Training Load Is Correlated with Changes in Creatine Kinase and Wellness over a 12-Week Multi-Stage Preparatory Training Block for a Major Competition in International Boxers
Abstract
:1. Introduction
2. Results
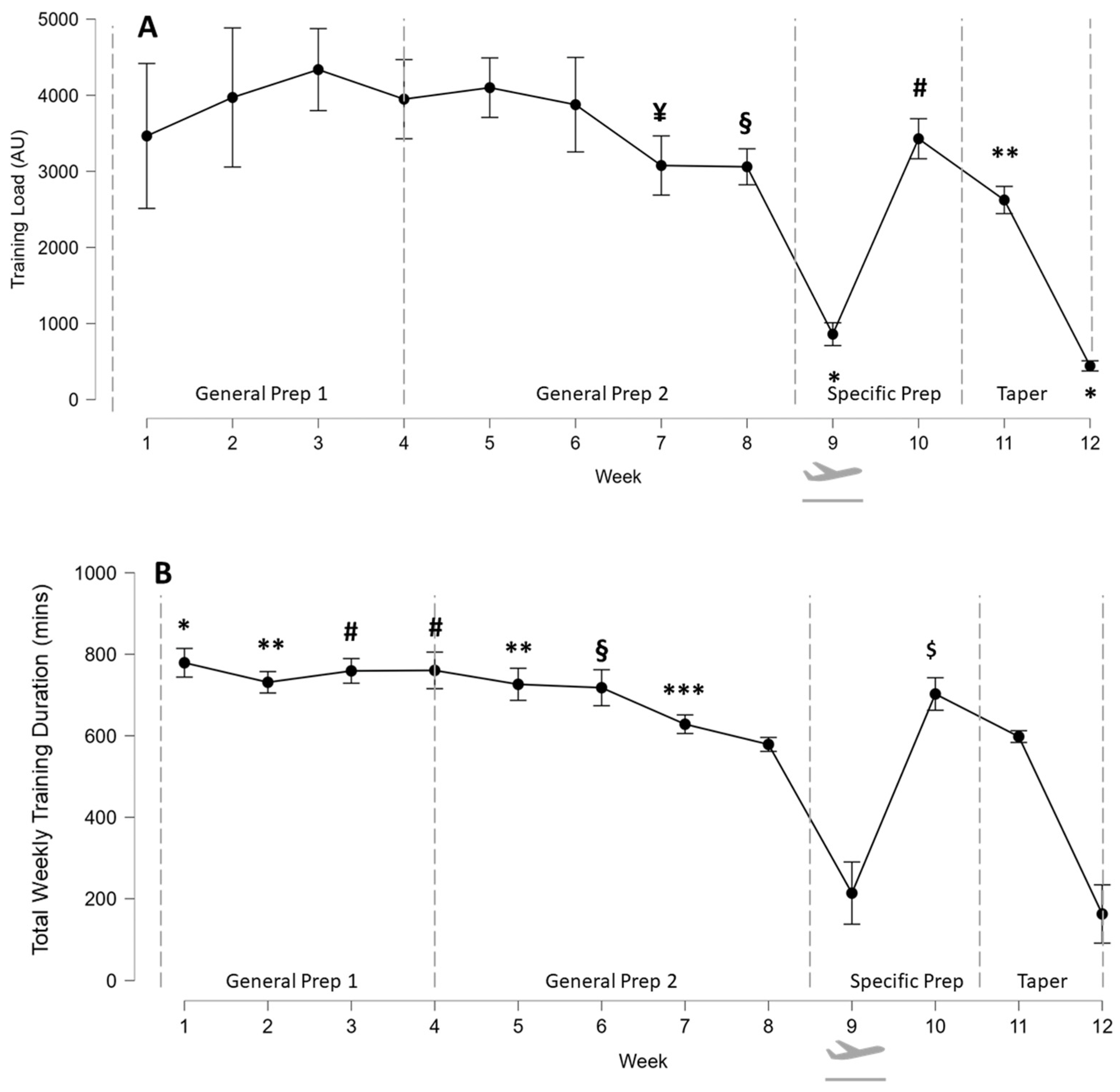
2.1. Training Load and Duration
2.2. Creatine Kinase
2.3. Wellness Perception
2.4. Relationships between Training Load, Creatine Kinase, and Wellness Perception
3. Discussion
Limitations
4. Materials and Methods
4.1. Participants
4.2. Study Design
4.3. Training Load
4.4. Creatine Kinase (CK)
4.5. Psychometric Self-Reported Wellness Data
4.6. Statistical Analysis
5. Conclusions
Author Contributions
Funding
Institutional Review Board Statement
Informed Consent Statement
Data Availability Statement
Acknowledgments
Conflicts of Interest
References
- Chaabène, H.; Tabben, M.; Mkaouer, B.; Franchini, E.; Negra, Y.; Hammami, M.; Amara, S.; Chaabène, R.B.; Hachana, Y. Amateur boxing: Physical and physiological attributes. Sports Med. 2015, 45, 337–352. [Google Scholar] [PubMed]
- AIBA International Boxing Association. Technical & Competition Rules. International Boxing Association (AIBA) Technical and Competition Rules. Available online: https://www.aiba.org/aiba-technical-competitionrules/ (accessed on 4 November 2020).
- Davis, P.; Benson, P.R.; Pitty, J.D.; Connorton, A.J.; Waldock, R. The activity profile of elite male amateur boxing. Int. J. Sports Physiol. Perform. 2015, 10, 53–57. [Google Scholar] [CrossRef] [PubMed]
- Davis, P.; Connorton, A.; Driver, S.; Anderson, S.; Waldock, R. The activity profile of elite male amateur boxing following the 2013 rule changes. J. Strength Cond. Res. 2017, 32, 3441–3446. [Google Scholar] [CrossRef]
- Slimani, M.; Bianca, M.; Walid, B.; Cheour, F. Comparison of mental toughness and power tests performances in high-level kickboxers by competitive success. Asian J. Sports Med. 2016, 7, e30840. [Google Scholar]
- Smith, M.S. Physiological profile of senior and junior England international amateur boxers. J. Sports Sci. Med. 2006, 5, 74. [Google Scholar] [PubMed]
- Khanna, G.L.; Manna, I. Study of physiological profile of Indian boxers. J. Sports Sci. Med. 2006, 5, 90–98. [Google Scholar]
- Slimani, M.; David, P.; Chaabene, H.; Franchini, E. Performance aspects and physiological responses in male amateur boxing competitions: A brief review. J. Strength Cond. Res. 2017, 31, 1132–1141. [Google Scholar]
- Reale, R.; Cox, G.R.; Slater, G.; Burke, L.M. Weight Regain: No Link to Success in a Real-Life Multiday Boxing Tournament. Int. J. Sports Physiol. Perform. 2017, 12, 856–863. [Google Scholar] [CrossRef]
- Cunniffe, B.; Ellison, M.; Loosemore, M.; Cardinale, M. Warm-up Practices in Elite Boxing Athletes: Impact on Power Output. J. Strength Cond. Res. 2017, 31, 95–105. [Google Scholar] [CrossRef]
- Donovan, T.; Ballam, T.; Morton, J.P.; Close, G.L. β-alanine improves punch force and frequency in amateur boxers during a simulated contest. Int. J. Sport Nutr. Exerc. Metab. 2012, 22, 331–337. [Google Scholar]
- Hukkanen, E.; Häkkinen, K. Effects of Sparring Load on Reaction Speed and Punch Force During the Precompetition and Competition Periods in Boxing. J. Strength Cond. Res. 2017, 31, 1563–1568. [Google Scholar] [CrossRef] [PubMed]
- El-Ashker, S.; Chaabene, H.; Negra, Y.; Prieske, O.; Granacher, U. Cardio-Respiratory Endurance Responses Following a Simulated 3 × 3 Minutes Amateur Boxing Contest in Elite Level Boxers. Sports 2018, 6, 119. [Google Scholar] [CrossRef] [PubMed]
- Finlay, M.J.; Greig, M.; Page, R.M. Quantifying the physical response to a contemporary amateur boxing simulation. J. Strength Cond. Res. 2018, 32, 1005–1012. [Google Scholar] [CrossRef]
- Thomson, E.; Lamb, K. Quantification of the physical and physiological load of a boxing-specific simulation protocol. Int. J. Perform. Anal. Sport 2017, 17, 136–148. [Google Scholar] [CrossRef]
- Hanon, C.; Savarino, J.; Thomas, C. Blood lactate and acid-base balance of world-class amateur boxers after three 3-minute rounds in international competition. J. Strength. Cond. Res. 2015, 29, 942–946. [Google Scholar] [CrossRef]
- Ghosh, A.; Goswami, A.; Ahuja, A. Heart rate & blood lactate response in amateur competitive boxing. Indian J. Med. Res. 1995, 102, 179–183. [Google Scholar] [PubMed]
- Kilic, Y.; Cetin, H.N.; Sumlu, E.; Pektas, M.B.; Koca, H.B.; Akar, F. Effects of boxing matches on metabolic, hormonal, and inflammatory parameters in male elite boxers. Medicina 2019, 55, 288. [Google Scholar] [CrossRef]
- AIBA International Boxing Association. Coach Regulations Manual. AIBA-Coaches-Manual-Part-2. Available online: https://www.aiba.org/coaches2020/ (accessed on 4 November 2020).
- Loturco, I.; Bishop, C.; Ramirez-Campillo, R.; Romano, F.; Alves, M.; Pereira, L.A.; McGuigan, M. Optimum power loads for elite boxers: Case study with the Brazilian national Olympic team. Sports 2018, 6, 95. [Google Scholar] [CrossRef]
- Zubac, D.; Cular, D.; Marusic, U. Reliability of urinary dehydration markers in elite youth boxers. Int. J. Sports Physiol. Perform. 2018, 13, 374–381. [Google Scholar] [CrossRef]
- Ruddock, A.D.; Wilson, D.C.; Thompson, S.W.; Hembrough, D.; Winter, E.M. Strength. and conditioning for professional boxing: Recommendations for physical preparation. Strength Cond. J. 2016, 38, 81–90. [Google Scholar] [CrossRef]
- Marques, L.; Franchini, E.; Drago, G.; Aoki, M.S.; Moreira, A. Physiological and performance changes in national and international judo athletes during block periodization training. Biol. Sport 2017, 34, 371–378. [Google Scholar] [CrossRef]
- Nassib, S.; Moalla, W.; Hammoudi-Nassib, S.; Chtara, M.; Hachana, Y.; Tabka, Z.; Chamari, K.; Elloumi, M. The IGF-1/cortisol ratio as a useful marker for monitoring training in young boxers. Biol. Sport 2016, 33, 15–22. [Google Scholar]
- Bourdon, P.C.; Cardinale, M.; Murray, A.; Gastin, P.; Kellmann, M.; Varley, M.C.; Gabbett, T.J.; Coutts, A.J.; Burgess, D.J.; Gregson, W.; et al. Monitoring Athlete Training Loads: Consensus Statement. Int. J. Sports Physiol. Perform. 2017, 12, 161–170. [Google Scholar] [CrossRef] [PubMed]
- Halson, S.L. Monitoring training load to understand fatigue in athletes. Sports Med. 2014, 44, 139–147. [Google Scholar] [CrossRef] [PubMed]
- Meeusen, R.; Duclos, M.; Foster, C.; Fry, A.; Gleeson, M.; Nieman, D.; Raglin, J.; Rietjens, G.; Steinacker, J.; Urhausen, A. Prevention, diagnosis and treatment of the overtraining syndrome: Joint consensus statement of the European College of Sport Science (ECSS) and the American College of Sports Medicine (ACSM). Eur. J. Sport Sci. 2013, 13, 186–205. [Google Scholar] [CrossRef]
- Uchida, M.; Teixeira, L.; Godoi, V.; Marchetti, P.; Conte, M.; Coutts, A.; Bacurau, R. Does the timing of measurement alter session-RPE in boxers? J. Sports Sci. Med. 2014, 13, 59–65. [Google Scholar]
- Slimani, M.; Davis, P.; Franchini, E.; Moalla, W. Rating of Perceived Exertion for Quantification of Training and Combat Loads During Combat Sport-Specific Activities: A Short Review. J. Strength Cond. Res. 2017, 31, 2889–2902. [Google Scholar] [CrossRef]
- McMahon, G.E.; Sharp, L.A.; Kennedy, R.A. Running Performance Is Correlated with Creatine Kinase Levels and Muscle Soreness During an Olympic Games in Hockey. Int. J. Sports Physiol. Perform. 2021, 16, 1393–1400. [Google Scholar] [CrossRef]
- Hagstrom, A.D.; Shorter, K.A. Creatine kinase, neuromuscular fatigue, and the contact codes of football: A systematic review and meta-analysis of pre-and post-match differences. Eur. J. Sport. Sci. 2018, 18, 1234–1244. [Google Scholar] [CrossRef]
- Roklicer, R.; Lakicevic, N.; Stajer, V.; Trivic, T.; Bianco, A.; Mani, D.; Milosevic, Z.; Maksimovic, N.; Paoli, A.; Drid, P. The effects of rapid weight loss on skeletal muscle in judo athletes. J. Transl. Med. 2020, 18, 142. [Google Scholar] [CrossRef]
- Roth, J.; Szczygiel, T.; Moore, M.; O’Connor, P.; Edwards, J.; Sharma, N.; Pettit-Mee, R.; Zuhl, M. Profiling inflammatory markers during the competitive season and post-season in collegiate wrestlers. J. Strength Cond. Res. 2019, 33, 2153–2161. [Google Scholar] [CrossRef] [PubMed]
- Buchheit, M.; Racinais, S.; Bilsborough, J.C.; Bourdon, P.C.; Voss, S.C.; Hocking, J.; Cordy, J.; Mendez-Villanueva, A.; Coutts, A.J. Monitoring fitness, fatigue and running performance during a pre-season training camp in elite football players. J. Sci. Med. Sport 2013, 16, 550–555. [Google Scholar] [CrossRef] [PubMed]
- Thorpe, R.T.; Atkinson, G.; Drust, B.; Gregson, W. Monitoring Fatigue Status in Elite Team-Sport Athletes: Implications for Practice. Int. J. Sports Physiol. Perf. 2017, 12, S2–S27. [Google Scholar] [CrossRef] [PubMed]
- Ouergui, I.; Franchini, E.; Selmi, O.; Levitt, D.E.; Chtourou, H.; Bouhlel, E.; Ardigò, L.P. Relationship between Perceived Training Load, Well-Being Indices, Recovery State and Physical Enjoyment during Judo-Specific Training. Int. J. Environ. Res. Public Health 2020, 17, 7400. [Google Scholar] [CrossRef] [PubMed]
- Horta, T.A.; Filho, M.G.B.; Coimbra, D.R.; Miranda, R.; Werneck, F.Z. Training load, physical performance, biochemical markers, and psychological stress during a short preparatory period in Brazilian elite male volleyball players. J. Strength Cond. Res. 2019, 33, 3392–3399. [Google Scholar] [CrossRef]
- De Freitas, V.; Nakamura, F.Y.; Miloski, B. Sensitivity of physiological and psychological markers to training load intensification in volleyball players. J. Sports Sci. Med. 2014, 13, 571–579. [Google Scholar]
- Nogueira, F.A.; de Freitas, V.; Nogueira, R.; Miloski, B.; Werneck, F.; Bara-Filho, M. Improvement of physical performance, hormonal profile, recovery-stress balance and increase of muscle damage in a specific futsal pre-season planning. Rev. Andal. Med. Deporte 2018, 11, 63–68. [Google Scholar] [CrossRef]
- Miloski, B.; de Freitas, V.H.; Nakamura, F.Y.; Nogueira, F.; Bara-Filho, M. Seasonal training load distribution of professional futsal players: Effects on physical fitness, muscle damage, and hormonal status. J. Strength Cond. Res. 2016, 30, 1525–1533. [Google Scholar] [CrossRef]
- Flatt, A.A.; Howells, D. Effects of varying training load on heart rate variability and running performance among an Olympic rugby sevens team. J. Sci. Med. Sport 2019, 22, 222–226. [Google Scholar] [CrossRef]
- Aubry, A.; Hausswirth, C.; Louis, J.; Coutts, A.J.; Le Meur, Y. Functional overreaching: The key to peak performance during the taper. Med. Sci. Sport Exerc. 2014, 46, 1769–1777. [Google Scholar] [CrossRef]
- Lemmer, B.; Kern, R.; Nold, G.; Lohrer, H. Jet lag in athletes after eastward and westward time-zone transition. Chronobiol. Int. 2002, 19, 743–764. [Google Scholar] [CrossRef] [PubMed]
- Papacosta, E.; Gleeson, M.; Nassis, G.P. Salivary hormones, IGA, and performance during intense training and tapering in judo athletes. J. Strength Cond. Res. 2013, 27, 2569–2580. [Google Scholar] [CrossRef] [PubMed]
- Barley, O.R.; Chapman, D.W.; Abbiss, C.R. The current state of weight-cutting in combat sports. Sports 2019, 7, 123. [Google Scholar] [CrossRef] [PubMed]
- Impellizzeri, F.M.; Marcora, S.M.; Coutts, A.J. Internal and External Training Load: 15 Years On. Int. J. Sports Physiol. Perform. 2018, 14, 270–273. [Google Scholar] [CrossRef]
- Finlay, M.J.; Greig, M.; McCarthy, J.; Page, R.M. Physical Response to Pad- and Bag-Based Boxing-Specific Training Modalities. J. Strength Cond. Res. 2002, 34, 1052–1061. [Google Scholar] [CrossRef]
- Kirk, C.; Malone, J.J.; Agnell, P.J. Intra-unit reliability and movement variability of submission grappling external load as measured by torso mounted accelerometery. Biol. Sport 2023, 40, 457–464. [Google Scholar] [CrossRef]
- Haddad, M.; Stylianides, G.; Djaoui, L.; Della, A.; Chamari, K. Session-RPE Method for Training Load Monitoring: Validity, Ecological Usefulness, and Influencing Factors. Front. Neurosci. 2017, 11, 612. [Google Scholar] [CrossRef]
- Inman, L.A.; Rennie, M.J.; Watsford, M.L.; Gibbs, N.J.; Green, J.; Spurrs, R.W. Reference values for the creatine kinase response to professional Australian football match-play. J. Sci. Med. Sport 2018, 21, 852–857. [Google Scholar] [CrossRef]
- Baird, M.F.; Graham, S.M.; Baker, J.S.; Bickerstaff, G.F. Creatine-kinase- and exercise-related muscle damage implications for muscle performance and recovery. J. Nutr. Metab. 2012, 2012, 960363. [Google Scholar] [CrossRef]
- Ghoul, N.; Tabben, M.; Miarka, B.; Tourny, C.; Chamari, K.; Coquart, J. Mixed martial arts induces significant fatigue and muscle damage up to 24 hours post-combat. J. Strength Cond. Res. 2019, 33, 1570–1579. [Google Scholar] [CrossRef]
- Ozkan, I.; Ibrahim, C.H. Dehydration, skeletal muscle damage and inflammation before competitions among elite wrestlers. J. Phys. Ther. Sci. 2016, 28, 162–168. [Google Scholar] [CrossRef] [PubMed]
- Reale, R.; Slater, G.; Burke, L.M. Weight management practices of Australian olympic combat sport athletes. Int. J. Sports Physiol. Perform. 2018, 13, 459–466. [Google Scholar] [CrossRef] [PubMed]
- Guilhem, G.; Hanon, C.; Gendreau, N.; Bonneau, D.; Guevel, A.; Chennaoui, M. Salivary hormones response to preparation and pre-competitive training of world-class level athletes. Front. Physiol. 2015, 6, 333. [Google Scholar] [CrossRef]
- Li, Y.; Zhu, Y.; Zhang, J.; Zhang, X.; Zeng, Y. Biochemical changes and endocrine responses in pre-competition training in elite swimmers. Biol. Sport 2012, 29, 71–75. [Google Scholar] [CrossRef]
- Sterkowicz-Przybycien, B.; Miarka, D.; Fukuda, H. Sex and weight category category differences in time-motion analysis of elite judo athletes: Implications for assessment and training. J. Strength Cond. Res. 2017, 31, 817–825. [Google Scholar] [CrossRef]
- Follmer, B.; Dellagrana, R.A.; Zehr, E.P. Head trauma exposure in mixed martial arts varies according to sex and weight class. Sports Health 2019, 11, 280–285. [Google Scholar] [CrossRef]
- Oosthuyse, T.; Bosch, A.N. The effect of gender and menstrual phase on serum creatine kinase activity and muscle soreness following downhill running. Antioxidants 2017, 6, 16. [Google Scholar] [CrossRef]
- Taylor, K.-L.; Chapman, D.W.; Cronin, J.; Gill, N.D. Faitgue monitoring in high performance sport: A survey of current trends. J. Aust. Strength. Cond. 2012, 20, 12–23. [Google Scholar]
- Saw, A.; Main, L.C.; Gastin, P. Monitoring athlete training response: Subjective self-reported measures trump commonly used objective measures: A systematic review. Br. J. Sports Med. 2016, 50, 281–291. [Google Scholar] [CrossRef]
- Thorpe, R.; Strudwick, A.; Buchheit, M.; Atkinson, G. The Tracking of Morning Fatigue Status Across In-Season Training Weeks in Elite Soccer Players. Int. J. Sports Physiol. Perform. 2016, 11, 947–952. [Google Scholar] [CrossRef] [PubMed]
- Gastin, P.B.; Meyer, D.; Robinson, D. Perceptions of wellness to monitor adaptive responses to training and competition in elite Australian football. J. Strength Cond. Res. 2013, 27, 2518–2526. [Google Scholar] [CrossRef]
- Gallo, T.; Cormack, S.J.; Gabbett, T.J.; Lorenzen, C.H. Pre-training perceived wellness impacts training output in Australian football players. Perform. Anal. 2015, 34, 1445–1451. [Google Scholar] [CrossRef] [PubMed]
- Cullen, B.D.; McCarren, A.L.; Malone, S. Ecological validity of self-reported wellness measures to assess pre-training and pre-competition preparedness within elite Gaelic football. Sport Sci. Health 2021, 17, 163–172. [Google Scholar] [CrossRef]
- Campbell, P.G.; Stewart, I.B.; Sirotic, A.C.; Minett, G.M. Does exercise intensity affect wellness scores in a dose-like fashion? Eur. J. Sport Sci. 2020, 20, 1395–1404. [Google Scholar] [CrossRef]
- Barley, O.R.; Chapman, D.W.; Blazevich, A.J.; Abbiss, C.R. Acute dehydration impairs endurance without modulating neuromuscular function. Front. Physiol. 2018, 9, 1562. [Google Scholar] [CrossRef] [PubMed]
- Fowler, P.; Duffield, R.; Howle, K.; Waterson, A.; Vaile, J. Effects of Northbound Long-Haul International Air Travel on Sleep Quantity and Subjective Jet Lag and Wellness in Professional Australian Soccer Players. Int. J. Sports Physiol. Perform. 2015, 10, 645–648. [Google Scholar] [CrossRef]
- Saw, A.E.; Main, L.C.; Gastin, P.B. Monitoring Athletes Through Self-Report: Factors Influencing Implementation. J. Sports Sci. Med. 2015, 14, 137–146. [Google Scholar]
- Ryan, S.; Kempton, T.; Impellizzeri, F.M.; Coutts, A.J. Training monitoring in professional Australian football: Theoretical basis and recommendations for coaches and scientists. Sci. Med. Footb. 2020, 4, 52–58. [Google Scholar] [CrossRef]
- Comyns, T.; Flanagan, E.P. Applications of the session rating of perceived exertion system in professional rugby union. Strength Cond. J. 2013, 35, 78–85. [Google Scholar] [CrossRef]
- Barley, O.R.; Chapman, D.W.; Guppy, S.N.; Abbiss, C.R. Considerations when assessing endurance in combat sport athletes. Front. Physiol. 2019, 10, 205. [Google Scholar] [CrossRef]
- Chaabene, H.; Negra, Y.; Bouguezzi, R.; Capranica, L.; Franchini, E.; Prieske, O.; Hbacha, H.; Granacher, U. Tests for the assessment of sport-specific performance in olympic combat sports: A systematic review with practical recommendations. Front. Physiol. 2018, 9, 386. [Google Scholar] [CrossRef] [PubMed]
- Webb, N.; Harris, N.; Cronin, J.; Walker, C. The relative efficacy of three recovery modalities following professional rugby league matches. J. Strength Cond. Res. 2013, 27, 2449–2455. [Google Scholar] [CrossRef] [PubMed]
- Foster, C.; Florhaug, J.; Franklin, J.; Gottschall, L.; Hrovatin, L.; Parker, S.; Doleshal, P.; Dodge, C. A new approach to monitoring exercise training. J. Strength Cond. Res. 2001, 15, 109–115. [Google Scholar] [PubMed]
- Borg, G.; Ljunggren, G.; Ceci, R. The increase of perceived exertion, aches and pain in the legs, hear rate, and blood lactate during exercise on a bicycle ergometer. Eur. J. Appl. Physiol. 1985, 54, 343–349. [Google Scholar] [CrossRef]
- Hørder, M.; Jørgensen, P.J.; Hafkenscheid, J.C.A.; Carstensen, C.; Bachmann, C.; Bauer, K.; Neuwald, C.; Rosalki, S.B.; Foo, A.Y.; Vogt, W. Creatine kinase determination: A European evaluation of the creatine kinase determination in serum, plasma and whole blood with the Reflotron system. Eur. J. Clin. Chem. Clin. Biochem. 1991, 29, 691–696. [Google Scholar]
- Mougios, V. Reference intervals for serum creatine kinase in athletes. Br. J. Sports Med. 2007, 41, 674–678. [Google Scholar] [CrossRef]
- Coelho, D.; Cabido, C.; Ciminelli, V.; Coelho, L.; Becker, L.; Pereira, E.; Marins, J.; Garcia, E. Comparison of different ways of expressing creatine kinase concentration of soccer players during a competitive season. Mortiz Rev. Educ. Fis. 2016, 22, 160–165. [Google Scholar] [CrossRef]




| Training Load | Δ Creatine Kinase | Mood | Muscle Condition | Sleep Quality | Total Wellness | |
|---|---|---|---|---|---|---|
| Training Load | Figure 4 | 0.105 small (p = 0.001) | 0.372 mod (p < 0.001) | 0.038 (p = 0.241) | 0.209 small (p < 0.001) | |
| Δ Creatine Kinase | Figure 4 | 0.115 (p = 0.35) | 0.302 mod (p < 0.001) | −0.014 (p = 0.794) | 0.202 small (p < 0.001) | 
| PHASE | TIME | MON | TUE | WED | THU | FRI | SAT | SUN | 
|---|---|---|---|---|---|---|---|---|
| GP/SP | AM | Running | Strength | Running | Strength | Individual Pads | Recovery Run | Rest | 
| PM | Heavy Bag | School Combat | Heavy Bag | School Combat | Rest | Rest | Rest | |
| CSP | AM | Strength | Running | Test Match | Rest | Test Match | Running | Test Match | 
| PM | School Combat | School Combat | Rest | Rest | Rest | Individual Pads | Rest | |
| T | AM | Running | Rest | Rest | Running | Individual Pads | Rest | Rest | 
| PM | Individual Pads | Individual Pads | Individual Pads | School Boxing | School Boxing | Individual Pads | Individual Pads | 
| Disclaimer/Publisher’s Note: The statements, opinions and data contained in all publications are solely those of the individual author(s) and contributor(s) and not of MDPI and/or the editor(s). MDPI and/or the editor(s) disclaim responsibility for any injury to people or property resulting from any ideas, methods, instructions or products referred to in the content. | 
© 2023 by the authors. Licensee MDPI, Basel, Switzerland. This article is an open access article distributed under the terms and conditions of the Creative Commons Attribution (CC BY) license (https://creativecommons.org/licenses/by/4.0/).
Share and Cite
McCabe, D.; Martin, D.; McMahon, G. Training Load Is Correlated with Changes in Creatine Kinase and Wellness over a 12-Week Multi-Stage Preparatory Training Block for a Major Competition in International Boxers. Physiologia 2023, 3, 585-597. https://doi.org/10.3390/physiologia3040043
McCabe D, Martin D, McMahon G. Training Load Is Correlated with Changes in Creatine Kinase and Wellness over a 12-Week Multi-Stage Preparatory Training Block for a Major Competition in International Boxers. Physiologia. 2023; 3(4):585-597. https://doi.org/10.3390/physiologia3040043
Chicago/Turabian StyleMcCabe, Dáithí, Damian Martin, and Gerard McMahon. 2023. "Training Load Is Correlated with Changes in Creatine Kinase and Wellness over a 12-Week Multi-Stage Preparatory Training Block for a Major Competition in International Boxers" Physiologia 3, no. 4: 585-597. https://doi.org/10.3390/physiologia3040043
APA StyleMcCabe, D., Martin, D., & McMahon, G. (2023). Training Load Is Correlated with Changes in Creatine Kinase and Wellness over a 12-Week Multi-Stage Preparatory Training Block for a Major Competition in International Boxers. Physiologia, 3(4), 585-597. https://doi.org/10.3390/physiologia3040043
 
        


 
       