Esterase Activity by Warfarin and Diazepam
by Daria A. Belinskaia, Anastasia A. Batalova, Polina A. Voronina, Vladimir I. Shmurak, Mikhail A. Vovk, Alexander M. Polyanichko, Tomash S. Sych, Kamila V. Samodurova, Vasilisa K. Antonova, Anastasia A. Volkova, Bogdan A. Gerda, Richard O. Jenkins and Nikolay V. Goncharov
Int. J. Mol. Sci. 2024, 25(21), 11543; https://doi.org/10.3390/ijms252111543 - 27 Oct 2024
Cited by 3 | Viewed by 1829
Abstract
Data are accumulating on the hydrolytic activity of serum albumin towards esters and organophosphates. Previously, with the help of the technology of proton nuclear magnetic resonance (1H NMR) spectroscopy, we observed the yield of acetate in the solution of bovine serum [...] Read more.
Data are accumulating on the hydrolytic activity of serum albumin towards esters and organophosphates. Previously, with the help of the technology of proton nuclear magnetic resonance (1H NMR) spectroscopy, we observed the yield of acetate in the solution of bovine serum albumin and p-nitrophenyl acetate (NPA). Thus, we showed that albumin possesses true esterase activity towards NPA. Then, using the methods of molecular docking and molecular dynamics, we established site Sudlow I as the catalytic center of true esterase activity of albumin. In the present work, to expand our understanding of the molecular mechanisms of albumin pseudoesterase and true esterase activity, we investigated—in experiments in vitro and in silico—the interaction of anticoagulant warfarin (WRF, specific ligand of site Sudlow I) and benzodiazepine diazepam (DIA, specific ligand of site Sudlow II) with albumins of different species, and determined how the binding of WRF and DIA affects the hydrolysis of NPA by albumin. It was found that the characteristics of the binding modes of WRF in site Sudlow I and DIA in site Sudlow II of human (HSA), bovine (BSA), and rat (RSA) albumins have species differences, which are more pronounced for site Sudlow I compared to site Sudlow II, and less pronounced between HSA and RSA compared to BSA. WRF competitively inhibits true esterase activity of site Sudlow I towards NPA and does not affect the functioning of site Sudlow II. Diazepam can slow down true esterase activity of site Sudlow I in noncompetitive manner. It was concluded that site Sudlow I is more receptive to allosteric modulation compared to site Sudlow II. Full article
(This article belongs to the Section Macromolecules)
Show Figures

Figure 1

15 pages, 1747 KB  
Article
Recombinant Expression and Characterization of a Novel Thermo-Alkaline Lipase with Increased Solvent Stability from the Antarctic Thermophilic Bacterium Geobacillus sp. ID17
by Diego Salas-Bruggink, Hardy Guzmán, Giannina Espina and Jenny M. Blamey
Int. J. Mol. Sci. 2024, 25(14), 7928; https://doi.org/10.3390/ijms25147928 - 19 Jul 2024
Cited by 2 | Viewed by 2069
Abstract
Lipases are enzymes that hydrolyze long-chain carboxylic esters, and in the presence of organic solvents, they catalyze organic synthesis reactions. However, the use of solvents in these processes often results in enzyme denaturation, leading to a reduction in enzymatic activity. Consequently, there is [...] Read more.
Lipases are enzymes that hydrolyze long-chain carboxylic esters, and in the presence of organic solvents, they catalyze organic synthesis reactions. However, the use of solvents in these processes often results in enzyme denaturation, leading to a reduction in enzymatic activity. Consequently, there is significant interest in identifying new lipases that are resistant to denaturing conditions, with extremozymes emerging as promising candidates for this purpose. Lip7, a lipase from Geobacillus sp. ID17, a thermophilic microorganism isolated from Deception Island, Antarctica, was recombinantly expressed in E. coli C41 (DE3) in functional soluble form. Its purification was achieved with 96% purity and 23% yield. Enzymatic characterization revealed Lip7 to be a thermo-alkaline enzyme, reaching a maximum rate of 3350 U mg−1 at 50 °C and pH 11.0, using p-nitrophenyl laurate substrate. Notably, its kinetics displayed a sigmoidal behavior, with a higher kinetic efficiency (kcat/Km) for substrates of 12-carbon atom chain. In terms of thermal stability, Lip7 demonstrates stability up to 60 °C at pH 8.0 and up to 50 °C at pH 11.0. Remarkably, it showed high stability in the presence of organic solvents, and under certain conditions even exhibited enzymatic activation, reaching up to 2.5-fold and 1.35-fold after incubation in 50% v/v ethanol and 70% v/v isopropanol, respectively. Lip7 represents one of the first lipases from the bacterial subfamily I.5 and genus Geobacillus with activity and stability at pH 11.0. Its compatibility with organic solvents makes it a compelling candidate for future research in biocatalysis and various biotechnological applications. Full article
(This article belongs to the Special Issue Extremozymes for Industrial Biocatalysis and Green Chemistry)
Show Figures

Figure 1

15 pages, 2443 KB  
Communication
A Convenient Oligonucleotide Conjugation via Tandem Staudinger Reaction and Amide Bond Formation at the Internucleotidic Phosphate Position
by Kristina V. Klabenkova, Polina V. Zhdanova, Ekaterina A. Burakova, Sergei N. Bizyaev, Alesya A. Fokina and Dmitry A. Stetsenko
Int. J. Mol. Sci. 2024, 25(4), 2007; https://doi.org/10.3390/ijms25042007 - 7 Feb 2024
Cited by 1 | Viewed by 2180
Abstract
Staudinger reaction on the solid phase between an electronodeficit organic azide, such as sulfonyl azide, and the phosphite triester formed upon phosphoramidite coupling is a convenient method for the chemical modification of oligonucleotides at the internucleotidic phosphate position. In this work, 4-carboxybenzenesulfonyl azide, [...] Read more.
Staudinger reaction on the solid phase between an electronodeficit organic azide, such as sulfonyl azide, and the phosphite triester formed upon phosphoramidite coupling is a convenient method for the chemical modification of oligonucleotides at the internucleotidic phosphate position. In this work, 4-carboxybenzenesulfonyl azide, either with a free carboxy group or in the form of an activated ester such as pentafluorophenyl, 4-nitrophenyl, or pentafluorobenzyl, was used to introduce a carboxylic acid function to the terminal or internal internucleotidic phosphate of an oligonucleotide via the Staudinger reaction. A subsequent treatment with excess primary alkyl amine followed by the usual work-up, after prior activation with a suitable peptide coupling agent such as a uronium salt/1-hydroxybenzotriazole in the case of a free carboxyl, afforded amide-linked oligonucleotide conjugates in good yields including multiple conjugations of up to the exhaustive modification at each phosphate position for a weakly activated pentafluorobenzyl ester, whereas more strongly activated and, thus, more reactive aryl esters provided only single conjugations at the 5′-end. The conjugates synthesized include those with di- and polyamines that introduce a positively charged side chain to potentially assist the intracellular delivery of the oligonucleotide. Full article
Show Figures

Figure 1

17 pages, 3927 KB  
Article
Evaluation of the Structure–Function Relationship of SGNH Lipase from Streptomyces rimosus by Site-Directed Mutagenesis and Computational Approach
by Želimira Filić, Ana Bielen, Ela Šarić, Mirsada Ćehić, Ivo Crnolatac, Sanja Tomić, Dušica Vujaklija and Marija Abramić
Int. J. Mol. Sci. 2024, 25(1), 595; https://doi.org/10.3390/ijms25010595 - 2 Jan 2024
Cited by 3 | Viewed by 2106
Abstract
Streptomyces rimosus extracellular lipase (SrL) is a multifunctional hydrolase belonging to the SGNH family. Here site-directed mutagenesis (SDM) was used for the first time to investigate the functional significance of the conserved amino acid residues Ser10, Gly54, Asn82, Asn213, and His216 in the [...] Read more.
Streptomyces rimosus extracellular lipase (SrL) is a multifunctional hydrolase belonging to the SGNH family. Here site-directed mutagenesis (SDM) was used for the first time to investigate the functional significance of the conserved amino acid residues Ser10, Gly54, Asn82, Asn213, and His216 in the active site of SrL. The hydrolytic activity of SrL variants was determined using para-nitrophenyl (pNP) esters with C4, C8, and C16 fatty acid chains. Mutation of Ser10, Asn82, or His216, but not Gly54, to Ala abolished lipase activity for all substrates. In contrast, the Asn213Ala variant showed increased enzymatic activity for C8 and C16 pNP esters. Molecular dynamics (MD) simulations showed that the interactions between the long alkyl chain substrate (C16) and Ser10 and Asn82 were strongest in Asn213Ala SrL. In addition to Asn82, Gly54, and Ser10, several new constituents of the substrate binding site were recognized (Lys28, Ser53, Thr89, and Glu212), as well as strong electrostatic interactions between Lys28 and Glu212. In addition to the H bonds Ser10–His216 and His216–Ser214, Tyr11 interacted strongly with Ser10 and His216 in all complexes with an active enzyme form. A previously unknown strong H bond between the catalytically important Asn82 and Gly54 was uncovered, which stabilizes the substrate in an orientation suitable for the enzyme reaction. Full article
(This article belongs to the Special Issue Biomolecular Structure, Function and Interactions)
Show Figures

Figure 1

23 pages, 5059 KB  
Article
A Novel Lipase from Streptomyces exfoliatus DSMZ 41693 for Biotechnological Applications
by Guillermo Rodríguez-Alonso, Juan Toledo-Marcos, Lara Serrano-Aguirre, Carlos Rumayor, Beatriz Pasero, Aida Flores, Ana Saborido, Pilar Hoyos, María J. Hernáiz, Isabel de la Mata and Miguel Arroyo
Int. J. Mol. Sci. 2023, 24(23), 17071; https://doi.org/10.3390/ijms242317071 - 2 Dec 2023
Cited by 10 | Viewed by 2715
Abstract
Genome mining of Streptomyces exfoliatus DSMZ 41693 has allowed us to identify four different lipase-encoding sequences, and one of them (SeLipC) has been successfully cloned and extracellularly expressed using Rhodococcus sp. T104 as a host. SeLipC was purified by one-step [...] Read more.
Genome mining of Streptomyces exfoliatus DSMZ 41693 has allowed us to identify four different lipase-encoding sequences, and one of them (SeLipC) has been successfully cloned and extracellularly expressed using Rhodococcus sp. T104 as a host. SeLipC was purified by one-step hydrophobic interaction chromatography. The enzyme is a monomeric protein of 27.6 kDa, which belongs to subfamily I.7 of lipolytic enzymes according to its phylogenetic analysis and biochemical characterization. The purified enzyme shows the highest activity at 60 °C and an optimum pH of 8.5, whereas thermal stability is significantly improved when protein concentration is increased, as confirmed by thermal deactivation kinetics, circular dichroism, and differential scanning calorimetry. Enzyme hydrolytic activity using p-nitrophenyl palmitate (pNPP) as substrate can be modulated by different water-miscible organic cosolvents, detergents, and metal ions. Likewise, kinetic parameters for pNPP are: KM = 49.6 µM, kcat = 57 s−1, and kcat/KM = 1.15 × 106 s−1·M−1. SeLipC is also able to hydrolyze olive oil and degrade several polyester-type polymers such as poly(butylene succinate) (PBS), poly(butylene succinate)-co-(butylene adipate) (PBSA), and poly(ε-caprolactone) (PCL). Moreover, SeLipC can catalyze the synthesis of different sugar fatty acid esters by transesterification using vinyl laurate as an acyl donor, demonstrating its interest in different biotechnological applications. Full article
(This article belongs to the Special Issue Microbial Enzymes for Biotechnological Applications)
Show Figures

Figure 1

14 pages, 4925 KB  
Article
Structural and Biochemical Insights into Bis(2-hydroxyethyl) Terephthalate Degrading Carboxylesterase Isolated from Psychrotrophic Bacterium Exiguobacterium antarcticum
by Jisub Hwang, Wanki Yoo, Seung Chul Shin, Kyeong Kyu Kim, Han-Woo Kim, Hackwon Do and Jun Hyuck Lee
Int. J. Mol. Sci. 2023, 24(15), 12022; https://doi.org/10.3390/ijms241512022 - 27 Jul 2023
Cited by 3 | Viewed by 2590
Abstract
This study aimed to elucidate the crystal structure and biochemically characterize the carboxylesterase EaEst2, a thermotolerant biocatalyst derived from Exiguobacterium antarcticum, a psychrotrophic bacterium. Sequence and phylogenetic analyses showed that EaEst2 belongs to the Family XIII group of carboxylesterases. Ea [...] Read more.
This study aimed to elucidate the crystal structure and biochemically characterize the carboxylesterase EaEst2, a thermotolerant biocatalyst derived from Exiguobacterium antarcticum, a psychrotrophic bacterium. Sequence and phylogenetic analyses showed that EaEst2 belongs to the Family XIII group of carboxylesterases. EaEst2 has a broad range of substrate specificities for short-chain p-nitrophenyl (pNP) esters, 1-naphthyl acetate (1-NA), and 1-naphthyl butyrate (1-NB). Its optimal pH is 7.0, losing its enzymatic activity at temperatures above 50 °C. EaEst2 showed degradation activity toward bis(2-hydroxyethyl) terephthalate (BHET), a polyethylene terephthalate degradation intermediate. We determined the crystal structure of EaEst2 at a 1.74 Å resolution in the ligand-free form to investigate BHET degradation at a molecular level. Finally, the biochemical stability and immobilization of a crosslinked enzyme aggregate (CLEA) were assessed to examine its potential for industrial application. Overall, the structural and biochemical characterization of EaEst2 demonstrates its industrial potency as a biocatalyst. Full article
(This article belongs to the Topic Advances in Enzymes and Protein Engineering)
Show Figures

Figure 1

11 pages, 4004 KB  
Article
Crystal Structure and Functional Characterization of an S-Formylglutathione Hydrolase (BuSFGH) from Burkholderiaceae sp.
by Jisub Hwang, Hackwon Do, Youn-Soo Shim and Jun Hyuck Lee
Crystals 2023, 13(4), 621; https://doi.org/10.3390/cryst13040621 - 4 Apr 2023
Viewed by 2151
Abstract
S-formylglutathione hydrolases (SFGHs) catalyze the hydrolysis of S-formylglutathione to formate and glutathione using the conserved serine hydrolase catalytic triad residues (Ser-His-Asp). SFGHs have broad substrate specificity, including, for example, ester bond-containing substrates. Here, we report the crystal structure of Burkholderiaceae sp. SFGH ( [...] Read more.
S-formylglutathione hydrolases (SFGHs) catalyze the hydrolysis of S-formylglutathione to formate and glutathione using the conserved serine hydrolase catalytic triad residues (Ser-His-Asp). SFGHs have broad substrate specificity, including, for example, ester bond-containing substrates. Here, we report the crystal structure of Burkholderiaceae sp. SFGH (BuSFGH) at 1.73 Å resolution. Structural analysis showed that the overall structure of BuSFGH has a typical α/β hydrolase fold, with a central β-sheet surrounded by α-helices. Analytical ultracentrifugation analysis showed that BuSFGH formed a stable dimer in solution. The enzyme activity assay indicated that BuSFGH has a high preference for short-chain p-nitrophenyl esters, such as p-nitrophenyl acetate. The activity of BuSFGH toward p-nitrophenyl acetate was five times higher than that of p-nitrophenyl butylate. Molecular modeling studies on the p-nitrophenyl acetate-bound BuSFGH structure indicate that Gly52, Leu53, Trp96, His147, Ser148, Trp182, Phe228, and His259 residues may be crucial for substrate binding. Collectively, these results are useful for understanding the substrate-binding mechanism and substrate specificity of BuSFGH. They can also provide useful insights for designing modified BuSFGHs with different substrate specificities. Full article
(This article belongs to the Special Issue Crystallography of Enzymes)
Show Figures

Figure 1

21 pages, 4484 KB  
Article
Altering the Regioselectivity of T1 Lipase from Geobacillus zalihae toward sn-3 Acylglycerol Using a Rational Design Approach
by Samah Hashim Albayati, Malihe Masomian, Siti Nor Hasmah Ishak, Adam Thean Chor Leow, Mohd Shukuri Mohamad Ali, Fairolniza Mohd Shariff, Noor Dina Muhd Noor and Raja Noor Zaliha Raja Abd Rahman
Catalysts 2023, 13(2), 416; https://doi.org/10.3390/catal13020416 - 15 Feb 2023
Cited by 10 | Viewed by 3056
Abstract
The regioselectivity characteristic of lipases facilitate a wide range of novel molecule unit constructions and fat modifications. Lipases can be categorized as sn-1,3, sn-2, and random regiospecific. Geobacillus zalihae T1 lipase catalyzes the hydrolysis of the sn-1,3 acylglycerol chain. The [...] Read more.
The regioselectivity characteristic of lipases facilitate a wide range of novel molecule unit constructions and fat modifications. Lipases can be categorized as sn-1,3, sn-2, and random regiospecific. Geobacillus zalihae T1 lipase catalyzes the hydrolysis of the sn-1,3 acylglycerol chain. The T1 lipase structural analysis shows that the oxyanion hole F16 and its lid domain undergo structural rearrangement upon activation. Site-directed mutagenesis was performed by substituting the lid domain residues (F180G and F181S) and the oxyanion hole residue (F16W) in order to study their effects on the structural changes and regioselectivity. The novel lipase mutant 3M switches the regioselectivity from sn-1,3 to only sn-3. The mutant 3M shifts the optimum pH to 10, alters selectivity toward p-nitrophenyl ester selectivity to C14-C18, and maintains a similar catalytic efficiency of 518.4 × 10−6 (s−1/mM). The secondary structure of 3M lipase comprises 15.8% and 26.3% of the α-helix and β-sheet, respectively, with a predicted melting temperature (Tm) value of 67.8 °C. The in silico analysis was conducted to reveal the structural changes caused by the F180G/F181S/F16W mutations in blocking the binding of the sn-1 acylglycerol chain and orientating the substrate to bond to the sn-3 acylglycerol, which resulted in switching the T1 lipase regioselectivity. Full article
(This article belongs to the Special Issue Biocatalysis in Organic Chemistry and Enzyme Engineering)
Show Figures

Graphical abstract

16 pages, 2532 KB  
Article
Copolymers Derived from Two Active Esters: Synthesis, Characterization, Thermal Properties, and Reactivity in Post-Modification
by Thi Phuong Thu Nguyen, Nadine Barroca-Aubry, Caroline Aymes-Chodur, Diana Dragoe, Gaëlle Pembouong and Philippe Roger
Molecules 2022, 27(20), 6827; https://doi.org/10.3390/molecules27206827 - 12 Oct 2022
Viewed by 2741
Abstract
Copolymers with two distinguished reactive repeating units are of great interest, as such copolymers might open the possibility of obtaining selective and/or consequent copolymers with different chemical structures and properties. In the present work, copolymers based on two active esters (pentafluorophenyl methacrylate and [...] Read more.
Copolymers with two distinguished reactive repeating units are of great interest, as such copolymers might open the possibility of obtaining selective and/or consequent copolymers with different chemical structures and properties. In the present work, copolymers based on two active esters (pentafluorophenyl methacrylate and p-nitrophenyl methacrylate) with varied compositions were synthesized by Cu(0)-mediated reversible deactivation radical polymerization. This polymerization technique allows the preparation of copolymers with high to quantitative conversion of both comonomers, with moderate control over dispersity (Đ = 1.3–1.7). Additionally, by in-depth study on the composition of each copolymer by various techniques including elemental analysis, NMR, FT-IR, and XPS, it was possible to confirm the coherence between expected and obtained composition. Thermal analyses by DSC and TGA were implemented to investigate the relation between copolymers’ composition and their thermal properties. Finally, an evaluation of the difference in reactivity of the two monomer moieties was confirmed by post-modification of copolymers with a primary amine and a primary alcohol as the model. Full article
(This article belongs to the Section Macromolecular Chemistry)
Show Figures

Figure 1

Back to TopTop