sensors-logo

Journal Browser

Journal Browser

Advances in Biosignal Sensing and Signal Processing

A special issue of Sensors (ISSN 1424-8220). This special issue belongs to the section "Biomedical Sensors".

Deadline for manuscript submissions: 20 September 2026 | Viewed by 2129

Special Issue Editor

1. Innovation Center for Semiconductor and Digital Future (ICSDF), Mie University, Tsu 514-8507, Japan
2. Department of Management Science and Technology, Graduate School of Engineering, Tohoku University, Sendai 982-0002, Japan
Interests: biosignal processing; biological big data; physiological monitoring; autonomic nervous system; health promotion

Special Issue Information

Dear Colleagues,

Recent advancements in biosignal sensing technologies and signal processing methodologies have substantially expanded the scope of applications in healthcare, biomedical engineering, and human–machine interaction. This Special Issue is dedicated to disseminating high-quality, original research that addresses innovations in the acquisition, processing, and interpretation of physiological signals, including but not limited to electroencephalography (EEG), electrocardiography (ECG), electromyography (EMG), respiratory activity, and multimodal biometric measurements. Particular emphasis will be placed on studies presenting novel sensor architectures, wearable and implantable device designs, and advanced computational algorithms for feature extraction, pattern recognition, and classification. Topics of interest further include noise suppression, motion artifact mitigation, energy-efficient signal acquisition, and real-time analytical frameworks. Contributions integrating biosignal processing with emerging paradigms such as the Internet of Things (IoT), edge computing, and artificial intelligence are especially encouraged, as they hold potential for enabling adaptive and intelligent biomedical systems. Both theoretical developments and applied investigations—spanning simulation, experimental validation, and clinical implementation—are welcome. By bringing together interdisciplinary perspectives, this Special Issue aims to promote the exchange of knowledge, foster collaboration, and accelerate the translation of biosignal sensing and processing innovations into practical, real-world solutions.

Dr. Emi Yuda
Guest Editor

Manuscript Submission Information

Manuscripts should be submitted online at www.mdpi.com by registering and logging in to this website. Once you are registered, click here to go to the submission form. Manuscripts can be submitted until the deadline. All submissions that pass pre-check are peer-reviewed. Accepted papers will be published continuously in the journal (as soon as accepted) and will be listed together on the special issue website. Research articles, review articles as well as short communications are invited. For planned papers, a title and short abstract (about 250 words) can be sent to the Editorial Office for assessment.

Submitted manuscripts should not have been published previously, nor be under consideration for publication elsewhere (except conference proceedings papers). All manuscripts are thoroughly refereed through a single-blind peer-review process. A guide for authors and other relevant information for submission of manuscripts is available on the Instructions for Authors page. Sensors is an international peer-reviewed open access semimonthly journal published by MDPI.

Please visit the Instructions for Authors page before submitting a manuscript. The Article Processing Charge (APC) for publication in this open access journal is 2600 CHF (Swiss Francs). Submitted papers should be well formatted and use good English. Authors may use MDPI's English editing service prior to publication or during author revisions.

Keywords

  • biosignal sensing
  • signal processing
  • wearable devices
  • physiological monitoring
  • noise reduction
  • machine learning
  • multimodal biometrics
  • edge computing
  • Internet of Things (IoT)
  • real-time processing

Benefits of Publishing in a Special Issue

  • Ease of navigation: Grouping papers by topic helps scholars navigate broad scope journals more efficiently.
  • Greater discoverability: Special Issues support the reach and impact of scientific research. Articles in Special Issues are more discoverable and cited more frequently.
  • Expansion of research network: Special Issues facilitate connections among authors, fostering scientific collaborations.
  • External promotion: Articles in Special Issues are often promoted through the journal's social media, increasing their visibility.
  • Reprint: MDPI Books provides the opportunity to republish successful Special Issues in book format, both online and in print.

Further information on MDPI's Special Issue policies can be found here.

Published Papers (2 papers)

Order results
Result details
Select all
Export citation of selected articles as:

Research

20 pages, 2010 KB  
Article
An sEMG Denoising Method with Improved Threshold Estimation for Rapid Keystroke Tasks
by Pengze Han, Baihui Ding, Penghao Deng, Dengxiong Wu and Huilong Li
Sensors 2026, 26(4), 1375; https://doi.org/10.3390/s26041375 - 22 Feb 2026
Viewed by 473
Abstract
Surface electromyography (sEMG) signals are inevitably affected by noise during acquisition, thereby degrading signal quality and analytical reliability. Most existing denoising methods combine signal decomposition with thresholding, and their performance depends on empirically set decomposition parameters and threshold estimation. However, in high-rate repetitive [...] Read more.
Surface electromyography (sEMG) signals are inevitably affected by noise during acquisition, thereby degrading signal quality and analytical reliability. Most existing denoising methods combine signal decomposition with thresholding, and their performance depends on empirically set decomposition parameters and threshold estimation. However, in high-rate repetitive motions such as rapid keystrokes, sustained high-duty-cycle muscle activation biases universal-threshold noise estimation, leading to unreliable thresholds. To overcome these issues, an sEMG denoising method that integrates the Walrus Optimizer (WO) with Variational Mode Decomposition (VMD) is proposed. WO is employed to optimize key VMD parameters, including the number of modes K and the penalty factor α. Based on this method, an improved threshold estimation strategy is developed to accommodate high-duty-cycle sEMG during rapid keystrokes. It reduces thresholding-induced over-attenuation of meaningful myoelectric components. The dataset included 18 participants with sEMG recorded from six muscles during rapid keystroke tasks (10 trials per participant; 20 keystrokes per trial). Across input signal-to-noise ratios (SNRs) of 0, 5, 10, 15 dB, the proposed method achieved a median SNR improvement (ΔSNR) ranging from 2.75 to 6.65 dB and a median root-mean-square error (RMSE) reduction rate (ΔRMSE%) ranging from 27% to 53%, while maintaining spectral fidelity with a median of median frequency variation rate (ΔMDF%) below 3.48%.These results indicate that the proposed method provides an efficient and reliable solution for sEMG signal processing in rapid keystroke analysis. Full article
(This article belongs to the Special Issue Advances in Biosignal Sensing and Signal Processing)
Show Figures

Figure 1

33 pages, 7833 KB  
Article
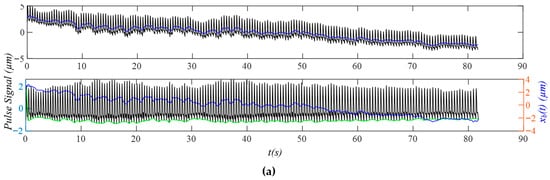
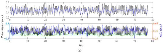
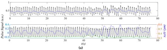
Motion Artifacts Removal from Measured Arterial Pulse Signals at Rest: A Generalized SDOF-Model-Based Time–Frequency Method
by Zhili Hao
Sensors 2025, 25(21), 6808; https://doi.org/10.3390/s25216808 - 6 Nov 2025
Cited by 2 | Viewed by 1215
Abstract
Motion artifacts (MA) are a key factor affecting the accuracy of a measured arterial pulse signal at rest. This paper presents a generalized time–frequency method for MA removal that is built upon a single-degree-of-freedom (SDOF) model of MA, where MA is manifested as [...] Read more.
Motion artifacts (MA) are a key factor affecting the accuracy of a measured arterial pulse signal at rest. This paper presents a generalized time–frequency method for MA removal that is built upon a single-degree-of-freedom (SDOF) model of MA, where MA is manifested as time-varying system parameters (TVSPs) of the SDOF system for the tissue–contact-sensor (TCS) stack between an artery and a sensor. This model distinguishes the effects of MA and respiration on the instant parameters of harmonics in a measured pulse signal. Accordingly, a generalized SDOF-model-based time–frequency (SDOF-TF) method is developed to obtain the instant parameters of each harmonic in a measured pulse signal. These instant parameters are utilized to reconstruct the pulse signal with MA removal and extract heart rate (HR) and respiration parameters. The method is applied to analyze seven measured pulse signals at rest under different physiological conditions using a tactile sensor and a PPG sensor. Some observed differences between these conditions are validated with the related findings in the literature. As compared to instant frequency, the instant initial phase of a harmonic extracts respiration parameters with better accuracy. Since HR variability (HRV) affects arterial pulse waveform (APW), the extracted APW with a constant HR serves better for deriving arterial indices. Full article
(This article belongs to the Special Issue Advances in Biosignal Sensing and Signal Processing)
Show Figures

Figure 1

Back to TopTop