Sensitivity of Fit Indices to Model Complexity and Misspecification in Exploratory Structural Equation Modeling
Abstract
1. Introduction
1.1. Exploratory Structural Equation Modeling
1.2. Goodness-of-Fit Indices
1.3. Impact of Model Complexity
1.4. The Current Study
2. Method
2.1. Population Models
2.1.1. Model Size
2.1.2. Cross-Loadings
2.1.3. Sample Sizes
2.2. Data Analysis
2.3. Outcome Evaluation
3. Results
3.1. Analysis of Variances
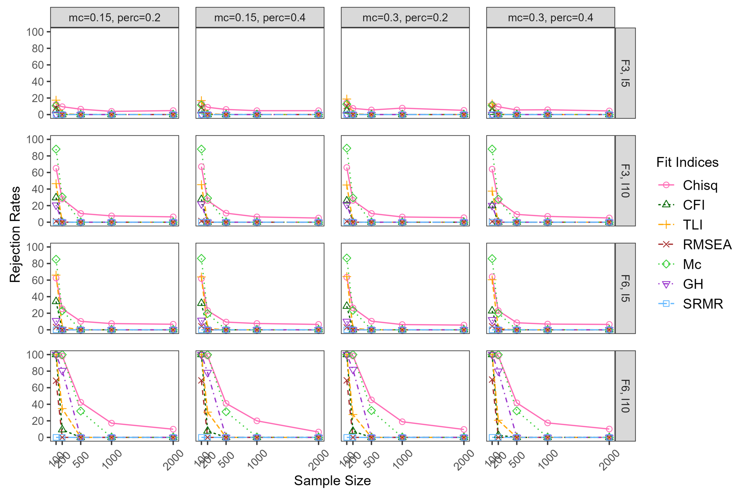
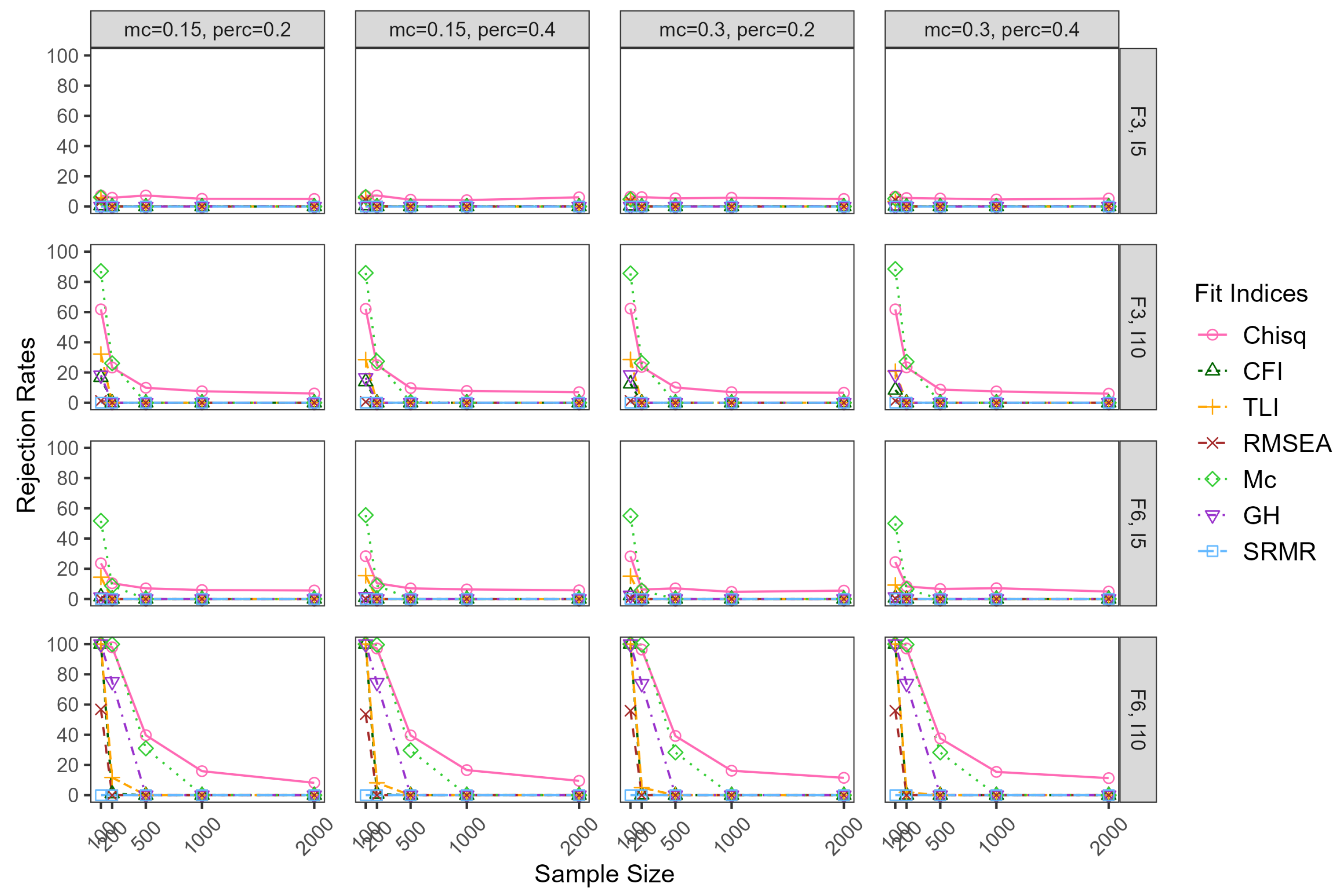
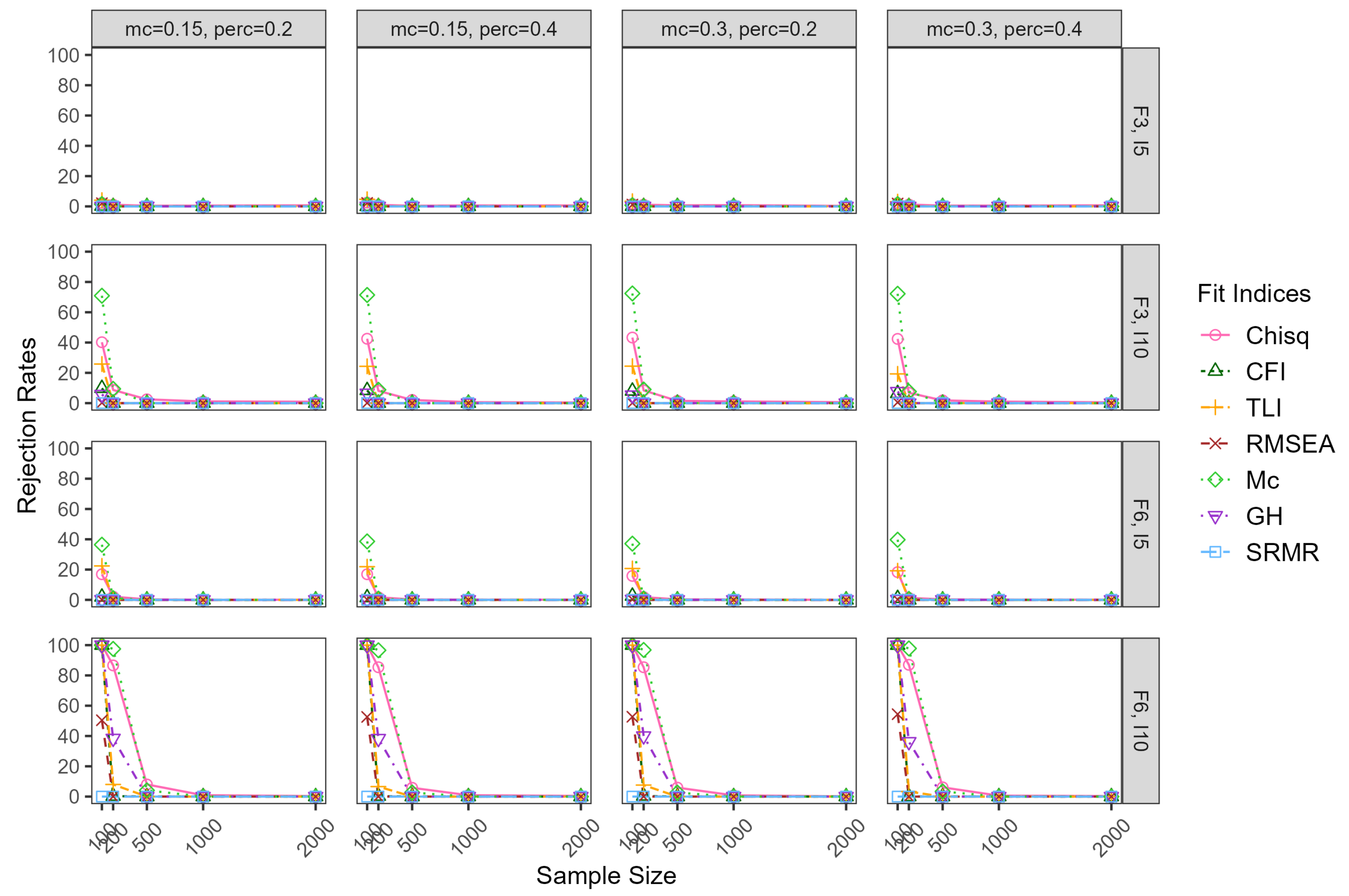
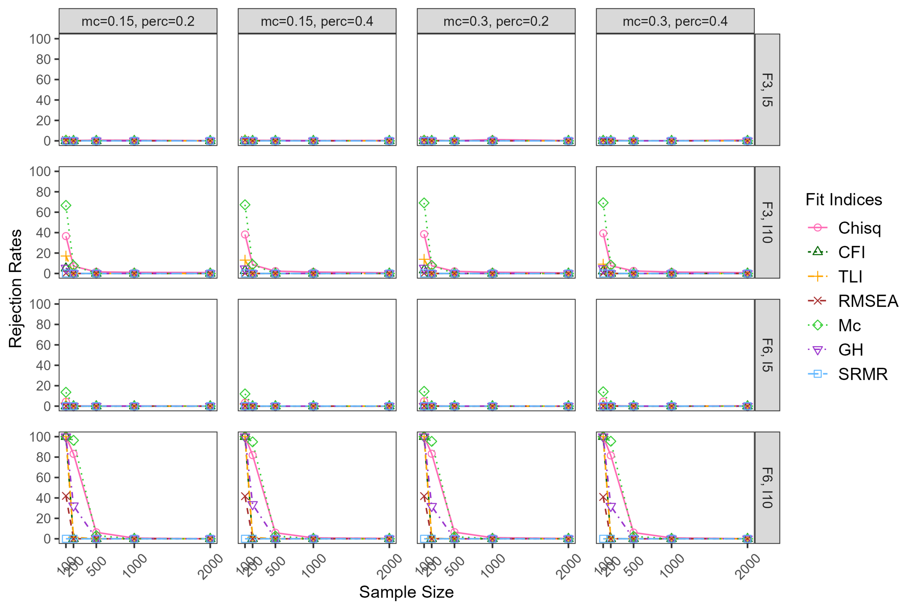
3.2. False-Positive Rates
3.3. True-Positive Rates
4. Discussion
4.1. Implications
4.2. Limitations and Future Research
Author Contributions
Funding
Institutional Review Board Statement
Informed Consent Statement
Data Availability Statement
Conflicts of Interest
References
- Arboretti, R., Ceccato, R., & Salmaso, L. (2021). Permutation testing for goodness-of-fit and stochastic ordering with multivariate mixed variables. Journal of Statistical Computation and Simulation, 91(5), 876–896. [Google Scholar] [CrossRef]
- Asparouhov, T., & Muthén, B. (2009). Exploratory structural equation modeling. Structural Equation Modeling: A Multidisciplinary Journal, 16(3), 397–438. [Google Scholar] [CrossRef]
- Bentler, P. M. (1990). Comparative fit indexes in structural models. Psychological Bulletin, 107(2), 238–246. [Google Scholar] [CrossRef]
- Bentler, P. M. (1995). EQS structural equations program manual. Multivariate Software. [Google Scholar]
- Breivik, E., & Olsson, U. H. (2001). Adding variables to improve model fit: The effect of model size on fit assessment in LISREL. In R. Cudeck, S. du Toit, & D. Sörbom (Eds.), Structural equation modeling: Present and future (pp. 169–194). Scientific Software International. [Google Scholar]
- Browne, M. W. (2001). An overview of analytic rotation in exploratory factor analysis. Multivariate Behavioral Research, 36, 111–150. [Google Scholar] [CrossRef]
- Caci, H., Morin, A. J. S., & Tran, A. (2015). Investigation of a bifactor model of the strengths and difficulties questionnaire. European Child & Adolescent Psychiatry, 24(10), 1291–1301. [Google Scholar] [CrossRef]
- Cao, C., & Liang, X. (2022a). Sensitivity of fit measures toack of measurement invariance in exploratory structural equation modeling. Structural Equation Modeling: A Multidisciplinary Journal, 29(2), 248–258. [Google Scholar]
- Cao, C., & Liang, X. (2022b). The impact of model size on the sensitivity of fit measures in measurement invariance testing. Structural Equation Modeling: A Multidisciplinary Journal, 29(5), 744–754. [Google Scholar]
- Cohen, J. (1988). Statistical power analysis for the behavioral sciences (2nd ed.). Lawrence Erlbaum Associates. [Google Scholar]
- Cudeck, R., & O’Dell, L. L. (1994). Applications of standard error estimates in unrestricted factor analysis: Significance tests for factoroadings and correlations. Psychological Bulletin, 115(3), 475–487. [Google Scholar] [CrossRef]
- Ding, L., Velicer, W. F., & Harlow, L. L. (1995). Effects of estimation methods, number of indicators per factor, and improper solutions on structural equation modeling fit indices. Structural Equation Modeling: A Multidisciplinary Journal, 2, 119–143. [Google Scholar] [CrossRef]
- Edeh, E., Liang, X., & Cao, C. (2025). Probing beyond: The impact of model size and prior informativeness on Bayesian SEM fit indices. Behavior Research Methods, 57(4), 1–25. [Google Scholar]
- Fan, X., & Sivo, S. A. (2007). Sensitivity of fit indices to model misspecification and model types. Multivariate Behavioral Research, 42, 509–529. [Google Scholar] [CrossRef]
- Fu, Y., Wen, Z., & Wang, Y. (2022). A comparison of reliability estimation based on confirmatory factor analysis and exploratory structural equation models. Educational and Psychological Measurement, 82(2), 205–224. [Google Scholar] [CrossRef]
- Garnier-Villarreal, M., & Jorgensen, T. D. (2020). Adapting fit indices for Bayesian structural equation modeling: Comparison to maximumikelihood. Psychological Methods, 25(1), 46. [Google Scholar] [CrossRef] [PubMed]
- Goretzko, D., Siemund, K., & Sterner, P. (2024). Evaluating model fit of measurement models in confirmatory factor analysis. Educational and Psychological Measurement, 84(1), 123–144. [Google Scholar] [CrossRef]
- Guo, J., Marsh, H. W., Parker, P. D., Dicke, T., Lüdtke, O., & Diallo, T. M. O. (2019). A systematic evaluation and comparison between exploratory structural equation modeling and Bayesian structural equation modeling. Structural Equation Modeling: A Multidisciplinary Journal, 26(4), 529–556. [Google Scholar] [CrossRef]
- Henson, R. K., & Roberts, J. K. (2006). Use of exploratory factor analysis in published research: Common errors and some comment on improved practice. Educational and Psychological Measurement, 66(3), 393–416. [Google Scholar] [CrossRef]
- Hoofs, H., van de Schoot, R., Jansen, N. W. H., & Kant, I. (2018). Evaluating model fit in Bayesian confirmatory factor analysis with arge samples: Simulation study introducing the BRMSEA. Educational and Psychological Measurement, 78(4), 537–568. [Google Scholar] [CrossRef]
- Howard, J. L., Gagné, M., Morin, A. J. S., & Forest, J. (2018). Using bifactor exploratory structural equation modeling to test for a continuum structure of motivation. Journal of Management, 44(7), 2638–2664. [Google Scholar] [CrossRef]
- Hu, L., & Bentler, P. M. (1999). Cutoff criteria for fit indexes in covariance structure analysis: Conventional criteria versus new alternatives. Structural Equation Modeling: A Multidisciplinary Journal, 6(1), 1–55. [Google Scholar] [CrossRef]
- Jennrich, R. I., & Sampson, P. (1966). Rotation for simpleoadings. Psychometrika, 31, 313–323. [Google Scholar] [CrossRef]
- Jöreskog, K. G. (1969). A general approach to confirmatory maximumikelihood factor analysis. Psychometrika, 34, 183–202. [Google Scholar] [CrossRef]
- Kenny, D. A., & McCoach, D. B. (2003). Effect of the number of variables on measures of fit in structural equation modeling. Structural Equation Modeling: A Multidisciplinary Journal, 10, 333–351. [Google Scholar] [CrossRef]
- Konold, T. R., & Sanders, E. A. (2024). On the behavior of fit indices for adjudicating between exploratory structural equation and confirmatory factor analysis models. Measurement: Interdisciplinary Research and Perspectives, 22(4), 341–360. [Google Scholar] [CrossRef]
- Liang, X., Li, J., Garnier-Villarreal, M., & Zhang, J. (2025). Comparing frequentist and Bayesian methods for factorial invariance withatent distribution heterogeneity. Behavioral Sciences, 15(4), 482. [Google Scholar] [CrossRef]
- Liang, X., & Luo, Y. (2020). A comprehensive comparison of model selection methods for testing factorial invariance. Structural Equation Modeling: A Multidisciplinary Journal, 27(3), 380–395. [Google Scholar] [CrossRef]
- Liang, X., Yang, Y., & Cao, C. (2020). The performance of ESEM and BSEM in structural equation models with ordinal indicators. Structural Equation Modeling: A Multidisciplinary Journal, 27(6), 874–887. [Google Scholar] [CrossRef]
- Mai, Y., Zhang, Z., & Wen, Z. (2018). Comparing exploratory structural equation modeling and existing approaches for multiple regression withatent variables. Structural Equation Modeling: A Multidisciplinary Journal, 25(5), 737–749. [Google Scholar] [CrossRef]
- Marsh, H. W., Guo, J., Dicke, T., Parker, P. D., & Craven, R. G. (2020). Confirmatory factor analysis (CFA), exploratory structural equation modeling (ESEM), and set-ESEM: Optimal balance between goodness of fit and parsimony. Multivariate Behavioral Research, 55(1), 102–119. [Google Scholar] [CrossRef]
- Marsh, H. W., Hau, K.-T., Balla, J. R., & Grayson, D. (1998). Is more ever too much? The number of indicators per factor in confirmatory factor analysis. Multivariate Behavioral Research, 33, 181–220. [Google Scholar] [CrossRef]
- Marsh, H. W., Liem, G. A. D., Martin, A. J., Morin, A. J. S., & Nagengast, B. (2011). Methodological measurement fruitfulness of exploratory structural equation modeling (ESEM): New approaches to key substantive issues in motivation and engagement. Journal of Psychoeducational Assessment, 29, 322–346. [Google Scholar] [CrossRef]
- Marsh, H. W., Lüdtke, O., Muthén, B., Asparouhov, T., Morin, A. J., Trautwein, U., & Nagengast, B. (2010). A newook at the big five factor structure through exploratory structural equation modeling. Psychological Assessment, 22(3), 471–491. [Google Scholar] [CrossRef]
- Marsh, H. W., Muthén, B. O., Asparouhov, T., Lüdtke, O., Robitzsch, A., Morin, A. J. S., & Trautwein, U. (2009). Exploratory structural equation modeling, integrating CFA and EFA: Application to students’ evaluations of university teaching. Structural Equation Modeling: A Multidisciplinary Journal, 16(3), 439–476. [Google Scholar] [CrossRef]
- McDonald, R. P. (1985). Factor analysis and related methods. Erlbaum. [Google Scholar]
- McDonald, R. P. (1989). An index of goodness-of-fit based on noncentrality. Journal of Classification, 6(1), 97–103. [Google Scholar] [CrossRef]
- McNeish, D., & Wolf, M. G. (2023). Dynamic fit index cutoffs for confirmatory factor analysis models. Psychological Methods, 28(1), 61. [Google Scholar] [CrossRef]
- Morin, A. J., & Maïano, C. (2011). Cross-validation of the short form of the physical self-inventory (PSI-S) using exploratory structural equation modeling (ESEM). Psychology of Sport and Exercise, 12(5), 540–554. [Google Scholar] [CrossRef]
- Moshagen, M. (2012). The model size effect in SEM: Inflated goodness-of-fit statistics are due to the size of the covariance matrix. Structural Equation Modeling: A Multidisciplinary Journal, 19, 86–98. [Google Scholar] [CrossRef]
- Muthén, B. (1984). A general structural equation model with dichotomous, ordered categorical, and continuousatent variable indicators. Psychometrika, 49(1), 115–132. [Google Scholar] [CrossRef]
- Muthén, B., du Toit, S. H. C., & Spisic, D. (1997). Robust inference using weightedeast squares and quadratic estimating equations inatent variable modeling with categorical and continuous outcomes (Tech. Rep.). Unpublished technical report. Available online: https://www.statmodel.com/download/Article_075.pdf (accessed on 10 November 1997).
- Shi, D., Lee, T., & Maydeu-Olivares, A. (2019). Understanding the model size effect on SEM fit indices. Educational and Psychological Measurement, 79(2), 310–334. [Google Scholar] [CrossRef]
- Shi, D., Lee, T., & Terry, R. A. (2018). Revisiting the model size effect in structural equation modeling. Structural Equation Modeling: A Multidisciplinary Journal, 25(1), 21–40. [Google Scholar] [CrossRef]
- Steiger, J. H. (1989). Ezpath: Causal modeling. SYSTAT. [Google Scholar]
- Steiger, J. H., & Lind, J. C. (1980, May 28–30). Statistically based tests for the number of common factors. Psychometric Society Annual Meeting, Iowa City, IA, USA. [Google Scholar]
- Tóth-Király, I., Bõthe, B., Rigó, A., & Orosz, G. (2017). An illustration of the exploratory structural equation modeling (ESEM) framework on the passion scale. Frontiers in Psychology, 8, 1968. [Google Scholar] [CrossRef]
- Tucker, L. R., & Lewis, C. (1973). A reliability coefficient for maximumikelihood factor analysis. Psychometrika, 38(1), 1–10. [Google Scholar] [CrossRef]
- Xiao, Y., Liu, H., & Hau, K.-T. (2019). A comparison of CFA, ESEM, and BSEM in test structure analysis. Structural Equation Modeling: A Multidisciplinary Journal, 26(5), 665–677. [Google Scholar] [CrossRef]
- Yang, Y., & Xia, Y. (2015). On the number of factors to retain in exploratory factor analysis for ordered categorical data. Behavior Research Methods, 47(3), 756–772. [Google Scholar] [CrossRef] [PubMed]
- Yu, C.-Y. (2002). Evaluating cutoff criteria of model fit indices foratent variable models with binary and continuous outcomes [Unpublished doctoral dissertation]. University of California.








| # Factors | Condition | Chisq | CFI | TLI | RMSEA | Mc | GH | SRMR |
|---|---|---|---|---|---|---|---|---|
| 1 | N | 0.21 | 0.02 | 0.09 | 0.03 | 0.18 | 0.00 | 0.03 |
| p | 0.06 | 0.17 | 0.13 | 0.18 | 0.09 | 0.33 | 0.00 | |
| corr | 0.06 | 0.18 | 0.14 | 0.35 | 0.09 | 0.33 | 0.92 | |
| N:p | 0.21 | 0.02 | 0.08 | 0.09 | 0.18 | 0.00 | 0.00 | |
| N:corr | 0.21 | 0.02 | 0.09 | 0.03 | 0.18 | 0.00 | 0.03 | |
| p:corr | 0.06 | 0.17 | 0.13 | 0.18 | 0.09 | 0.33 | 0.00 | |
| N:p:corr | 0.21 | 0.02 | 0.08 | 0.09 | 0.18 | 0.00 | 0.00 | |
| 2 | N | 0.20 | 0.03 | 0.04 | 0.01 | 0.00 | 0.02 | 0.00 |
| p | 0.08 | 0.01 | 0.02 | 0.00 | 0.33 | 0.02 | 0.00 | |
| corr | 0.10 | 0.90 | 0.82 | 0.98 | 0.33 | 0.86 | 10.00 | |
| N:p | 0.16 | 0.01 | 0.01 | 0.00 | 0.00 | 0.04 | 0.00 | |
| N:corr | 0.20 | 0.03 | 0.04 | 0.01 | 0.00 | 0.04 | 0.00 | |
| p:corr | 0.08 | 0.01 | 0.02 | 0.00 | 0.33 | 0.01 | 0.00 | |
| N:p:corr | 0.16 | 0.01 | 0.01 | 0.00 | 0.00 | 0.02 | 0.00 | |
| 3 | N | 0.46 | 0.49 | 0.67 | 0.52 | 0.50 | 0.44 | – |
| p | 0.20 | 0.07 | 0.05 | 0.07 | 0.16 | 0.11 | – | |
| N:p | 0.33 | 0.30 | 0.19 | 0.26 | 0.34 | 0.44 | – | |
| N:corr | 0.00 | 0.07 | 0.06 | 0.06 | 0.00 | 0.00 | – | |
| 4 | N | 0.43 | 0.37 | 0.50 | 0.49 | 0.44 | 0.43 | – |
| p | 0.17 | 0.09 | 0.08 | 0.06 | 0.14 | 0.11 | – | |
| N:p | 0.39 | 0.35 | 0.32 | 0.23 | 0.42 | 0.43 | – | |
| N:corr | 0.00 | 0.06 | 0.05 | 0.07 | 0.00 | 0.00 | – | |
| N:p:corr | 0.00 | 0.06 | 0.02 | 0.07 | 0.00 | 0.00 | – |
| # Factors | Condition | Chisq | CFI | TLI | RMSEA | Mc | GH | SRMR |
|---|---|---|---|---|---|---|---|---|
| 2 | N | 0.20 | 0.02 | 0.05 | 0.08 | 0.17 | 0.04 | 0.00 |
| p | 0.05 | 0.21 | 0.16 | 0.00 | 0.04 | 0.28 | 0.00 | |
| corr | 0.05 | 0.21 | 0.16 | 0.80 | 0.04 | 0.28 | 10.00 | |
| N:p | 0.20 | 0.02 | 0.05 | 0.02 | 0.17 | 0.04 | 0.00 | |
| N:corr | 0.20 | 0.02 | 0.05 | 0.08 | 0.17 | 0.04 | 0.00 | |
| p:corr | 0.05 | 0.21 | 0.16 | 0.00 | 0.04 | 0.28 | 0.00 | |
| N:p:corr | 0.20 | 0.02 | 0.05 | 0.02 | 0.17 | 0.04 | 0.00 | |
| 4 | N | 0.16 | 0.07 | 0.10 | 0.03 | 0.15 | 0.00 | 0.00 |
| p | 0.11 | 0.02 | 0.03 | 0.01 | 0.12 | 0.33 | 0.02 | |
| corr | 0.11 | 0.74 | 0.68 | 0.87 | 0.12 | 0.33 | 0.85 | |
| N:p | 0.16 | 0.04 | 0.03 | 0.03 | 0.15 | 0.00 | 0.00 | |
| N:corr | 0.16 | 0.07 | 0.10 | 0.03 | 0.15 | 0.00 | 0.00 | |
| p:corr | 0.11 | 0.02 | 0.03 | 0.01 | 0.12 | 0.33 | 0.02 | |
| N:p:corr | 0.16 | 0.04 | 0.03 | 0.03 | 0.15 | 0.00 | 0.00 | |
| 6 | N | 0.53 | 0.58 | 0.72 | 0.47 | 0.70 | 0.42 | – |
| p | 0.27 | 0.09 | 0.06 | 0.10 | 0.13 | 0.23 | – | |
| N:p | 0.17 | 0.31 | 0.14 | 0.41 | 0.15 | 0.35 | – | |
| 8 | N | 0.43 | 0.45 | 0.55 | 0.44 | 0.50 | 0.40 | – |
| p | 0.25 | 0.11 | 0.10 | 0.11 | 0.20 | 0.19 | – | |
| N:p | 0.32 | 0.44 | 0.34 | 0.44 | 0.29 | 0.40 | – |
| Area | Recommendation | |
|---|---|---|
| 1 | Dimensionality | Both m and influence fit; caution is warranted when comparing different factor structures |
| 2a | False Positives | Avoid and Mc when ; all indices unreliable when |
| 2b | Power | and Mc highest; CFI/TLI more balanced; RMSEA/SRMR/GH inconsistent |
| 2c | Cutoffs | Be cautious when applying conventional SEM cutoffs; ESEM-specific thresholds needed |
| 3 | Index Selection | Use multiple fit indices for comprehensive evaluation |
| 4 | Specification | Overspecification is Less problematic than underspecification in exploratory research |
| 5 | Transparency | Justify cutoff criteria and report fit comprehensively |
Disclaimer/Publisher’s Note: The statements, opinions and data contained in all publications are solely those of the individual author(s) and contributor(s) and not of MDPI and/or the editor(s). MDPI and/or the editor(s) disclaim responsibility for any injury to people or property resulting from any ideas, methods, instructions or products referred to in the content. |
© 2025 by the authors. Licensee MDPI, Basel, Switzerland. This article is an open access article distributed under the terms and conditions of the Creative Commons Attribution (CC BY) license (https://creativecommons.org/licenses/by/4.0/).
Share and Cite
Liang, X.; Cao, C.; Li, J.; Edeh, E.J.; Chen, J.; Lo, W.-J. Sensitivity of Fit Indices to Model Complexity and Misspecification in Exploratory Structural Equation Modeling. Psychol. Int. 2025, 7, 84. https://doi.org/10.3390/psycholint7040084
Liang X, Cao C, Li J, Edeh EJ, Chen J, Lo W-J. Sensitivity of Fit Indices to Model Complexity and Misspecification in Exploratory Structural Equation Modeling. Psychology International. 2025; 7(4):84. https://doi.org/10.3390/psycholint7040084
Chicago/Turabian StyleLiang, Xinya, Chunhua Cao, Ji Li, Ejike J. Edeh, Jiaying Chen, and Wen-Juo Lo. 2025. "Sensitivity of Fit Indices to Model Complexity and Misspecification in Exploratory Structural Equation Modeling" Psychology International 7, no. 4: 84. https://doi.org/10.3390/psycholint7040084
APA StyleLiang, X., Cao, C., Li, J., Edeh, E. J., Chen, J., & Lo, W.-J. (2025). Sensitivity of Fit Indices to Model Complexity and Misspecification in Exploratory Structural Equation Modeling. Psychology International, 7(4), 84. https://doi.org/10.3390/psycholint7040084

