Streptococcus thermophilus and Lactobacillus bulgaricus Attributes as Influenced by Carao (Cassia grandis) Fruit Parts
Abstract
1. Introduction
2. Materials and Methods
2.1. Plant Material
2.2. Experimental Design
2.3. Proximate Analysis of Plant Material
2.4. Radical-Scavenging Activity Assay and Total Polyphenol Content
2.5. Total Carotenoid Content
2.6. HPLC Determination of Sugars and Organic Acids
2.7. Bile Tolerance Test
2.8. Acid Tolerance Test
2.9. Tolerance to Simulated Gastric Juice
2.10. Lysozyme Tolerance Test
2.11. Protease Activity
2.12. Enumeration of S. thermophilus
2.13. Enumeration of L. bulgaricus
2.14. Statistical Analysis
3. Results and Discussion
3.1. Chemical Compositions and Antioxidant Activity of Different Food Sources
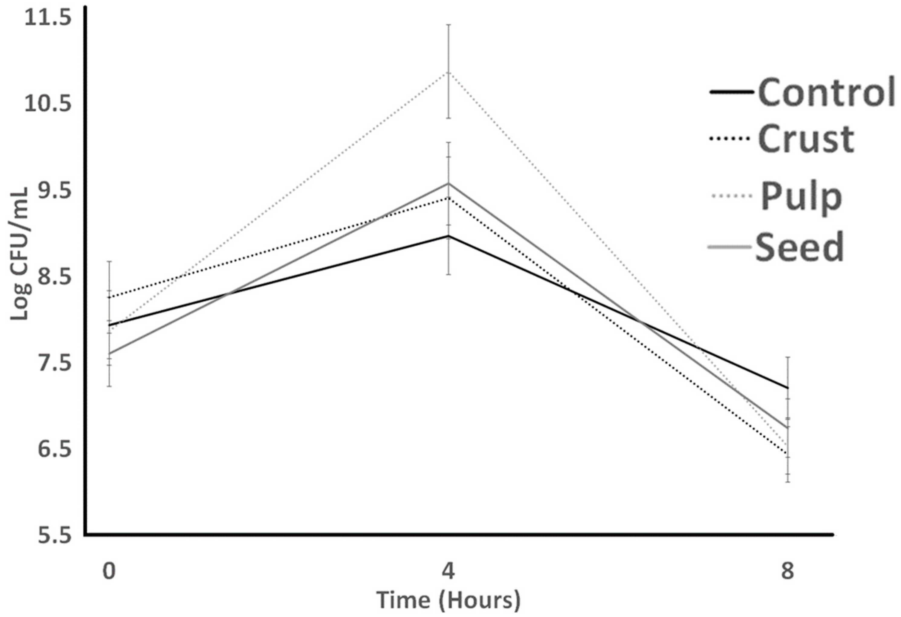
3.2. Bile Tolerance
3.3. Acid Tolerance and Gastric Juice Resistance
3.4. Resistance to Lysozyme
3.5. Protease Activity
4. Conclusions
Author Contributions
Funding
Data Availability Statement
Acknowledgments
Conflicts of Interest
References
- Drago, L.; Rodighiero, V.; Celeste, T.; Rovetto, L.; De Vecchi, E. Microbiological evaluation of commercial probiotic products available in the USA in 2009. J. Chemother. 2010, 22, 373–377. [Google Scholar] [CrossRef] [PubMed]
- Ullah, M.; Raza, A.; Ye, L.; Yu, Z. Viability and Composition Validation of Commercial Probiotic Products by Selective Culturing Combined with Next-Generation Sequencing. Microorganisms 2019, 7, 188. [Google Scholar] [CrossRef] [PubMed]
- Obrenovich, M.E.M. Leaky Gut, Leaky Brain? Microorganisms 2018, 6, 107. [Google Scholar] [CrossRef] [PubMed]
- Küçükgöz, K.; Trząskowska, M. Nondairy Probiotic Products: Functional Foods That Require More Attention. Nutrients 2022, 14, 753. [Google Scholar] [CrossRef] [PubMed]
- Aleman, R.S.; Avila, D.; Avila, A.; Marcia, J.; Picha, D.; Aryana, K.; Montero-Fernández, I. Effects of Weevil (Rhynchophorus palmarum), Teosinte (Dioon mejiae) and Caesar’s Mushroom (Amanita caesarea) on the Properties of Lactobacillus acidophilus LA-K. Fermentation 2023, 9, 852. [Google Scholar] [CrossRef]
- Lim, T.K. Solanum mammosum. In Edible Medicinal and Non-Medicinal Plants; Springer: Berlin/Heidelberg, Germany, 2013; Volume 6, pp. 364–369. [Google Scholar]
- Bastias-Montes, J.-M.; Flores-Varela, L.-E.; Reyes-Calderón, O.-A.; Vidal-San-Martín, C.; Muñoz-Fariña, O.; Quevedo-León, R.; Acuña-Nelson, S.-M. Teosinte (Dioon mejiae) Flour: Nutritional and Physicochemical Characterization of the Seed Flour of the Living Fossil in Honduras. Agronomy 2020, 10, 481. [Google Scholar] [CrossRef]
- Niemeyer, K.; Bell, I.; Koithan, M. Traditional knowledge of Western herbal medicine and complex systems science. J. Herb. Med. 2013, 3, 112–119. [Google Scholar] [CrossRef]
- Aleman, R.S.; Paz, D.; Cedillos, R.; Tabora, M.; Olson, D.W.; Aryana, K. Attributes of Culture Bacteria as Influenced by Ingredients That Help Treat Leaky Gut. Microorganisms 2023, 11, 893. [Google Scholar] [CrossRef]
- Fuentes, J.A.M.; López-Salas, L.; Borrás-Linares, I.; Navarro-Alarcón, M.; Segura-Carretero, A.; Lozano-Sánchez, J. Development of an innovative pressurized liquid extraction procedure by response surface methodology to recover bioactive compounds from Carao Tree Seeds. Foods 2021, 10, 398. [Google Scholar] [CrossRef]
- Marcía-Fuentes, J.; Santos-Alemán, R.; Borrás-Linares, I.; Sánchez, J.L. The Carao (Cassia grandis L.): Its Potential Usage in Pharmacological, Nutritional and Medicinal Applications. In Innovations in Biotechnology for a Sustainable Future; Springer: Cham, Switzerland, 2021; pp. 403–427. [Google Scholar]
- Aleman, R.S.; Marcia, J.; Page, R.; Kazemzadeh Pournaki, S.; Martín-Vertedor, D.; Manrique-Fernández, V.; Montero-Fernández, I.; Aryana, K. Effects of Yogurt with Carao (Cassia grandis) on Intestinal Barrier Dysfunction, α-glycosidase Activity, Lipase Activity, Hypoglycemic Effect, and Antioxidant Activity. Fermentation 2023, 9, 566. [Google Scholar] [CrossRef]
- Delorme, C.; Bartholini, C.; Bolotin, A.; Ehrlich, S.D.; Renault, P. Emergence of a cell wall protease in the Streptococcus thermophilus population. Appl. Environ. Microbiol. 2010, 76, 451–460. [Google Scholar] [CrossRef]
- Rodríguez-Serrano, G.M.; García-Garibay, M.; Cruz-Guerrero, A.E.; Gómez-Ruiz, L.; Ayala-Nino, A.; Castaneda-Ovando, A.; Gonzalez-Olivares, L.G. Proteolytic System of Streptococcus thermophilus. J. Microbiol. Biotechnol. 2018, 28, 1581–1588. [Google Scholar] [CrossRef]
- Association of Official Analytical Chemists International. Official Methods, 20th ed.; AOAC: Rockville, MD, USA, 2019; Available online: https://www.aoac.org/official-methods-of-analysis-21st-edition-2019/ (accessed on 29 July 2020).
- Swain, T.; Hillis, W.E. The phenolic constituents of Prunus domestica. I.—The quantitative analysis of phenolic constituents. J. Sci. Food Agric. 1959, 10, 63–68. [Google Scholar] [CrossRef]
- Brand-Williams, W.; Cuvelier, M.E.; Berset, C. Use of a free radical method to evaluate antioxidant activity. LWT Food Sci. Technol. 1995, 28, 25–30. [Google Scholar] [CrossRef]
- Ibragic, S.; Barbini, S.; Oberlerchner, J.T.; Potthast, A.; Rosenau, T.; Böhmdorfer, S. Antioxidant Properties and Qualitative Analysis of Phenolic Constituents in Ephedra spp. by HPTLC Together with Injection Port Derivatization GC–MS. J. Chromatogr. B 2021, 1180, 122877. [Google Scholar] [CrossRef]
- Cano, M.P.; Gómez-Maqueo, A.; Fernández-López, R.; Welti-Chanes, J.; García-Cayuela, T. Impact of high hydrostatic pressure and thermal treatment on the stability and bioaccessibility of carotenoid and carotenoid esters in astringent persimmon (Diospyros kaki Thunb, var. Rojo Brillante). Food Res. Int. 2019, 123, 538–549. [Google Scholar] [CrossRef]
- Meléndez-Martínez, A.J.; Britton, G.; Vicario, I.M.; Heredia, F.J. Relationship between the colour and the chemical structure of carotenoid pigments. Food Chem. 2007, 101, 1145–1150. [Google Scholar] [CrossRef]
- Picha, D.H. HPLC determination of sugars in raw and baked sweet potatoes. J. Food Sci. 1985, 50, 1189–1190. [Google Scholar] [CrossRef]
- Zeppa, G.; Conterno, L.; Gerbi, V. Determination of organic acids, sugars, diacetyl, and acetoin in cheese by high-performance liquid chromatography. J. Agric. Food Chem. 2001, 49, 2722–2726. [Google Scholar] [CrossRef]
- Pereira, D.I.A.; Gibson, G.R. Cholesterol assimilation by lactic acid bacteria and bifidobacteria isolated from the human gut. Appl. Environ. Microbiol. 2002, 68, 4689–4693. [Google Scholar] [CrossRef]
- García-Ruiz, A.; González de Llano, D.; Esteban-Fernández, A.; Requena, T.; Bartolomé, B.; Moreno-Arribas, M.B. Assessment of probiotic properties in lactic acid bacteria isolated from wine. Food Microbiol. 2014, 44, 220–225. [Google Scholar] [CrossRef]
- Liao, N.; Luo, B.; Gao, J.; Li, X.; Zhao, Z.; Zhang, Y.; Ni, Y.; Tian, F. Oligosaccharides as co-encapsulating agents: Effect on oral Lactobacillus fermentum survival in a simulated gastrointestinal tract. Biotechnol. Lett. 2019, 41, 263–272. [Google Scholar] [CrossRef]
- Zago, M.; Fornasari, M.E.; Carminati, D.; Burns, P.; Suàrez, V.; Vinderola, G.; Reinheimer, J.; Giraffa, G. Characterization and probiotic potential of Lactobacillus plantarum strains isolated from cheeses. Food Microbiol. 2011, 28, 1033–1040. [Google Scholar] [CrossRef]
- Oberg, C.J.; Weimer, B.C.; Moyes, L.V.; Brown, R.J.; Richardson, G.H. Proteolytic Characterization of Lactobacillus delbrueckii ssp. bulgaricus Strains by the o-Phthaldialdehyde Test and Amino Acid Analysis. J. Dairy Sci. 1991, 74, 398–403. [Google Scholar] [CrossRef]
- Fuentes, J.A.M.; Fernández, I.M.; Fernández, H.Z.; Sánchez, J.L.; Alemán, R.S.; Navarro-Alarcón, M.; Borrás-Linares, I.; Maldonado, S.A.S. Quantification of Bioactive Molecules, Minerals and Bromatological Analysis in Carao (Cassia grandis). J. Agric. Sci. 2020, 12, 88. [Google Scholar] [CrossRef]
- Theegala, M.; Arévalo, R.A.C.; Viana, V.; Olson, D.; Aryana, K. Effect of Flaxseed on Bile Tolerances of Lactobacillus acidophilus, Lactobacillus bulgaricus, and Streptococcus thermophilus. Food Nutr. Sci. 2021, 12, 670–680. [Google Scholar]
- Vargas, L.; Olson, D.; Aryana, K. Whey protein isolate improves acid and bile tolerances of Streptococcus thermophilus ST-M5 and Lactobacillus delbrueckii ssp. bulgaricus LB-12. J. Dairy Sci. 2015, 98, 2215–2221. [Google Scholar] [CrossRef] [PubMed]
- Paz, D.; Aleman, R.S.; Cedillos, R.; Olson, D.W.; Aryana, K.; Marcia, J.; Boeneke, C. Probiotic characteristics of Streptococcus thermophilus and Lactobacillus delbrueckii ssp. bulgaricus as influenced by carao (Cassia grandis). Fermentation 2022, 8, 499. [Google Scholar] [CrossRef]
- Marcia, J.; Aleman, R.S.; Montero-Fernández, I.; Martín-Vertedor, D.; Manrique-Fernández, V.; Moncada, M.; Kayanush, A. Attributes of Lactobacillus acidophilus as Effected by Carao (Cassia grandis) Pulp Powder. Fermentation 2023, 9, 408. [Google Scholar] [CrossRef]
- Khorshidian, N.; Khanniri, E.; Koushki, M.R.; Sohrabvandi, S.; Yousefi, M. An overview of antimicrobial activity of lysozyme and its functionality in cheese. Front. Nutr. 2022, 9, 833618. [Google Scholar] [CrossRef]
- Jana, M.; Ghosh, A.; Santra, A.; Kar, R.K.; Misra, A.K.; Bhunia, A. Synthesis of novel muramic acid derivatives and their interaction with lysozyme: Action of lysozyme revisited. J. Colloid Interface Sci. 2017, 498, 395–404. [Google Scholar] [CrossRef]
- Salton, M.R.J. The properties of lysozyme and its action on microorganisms. Bacteriol. Rev. 1957, 21, 82–100. [Google Scholar] [CrossRef]
- Guentzel, M.N. Escherichia, Klebsiella, Enterobacter, Serratia, Citrobacter, and Proteus. In Medical Microbiology, 4th ed.; Baron, S., Ed.; University of Texas Medical Branch at Galveston: Galveston, TX, USA, 1996; Chapter 26. Available online: https://www.ncbi.nlm.nih.gov/books/NBK8035/ (accessed on 2 March 2023).
- Yuan, L.; Sadiq, F.A.; Burmølle, M.; Wang, N.; He, G. Insights into Psychrotrophic Bacteria in Raw Milk: A Review. J. Food Prot 2019, 82, 1148–1159. [Google Scholar] [CrossRef]
- Capodifoglio, E.; Vidal, A.M.C.; Lima, J.A.S.; Bartoletto, F.; D’Abreu, L.F.; Gonçalves, A.C.S.; Vaz, A.C.N.; de Carvalho Balieiro, J.C.; Netto, A.S. Lipolytic and proteolytic activity of Pseudomonas spp. isolated during milking and storage of refrigerated raw milk. J. Dairy. Sci. 2016, 99, 5214–5223. [Google Scholar] [CrossRef]
- Li, S.; Tang, S.; He, Q.; Hu, J.; Zheng, J. Changes in Proteolysis in Fermented Milk Produced by Streptococcus thermophilus in Co-Culture with Lactobacillus plantarum or Bifidobacterium animalis subsp. lactis During Refrigerated Storage. Molecules 2019, 24, 3699. [Google Scholar] [CrossRef]










| Carao Tissue | Moisture (%) | Ash (%) | Lipids (%) | Protein (%) | Carbohydrates (%) |
|---|---|---|---|---|---|
| Seed | 12.45 ± 0.67 a | 1.97 ± 0.34 b | 0.15 ± 0.09 b | 10.23 ± 0.43 b | 75.20 ± 0.38 b |
| Pulp | 12.55 ± 0.44 a | 6.45 ± 0.15 a | 0.66 ± 0.07 a | 16.56 ± 0.21 a | 63.78 ± 0.21 c |
| Crust | 10.23 ± 0.38 b | 2.03 ± 0.07 b | 0.19 ± 0.05 b | 2.41 ± 0.45 c | 85.14 ± 0.27 a |
| Carao Tissue | TPC (μg GAE/mL) | TCC (mg Q/mL) | Antioxidant Activity (%) |
|---|---|---|---|
| Seeds | 766.87 ± 11.56 a | 7.43 ± 0.31 a | 40.76 ± 1.87 a |
| Pulp | 695.94 ± 7.40 b | 6.12 ± 0.45 b | 30.45 ± 2.76 b |
| Crust | 245.55 ± 10.48 c | 4.73 ± 0.33 c | 22.88 ± 2.84 a |
| Carao Tissue | Sucrose (g/100 g) | Fructose (g/100 g) | Glucose (g/100 g) | Maltose (g/100 g) |
|---|---|---|---|---|
| Seed | 0.51 ± 0.49 | Not detected | Not detected | Not detected |
| Pulp | 9.07 ± 0.78 b | 3.76 ± 0.06 b | 1.55 ± 0.15 b | 0.35 ± 0.05 b |
| Crust | 0.15 ± 0.02 c | 0.26 ± 0.03 c | 0.07 ± 0.02 a | Not detected |
| Carao Tissue | Citric (g/100 g) | Tartaric (g/100 g) | L- Malic (g/100 g) | Quinic (g/100 g) | Succinic (g/100 g) |
|---|---|---|---|---|---|
| Seed | 1.02 ± 0.19 | Not detected | Not detected | Not detected | 0.27 ± 0.02 b |
| Pulp | Not detected | Not detected | Not detected | 0.30 ± 0.03 | 0.35 ± 0.05 a |
| Crust | Not detected | 0.13 ± 0.12 | 0.44 ± 0.06 | Not detected | 2.01 ± 0.06 a |
Disclaimer/Publisher’s Note: The statements, opinions and data contained in all publications are solely those of the individual author(s) and contributor(s) and not of MDPI and/or the editor(s). MDPI and/or the editor(s) disclaim responsibility for any injury to people or property resulting from any ideas, methods, instructions or products referred to in the content. |
© 2024 by the authors. Licensee MDPI, Basel, Switzerland. This article is an open access article distributed under the terms and conditions of the Creative Commons Attribution (CC BY) license (https://creativecommons.org/licenses/by/4.0/).
Share and Cite
Tabora, M.M.; Aleman, R.S.; Castro, A.; Avila, A.; Avila, D.; Picha, D.; Cedillos, R.; Kazemzadeh, S.; Pournaki, L.K.; Yaday, A.; et al. Streptococcus thermophilus and Lactobacillus bulgaricus Attributes as Influenced by Carao (Cassia grandis) Fruit Parts. Bacteria 2024, 3, 42-58. https://doi.org/10.3390/bacteria3020004
Tabora MM, Aleman RS, Castro A, Avila A, Avila D, Picha D, Cedillos R, Kazemzadeh S, Pournaki LK, Yaday A, et al. Streptococcus thermophilus and Lactobacillus bulgaricus Attributes as Influenced by Carao (Cassia grandis) Fruit Parts. Bacteria. 2024; 3(2):42-58. https://doi.org/10.3390/bacteria3020004
Chicago/Turabian StyleTabora, Miguel Mariano, Ricardo S. Aleman, Ashley Castro, Allan Avila, Dany Avila, David Picha, Roberto Cedillos, Shirin Kazemzadeh, Leyla K. Pournaki, Ajitesh Yaday, and et al. 2024. "Streptococcus thermophilus and Lactobacillus bulgaricus Attributes as Influenced by Carao (Cassia grandis) Fruit Parts" Bacteria 3, no. 2: 42-58. https://doi.org/10.3390/bacteria3020004
APA StyleTabora, M. M., Aleman, R. S., Castro, A., Avila, A., Avila, D., Picha, D., Cedillos, R., Kazemzadeh, S., Pournaki, L. K., Yaday, A., Marcia, J., & Kayanush, A. (2024). Streptococcus thermophilus and Lactobacillus bulgaricus Attributes as Influenced by Carao (Cassia grandis) Fruit Parts. Bacteria, 3(2), 42-58. https://doi.org/10.3390/bacteria3020004

