Indexes of Fat Oxidation from Ramp vs. Graded Incremental Protocols in Postmenopausal Women
Abstract
1. Introduction
2. Materials and Methods
2.1. Participants
2.2. Protocol
2.3. Ramp Incremental Protocol
2.4. Graded Incremental Protocol
2.5. Data Analysis
2.6. Statistical Analysis
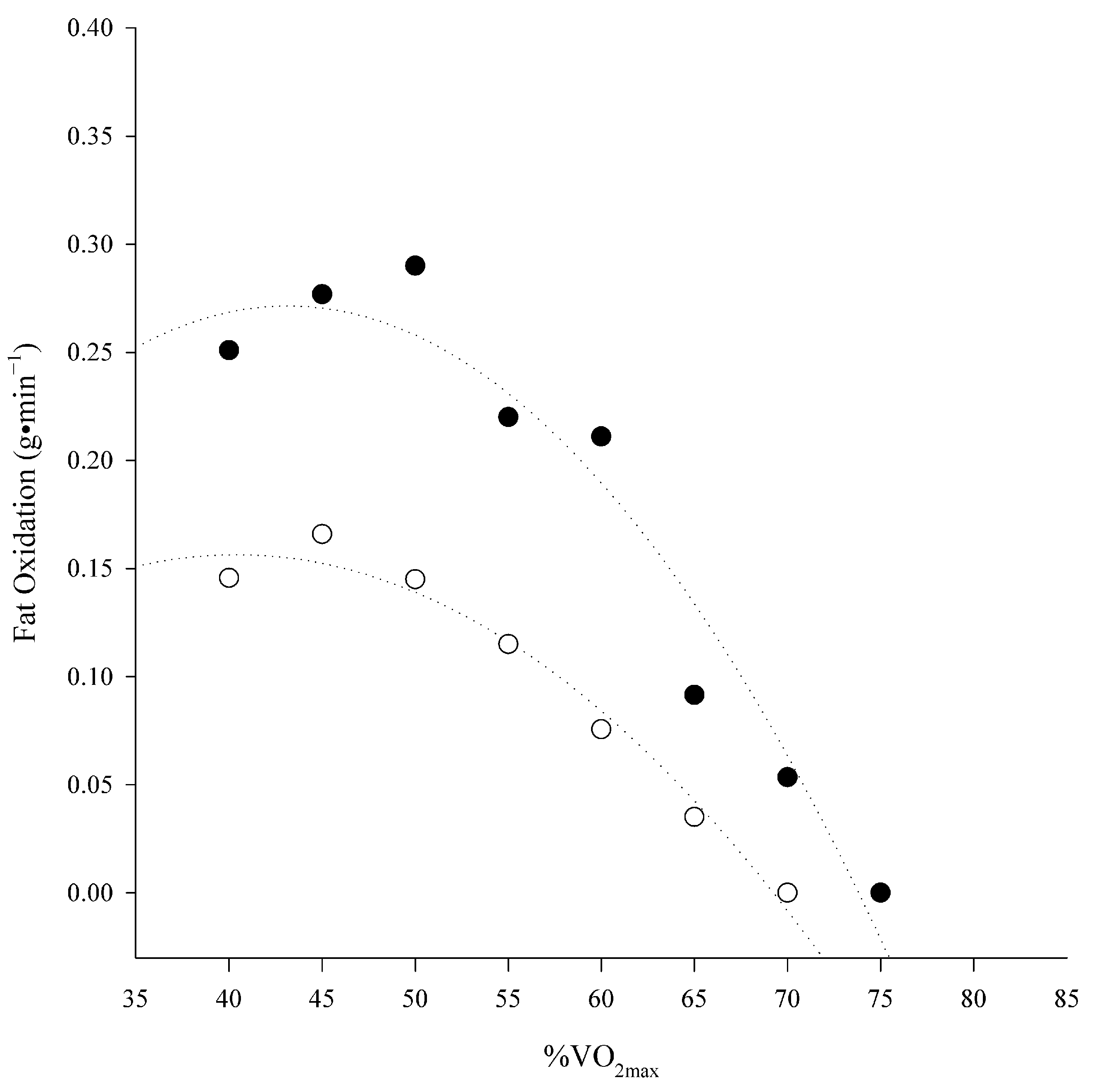
3. Results
4. Discussion
5. Conclusions
Author Contributions
Funding
Institutional Review Board Statement
Informed Consent Statement
Data Availability Statement
Conflicts of Interest
References
- Smith, R.L.; Soeters, M.R.; Wüst, R.C.I.; Houtkooper, R.H. Metabolic Flexibility as an Adaptation to Energy Resources and Requirements in Health and Disease. Endocr. Rev. 2018, 39, 489–517. [Google Scholar] [CrossRef] [PubMed]
- Goodpaster, B.H.; Sparks, L.M. Metabolic Flexibility in Health and Disease. Cell Metab. 2017, 25, 1027–1036. [Google Scholar] [CrossRef] [PubMed]
- McFarlin, B.K.; Strohacker, K. Influence of obesity physical inactivity and weight cycling on chronic inflammation. Front. Biosci. 2010, 2E, 98–104. [Google Scholar] [CrossRef] [PubMed]
- Galgani, J.E.; Moro, C.; Ravussin, E. Metabolic flexibility and insulin resistance. A.J.P. Endocrinol. Metab. 2008, 295, E1009–E1017. [Google Scholar] [CrossRef]
- Amaro-Gahete, F.J.; Sanchez-Delgado, G.; Ara, I.; Ruiz, J.R. Cardiorespiratory Fitness May Influence Metabolic Inflexibility During Exercise in Obese Persons. J. Clin. Endocrinol. Metab. 2019, 104, 5780–5790. [Google Scholar] [CrossRef] [PubMed]
- Lovejoy, J.C.; Champagne, C.M.; de Jonge, L.; Xie, H.; Smith, S.R. Increased visceral fat and decreased energy expenditure during the menopausal transition. Int. J. Obes. 2008, 32, 949–958. [Google Scholar] [CrossRef]
- Isacco, L.; Miles-Chan, J.L. Gender-specific considerations in physical activity, thermogenesis and fat oxidation: Implications for obesity management. Obes. Rev. 2018, 19, 73–83. [Google Scholar] [CrossRef]
- Abildgaard, J.; Pedersen, A.T.; Green, C.J.; Harder-Lauridsen, N.M.; Solomon, T.P.; Thomsen, C.; Juul, A.; Pedersen, M.; Pedersen, J.T.; Mortensen, O.H.; et al. Menopause is associated with decreased whole body fat oxidation during exercise. Am. J. Physiol. Metab. 2013, 304, E1227–E1236. [Google Scholar] [CrossRef] [PubMed]
- Levadoux, E.; Morio, B.; Montaurier, C.; Puissant, V.; Boirie, Y.; Fellmann, N.; Picard, B.; Rousset, P.; Beaufrere, B.; Ritz, P. Reduced whole-body fat oxidation in women and in the elderly. Int. J. Obes. 2001, 25, 39–44. [Google Scholar] [CrossRef]
- Lizcano, F.; Guzmán, G. Estrogen Deficiency and the Origin of Obesity during Menopause. BioMed Res. Int. 2014, 2014, 757461. [Google Scholar] [CrossRef]
- Cooper, A.J.; Gupta, S.R.; Moustafa, A.F.; Chao, A.M. Sex/Gender Differences in Obesity Prevalence, Comorbidities, and Treatment. Curr. Obes. Rep. 2021, 10, 458–466. [Google Scholar] [CrossRef] [PubMed]
- Hwang, J.; Park, S. Gender-Specific Risk Factors and Prevalence for Sarcopenia among Community-Dwelling Young-Old Adults. Int. J. Environ. Res. Public Health 2022, 19, 7232. [Google Scholar] [CrossRef] [PubMed]
- Beigh, S.H.; Jain, S. Prevalence of metabolic syndrome and gender differences. Bioinformation 2012, 8, 613–616. [Google Scholar] [CrossRef] [PubMed]
- Kautzky-Willer, A.; Leutner, M.; Harreiter, J. Sex Differences in Type 2 Diabetes; Springer Science and Business Media Deutschland GmbH: Berlin/Heidelberg, Germany, 2023. [Google Scholar] [CrossRef]
- Achten, J.; Gleeson, M.; Jeukendrup, A.E. Determination of the exercise intensity that elicits maximal fat oxidation. Med. Sci. Sports Exerc. 2002, 34, 92–97. [Google Scholar] [CrossRef] [PubMed]
- Meyer, T.; Gäßler, N.; Kindermann, W. Determination of “Fatmax” with 1 h cycling protocols of constant load. Appl. Physiol. Nutr. Metab. 2007, 32, 249–256. [Google Scholar] [CrossRef] [PubMed]
- Amaro-Gahete, F.J.; Sanchez-Delgado, G.; Jurado-Fasoli, L.; De-La-O, A.; Castillo, M.J.; Helge, J.W.; Ruiz, J.R. Assessment of maximal fat oxidation during exercise: A systematic review. Scand. J. Med. Sci. Sports 2019, 29, 910–921. [Google Scholar] [CrossRef]
- Caen, K.; Boone, J.; Bourgois, J.G.; Colosio, A.L.; Pogliaghi, S. Translating Ramp VO2 into Constant Power Output: A Novel Strategy that Minds the Gap. Med. Sci. Sports Exerc. 2020, 52, 2020–2028. [Google Scholar] [CrossRef] [PubMed]
- Keir, D.A.; Pogliaghi, S.; Murias, J.M.; Keir, D.A.; Pogliaghi, S.; Murias, J.M. The Respiratory Compensation Point and the Deoxygenation Break Point Are Valid Surrogates for Critical Power and Maximum Lactate Steady State. Med. Sci. Sports Exerc. 2018, 50, 2375–2378. [Google Scholar] [CrossRef] [PubMed]
- Iannetta, D.; Murias, J.M.; Keir, D.A. A Simple Method to Quantify the VO2 Mean Response Time of Ramp-Incremental Exercise. Med. Sci. Sports Exerc. 2019, 51, 1080–1086. [Google Scholar] [CrossRef] [PubMed]
- Micheli, L.; Teso, M.; Guluzade, N.A.; Rizzo, M.; Marini, C.F.; Lucertini, F.; Keir, D.A.; Pogliaghi, S. A comparison of critical power and the respiratory compensation point at slower and faster pedaling cadences. Appl. Physiol. Nutr. Metab. 2024; in press. [Google Scholar] [CrossRef]
- Beaver, W.L.; Wasserman, K.; Whipp, B.J. A new method for detecting anaerobic threshold by gas exchange. J. Appl. Physiol. 1986, 60, 2020–2027. [Google Scholar] [CrossRef]
- Takagi, S.; Sakamoto, S.; Midorikawa, T.; Konishi, M.; Katsumura, T. Determination of the exercise intensity that elicits maximal fat oxidation in short-time testing. J. Sports Sci. 2013, 32, 175–182. [Google Scholar] [CrossRef] [PubMed]
- Michalik, K.; Danek, N.; Zatoń, M. Comparison of the Ramp and Step Incremental Exercise Test Protocols in Assessing the Maximal Fat Oxidation Rate in Youth Cyclists. J. Hum. Kinet. 2021, 80, 163–172. [Google Scholar] [CrossRef]
- Devries, M.C. Sex-based differences in endurance exercise muscle metabolism: Impact on exercise and nutritional strategies to optimize health and performance in women. Exp. Physiol. 2015, 101, 243–249. [Google Scholar] [CrossRef] [PubMed]
- Stisen, A.B.; Stougaard, O.; Langfort, J.; Helge, J.W.; Sahlin, K.; Madsen, K. Maximal fat oxidation rates in endurance trained and untrained women. Eur. J. Appl. Physiol. 2006, 98, 497–506. [Google Scholar] [CrossRef]
- Iannetta, D.; Mackie, M.Z.; Keir, D.A.; Murias, J.M. A Single Test Protocol to Establish the Full Spectrum of Exercise Intensity Prescription. Med. Sci. Sports Exerc. 2023, 55, 2271–2280. [Google Scholar] [CrossRef] [PubMed]
- Pogliaghi, S.; Teso, M.; Ferrari, L.; Boone, J.; Murias, J.M.; Colosio, A.L. Easy Prediction of the Maximal Lactate Steady-State in Young and Older Men and Women. J. Sports Sci. Med. 2023, 22, 68–74. [Google Scholar] [CrossRef]
- Ferrari, L.; Colosio, A.L.; Teso, M.; Pogliaghi, S. Performance and Anthropometrics of Classic Powerlifters: Which Characteristics Matter? J. Strength Cond. Res. 2020, 36, 1003–1010. [Google Scholar] [CrossRef] [PubMed]
- Craig, C.L.; Marshall, A.L.; Sjöström, M.; Bauman, A.E.; Booth, M.L.; Ainsworth, B.E.; Pratt, M.; Ekelund, U.L.; Yngve, A.; Sallis, J.F.; et al. International Physical Activity Questionnaire: 12-Country Reliability and Validity. Med. Sci. Sports Exerc. 2003, 35, 1381–1395. [Google Scholar] [CrossRef]
- Stuer, L.; Teso, M.; Colosio, A.L.; Loi, M.; Mucci, P.; Pogliaghi, S.; Boone, J.; Caen, K. The impact of skinfold thickness and exercise intensity on the reliability of NIRS in the vastus lateralis. Eur. J. Appl. Physiol. 2024, in press. [CrossRef]
- De Roia, G.; Pogliaghi, S.; Adami, A.; Papadopoulou, C.; Capelli, C. Effects of priming exercise on the speed of adjustment of muscle oxidative metabolism at the onset of moderate-intensity step transitions in older adults. Am. J. Physiol. Integr. Comp. Physiol. 2012, 302, R1158–R1166. [Google Scholar] [CrossRef] [PubMed]
- Colosio, A.L.; Teso, M.; Pogliaghi, S. Prolonged static stretching causes acute, nonmetabolic fatigue and impairs exercise tolerance during severe-intensity cycling. Appl. Physiol. Nutr. Metab. 2020, 45, 902–910. [Google Scholar] [CrossRef]
- Pérez-Martin, A.; Dumortier, M.; Raynaud, E.; Brun, J.F.; Fédou, C.; Bringer, J.; Mercier, J. Balance of substrate oxidation during submaximal exercise in lean and obese people. Diabetes Metab. 2001, 27, 466–474. [Google Scholar]
- Meyer, T.; Folz, C.; Rosenberger, F.; Kindermann, W. The Reliability of Fatmax. Scand. J. Med. Sci. Sports 2009, 19, 213–221. [Google Scholar] [CrossRef]
- Moreira, H.; Passos, B.; Rocha, J.; Reis, V.; Carneiro, A.; Gabriel, R. Cardiorespiratory Fitness and Body Composition in Postmenopausal Women. J. Hum. Kinet. 2014, 43, 139–148. [Google Scholar] [CrossRef] [PubMed]
- Riebe, D.; Ehrman, J.; Liguori, G.; Magal, M. ACSM’s Guidelines for Exercise Testing and Pescription, 10th ed.; Wolters Kluwer: Philadelphia, PA, USA, 2018. [Google Scholar]
- Amaro-Gahete, F.J.; Sanchez-Delgado, G.; Ruiz, J.R. Commentary: Contextualising Maximal Fat Oxidation During Exercise: Determinants and Normative Values. Front. Physiol. 2018, 9, 1460. [Google Scholar] [CrossRef]
- Wang, J.; Tan, S.; Cao, L. Exercise training at the maximal fat oxidation intensity improved health-related physical fitness in overweight middle-aged women. J. Exerc. Sci. Fit. 2015, 13, 111–116. [Google Scholar] [CrossRef]
- Jiang, Y.; Tan, S.; Wang, Z.; Guo, Z.; Li, Q.; Wang, J. Aerobic exercise training at maximal fat oxidation intensity improves body composition, glycemic control, and physical capacity in older people with type 2 diabetes. J. Exerc. Sci. Fit. 2019, 18, 7–13. [Google Scholar] [CrossRef]
- Kleis-Olsen, A.S.; Farlov, J.E.; Petersen, E.A.; Schmücker, M.; Flensted-Jensen, M.; Blom, I.; Ingersen, A.; Hansen, M.; Helge, J.W.; Dela, F.; et al. Metabolic flexibility in postmenopausal women: Hormone replacement therapy is associated with higher mitochondrial content, respiratory capacity, and lower total fat mass. Acta Physiol. 2024, 240, e14117. [Google Scholar] [CrossRef] [PubMed]
- Tamariz-Ellemann, A.; Wickham, K.A.; Nørregaard, L.B.; Gliemann, L.; Hellsten, Y. The time is now: Regular exercise maintains vascular health in ageing women. J. Physiol. 2023, 601, 2085–2098. [Google Scholar] [CrossRef]
- Parker, B.A.; Kalasky, M.J.; Proctor, D.N. Evidence for sex differences in cardiovascular aging and adaptive responses to physical activity. Eur. J. Appl. Physiol. 2010, 110, 235–246. [Google Scholar] [CrossRef] [PubMed]
- Ambikairajah, A.; Walsh, E.; Cherbuin, N. Lipid profile differences during menopause: A review with meta-analysis. Menopause 2019, 26, 1327–1333. [Google Scholar] [CrossRef]
- Carr, M.C. The Emergence of the Metabolic Syndrome with Menopause. J. Clin. Endocrinol. Metab. 2003, 88, 2404–2411. [Google Scholar] [CrossRef] [PubMed]
- Simpkins, J.W.; Yang, S.-H.; Sarkar, S.N.; Pearce, V. Estrogen actions on mitochondria—Physiological and pathological implications. Mol. Cell. Endocrinol. 2008, 290, 51–59. [Google Scholar] [CrossRef] [PubMed]
- Rostamian, M.; Bijeh, N. The Effect of short-term aerobic exercise and green tea consumption on MFO, Fatmax, body composition and lipid profile in sedentary postmenopausal women. Int. J. Appl. Exerc. Physiol. 2017, 6, 21–31. [Google Scholar] [CrossRef][Green Version]
- Cao, L.; Jiang, Y.; Li, Q.; Wang, J.; Tan, S. Exercise Training at Maximal Fat Oxidation Intensity for Overweight or Obese Older Women: A Randomized Study. J. Sports Sci. Med. 2019, 18, 413–418. Available online: http://www.jssm.org (accessed on 23 December 2024).
- Chenevière, X.; Malatesta, D.; Gojanovic, B.; Borrani, F. Differences in whole-body fat oxidation kinetics between cycling and running. Eur. J. Appl. Physiol. 2010, 109, 1037–1045. [Google Scholar] [CrossRef] [PubMed]
- Keir, D.A.; Fontana, F.Y.; Robertson, T.C.; Murias, J.M.; Paterson, D.H.; Kowalchuk, J.M.; Pogliaghi, S. Exercise Intensity Thresholds: Identifying the Boundaries of Sustainable Performance. Med. Sci. Sports Exerc. 2015, 47, 1932–1940. [Google Scholar] [CrossRef] [PubMed]
- Maunder, E.; Plews, D.J.; Kilding, A.E. Contextualising Maximal Fat Oxidation During Exercise: Determinants and Normative Values. Front. Physiol. 2018, 9, 599. [Google Scholar] [CrossRef]
- Teso, M.; Colosio, A.L.; Pogliaghi, S. An Intensity-dependent Slow Component of HR Interferes with Accurate Exercise Implementation in Postmenopausal Women. Med. Sci. Sports Exerc. 2022, 54, 655–664. [Google Scholar] [CrossRef] [PubMed]
- Croci, I.; Borrani, F.; Byrne, N.; Wood, R.; Hickman, I.; Chenevière, X.; Malatesta, D. Reproducibility of Fatmax and Fat Oxidation Rates during Exercise in Recreationally Trained Males. PLoS ONE 2014, 9, e97930. [Google Scholar] [CrossRef] [PubMed]



| Age | Time from Menopause | Height | Weight | BMI | %BF | FFM | V̇O2max | PA | |
|---|---|---|---|---|---|---|---|---|---|
| (yrs) | (yrs) | (cm) | (kg) | (kg·m−2) | (%) | (Kg) | (mL·min−1·kg−1) | (met·wk−1) | |
| Mean ± SD | 54 ± 4 | 4 ± 3 | 164 ± 5 | 59 ± 8 | 22 ± 3 | 25 ± 4% | 43 ± 4 | 36.4 ± 5.3 | 2250 ± 150 |
| MFO | FATmax | V̇O2 | Power Output | HR | |
|---|---|---|---|---|---|
| (g·min−1) | (%V̇O2max) | (L·min−1) | (watt) | (bpm) | |
| Ramp | 0.24 ± 0.09 | 47.5 ± 4.3% | 1.00 ± 0.13 | 42 ± 14 | 109 ± 13 |
| Graded | 0.20 ± 0.08 | 47.8 ± 5.1% | 1.03 ± 0.14 | 47 ± 14 | 105 ± 11 |
| t-test | 0.10 | 0.91 | 0.29 | 0.14 | 0.11 |
| r2 | 0.46 | 0.52 | 0.80 | 0.73 | 0.76 |
| SEE | 0.05 | 3.9 | 81 | 8.1 | 6.1 |
| CCC | 0.60 | 0.69 | 0.69 | 0.20 | 0.80 |
| Bias ± SD | 0.05 ± 0.07 | 0.3 ± 4.7 | −0.04 ± 0.08 | 4.8 ± 8.5 | 2.2 ± 6.5 |
| LLOA | −0.08 | −7.8 | −0.19 | −11.8 | −10.5 |
| ULOA | 0.19 | 10.6 | 0.12 | 21.4 | 14.9 |
| MFO | FATmax | V̇O2max | |
|---|---|---|---|
| (g·min−1) | (%V̇O2max) | (L·min−1) | |
| First Ramp | 0.21 ± 0.09 | 46.9 ± 3.1% | 2.10 ± 0.31 |
| Second Ramp | 0.25 ± 0.08 | 46.7 ± 4.3% | 2.09 ± 0.33 |
| t-test | 0.33 | 0.87 | 0.96 |
| r2 | 0.53 | 0.77 | 0.82 |
| SEE | 0.04 | 2.1 | 48 |
| CCC | 0.65 | 0.83 | 0.95 |
| Bias ± SD | 0.04 ± 0.05 | 0.21 ± 7.8 | 0.21 ± 0.18 |
| LLOA | −0.07 | −4.1 | −0.17 |
| ULOA | 0.11 | 6.9 | 0.12 |
Disclaimer/Publisher’s Note: The statements, opinions and data contained in all publications are solely those of the individual author(s) and contributor(s) and not of MDPI and/or the editor(s). MDPI and/or the editor(s) disclaim responsibility for any injury to people or property resulting from any ideas, methods, instructions or products referred to in the content. |
© 2025 by the authors. Licensee MDPI, Basel, Switzerland. This article is an open access article distributed under the terms and conditions of the Creative Commons Attribution (CC BY) license (https://creativecommons.org/licenses/by/4.0/).
Share and Cite
Teso, M.; Ferrari, L.; Colosio, A.L.; Pogliaghi, S. Indexes of Fat Oxidation from Ramp vs. Graded Incremental Protocols in Postmenopausal Women. Physiologia 2025, 5, 3. https://doi.org/10.3390/physiologia5010003
Teso M, Ferrari L, Colosio AL, Pogliaghi S. Indexes of Fat Oxidation from Ramp vs. Graded Incremental Protocols in Postmenopausal Women. Physiologia. 2025; 5(1):3. https://doi.org/10.3390/physiologia5010003
Chicago/Turabian StyleTeso, Massimo, Luca Ferrari, Alessandro L. Colosio, and Silvia Pogliaghi. 2025. "Indexes of Fat Oxidation from Ramp vs. Graded Incremental Protocols in Postmenopausal Women" Physiologia 5, no. 1: 3. https://doi.org/10.3390/physiologia5010003
APA StyleTeso, M., Ferrari, L., Colosio, A. L., & Pogliaghi, S. (2025). Indexes of Fat Oxidation from Ramp vs. Graded Incremental Protocols in Postmenopausal Women. Physiologia, 5(1), 3. https://doi.org/10.3390/physiologia5010003

